Abstract
In order to explore the laws of corn straw lateral moving and throwing, it is necessary to identify the main factors that restrict improvements in the quality of straw clearing and reductions in power consumption and then optimize the knife parameter combinations; in this paper, the kinematic analysis of single-stage lateral moving and throwing of corn straw was carried out, and the mathematical model for the collision process between the knife and straw is established. Key factors affecting the lateral moving and throwing efficiency of straw were determined according to the model analysis. A parameter combination optimization test was conducted with three-factor and five-level quadratic regression orthogonal rotation center combination test methods and discrete element virtual simulation, taking into account the edge angle of cutting, the rotation radius of the knife, and the rotation speed of the knife roller as test factors and the straw clearing rate and power consumption as performance evaluation indexes. The test results showed that at a travel speed of 7.2 km/h when the edge angle of cutting was 65°, the rotation radius of the knife was 420 mm, and the rotation speed of the knife roller was 538~600 rpm, the straw clearing rate was ≥85%, and power consumption was ≤1.5 kW. The field test was carried out to verify the optimized results, and the test results showed that the test values of the performance evaluation indexes were all in the ranges of the optimized interval. These research results lay down the foundation for the design of lateral straw clearing and throwing knives.
1. Introduction
Conservation tillage technology is a new agricultural farming institution and technology system which focuses on soil health by increasing the organic matter content in soil to build a fertile tillage layer and prevent wind and water erosion; it is an advanced guaranteed technology for China to implement the development strategy of “storing grain in land and technology”, consolidate national food security, and achieve sustainable agricultural development in economy, society, and ecology [1,2,3,4]. The surface straw covering is an important part of conservation tillage technology, which has the advantages of improving soil structure, increasing organic matter content, enhancing soil drought resistance, increasing water storage and moisture retention capacity, reducing wind and water erosion, and reducing the use of fertilizers and pesticides, which has laid a foundation for the increase in grain production, farmer incomes, and the sustainable and healthy development of agriculture [5,6,7,8].
According to the statistics, the total output of straw crops in northeast China showed a gradual growth trend from 2008 to 2015, with an average annual growth rate of about 6.1%, and the straw output in 2015 was about 159 million tons [9]. When sowing directly on the corn straw-covered ground, the large amount of straw and poor operating conditions can easily lead to the blockage of fertilizing and sowing openers, which would result in a decrease in sowing spacing consistency and sowing depth stability [10,11,12]. The straw clearing device is a core component of straw covering direct sowing, and its performance directly affects the quality of seedbed construction and the effect of sowing and fertilizing, thus affecting the seeding emergence rate, seeding quality, and final grain yield [13,14,15].
The straw clearing and covering minimum tillage seeder adopts the method of lateral straw throwing, which can effectively complete the seedbed preparation, precision sowing, deep fertilizing on one side, soil covering and pressing, chemical control to prevent pests and diseases and can provide an even covering of straw [16,17]. During the sowing operation, the main function of the straw-clearing device in the straw clearing and covering minimum tillage seeder is seedbed preparation and an even straw covering. Straw and stubble are shocked, moved, and thrown by the lateral straw clearing and throwing knife at high speed. The lateral straw clearing and throwing knives are key components of the straw-clearing device. Due to the unreasonable design of the knife structure and the unscientific selection of the operation parameters, there are some problems encountered during the machine’s operating processes, such as low efficiency of straw lateral moving and throwing, the poor quality of straw clearing, and high power consumption, which restrict the further improvement of the operation quality and efficiency of the straw clearing and covering minimum tillage seeder.
A certain amount of research work has been carried out in advance for the straw clearing and covering minimum tillage seeder. Dun et al. [18] carried out theoretical analysis and parameter optimization test research to determine the best arrangement and rotation direction of the lateral straw clearing and throwing knife. Chen et al. [19] conducted the optimization test research on knife arrangement, knife numbers, and rotation speed of the knife roller and obtained the most optimal parameter combinations affecting the operation performance. Wu et al. [20] applied the orthogonal test method to conduct an optimization test for power consumption and fuel consumption characteristics of the corn straw clearing and covering minimum tillage seeder with the operating depth of the knife and the machine travel speed as test factors. Wang et al. [21] carried out test research on the soil disturbance situation of the wheat straw clearing and covering minimum tillage seeder, with the knife arrangement, the rotation speed of the knife roller, and machine travel speed as test factors. Through this analysis, it could be seen that, at present, the research on the straw clearing and covering minimum tillage seeder mainly focused on the combination optimization of overall structural parameters, the influence of interaction law between the knife and straw and knife parameter combination on machine operation performance has not yet appeared.
