Targeted Primary and Secondary Metabolite Analysis of Colored Potato “Michuñe Negra” Grown in Soilless Culture and during Prolonged Cold Storage: Implications in Acrylamide Formation during Frying
Abstract
1. Introduction
2. Materials and Methods
2.1. Plant Material and Cultivation Conditions
2.2. Postharvest Storage Conditions
2.3. Obtention of Potato Chips
2.4. Analytical Determinations
2.4.1. Hydrophilic Antioxidant Capacity
2.4.2. Targeted Primary Metabolite Analysis
2.4.3. Starch Content
2.4.4. Extraction of Anthocyanins and Other Polyphenols
2.4.5. Total Anthocyanin Content and Profile Determined by LC-MS
2.4.6. Total Phenolic Compounds and Profile by LC-MS
2.4.7. Acrylamide Content
2.5. Statistical Analysis
3. Results
3.1. Acrylamide Formation in Chips from Winter Season Potatoes and Comparison with Commercial Colored Potato Chips
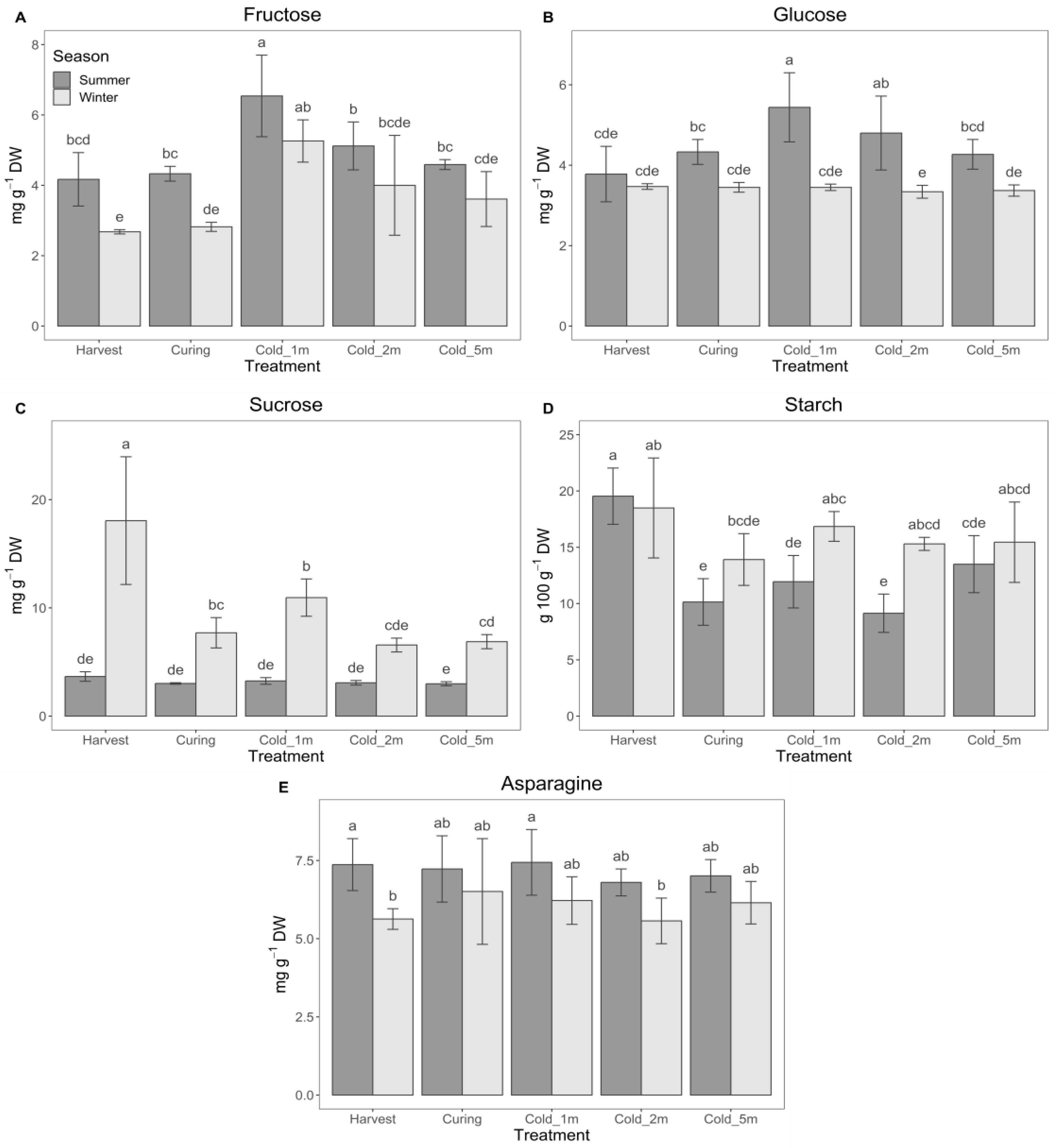
3.2. Targeted Metabolites Related to Neocontaminant Formation
3.3. Total Anthocyanin Content and Profile
3.4. Total Phenolic Content and Profile
3.5. In Vitro Antioxidant Capacity
4. Discussion
5. Conclusions
Author Contributions
Funding
Institutional Review Board Statement
Informed Consent Statement
Data Availability Statement
Acknowledgments
Conflicts of Interest
References
- Ah-Hen, K.; Fuenzalida, C.; Hess, S.; Contreras, A.; Vega-Galvez, A.; Lemus-Mondaca, R. Antioxidant capacity and total phenolic compounds of twelve selected potato landrace clones grown in southern Chile. Chil. J. Agric. Res. 2012, 72, 3–9. [Google Scholar] [CrossRef]
- Inostroza-Blancheteau, C.; Silva, F.M.D.; Duran, F.; Solano, J.; Obata, T.; Machado, M.; Fernie, A.R.; Reyes-Diaz, M.; Nunes-Nesi, A. Metabolic diversity in tuber tissues of native Chiloe potatoes and commercial cultivars of Solanum tuberosum ssp. tuberosum L. Metabolomics 2018, 14, 15. [Google Scholar] [CrossRef]
- Ruiz, A.; Aguilera, A.; Ercoli, S.; Parada, J.; Winterhalter, P.; Contreras, B.; Cornejo, P. Effect of the frying process on the composition of hydroxycinnamic acid derivatives and antioxidant activity in flesh colored potatoes. Food Chem. 2018, 268, 577–584. [Google Scholar] [CrossRef] [PubMed]
- Lacave, G.; Soto-Maldonado, C.; Walter, A.; Zuniga-Hansen, M.; Perez-Torres, E. Effect of Drought Stress on Bioactives and Starch in Chilean Potato Landraces. Potato Res. 2022, 65, 757–776. [Google Scholar] [CrossRef]
- Vaitkeviciene, N.; Jariene, E.; Kulaitiene, J.; Levickiene, D. The Physico-Chemical and Sensory Characteristics of Coloured-Flesh Potato Chips: Influence of Cultivar, Slice Thickness and Frying Temperature. Appl. Sci. 2022, 12, 1211. [Google Scholar] [CrossRef]
