Optimizing the Maize Irrigation Strategy and Yield Prediction under Future Climate Scenarios in the Yellow River Delta
Abstract
1. Introduction
2. Materials and Methods
2.1. Study Region
2.2. Determination of Typical Hydrologic Scenarios
- (1)
- First, the historical precipitation maize growing seasons (Figure 3) are arranged in descending order (X1, X2, ⋯, Xm, ⋯, Xn), where n is the number of the growing seasons, 55.
- (2)
- Each descending order is assigned a value of m, where Xm represents that the number of descending orders greater than or equal to Xm is m.
- (3)
- The accumulated frequency of each growing season (P) of the Pearson type III distribution is calculated as follows [21]:
- (4)
- According to the precipitation frequency, n observations were divided into dry year, normal year, and wet year, and the corresponding precipitation frequency was 25%, 50%, and 75%, respectively.
2.3. Description of the AquaCrop Model
2.4. Evaluation Indicators for Effectiveness of Simulations
2.5. Scenario Simulation
2.5.1. Irrigation Scenario Settings
- If no rain occurs in the next 10 days, the irrigation amount is x [0].
- If rain occurs in the next 10 days but the soil moisture is depleted by more than x [2], the irrigation amount = x [1].
- Otherwise, irrigation amount = 0.
2.5.2. Solution Based on the NSGA-III Algorithm
2.5.3. Scheme Optimization of TOPSIS-Entropy Comprehensive Evaluation Model
- (1)
- Let W = (w1, w2, w3, w4) be the relative weight vector of each target calculated by the entropy weight method, which satisfies
- (2)
- Xij is a solution on the Pareto front and Xij represents the ith solution on the jth objective function. To normalize the objective function values, the following equation is used:
- (3)
- A weighted objective function normalization matrix is calculated according to the weights obtained in the first step as
- (4)
- The positive and negative ideal solutions are calculated as
- (5)
- The Euclidean distances between each index and the positive and negative ideal solutions are calculated as
- (6)
- The comprehensive evaluation value is calculated as
- (7)
- Optimization scheme selection: sorting is carried out according to the size of relative proximity, Cij. When Cij is larger, the score of the evaluation object is higher and closer to the optimal value.
3. Results
3.1. Calibration and Validation of the AquaCrop-OSPy Model
3.2. Optimization Results Using NSGA-III and TOPSIS-Entropy
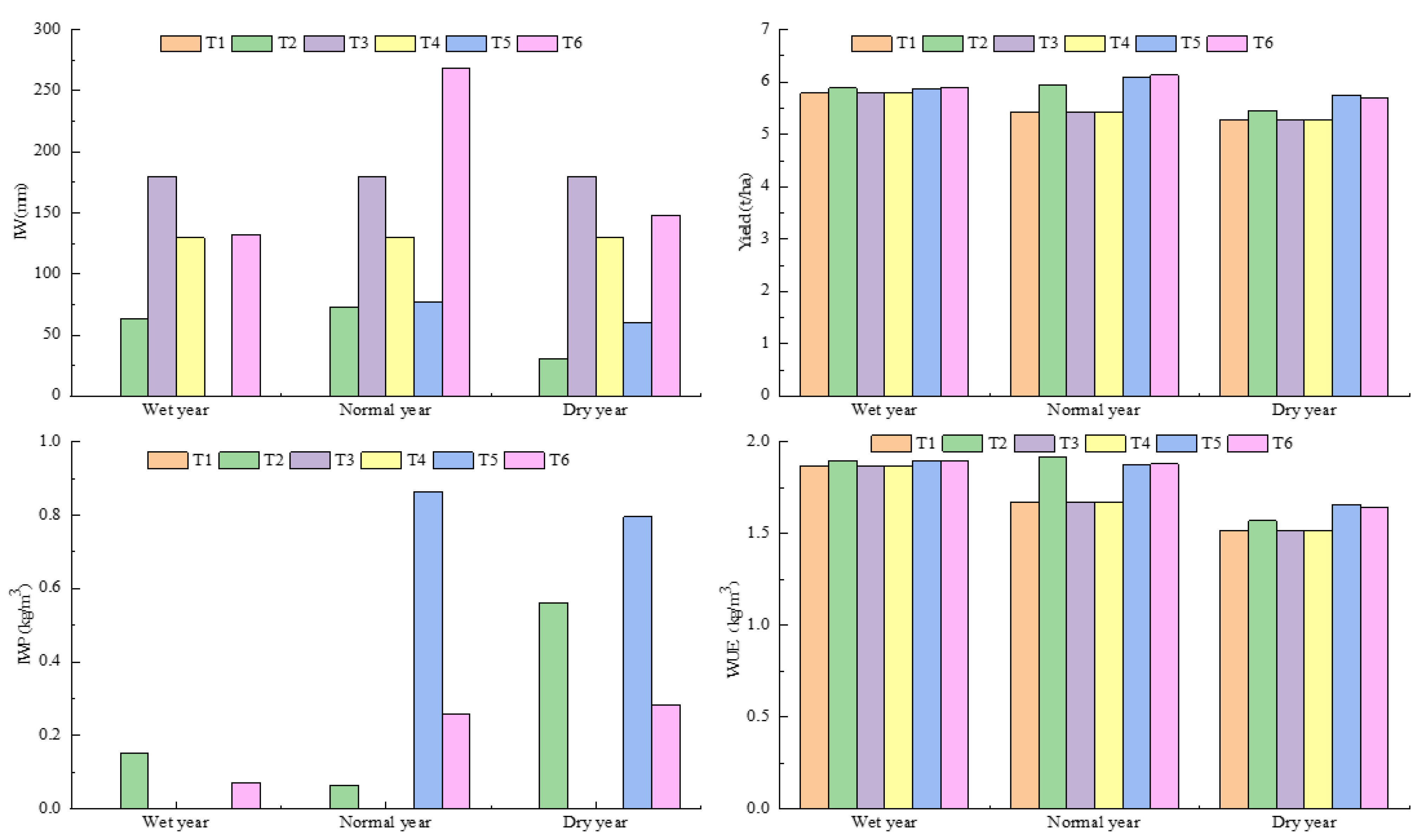
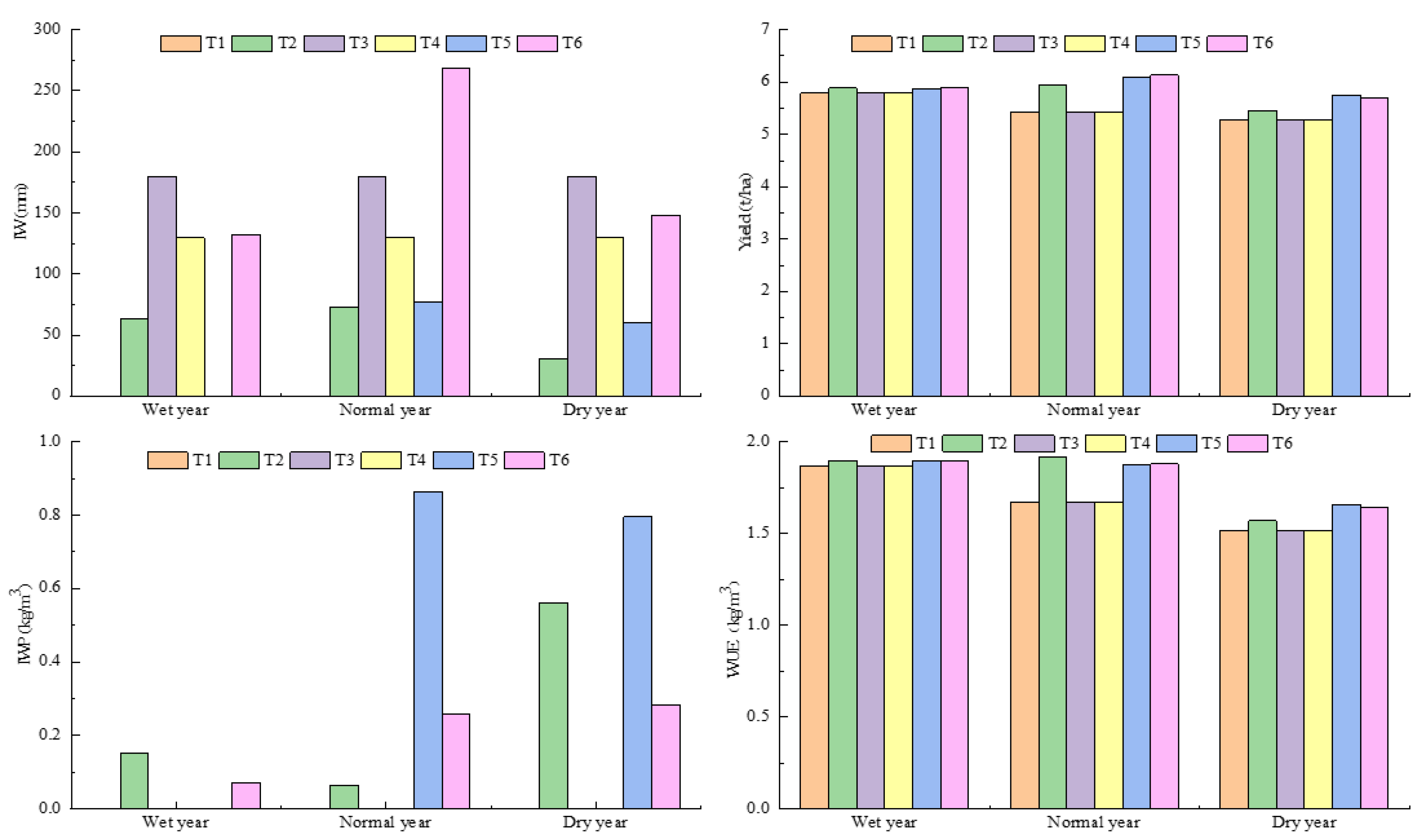
3.3. Responses to Irrigation Strategy Optimization under Different Scenarios
3.4. Irrigation Demands under Different Climate Change Scenarios
4. Discussion
5. Conclusions
Author Contributions
Funding
Institutional Review Board Statement
Informed Consent Statement