Over the years, scholars have conducted research on the interaction law between straw and rotating components. Hu [22] established differential equations of particle motion along the throwing blade, discussed the effects of each variable on particle motion, and simplified it by theoretical analysis. Shi et al. [23] designed a spring tooth-type straw-clearing device to prevent the straw from being brought back, theoretically analyzed the motion law of straw on the spring tooth, and implemented high-speed camera technology to conduct a combination optimization test on key parameters affecting straw being brought back. Zhai et al. [24] modified the dynamic model of straw motion along the throwing blade by introducing an equivalent friction coefficient and obtained the values of equivalent friction coefficient under different structures and operation parameters through regression analysis of the dynamics model and material movement trajectory obtained by high-speed photography. The abovementioned research provided a basis for the optimization design of knife parameters and the interaction law between lateral straw clearing and throwing knife and straw. However, current research mainly focuses on straw crushing, the prevention of straw being brought back, and the vertical throwing technology, paying little attention to the lateral movement and throwing of straw. Existing research has carried out an in-depth theoretical analysis on straw motion along the knife, but in the actual production process, the motion time of straw along the knife is very short, mainly occurring at the moment of the initial collision, and the contact area between the knife and straw is small; straw will quickly disengage from the knife after the collision. Therefore, the abovementioned research has little practical guiding significance for the analysis of the interaction between lateral straw clearing and throwing knife and straw.
Based on the above analysis, this paper conducted a kinematic analysis on the single-stage lateral moving and throwing of corn straw and established a mathematical model of the knife–straw collision. The key factors affecting the straw lateral moving and throwing efficiency were determined according to the model analysis. The quadratic regression orthogonal rotation center combination test and discrete element virtual simulation were used to explore the laws of straw lateral moving and throwing and optimize knife parameter combinations.
2. Materials and Methods
2.1. Operation Principle of the Lateral Moving and Throwing of the Straw
The straw clearing and covering minimum tillage seeder is mainly composed of the straw-clearing knife roller and the sowing and fertilizing device, as shown in Figure 1a,b. Main technical parameters are as follows: the number of operation lines is 2, the sowing row spacing is 650 mm, the operation width is 1300 mm, the spacing of knife rollers is 650 mm, the number of lateral straw clearing and throwing knives on single straw-clearing knife roller is 16, the number of the lateral straw clearing and throwing knives in the same rotary plane of the straw-clearing knife roller is 4, the axial distance of the knife is 90 mm, and the operating depth of the knife is 10 mm.
Figure 1.
Structure and operation principle of the straw clearing and covering minimum tillage seeder. (a) Structure and arrangement of the straw clearing knife roller. (b) Configuration relationship and operation principle of the straw clearing knife roller and seeding and fertilizing device. (c) Operation principle of the straw clearing and covering minimum tillage seeder.
The straw clearing and covering minimum tillage seeder works through the connection of the tractor’s three-point suspension. The three-point suspension hydraulic system is in a floating state, and the traction force of machine and rotary power of straw-clearing knife roller are provided by the tractor, as shown in Figure 1c. The lateral straw clearing and throwing knives fixed on the straw-clearing knife rollers, as shown in Figure 1a,b, cut off the stubble in the seeding belt and throw the stubble together with straw to the left side of the forward direction of the machine and clear up a seeding belt without straw and stubble covered, which is shown in Figure 1b,c, to create a seedbed without straw cover for the operation of seeding and fertilizing device, which can effectively improve the seeding quality. During the return operation, the lateral straw clearing and throwing knives throw the straw and stubble in the seeding belt onto the sowed ground of the previous trip to complete the straw covering operation, as shown in Figure 1c. The function of conversation tillage of the minimum tillage seeding with straw covered on the ground is finally realized. In actual operating process, the control of the straw coverage uniformity and coverage distance can be realized by adjusting the length and angle of the straw-covering control board according to the actual situations of straw coverage amount, soil moisture content, and straw length, as shown in Figure 1a.
At present, the efficiency of lateral moving and throwing of straw in working process of straw clearing and covering minimum tillage seeder does not match the forward operation efficiency of the machine, leading to a poor effect of seedbed straw clearing. The phenomenon that the machine is blocked by the straw occurs when the travel speed is greater than 5.4 km/h, which seriously restricts the promotion and application of straw clearing and covering minimum tillage seeding technology in China. In this paper, through the kinematic analysis of single-stage lateral moving and throwing of corn straw, the mathematical model of collision process between the knife and straw was established to reveal the laws of lateral moving and throwing of corn straw and then to clarify the main factors limiting the improvement of straw moving efficiency and straw clearing quality. The combination method of the quadratic regression orthogonal rotation center combination test and discrete element simulation was used to optimize knife parameter combinations and laid a foundation for the research of the multi-stage lateral moving and throwing of straw and the creation of the lateral straw clearing and throwing knife.
2.2. Establishment of the Interaction Model between the Knife and Straw
When the machine works, the lateral straw clearing and throwing knife rotate at high speed on the rotary plane, which is perpendicular to the forward direction of the machine and collides firstly with the stationary straw on the ground. Straw obtains initial velocity from the collision and moves along the knife edge, and the lateral moving and throwing process will be realized when the straw moves and slips away from the knife. This paper took the corn straw mechanically harvested and crushed as the research object and proposed the following hypotheses during the research process: (1) The collision between the knife and straw is an inelastic collision. (2) The straw is abstracted as a particle, and the interaction relationship between the knife and soil is not considered. (3) Assume that the displacement of the straw collision process is zero. Since the collision time between the straw and knife is very short and the straw toughness is large, the position change of the straw on the knife from the beginning to end of the collision will be very small. Therefore, the straw displacement during the collision can be ignored; only the velocity change before and after the collision can be considered. (4) Air resistance effect is ignored.