- Kalita, D.; Holm, D.G.; Jayanty, S.S. Role of polyphenols in acrylamide formation in the fried products of potato tubers with colored flesh. Food Res. Int. 2013, 54, 753–759. [Google Scholar] [CrossRef]
- Kita, A.; Bakowska-Barczak, A.; Lisinska, G.; Hamouz, K.; Kulakowska, K. Antioxidant activity and quality of red and purple flesh potato chips. LWT-Food Sci. Technol. 2015, 62, 525–531. [Google Scholar] [CrossRef]
- George, T.S.; Taylor, M.A.; Dodd, I.C.; White, P.J. Climate Change and Consequences for Potato Production: A Review of Tolerance to Emerging Abiotic Stress. Potato Res. 2017, 60, 239–268. [Google Scholar] [CrossRef]
- Handayani, T.; Gilani, S.A.; Watanabe, K.N. Climatic changes and potatoes: How can we cope with the abiotic stresses? Breed. Sci. 2019, 69, 545–563. [Google Scholar] [CrossRef]
- Chang, D.-C.; Kim, S.-Y.; Shin, K.-Y.; Cho, Y.-R.; Lee, Y.-B. Development of a nutrient solution for potato (Solanum tuberosum L.) seed tuber production in a closed hydroponic system. Hortic. Sci. Technol. 2000, 18, 334–341. [Google Scholar]
- Blenkinsop, R.W.; Copp, L.J.; Yada, R.Y.; Marangoni, A.G. Changes in compositional parameters of tubers of potato (Solanum tuberosum) during low-temperature storage and their relationship to chip processing quality. J. Agric. Food Chem. 2002, 50, 4545–4553. [Google Scholar] [CrossRef] [PubMed]
- Matsuura-Endo, C.; Ohara-Takada, A.; Chuda, Y.; Ono, H.; Yada, H.; Yoshida, M.; Kobayashi, A.; Tsuda, S.; Takigawa, S.; Noda, T.; et al. Effects of storage temperature on the contents of sugars and free amino acids in tubers from different potato cultivars and acrylamide in chips. Biosci. Biotechnol. Biochem. 2006, 70, 1173–1180. [Google Scholar] [CrossRef] [PubMed]
- Halford, N.G.; Curtis, T.Y.; Muttucumaru, N.; Postles, J.; Elmore, J.S.; Mottram, D.S. The acrylamide problem: A plant and agronomic science issue. J. Exp. Bot. 2012, 63, 2841–2851. [Google Scholar] [CrossRef]
- Muttucumaru, N.; Powers, S.J.; Elmore, J.S.; Dodson, A.; Briddon, A.; Mottram, D.S.; Halford, N.G. Acrylamide-forming potential of potatoes grown at different locations, and the ratio of free asparagine to reducing sugars at which free asparagine becomes a limiting factor for acrylamide formation. Food Chem. 2017, 220, 76–86. [Google Scholar] [CrossRef] [PubMed]
- Hou, J.; Zhang, H.L.; Liu, J.; Reid, S.; Liu, T.F.; Xu, S.J.; Tian, Z.D.; Sonnewald, U.; Song, B.T.; Xie, C.H. Amylases StAmy23, StBAM1 and StBAM9 regulate cold-induced sweetening of potato tubers in distinct ways. J. Exp. Bot. 2017, 68, 2317–2331. [Google Scholar] [CrossRef] [PubMed]
- Dale, M.F.B.; Bradshaw, J.E. Progress in improving processing attributes in potato. Trends Plant Sci. 2003, 8, 310–312. [Google Scholar] [CrossRef]