Data Availability Statement
Conflicts of Interest
References
- Cao, D.; Yi, X.; Chen, X. Crop Structure Optimization Based on Agricultural Irrigation Water Demand Calculation in the Yellow River Delta. Water Resour. Prot. 2022, 38, 154–159. [Google Scholar]
- CRG. Shan Dong Statistical Yearbook; China Statistical Publishing House: Beijing, China, 2022. [Google Scholar]
- Sandhu, R.; Irmak, S. Performance of AquaCrop Model in Simulating Maize Growth, Yield, and Evapotranspiration un-der Rainfed, Limited and Full Irrigation. Agric. Water Manag. 2019, 223, 105687. [Google Scholar] [CrossRef]
- Van Diepen, C.A.; Wolf, J.; van Keulen, H.; Rappoldt, C. WOFOST: A Simulation Model of Crop Production. Soil Use Manag. 1989, 5, 16–24. [Google Scholar] [CrossRef]
- Jones, J.W.; Hoogenboom, G.; Porter, C.H.; Boote, K.J.; Batchelor, W.D.; Hunt, L.A.; Wilkens, P.W.; Singh, U.; Gijsman, A.J.; Ritchie, J.T. The DSSAT Cropping System Model. Eur. J. Agron. 2003, 18, 235–265. [Google Scholar] [CrossRef]
- Stöckle, C.; Donatelli, M.; Nelson, R. CropSyst, a Cropping Systems Simulation Model. Eur. J. Agron. 2003, 18, 289–307. [Google Scholar] [CrossRef]
- Horemans, J.A.; Gaelen, H.V.; Raes, D.; Zenone, T.; Ceulemans, R. Can the Agricultural AquaCrop Model Simulate Water Use and Yield of a Poplar Short-rotation Coppice? Glob. Chang. Biol. Bioenergy 2017, 9, 1151–1164. [Google Scholar] [CrossRef]
- Manevski, K.; Borgesen, C.D.; Li, X.X.; Andersen, M.N.; Zhang, X.Y.; Shen, Y.J.; Hu, C.S. Modelling Agro-Environmental Variables under Data Availability Limitations and Scenario Managements in an Alluvial Region of the North China Plain. Environ. Model. Softw. 2019, 111, 94–107. [Google Scholar] [CrossRef]
- Iqbal, M.A.; Shen, Y.; Stricevic, R.; Pei, H.; Sun, H.; Amiri, E.; Penas, A.; del Rio, S. Evaluation of the FAO AquaCrop Model for Winter Wheat on the North China Plain under Deficit Irrigation from Field Experiment to Regional Yield Simulation. Agric. Water Manag. 2014, 135, 61–72. [Google Scholar] [CrossRef]
- García-Vila, M.; Fereres, E. Combining the Simulation Crop Model AquaCrop with an Economic Model for the Optimi-zation of Irrigation Management at Farm Level. Eur. J. Agron. 2012, 36, 21–31. [Google Scholar] [CrossRef]
- Li, J.; Song, J.; Li, M.; Shang, S.; Mao, X.; Yang, J.; Adeloye, A.J. Optimization of Irrigation Scheduling for Spring Wheat Based on Simulation-Optimization Model under Uncertainty. Agric. Water Manag. 2018, 208, 245–260. [Google Scholar] [CrossRef]
- Twumasi, G.; Ahmad, M.; Shin, Y.; Choi, K.S. Prediction of Corn Yield Based on Different Climate Scenarios Using Aqua-crop Model in Dangme East District of Ghana. J. Korean Soc. Agric. Eng. 2017, 59, 71–79. [Google Scholar]
- Donfack, F.C.; Lenouo, A.; Tchawoua, C. Water Requirements for Corn Yields in the Northern Regions of Cameroon Using AquaCrop Model. J. Agric. Ecol. Res. Int. 2018, 16, 1–11. [Google Scholar] [CrossRef]