A fixed coordinate system XOY with the knife rotation center O as the origin was established, which is shown in Figure 2. Since the interaction relationship between the knife and soil is not considered in this paper, the energy loss when the knife collides with straw can be expressed as follows:
where J is the rotational inertia of the knife, kg·m2; ω is the angular velocity of knife rotation, rad/s; m is the straw mass, kg; ρ0 is initial rotation radius of straw, mm; ω0 is angular velocity at the collision moment, rad/s.
Figure 2.
Motion analysis of the collision process between the knife and straw.
After collision of the knife and straw, straw rotates synchronously with the knife, so the straw will accelerate rapidly from ω0 to ω. At the same time, the straw obtains radial slip initial velocity along the direction of the knife edge and begins to move along the knife edge. The energy loss of this process can be expressed as follows:
According to the momentum moment theorem, ω0 can be obtained. Combining the Equations (1) and (2), the total energy loss in the collision process can be expressed as follows:
Since the rotational inertia of the knife is much larger than that of the straw, Equation (3) can be simplified. The total energy loss simplified in the collision process can be expressed as Equation (4) according to the law of energy conservation.
where va0 is the initial movement absolute velocity of the straw, m/s.
The initial movement absolute velocity of the straw can be decomposed into the transport velocity rotating with the knife and the relative velocity moving along the radial direction of the knife edge, as shown in Figure 2. When the rotational angular velocity of the knife is constant, transport velocity of the straw after collision can be determined. The absolute velocity of the straw is mainly related to initial slipping velocity of the straw along the knife edge. The increase of initial slipping velocity of the straw along the knife edge can improve straw moving velocity in the X-axis direction, which is beneficial to improve straw moving efficiency between the straw clearing knife rollers, effectively increase straw throwing distance, and improve uniformity of straw coverage. As the straw velocity in X-axis direction increases, straw displacement in Y-axis direction decreases in unit time, which can further improve the efficiency and quality of straw movement between straw-clearing knife rollers. From Equation (4), the initial slipping velocity of straw along the knife edge can be expressed as follows:
where θ is the edge angle of cutting (°).
It can be seen from Equation (5) that initial slipping velocity of the straw along the knife edge is always greater than zero, which means straw always has a tendency to move outward along the knife edge. Initial slipping velocity of the straw along the knife edge is related to initial rotation radius of the straw, rotational angular velocity of the knife, and the edge angle of cutting. Each factor is positively correlated with initial slipping velocity of the straw along the knife edge; that is, as the value of each factor increases, the greater initial slipping velocity of straw along the knife edge, the shorter slipping time of the straw along the surface of the knife edge, which is beneficial to realize straw lateral throwing process quickly and improve operation efficiency of straw lateral moving and throwing. Initial rotation radius of the straw is related to operation condition of the knife, straw distribution, and rotation radius of the knife, in which the operation condition of the knife and straw distribution are uncontrollable factors and not considered in the study.
2.3. Parameter Combination Optimization of the Knife Based on EDEM
Through the analysis of the straw lateral throwing process and the establishment of mathematical model of straw collision, main parameters of the knife affecting straw throwing conditions and straw movement efficiency were determined. In order to explore the influence law of each parameter on operation performance, determine parameter value range, optimize parameter combinations, reduce test period and decrease processing cost of the test device, this paper adopted discrete element simulation and quadratic regression orthogonal rotation center combination test to conduct the research.
2.3.1. System Model Construction
The equal scale model of the straw clearing knife roller was carried out by SolidWorks 3D design software. Considering the simulation efficiency and effect comprehensively, the components irrelevant to the process of straw lateral moving and throwing were removed to simplify the model during modeling reasonably, and Figure 3a was the simplified model. In order to simulate field operation environment, a virtual soil trough model (length × width × height) of 2000 mm × 1000 mm × 250 mm was created in EDEM software. The soil particles were simulated by 5 mm balls, and the soil layer with a thickness of 125 mm was generated by gravitational deposition method. The same vertical load which was used to measure actual soil density was exerted on the soil layer to make the properties of the virtual soil layer consistent with actual soil layer, as shown in Figure 3b [25,26]. The spheres with the diameter of 20 mm and center distance of 10 mm were combined into linear particles with a length of 100 mm to simulate straw particles, and the particle factory was set up above soil layer to generate corn straw layer with a thickness of 50 mm, as shown in Figure 3c [27,28]. The straw-clearing knife roller model was imported on the soil trough with corn straw covered, which was established in EDEM software to complete the construction of the straw-clearing knife roller–straw–soil discrete element simulation system model, as shown in Figure 3d.
Figure 3.
Discrete element simulation model construction and simulation. (a) Straw clearing knife roller model. (b) Soil particle discrete element model. (c) Straw particle discrete element model. (d) Straw clearing knife roller–straw–soil system discrete element simulation model.