- Wiberley-Bradford, A.E.; Bethke, P.C. Rate of Cooling Alters Chip Color, Sugar Contents, and Gene Expression Profiles in Stored Potato Tubers. Am. J. Potato Res. 2017, 94, 534–543. [Google Scholar] [CrossRef]
- Kulen, O.; Stushnoff, C.; Holm, D.G. Effect of cold storage on total phenolics content, antioxidant activity and vitamin C level of selected potato clones. J. Sci. Food Agric. 2013, 93, 2437–2444. [Google Scholar] [CrossRef]
- Emragi, E.; Jayanty, S.S. Skin Color Retention in Red Potatoes during Long-Term Storage with Edible Coatings. Foods 2021, 10, 1531. [Google Scholar] [CrossRef]
- Hamouz, K.; Lachman, J.; Becka, D.; Pulkrabek, J. Effect of growing conditions and storage on the total anthocyanin content in potatoes with coloured flesh. Plant Soil Environ. 2018, 64, 435–440. [Google Scholar] [CrossRef]
- Lachman, J.; Hamouz, K.; Orsak, M.; Pivec, V.; Hejtmankova, K.; Pazderu, K.; Dvorak, P.; Cepl, J. Impact of selected factors - Cultivar, storage, cooking and baking on the content of anthocyanins in coloured-flesh potatoes. Food Chem. 2012, 133, 1107–1116. [Google Scholar] [CrossRef]
- Fuentealba, C.; Galvez, L.; Cobos, A.; Olaeta, J.A.; Defilippi, B.G.; Chirinos, R.; Campos, D.; Pedreschi, R. Characterization of main primary and secondary metabolites and in vitro antioxidant and antihyperglycemic properties in the mesocarp of three biotypes of Pouteria lucuma. Food Chem. 2016, 190, 403–411. [Google Scholar] [CrossRef] [PubMed]
- Fuentealba, C.; Hernandez, I.; Saa, S.; Toledo, L.; Burdiles, P.; Chirinos, R.; Campos, D.; Brown, P.; Pedreschi, R. Colour and in vitro quality attributes of walnuts from different growing conditions correlate with key precursors of primary and secondary metabolism. Food Chem. 2017, 232, 664–672. [Google Scholar] [CrossRef] [PubMed]
- Rodriguez, F.; Pedreschi, R.; Fuentealba, C.; de Kartzow, A.; Olaeta, J.A.; Alvaro, J.E. The increase in electrical conductivity of nutrient solution enhances compositional and sensory properties of tomato fruit cv. Patron. Sci. Hortic. 2019, 244, 388–398. [Google Scholar] [CrossRef]
- Miller, G.L. Use of dinitrosalicylic acid reagent for determination of reducing sugar. Anal. Chem. 1959, 31, 426–428. [Google Scholar] [CrossRef]
- Oertel, A.; Matros, A.; Hartmann, A.; Arapitsas, P.; Dehmer, K.J.; Martens, S.; Mock, H.P. Metabolite profiling of red and blue potatoes revealed cultivar and tissue specific patterns for anthocyanins and other polyphenols. Planta 2017, 246, 281–297. [Google Scholar] [CrossRef]
- Giusti, M.M.; Wrolstad, R.E. Characterization and measurement of anthocyanins by UV-visible spectroscopy. Curr. Protoc. Food Anal. Chem. 2001, 1, F1.2.1–F1.2.13. [Google Scholar] [CrossRef]