- Martini, L. Sensitivity Analysis of the AquaCrop Parameters for Rainfed Corn in the South of Brazil. Pesqui. Agropecuária Bras. 2018, 53, 934–942. [Google Scholar] [CrossRef]
- Kelly, T.D.; Foster, T. AquaCrop-OSPy: Bridging the Gap between Research and Practice in Crop-Water Modeling. Agric. Water Manag. 2021, 254, 106976. [Google Scholar] [CrossRef]
- Wu, X.; Wang, J.; Qie, Z. Multi-Objective Optimization of Crop Irrigation Schedule Based on Years of Rainfall Data. Nongye Jixie Xuebao/Trans. Chin. Soc. Agric. Mach. 2013, 44, 108–112. [Google Scholar]
- Deb, K.; Jain, H. An Evolutionary Many-Objective Optimization Algorithm Using Reference-Point-Based Nondominated Sorting Approach, Part I: Solving Problems With Box Constraints. IEEE Trans. Evol. Comput. 2014, 18, 577–601. [Google Scholar] [CrossRef]
- Huo, J.; Hang, H. Optimization Method for Crop Irrigation Scheduling Based on Simulation Technique and Genetic Al-gorithm. Trans. Chin. Soc. Agric. Eng. 2007, 23, 23–28. [Google Scholar]
- Qie, Z.; Han, L.; Wu, X. Optimization of Crop Irrigation Quantity and Irrigation Date Based on the Improved NSGA-II. Trans. Chin. Soc. Agric. Mach. 2011, 42, 106–110. [Google Scholar]
- Guo, D.; Olesen, J.E.; Manevski, K.; Ma, X. Optimizing Irrigation Schedule in a Large Agricultural Region under Different Hydrologic Scenarios. Agric. Water Manag. 2021, 245, 106575. [Google Scholar] [CrossRef]
- Chow, V.; Maidment, D.; Mays, L. Applied Hydrology. J. Eng. Educ. 1962, 308, 1959. [Google Scholar]
- Lyu, J.; Jiang, Y.; Xu, C.; Liu, Y.; Su, Z.; Liu, J.; He, J. Multi-Objective Winter Wheat Irrigation Strategies Optimization Based on Coupling AquaCrop-OSPy and NSGA-III: A Case Study in Yangling, China. Sci. Total Environ. 2022, 843, 157104. [Google Scholar] [CrossRef] [PubMed]
- Steduto, P.; Hsiao, T.; Raes, D.; Fereres, E. AquaCrop—The FAO Crop Model to Simulate Yield Response to Water: I. Concepts and Underlying Principles. Agron. J. 2009, 101, 426–437. [Google Scholar] [CrossRef]
- Cosic, M.; Stricevic, R.; Djurovic, N.; Moravcevic, D.; Pavlovic, M.; Todorovic, M. Predicting Biomass and Yield of Sweet Pepper Grown with and without Plastic Film Mulching under Different Water Supply and Weather Conditions. Agric. Water Manag. 2017, 188, 91–100. [Google Scholar] [CrossRef]
- Xudong, Z.; Huanjie, C.A.I.; Yujuan, F.U.; Jian, W. Study on Leaf Area Index of Summer Maize in Loess Areas. Agric. Res. Arid Areas 2006, 24, 25–29. [Google Scholar]
- Willmott, C. On the Evaluation of Model Performance in Physical Geography BT-Spatial Statistics and Models. Environ. Sci. 1984, 40, 443–460. [Google Scholar]