2.3.2. Contact Model and Intrinsic Parameter
In order to improve the quality of discrete element simulation, it was necessary to select reasonable material contact models and correct intrinsic parameters. In order to accurately extract operation process torque of the knife and thus to calculate power consumption, Hertz–Mindlin with bonding contact model is applied between soil particles, which can effectively simulate the force between the actual soil and the knife with the following bonding parameters: normal stiffness per unit area is 3.4 × 108 N/m3, shear stiffness per unit area is 1.5 × 108 N/m3, critical normal stress is 2.1 × 105 N/m2, critical shear stress is 6.8 × 104 N/m2 and bonding radius is 5.5 mm [29]. Hertz–Mindlin (no slip) contact model was applied for straw and straw, straw and lateral straw clearing and throwing knife, straw and soil, and soil and lateral straw clearing and throwing knife. According to the material used in actual production, the model material of lateral straw clearing and throwing knife was set to 65 Mn. The contact and intrinsic parameters values were determined, referring to relevant literature and test calibrations [29,30,31,32], as shown in Figure 3.
2.3.3. Simulation Test Scheme
The highest travel speed of the sowing and fertilizing device matched with the straw clearing and covering minimum tillage seeder is 7.2 km/h. Based on the machine operating efficiency maximization, the simulation travel speed was designed to be 7.2 km/h. In order to explore the influence of the lateral straw clearing and throwing knife parameters on operating performance, the simulation test study, adopting three-factor and five-level quadratic regression orthogonal rotary center combination test method with the edge angle of cutting, the rotation radius of the knife, and the rotation speed of the knife roller as test factors, the straw clearing rate and power consumption as performance evaluation indexes, was conducted. The level coding of the test factors is shown in Table 1.
Table 1.
Level coding table of the test factors.
2.3.4. Measurement and Calculation of the Performance Evaluation Indexes
Performance evaluation indexes of lateral straw clearing and throwing knife included straw clearing rate and power consumption, and the measurement of performance evaluation indexes referred to GB/T 20865-2017 “No or minimum tillage fertilizes-seeder”. Straw clearing rate was the ratio of corn straw amount covered on the ground after and before operation in the operation area of straw clearing knife roller. The change amount of corn straw pellets in the operation area of straw clearing knife roller after and before operation was extracted by the solve report module of EDEM software, which was shown in Figure 3d. Power consumption could be extracted and calculated in real-time by the Torque module of EDEM software. The performance evaluation indexes could be calculated using Equation (6):
where η is straw clearing rate, %; Whi is corn straw amount after operation in the test area, kg; Wqi is corn straw amount before operation in the test area, kg; P0 is power consumption, kw; Ti is average torque, N·m; ni is average rotational speed of the straw clearing knife roller within the test area, rpm.
2.4. Field Validation Tests
The test was implemented on 24 September 2021 at the test field of Northeast Agricultural University (126.73° E, 45.74° N). The test field is located in the southeastern part of the Songnun Plain, which has a continental monsoon climate. The average annual sunshine is 2500 h, and the average annual temperature is about 3.6 °C. Most of the rainfall in a year is concentrated from May to September, with an average annual precipitation of 500 to 600 mm. The test plot was original corn stubble field after mechanical harvesting and crushing, as shown in Figure 4b. The corn variety planted in the previous crop was Ruifuer No. 1, with a row spacing of 650 mm and plant spacing of 210 mm. The average length of corn straw crushed was 100 mm, the water content was 26.2%, and the straw coverage amount was 1.57 kg/m2. The soil type was black clay with an average hardness of 17.3 kg/cm2 and average water content of 25.7% at 0~10 cm depth.
Figure 4.
The connection of test instruments and equipment and the measurement of evaluation indexes. (a) The connection of power consumption measurement instruments and equipment. (b) Test environment and process. (c) Straw clearing rate measurement.
The instruments and equipment used in the test included a 324-type tractor (Ningbo Benye Tractor Manufacturing Co., Ltd., Ningbo, China), a 2BMFJ-2 straw clearing and covering minimum tillage precision seeder (Northeast Agricultural University, Harbin, China), a JM5937A dynamic signal testing system (Yangzhou Jingming Technology Co., Ltd., Yangzhou, China), a JNNT-0 strain type torque sensor (Bengbu Sensor System Engineering Co., Ltd., Bengbu, China), a PV6.08 penetration resistance meter (Royal Eijkelkamp Company, Giesbeek, The Netherlands), a DG-101-1S electric thermostatic drying oven (Shaoxing Supo Instrument Co., Ltd., Shaoxing, China) and an HZ-150 electronic scale (Ruian Haozhan Hengqi Co. Ltd., Ruian, China). The connection between instruments and equipment is shown in Figure 4a.
In order to verify the correctness of discrete element simulation, the field test was implemented on the parameter combinations optimized by discrete element simulation test. Since only the power consumption of single straw-clearing knife roller needed to be measured, the seeding and fertilizing device was restricted from contact with the ground during field test. The measurement method and calculation formula for straw clearing rate of field test were the same as the discrete element simulation. Three operation areas (300 mm × 300 mm in length × width) of straw-clearing knife rollers with a distance of more than 500 mm were randomly selected and marked on the straw-clearing strip. Measure the straw amount in the area before test and then take the measured straw to its original position. Measure the straw amount in the area again after test, and the straw clearing rate was calculated by Equation (6). As for the measurement of power consumption, torque sensor between tractor and drive shaft could measure torque; real-time data acquisition device could complete data collection and storage. As shown in Equation (6), power consumption could be calculated by extracting average torque and average rotational speed within the measured length.