- Singleton, V.L.; Rossi, J.A. Colorimetry of total phenolics with phosphomolybdic-phosphotungstic acid reagents. Am. J. Enol. Vitic. 1965, 16, 144–158. [Google Scholar] [CrossRef]
- Pedreschi, F.; Ferrera, A.; Bunger, A.; Alvarez, F.; Huaman-Castilla, N.L.; Mariotti-Celis, M.S. Ultrasonic-assisted leaching of glucose and fructose as an alternative mitigation technology of acrylamide and 5-hydroxymethylfurfural in potato chips. Innov. Food Sci. Emerg. Technol. 2021, 73, 8. [Google Scholar] [CrossRef]
- EFSA. Scientific Opinion on acrylamide in food. EFSA J. 2015, 13, 4104. [Google Scholar] [CrossRef]
- Malone, J.G.; Mittova, V.; Ratcliffe, R.G.; Kruger, N.J. The response of carbohydrate metabolism in potato tubers to low temperature. Plant Cell Physiol. 2006, 47, 1309–1322. [Google Scholar] [CrossRef] [PubMed]
- Liyanage, D.W.K.; Yevtushenko, D.P.; Konschuh, M.; Bizimungu, B.; Lu, Z.X. Processing strategies to decrease acrylamide formation, reducing sugars and free asparagine content in potato chips from three commercial cultivars. Food Control 2021, 119, 9. [Google Scholar] [CrossRef]
- McCann, L.C.; Bethke, P.C.; Simon, P.W. Extensive Variation in Fried Chip Color and Tuber Composition in Cold-Stored Tubers of Wild Potato (Solanum) Germplasm. J. Agric. Food Chem. 2010, 58, 2368–2376. [Google Scholar] [CrossRef] [PubMed]
- Powers, S.J.; Mottram, D.S.; Curtis, A.; Halford, N.G. Progress on reducing acrylamide levels in potato crisps in Europe, 2002 to 2019. Food Addit. Contam. Part A-Chem. 2021, 38, 782–806. [Google Scholar] [CrossRef] [PubMed]
- Oellig, C.; Gottstein, E.; Granvogl, M. Analysis of acrylamide in vegetable chips after derivatization with 2-mercaptobenzoic acid by liquid chromatography–mass spectrometry. Eur. Food Res. Technol. 2022, 248, 937–946. [Google Scholar] [CrossRef]
- Elmore, J.S.; Xu, F.; Maveddat, A.; Kapetanou, R.; Qi, H.; Oruna-Concha, M.-J. Acrylamide content of vegetable chips. In Food-Borne Toxicants: Formation, Analysis, and Toxicology; ACS Publications: Washington, DC, USA, 2019; pp. 15–26. [Google Scholar]
- Colman, S.L.; Massa, G.A.; Carboni, M.F.; Feingold, S.E. Cold sweetening diversity in Andean potato germplasm from Argentina. J. Sci. Food Agric. 2017, 97, 4744–4749. [Google Scholar] [CrossRef]
- Herman, D.J.; Knowles, L.O.; Knowles, N.R. Low oxygen storage modulates invertase activity to attenuate cold-induced sweetening and loss of process quality in potato (Solanum tuberosum L.). Postharvest Biol. Technol. 2016, 121, 106–117. [Google Scholar] [CrossRef]
- Knutsen, S.H. NORDACRYL-Acrylamide-Precursors: Limiting Substrates and In Vivo Effects; Nordic Council of Ministers: Copenhagen, Denmark, 2007. [Google Scholar]