- Jacovides, C.; Kontoyiannis, H. Statistical Procedures for the Evaluation of Evapotranspiration Computing Models. Agric. Water Manag. 1995, 27, 365–371. [Google Scholar] [CrossRef]
- Legates, D.; McCabe, G. Evaluating the Use of “Goodness-of-Fit” Measures in Hydrologic and Hydroclimatic Model Val-idation. Water Resour. Res. 1999, 35, 233–241. [Google Scholar] [CrossRef]
- Moriasi, D.; Arnold, J.; Van Liew, M.; Bingner, R.; Harmel, R.; Veith, T. Model Evaluation Guidelines for Systematic Quantification of Accuracy in Watershed Simulations. Trans. ASABE 2007, 50, 885–900. [Google Scholar] [CrossRef]
- Zhang, Q.; Li, H. MOEA/D: A Multiobjective Evolutionary Algorithm Based on Decomposition. Evol. Comput. IEEE Trans. 2008, 11, 712–731. [Google Scholar] [CrossRef]
- Tian, Y.; Cheng, R.; Zhang, X.Y.; Li, M.Q.; Jin, Y.C. Diversity Assessment of Multi-Objective Evolutionary Algorithms: Performance Metric and Benchmark Problems. IEEE Comput. Intell. Mag. 2019, 14, 61–74. [Google Scholar] [CrossRef]
- Hamdy, M.; Palonen, M.; Hasan, A. Implementation of Pareto-Archive NSGA-II Algorithms to a Nearly-Zero-Energy Building Optimisation Problem. In Proceedings of the First Building Simulation and Optimization Conference, Loughborough, UK, 10–11 September 2012; pp. 181–188. [Google Scholar]
- Lyu, Z.; Yang, J.; Liu, G.; Li, J.; Liu, H.; Li, B. Relationship between Soil Salinization and Groundwater Characteristics in the Yellow River Delta. Acta Pedol. Sin. 2017, 56, 1377–1385. [Google Scholar]
- Shan, Y.Y.; Li, G.; Su, L.J.; Zhang, J.H.; Wang, Q.J.; Wu, J.H.; Mu, W.Y.; Sun, Y. Performance of AquaCrop Model for Maize Growth Simulation under Different Soil Conditioners in Shandong Coastal Area, China. Agronomy 2022, 12, 1541. [Google Scholar] [CrossRef]
- Li, Y.; Niu, J.; Guo, L.; Gao, Z.; Sun, X. Application and Validation of AquaCrop Model in Simulating Biomass and Yield of Oil Flax in Northwest China. Chin. J. Eco-Agric. 2014, 22, 93–103. [Google Scholar] [CrossRef]
- Song, L.; Yao, N.; Feng, H.; Bai, J.; Wu, S.; He, J. Effects of Water Stresses at Different Growth Stages on Development and Yields of Summer Maize in Arid Region. J. Maize Sci. 2016, 24, 63–73. [Google Scholar]
- Ran, H.; Kang, S.Z.; Li, F.S.; Du, T.S.; Tong, L.; Li, S.E.; Ding, R.S.; Zhang, X.T. Parameterization of the AquaCrop Model for Full and Deficit Irrigated Maize for Seed Production in Arid Northwest China. Agric. Water Manag. 2018, 203, 438–450. [Google Scholar] [CrossRef]
- Zhao, D.; Li, C.; Wang, Q.; Yuan, J. Comprehensive Evaluation of National Electric Power Development Based on Cloud Model and Entropy Method and TOPSIS: A Case Study in 11 Countries. J. Clean. Prod. 2020, 277, 123190. [Google Scholar] [CrossRef]
- Moss, R.H.; Edmonds, J.A.; Hibbard, K.A.; Manning, M.R.; Rose, S.K.; van Vuuren, D.P.; Carter, T.R.; Emori, S.; Kainuma, M.; Kram, T.; et al. The next Generation of Scenarios for Climate Change Research and Assessment. Nature 2010, 463, 747–756. [Google Scholar] [CrossRef]