3. Results
According to the three-factor and five-level quadratic regression orthogonal rotary center combination test method, 23 group simulation tests were implemented in EDEM software. Each group was repeated three times, and the average values were taken as final test results, which are shown in Table 2.
Table 2.
Test scheme and results.
When the straw-clearing knife roller was all in a virtual soil trough in the axial direction and in a stable operational state, the velocity magnitude and position distribution of the straw lateral moving and throwing in a discrete element simulation test of different parameter combinations were shown in Figure 5. Under different parameter combination conditions, the trajectories of straw lateral moving and throwing had similar characteristics. Straw particles in the vertical direction were discrete distribution, and straw particle velocity gradually increased from the bottom to the top. The interaction time between the straw on the top and the lateral straw clearing and the throwing knife was longer; the straw would slip and accelerate with the rotation of the knife, so the time that the straw separated from the knife was late, and the speed was large, which was consistent with above theoretical analysis. However, at the same moment, there were differences in the movement trend and velocity magnitude of straw particle groups under different parameter combinations, in which the movement trend of the straw particle groups was mainly related to the edge angle of cutting of the knife. When the edge angle of cutting was large, the vertical directional velocity of straw particles was small, the throwing height was low, and the straw groups showed an approximately horizontal movement; when the edge angle of cutting was small, the vertical directional velocity of straw particles was large, the throwing height was high, and the straw groups showed a parabolic movement, as shown in Figure 5a,b. The movement velocity magnitude of a straw particle was mainly related to the rotation radius of the knife and the rotation speed of the knife roller. When the rotation radius of the knife was large, the throwing velocity of the straw particle was large, as shown in Figure 5b,d; and when the rotation speed of the knife roller was large, the throwing velocity of the straw particle was large, as shown in Figure 5b,f. When the rotation speed of the knife roller was greater than 281 rpm, the straw particles were thrown by the first two rows of lateral straw clearing and throwing knives in the forward direction of the straw clearing knife roller, while the last two rows of the lateral straw clearing and throwing knives had no straw to clear. When the rotation speed of the knife roller was not greater than 281 rpm, the four rows of lateral straw clearing and throwing knives on the straw clearing knife roller were all involved in the straw clearing.
Figure 5.
Velocity magnitude and position distribution of the lateral moving and throwing of the straw in discrete element simulation test.
The Ansys module of Design-Expert 8.0.6.1 software was applied to perform variance (ANOVA) analysis on the test results, as shown in Table 3. The straw clearing rate model was significant, and the lack of fit was not significant; the power consumption model was highly significant, and the lack of fit was not significant, indicating that the equations of the straw clearing rate and power consumption were well simulated and could be used for the analysis and prediction of subsequent data. As for the straw clearing rate, the edge angle of cutting and rotation speed of the knife roller had significant effects, and the rotation radius of the knife and interactions among all factors had no significant effect. The contribution of each factor to the straw clearing rate, in descending order, was the edge angle of cutting, the rotation speed of the knife roller, and the rotation radius of the knife. As for power consumption, the edge angle of cutting and rotation speed of the knife roller had highly significant effects, the rotation radius of the knife had no significant effect, and the interaction between the edge angle of cutting and rotation speed of the knife roller had significant effects. The contribution of each factor to power consumption, in descending order, was the rotation speed of the knife roller, the edge angle of cutting, and the rotation radius of the knife.
Table 3.
Analysis of variance.
Based on the principle of maximum efficiency, the travel speed of the straw-clearing knife roller was set to 7.2 km/h. The parameter combination optimization was carried out when the edge angle of cutting was 10°~90°, the rotation radius of the knife was 350~450 mm, and the rotation speed of the knife roller was 200~600 rpm. Objective functions and constrained conditions were as follows:
The optimization module in Design-Expert 8.0.6.1 was applied to solve multi-objective optimization, and when the rotation radius of the knife was 420 mm, the optimized interval of the edge angle of cutting and rotation speed of the knife roller were as shown in Figure 6. The edge angle of cutting was constant during the actual operation. According to the above analysis, the movement trend of straw groups was related to the edge angle of cutting; the movement height of straw groups should be reduced in the actual operation process to ensure that straw could move efficiently between straw-clearing knife rollers and be received timely by next straw clearing knife roller, which required a large edge angle of cutting. At the same time, the rotation speed of the knife roller would fluctuate under the influence of the environment. So during the design process, performance evaluation indexes should be able to meet optimization requirements in a certain range of rotation speed of the knife roller. Figure 6 showed that the optimized parameter combination was that when the edge angle of cutting was 65° and the rotation speed of the knife roller was 538~600 rpm, the straw clearing rate was ≥85%, and power consumption was ≤1.5 kW.