- Knight, M.; McWilliam, S.; Peck, S.; Koutsidis, G.; Chope, G.; Puddephat, I.; Wedzicha, B. Kinetic modelling of acrylamide formation during the frying of potato chips. Food Chem. 2021, 352, 7. [Google Scholar] [CrossRef]
- Robert, F.; Vuataz, G.; Pollien, P.; Saucy, F.; Alonso, M.I.; Bauwens, I.; Blank, I. Acrylamide formation from asparagine under low-moisture Maillard reaction conditions. 1. Physical and chemical aspects in crystalline model systems. J. Agric. Food Chem. 2004, 52, 6837–6842. [Google Scholar] [CrossRef]
- Elmore, J.S.; Briddon, A.; Dodson, A.T.; Muttucumaru, N.; Halford, N.G.; Mottram, D.S. Acrylamide in potato crisps prepared from 20 UK-grown varieties: Effects of variety and tuber storage time. Food Chem. 2015, 182, 1–8. [Google Scholar] [CrossRef]
- Giusti, M.M.; Polit, M.F.; Ayvaz, H.; Tay, D.; Manrique, I. Characterization and Quantitation of Anthocyanins and Other Phenolics in Native Andean Potatoes. J. Agric. Food Chem. 2014, 62, 4408–4416. [Google Scholar] [CrossRef] [PubMed]
- Liu, Y.; Wang, P.; Chen, F.; Yuan, Y.; Zhu, Y.; Yan, H.; Hu, X. Role of plant polyphenols in acrylamide formation and elimination. Food Chem. 2015, 186, 46–53. [Google Scholar] [CrossRef] [PubMed]
- Orsak, M.; Kotikova, Z.; Podhorecka, K.; Lachman, J.; Kasal, P. Acrylamide formation in red-, purple- and yellow-fleshed potatoes by frying and baking. J. Food Compos. Anal. 2022, 110, 10. [Google Scholar] [CrossRef]





| Peak N° | RT (min) | m/z [M]+ | Fragments 1 | Tentative ID |
|---|---|---|---|---|
| 1 | 5.17 | 771 | 301, 463, 609 | Peonidin-3-rutinoside-5-glucoside |
| 2 | 5.49 | 801 | 331, 493, 639 | Malvidin-3-rutinoside-5-glucoside |
| 3 | 5.85 | 595 | 287 | Cyanidin-3-rutinoside |
| 4 | 6.22 | 773 | 303, 465, 611 | Delphinidin-3-rutinoside-5-glucoside |
| 5 | 6.35 | 627 | 303, 465, 521 | Delphinidin-3-glucoside-5-glucoside |
| 6 | 6.80 | 757 | 287, 449, 595 | Cyanidin-3-rutinoside-5-glucoside |
| 7 | 7.10 | 611 | 287, 449, 565 | Cyanidin-3-(3″-glucosylglucoside) |
| 8 | 7.38 | 611 | 303, 465 | Delphinidin-3-(6-p-coumaroyl)-glucoside |
| 9 | 7.60 | 933 | 301, 463, 771 | Peonidin-3-caffeoyl-rutinoside-5-glucoside |
| 10 | 7.73 | 963 | 331, 492 | Malvidin-3-caffeoylrutinoside-5-glucoside |
| 11 | 7.74 | 903 | 287, 449, 742 | Cyanidin-3-p-coumaroylrutinoside-5-glucoside |
| 12 | 7.75 | 933 | 317, 479, 771 | Petunidin-3-p-coumaroylrutinoside-5-glucoside |
| 13 | 7.92 | 933 | 287, 449, 772 | Cyanidin derivative |
| 14 | 8.03 | 963 | 317, 479, 801 | Petunidin-3-feruloylrutinoside-5-glucoside |
| 15 | 8.17 | 887 | 271, 433, 725 | Pelargonidin-3-p-coumaroylrutinoside-5-glucoside |
| 16 | 8.23 | 917 | 301, 463, 755 | Peonidin-3-p-coumaroylrutinoside-5-glucoside |
| 17 | 8.24 | 947 | 331, 493, 785 | Malvidin-3-p-coumaroylrutinoside-5-glucoside |