- Taylor, K.E.; Stouffer, R.J.; Meehl, G.A. An overview of cmip5 and the experiment design. Bull. Am. Meteorol. Soc. 2012, 93, 485–498. [Google Scholar] [CrossRef]
- Xuan, Y.; Xu, T.; Baode, C.; Yan, T.; Zhan, T. Uncertainty of Ensemble Winter Wheat Yield Simulation in North China Based on CMIP5. Prog. Geogr. 2013, 32, 627–636. [Google Scholar]
- Erda, L.I.N.; Yingjie, L.I.U. Advance in New Scenarios of Greenhouse Gas Emission and Climate Change. Sci. Agric. Sin. 2008, 41, 1700–1707. [Google Scholar]
- Minpeng, C.; Erda, L. Global Greenhouse Gas Emission Mitigation Under Representative Concentration Pathways Sce-narios and Challenges to China. Adv. Clim. Chang. Res. 2010, 6, 436–442. [Google Scholar]
- He, J.; Dukes, M.D.; Hochmuth, G.J.; Jones, J.W.; Graham, W.D. Identifying Irrigation and Nitrogen Best Management Practices for Sweet Corn Production on Sandy Soils Using CERES-Maize Model. Agric. Water Manag. 2012, 109, 61–70. [Google Scholar] [CrossRef]
- Xiaoxin, W.; Dabang, J.; Xianmei, L. Temperature and Precipitation Changes over China under a 1.5 °C GlobalWarming Scenario Based on CMIP5 Models. Chin. J. Atmos. Sci. 2019, 43, 1158–1170. [Google Scholar]
- Kelly, T.D.; Foster, T.; Schultz, D.M. Assessing the Value of Adapting Irrigation Strategies within the Season. Agric. Water Manag. 2023, 275, 107986. [Google Scholar] [CrossRef]
- Markovic, M.; Sostaric, J.; Josipovic, M.; Zebec, V.; Spoljarevic, M.; Lisjak, M.; Teklic, T. The response of maize (Zea mays L.) grain yield to water and nitrogen supply in an eastern croatian environment. Irrig. Drain. 2017, 66, 206–217. [Google Scholar] [CrossRef]
- Zhang, S.; Zhou, X.; Mu, Z.; Shan, L.; Liu, X. Effects of Different Irrigation Patterns on Root Growth and Water Use Efficiency of Maize. Trans. Chin. Soc. Agric. Eng. 2009, 25, 1–6. [Google Scholar]
- Zhibo, H.; Baoqing, Z.; Jie, T.; Chansheng, H. Yield of the Maize in Heihe Oasis Under Climate Change in Northwest China Predicted Based on the CCSM4 Climate Model. J. Irrig. Drain. 2018, 37, 108–115. [Google Scholar]
- Wang, J.; Wang, E.L.; Yang, X.G.; Zhang, F.S.; Yin, H. Increased Yield Potential of Wheat-Maize Cropping System in the North China Plain by Climate Change Adaptation. Clim. Chang. 2012, 113, 825–840. [Google Scholar] [CrossRef]
- Wang, J.; Wang, E.R.; Yin, H.; Feng, L.P.; Zhang, J.P. Declining Yield Potential and Shrinking Yield Gaps of Maize in the North China Plain. Agric. For. Meteorol. 2014, 195, 89–101. [Google Scholar] [CrossRef]











| Year | Sowing Date | Irrigation Amount (mm) | |||
|---|---|---|---|---|---|
| Seedling | Jointing | Filling | Total | ||
| 2019 | 25 April | 21.6 | 74.7 | 90.0 | 186.3 |
| 2020 | 25 June | 15.2 | 52.3 | 62.5 | 130.0 |