Figure 6.
Optimization results of discrete element simulation test.
In order to verify the correctness of the parameter combination optimization results and the accuracy of discrete element simulation, a field test was carried out on the optimized parameter combination. The straw-clearing knife roller with an edge angle of cutting of 65° and rotation radius of the knife of 420 mm was processed and installed on 2BMFJ-BL2 straw clearing and covering minimum tillage seeder. The field test was carried out when the rotation speed of the knife roller was 560 rpm, travel speed was 7.2 km/h, and the measurement methods of performance evaluation indexes were as described previously. Test results showed that the straw clearing rate was 92.53% and the power consumption was 1.38 kW, both within the range of optimization results, proving that discrete element simulation optimization results were credible.
4. Discussion
4.1. Analysis of the Influence Law of Each Factor on Straw Clearing Rate
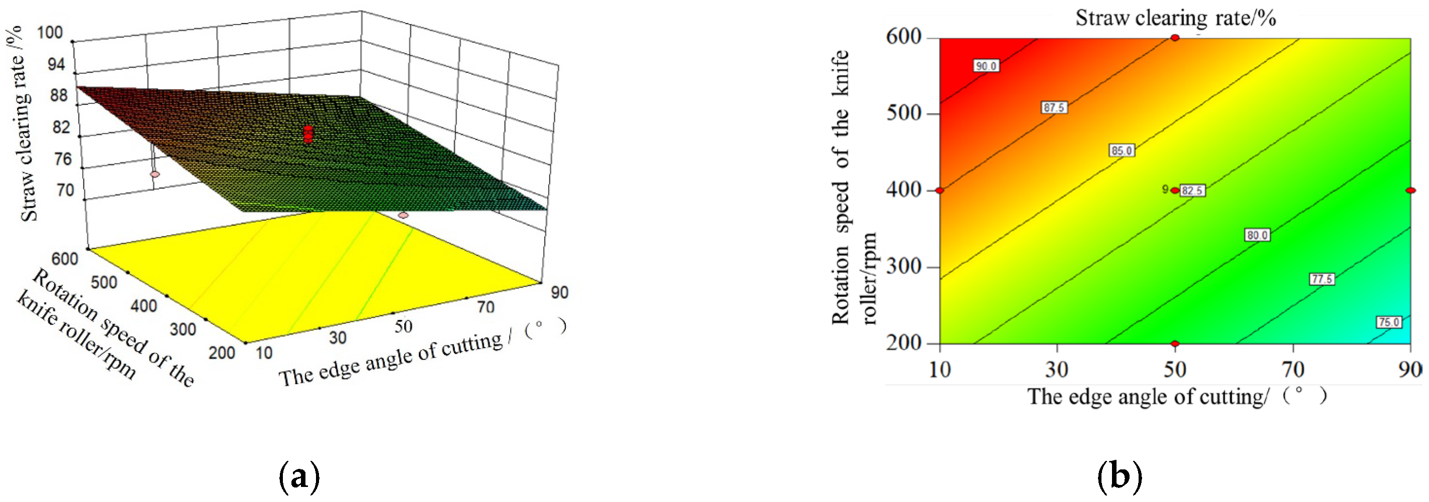
Variance analysis showed that the rotation radius of the knife had no significant influence on the straw clearing rate. Set the rotation radius of the knife to the design center point (400 mm), the influence law of the edge angle of cutting and rotation speed of the knife roller on the straw clearing rate was shown in Figure 7. The edge angle of cutting and rotation speed of the knife roller were both linearly related to the straw clearing rate, and when the rotation speed of the knife roller was certain, the straw clearing rate decreased with the increase of the edge angle of cutting.
Figure 7.
Influence law of each factor on straw clearing rate. (a) Response surface diagram. (b) Contour diagram.
As shown in Figure 8a–e, straw particles that were not cleared within the measurement interval were all at the entry end of the rotation direction of the straw-clearing knife roller. It was clear from the analysis that with the increase of the edge angle of cutting, when the lateral straw clearing and throwing knife contacted the straw, the vertical downward component force acting on the straw increased, and the horizontal component force decreased, which weakened its ability to grasp straw particles and led to an increase of residual straw. Through the structural analysis of straw clearing and covering minimum tillage seeder in Figure 1, residual straw at the entry end of the rotation direction of the straw clearing knife roller had no effect on furrowing components of the sowing and fertilizing device, but residual straw contacted with the profiling wheel, leading to an increase of fluctuant frequency and amplitude of profiling wheel in the vertical direction during the high-speed operation of the machine, which would have a certain influence on seeding stability of the seeding system and furrowing depth consistency of the sowing and fertilizing device. This problem needs to be focused on in future research.
Figure 8.
Straw-clearing effect graph of discrete element simulation test. (a–e) Straw-clearing effect graph of different values of the edge angle of cutting conditions when the rotation radius of the knife and the rotation speed of the knife roller were located at the design center point. (f–j) Straw-clearing effect graph of different values of the rotation speed of the knife roller conditions when the edge angle of cutting and the rotation radius of the knife were located at the design center point.