| 18 | 8.39 | 947 | 301, 463, 785 | Peonidin-3-feruloylrutinoside-5-glucoside |
| 19 | 8.40 | 977 | 331, 493, 815 | Malvidin-3-feruloylrutinoside-5-glucoside |
| Peak N° | RT (min) | m/z [M–H]− | Fragments 1 | Identification |
|---|---|---|---|---|
| 1 | 3.53 | 353 | 179, 191, 201 | Neochlorogenic acid |
| 2 | 5.25 | 353 | 191 | Chlorogenic acid |
| 3 | 5.50 | 353 | 173, 179, 191 | Cryptochlorogenic acid |
| 4 | 5.65 | 179 | 135 | Caffeic acid |
| 5 | 7.80 | 609 | 301 | Rutin |
Disclaimer/Publisher’s Note: The statements, opinions and data contained in all publications are solely those of the individual author(s) and contributor(s) and not of MDPI and/or the editor(s). MDPI and/or the editor(s) disclaim responsibility for any injury to people or property resulting from any ideas, methods, instructions or products referred to in the content. |
© 2023 by the authors. Licensee MDPI, Basel, Switzerland. This article is an open access article distributed under the terms and conditions of the Creative Commons Attribution (CC BY) license (https://creativecommons.org/licenses/by/4.0/).
Share and Cite
García-Ríos, D.; Alvaro, J.E.; Zuñiga, M.E.; Campos, D.; Aguilar-Galvez, A.; Mariotti-Celis, M.S.; Pedreschi, F.; Pedreschi, R. Targeted Primary and Secondary Metabolite Analysis of Colored Potato “Michuñe Negra” Grown in Soilless Culture and during Prolonged Cold Storage: Implications in Acrylamide Formation during Frying. Agronomy 2023, 13, 1209. https://doi.org/10.3390/agronomy13051209
García-Ríos D, Alvaro JE, Zuñiga ME, Campos D, Aguilar-Galvez A, Mariotti-Celis MS, Pedreschi F, Pedreschi R. Targeted Primary and Secondary Metabolite Analysis of Colored Potato “Michuñe Negra” Grown in Soilless Culture and during Prolonged Cold Storage: Implications in Acrylamide Formation during Frying. Agronomy. 2023; 13(5):1209. https://doi.org/10.3390/agronomy13051209
Chicago/Turabian StyleGarcía-Ríos, Diego, Juan E. Alvaro, María Elvira Zuñiga, David Campos, Ana Aguilar-Galvez, María Salomé Mariotti-Celis, Franco Pedreschi, and Romina Pedreschi. 2023. "Targeted Primary and Secondary Metabolite Analysis of Colored Potato “Michuñe Negra” Grown in Soilless Culture and during Prolonged Cold Storage: Implications in Acrylamide Formation during Frying" Agronomy 13, no. 5: 1209. https://doi.org/10.3390/agronomy13051209
APA StyleGarcía-Ríos, D., Alvaro, J. E., Zuñiga, M. E., Campos, D., Aguilar-Galvez, A., Mariotti-Celis, M. S., Pedreschi, F., & Pedreschi, R. (2023). Targeted Primary and Secondary Metabolite Analysis of Colored Potato “Michuñe Negra” Grown in Soilless Culture and during Prolonged Cold Storage: Implications in Acrylamide Formation during Frying. Agronomy, 13(5), 1209. https://doi.org/10.3390/agronomy13051209