| 2021 | 25 June | 0 | 0 | 0 | 0 |
| Soil Layer (cm) | Soil Texture | Bulk Density (g/cm3) | SAT (cm3/cm3) | FC (cm3/cm3) | PWP (cm3/cm3) | Ks (mm/d) | |||
|---|---|---|---|---|---|---|---|---|---|
| Clay (%) | Silt (%) | Sand (%) | |||||||
| 0–10 | 3.4 | 24.5 | 72.1 | Sandy loam | 1.40 | 0.490 | 0.247 | 0.050 | 59.8 |
| 10–20 | 2.2 | 18.4 | 79.4 | Sandy loam | 1.46 | 0.490 | 0.247 | 0.050 | 59.8 |
| 20–40 | 2.9 | 21.8 | 75.3 | Sandy loam | 1.51 | 0.530 | 0.218 | 0.043 | 62.7 |
| 40–60 | 6.7 | 55.4 | 37.9 | Silty loam | 1.54 | 0.530 | 0.218 | 0.043 | 62.7 |
| 60–80 | 7.6 | 50.9 | 41.5 | Silty loam | 1.56 | 0.530 | 0.300 | 0.045 | 46.9 |
| Scenario | Settings |
|---|---|
| T1 | Rain-fed condition |
| T2 | Optimal TAWj (%) irrigation 1 |
| T3 | The total amounts are 180.0 mm |
| T4 | The total amounts are 130.0 mm |
| T5 | Net irrigation |
| T6 | Optimal irrigation under weather conditions 2 |
| Parameter | Scenario T2 | Scenario T6 | ||||
|---|---|---|---|---|---|---|
| Wet Year | Normal Year | Dry Year | Wet Year | Normal Year | Dry Year | |
| Number of decision variables | 5 | 5 | 5 | 3 | 3 | 3 |
| Number of objective functions | 4 | 4 | 4 | 4 | 4 | 4 |
| Population size | 500 | 500 | 500 | 500 | 500 | 500 |
| Crossover probability | 0.2 | 0.2 | 0.2 | 0.2 | 0.2 | 0.2 |
| Mutation probability | 0.01 | 0.01 | 0.01 | 0.01 | 0.01 | 0.01 |
| Number of iterations | 200 | 200 | 200 | 200 | 200 | 200 |
| Evaluation number | 91,000 | 91,000 | 91,000 | 91,000 | 91,000 | 91,000 |
| Execution time (s) | 6720.44 | 6821.24 | 5948.56 | 14,038.52 | 14,259.07 | 14,222.88 |
| Number of non-dominated solutions | 455 | 455 | 455 | 455 | 455 | 455 |
| HV | 0.005 | 0.009 | 0.010 | 0.013 | 0.040 | 0.040 |
| Spacing | 0.814 | 0.360 | 0.577 | 1.092 | 6.110 | 2.814 |
| Parameter | Value | Parameter Description | Remarks |
|---|---|---|---|
| Name | Maize | ||
| PlantingDate | 6/15 | Planting date (mm/dd) | Measured |
| HarvestDate | 10/07 | Latest harvest date (mm/dd) | Measured |
| Emergence | 7 | Growing degree days from sowing to emergence | Measured |
| MaxRooting | 62 | Growing degree days from sowing to maximum rooting | Measured |
| Senescence | 84 | Growing degree days from sowing to senescence | Measured |
| Maturity | 115 | Growing degree days from sowing to maturity | Measured |
| HIstart | 63 | Growing degree days from sowing to start of yield formation | Measured |
| Flowering | 14 | Duration of flowering in growing degree days | Measured |
| Tbase | 8 | Base temperature below which growth does not progress (°C) | Recommended |
| Tupp | 30 | Upper temperature above which crop development no longer increases (°C) | Recommended |
| Zmin | 0.3 | Minimum effective rooting depth (m) | Measured |
| Zmax | 1.0 | Maximum rooting depth (m) | Measured |