When the edge angle of cutting was certain, the straw clearing rate increased with the increase of rotation speed of the knife roller. From Figure 8f–j, it could be seen that when the rotation speed of the knife roller was not greater than 281 rpm, straw clearing effect was poor, and the area where the openers of the sowing and fertilizing device passed had more straws residual, which was easy to cause a blockage of openers and affect operational efficiency and quality of the machine. The simulation image analysis showed that when the rotation speed of the straw clearing knife roller was low, the number of times lateral straw clearing and throwing knife cleared the straw clearing area reduced, and some straws had no direct contact with lateral straw clearing and throwing knife. Moreover, the low rotation speed of the straw clearing knife roller led to a poor inertial effect of lateral straw clearing and throwing knife to nearby straw, which together led to an increase of straw residual amount in the straw clearing area. It can be seen in Figure 5 that the rotation speed of the straw-clearing knife roller affected the horizontal movement speed of the straw after throwing, and the low rotation speed of the straw-clearing knife roller reduced straw movement efficiency, which would affect operating efficiency and quality of the machine. Therefore, under the premise of not affecting work quality and ensuring the operation economy and safety of the machine, it was necessary to increase the rotation speed of the straw-clearing knife roller.
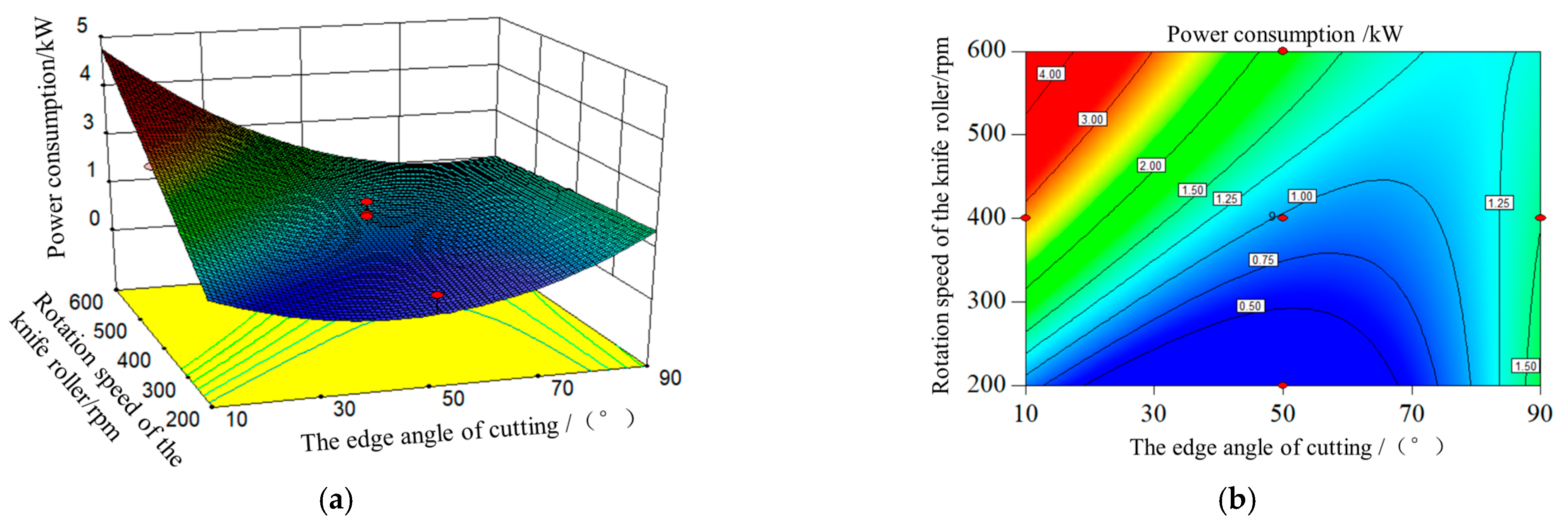
4.2. Analysis of the Influence Law of Each Factor on Power Consumption
Power consumption mainly included power consumption of straw clearing and soil cutting by the lateral straw clearing and throwing knife, which both could be calculated by collecting torque of the lateral straw clearing and throwing knife. Variance analysis showed that the rotation radius of the knife had no significant effect on power consumption. Set the rotation radius of the knife to the design center point (400 mm), and the influence law of the edge angle of cutting and rotation speed of the knife roller on power consumption was shown in Figure 9.
Figure 9.
Influence law of each factor on power consumption. (a) Response surface diagram. (b) Contour diagram.
When the rotation speed of the knife roller was certain, power consumption tended to decrease first and then increase with the increase of the edge angle of cutting. Mainly because under the same condition of rotation radius of the knife, the larger the edge angle of cutting was, the smaller the size of the force arm relative to the rotation center of the straw clearing knife roller on lateral straw clearing and throwing knife was, the smaller the torque which needed to overcome the same resistance was, and the power consumption decreased accordingly. However, discrete element simulation analysis showed that when the edge angle of cutting was greater than 83°, the interaction length of the lateral straw clearing and throwing knife on the straw and soil increased significantly. Under a certain condition of soil hardness, the vertical load on the lateral straw clearing and throwing knife increased, leading to an increase in torque, and the power consumption increased accordingly.