| CCx | 0.85 | Maximum canopy cover | Measured |
| CDC | 0.094 | Canopy decline coefficient | Measured |
| CGC | 0.123 | Canopy growth coefficient | Calibrated |
| HI0 | 0.35 | Reference harvest index | Calibrated |
| WP | 17 | Water productivity normalized for ET0 and CO2 (g/m2) | Calibrated |
| p_up1 | 0.12 | Upper soil water depletion threshold for water stress effects on affect canopy expansion | Recommended |
| 0.58 | Lower soil water depletion threshold for water stress effects on canopy expansion | Recommended | |
| p_up2 | 0.14 | Upper soil water depletion threshold for water stress effects on canopy stomatal control | Recommended |
| p_up3 | 0.55 | Upper soil water depletion threshold for water stress effects on canopy senescence | Recommended |
| Year | Particulars | Evaluation Parameters | ||
|---|---|---|---|---|
| NRMSE% | R2 | NSE | ||
| 2019 | CC | 8.90 | 0.87 | 0.74 |
| BIO | 9.20 | 0.97 | 0.96 | |
| 2020 | CC | 19.00 | 0.90 | 0.73 |
| BIO | 10.2 | 0.96 | 0.98 | |
| 2021 | CC | 7.0 | 0.92 | 0.73 |
| BIO | 11.6 | 0.96 | 0.87 | |
| Scenario | Optimized Objective Ranking | Weight |
|---|---|---|
| T2—Wet year | f1 > f2 > f4 = f3 | [0.42, 0.20, 0.19, 0.19] |
| T2—Normal year | f1 > f2 > f4 > f3 | [0.48, 0.19, 0.15, 0.18] |
| T2—Dry year | f1 > f2 > f4 > f3 | [0.35, 0.25, 0.16, 0.24] |
| T6—Wet year | f1 > f2 = f4 > f3 | [0.42, 0.26, 0.06, 0.26] |
| T6—Normal year | f1 > f2 = f4 > f3 | [0.45, 0.25, 0.05, 0.25] |
| T6—Dry year | f3 > f1 > f2 > f4 | [0.19, 0.14, 0.56, 0.13] |
| Scenario | Rank | Value | f1 | f2 | f3 | f4 | x0 | x1 | x2 | x3 | x4 |
|---|---|---|---|---|---|---|---|---|---|---|---|
| T2—Wet year | 1 | 0.72 | 62.83 | 5.89 | 0.15 | 1.90 | 73.49 | 93.76 | 89.13 | 3.17 | 62.83 |
| 2 | 0.72 | 36.33 | 5.85 | 0.17 | 1.89 | 49.34 | 93.03 | 52.98 | 29.24 | 36.33 | |
| 3 | 0.69 | 171.52 | 5.93 | 0.08 | 1.92 | 84.74 | 93.55 | 55.67 | 36.38 | 171.52 | |
| 4 | 0.69 | 83.64 | 5.90 | 0.13 | 1.90 | 69.25 | 93.56 | 0.000 | 41.26 | 83.64 | |
| 5 | 0.69 | 244.17 | 5.95 | 0.06 | 1.92 | 89.11 | 94.53 | 86.01 | 47.21 | 244.17 | |
| T2—Normal year | 1 | 0.78 | 72.60 | 5.96 | 0.72 | 1.83 | 20.06 | 84.95 | 96.31 | 94.45 | 72.60 |
| 2 | 0.78 | 85.62 | 6.00 | 0.67 | 1.85 | 39.73 | 85.58 | 87.58 | 99.90 | 85.62 | |
| 3 | 0.78 | 68.76 | 5.94 | 0.74 | 1.83 | 41.79 | 84.82 | 81.16 | 74.33 | 68.76 | |
| 4 | 0.78 | 121.83 | 6.07 | 0.53 | 1.87 | 31.80 | 86.99 | 94.38 | 78.31 | 121.83 | |
| 5 | 0.78 | 55.32 | 5.87 | 0.80 | 1.80 | 27.10 | 84.88 | 87.87 | 15.47 | 55.32 | |
| T2—Dry year | 1 | 0.76 | 31.08 | 5.45 | 0.56 | 1.57 | 25.40 | 53.57 | 97.83 | 88.12 | 31.08 |
| 2 | 0.75 | 125.83 | 5.80 | 0.41 | 1.67 | 74.21 | 83.37 | 86.30 | 89.70 | 125.83 | |
| 3 | 0.74 | 90.64 | 5.69 | 0.46 | 1.64 | 73.47 | 78.71 | 85.25 | 96.69 | 90.64 | |
| 4 | 0.74 | 247.17 | 5.97 | 0.28 | 1.72 | 83.84 | 89.63 | 93.49 | 96.89 | 247.17 | |
| 5 | 0.74 | 171.55 | 5.87 | 0.35 | 1.69 | 74.17 | 86.85 | 79.30 | 99.16 | 171.55 | |
| T6—Wet year | 1 | 0.93 | 132.23 | 5.89 | 0.07 | 1.90 | 0 | 16.53 | 0.15 | ||
| 2 | 0.93 | 141.88 | 5.90 | 0.07 | 1.90 | 0 | 12.90 | 0.13 | |||
| 3 | 0.93 | 273.24 | 5.93 | 0.05 | 1.92 | 0 | 11.88 | 0.08 | |||
| 4 | 0.93 | 184.26 | 5.92 | 0.07 | 1.91 | 0 | 16.75 | 0.11 | |||
| 5 | 0.93 | 278.71 | 5.94 | 0.05 | 1.92 | 0 | 12.12 | 0.08 | |||
| T6—Normal year | 1 | 0.96 | 269.00 | 6.13 | 0.26 | 1.88 | 0 | 7.70 | 0.09 | ||
| 2 | 0.96 | 246.00 | 6.12 | 0.28 | 1.88 | 0 | 8.47 | 0.10 | |||
| 3 | 0.96 | 266.00 | 6.13 | 0.26 | 1.88 | 0 | 7.61 | 0.09 | |||
| 4 | 0.96 | 118.00 | 6.00 | 0.48 | 1.84 | 0 | 13.12 | 0.20 | |||
| 5 | 0.96 | 278.00 | 6.13 | 0.25 | 1.88 | 0 | 7.73 | 0.08 | |||
| T6—Dry year | 1 | 0.67 | 148.32 | 5.70 | 0.28 | 1.64 | 0 | 18.54 | 0.21 | ||
| 2 | 0.60 | 252.63 | 5.91 | 0.25 | 1.70 | 2.39 | 20 | 0.16 | |||
| 3 | 0.60 | 255.91 | 5.91 | 0.25 | 1.70 | 2.60 | 19.87 | 0.16 | |||
| 4 | 0.60 | 97.11 | 5.50 | 0.22 | 1.58 | 4.41 | 0 | 0.14 | |||
| 5 | 0.60 | 86.29 | 5.48 | 0.23 | 1.58 | 3.92 | 0 | 0.14 |
Disclaimer/Publisher’s Note: The statements, opinions and data contained in all publications are solely those of the individual author(s) and contributor(s) and not of MDPI and/or the editor(s). MDPI and/or the editor(s) disclaim responsibility for any injury to people or property resulting from any ideas, methods, instructions or products referred to in the content. |
© 2023 by the authors. Licensee MDPI, Basel, Switzerland. This article is an open access article distributed under the terms and conditions of the Creative Commons Attribution (CC BY) license (https://creativecommons.org/licenses/by/4.0/).
Share and Cite
Shan, Y.; Li, G.; Tan, S.; Su, L.; Sun, Y.; Mu, W.; Wang, Q. Optimizing the Maize Irrigation Strategy and Yield Prediction under Future Climate Scenarios in the Yellow River Delta. Agronomy 2023, 13, 960. https://doi.org/10.3390/agronomy13040960
Shan Y, Li G, Tan S, Su L, Sun Y, Mu W, Wang Q. Optimizing the Maize Irrigation Strategy and Yield Prediction under Future Climate Scenarios in the Yellow River Delta. Agronomy. 2023; 13(4):960. https://doi.org/10.3390/agronomy13040960
Chicago/Turabian StyleShan, Yuyang, Ge Li, Shuai Tan, Lijun Su, Yan Sun, Weiyi Mu, and Quanjiu Wang. 2023. "Optimizing the Maize Irrigation Strategy and Yield Prediction under Future Climate Scenarios in the Yellow River Delta" Agronomy 13, no. 4: 960. https://doi.org/10.3390/agronomy13040960
APA StyleShan, Y., Li, G., Tan, S., Su, L., Sun, Y., Mu, W., & Wang, Q. (2023). Optimizing the Maize Irrigation Strategy and Yield Prediction under Future Climate Scenarios in the Yellow River Delta. Agronomy, 13(4), 960. https://doi.org/10.3390/agronomy13040960