As shown in Figure 10a–e, the torque of the straw-clearing knife roller was mainly transmitted by the first row of lateral straw clearing and throwing knives in the operation direction, while the force on the remaining three rows of the lateral straw clearing and throwing knives was small. It indicated that under the same rotation speed of the straw clearing knife roller, the first row of the lateral straw clearing and throwing knives completed the main part of straw clearing and soil loosening. The bonds between soil particles were destroyed. Therefore, the subsequent design needed to mainly consider research on structure, material, and treatment processes of the first row of the lateral strawclearing and throwing knives to ensure that the knife structure was reasonably designed. Strength and abrasive resistance met operating requirements. At the same time, it was important to consider whether the rear three rows of the lateral straw clearing and throwing knives had a significant influence on the straw clearing rate, which had a great significance for the overall structural design of the straw-clearing knife roller, arrangement optimization and research of the lateral straw clearing and throwing knife.
Figure 10.
Torque graph of discrete element simulation test. (a–e) Torque effect graph of different values of the edge angle of cutting conditions when the rotation radius of the knife and the rotation speed of the knife roller were located at the design center point. (f–j) Torque effect graph of different values of the rotation speed of the knife roller conditions when the edge angle of cutting and the rotation radius of the knife were located at the design center point.
When the edge angle of cutting was not greater than 83°, power consumption increased with the increase of rotation speed of the knife roller. According to Equation (6), power consumption was proportional to the rotation speed of the knife roller and increased with the increase of rotation speed of the knife roller, which was consistent with the actual operation condition. When the edge angle of cutting was greater than 83°, power consumption decreased with the increase of rotation speed of the knife roller. This might be because when the edge angle of cutting was large, the main effect of the knife on the straw was slip cutting; most of the straw moved through the inertia effect of the knife. This performance was more significant when the rotation speed of the knife roller was higher; the actual work performed by the knife to clear the straw was less, which led to a decrease in power consumption.
As shown in Figure 10f–j, when the rotation speed of the knife roller was less than 281 rpm, the torque of the straw-clearing knife roller was mainly transmitted through the first two rows of lateral straw clearing and throwing knives in the operating direction, and the force on the last two rows of lateral straw clearing and throwing knives was small. It indicated that when the rotation speed of the knife roller was low, under the condition that the existing circumferential knife number was unchanged, the knife numbers in the axial direction needed to be more to achieve straw clearing. When the rotation speed of the knife roller was relatively high, the axial length of the straw-clearing knife roller needed to be increased to increase the number of axial knives. This would not only increase manufacturing costs but also lead to an increase in the axial dimension of the device, which would have a negative influence on the operation, transport, and matched power of the machine. Therefore, under the condition that the operation performance is allowed, the design value of the rotation speed of the knife roller should be greater than 281 rpm.
5. Conclusions
The mathematical model of the collision process between the lateral straw clearing and throwing knife and straw was constructed. The main structure and operation parameters of the lateral straw clearing and throwing knife affecting the straw movement efficiency were determined as the edge angle of cutting, the rotation radius of the knife, and the rotation speed of the knife roller. Based on discrete element simulation, the influence law of each parameter of the lateral straw clearing and throwing knife on the straw clearing rate and power consumption was analyzed, and the parameter combination optimization was also carried out. The main conclusions were obtained as follows:
(1) As for the straw clearing rate, the edge angle of cutting and the rotation speed of the knife roller had significant effects, and the rotation radius of the knife and the interaction of each factor had no significant effect. The contribution of each factor to the straw clearing rate, in descending order, was the edge angle of cutting, the rotation speed of the knife roller, and the rotation radius of the knife. As for power consumption, the edge angle of cutting and rotation speed of the knife roller had highly significant effects, the rotation radius of the knife had no significant effect, and the interaction between the edge angle of cutting and rotation speed of the knife roller had significant effects. The contribution of each factor to power consumption, in descending order, was the rotation speed of the knife roller, the edge angle of cutting, and the rotation radius of the knife.
(2) The movement trend of the straw particle groups was mainly related to the edge angle of cutting. When the edge angle of cutting was large, the throwing height of the straw particles was low, and the straw groups moved approximately horizontally, which was conducive to straw movement between the straw-clearing knife rollers and improve straw movement efficiency.
(3) At the travel speed condition of 7.2 km/h, when the edge angle of cutting was 65°, the rotation radius of the knife was 420 mm, and the rotation speed of the knife roller was 538~600 rpm, the straw clearing rate was ≥85%, and the power consumption was ≤1.5 kW. Field validation test results of the optimized parameter combination showed that the test values of the performance evaluation indexes were all in the range of the optimized interval.
Author Contributions
Conceptualization, S.H., C.Z. and D.X.; methodology, D.X. and C.Z.; writing—original draft Preparation, S.H.; writing—review and editing, S.H. and D.X.; software, D.X. and Z.J.; validation, D.X. and Z.J.; formal analysis, S.H. and H.C.; investigation, D.X. and C.Z.; supervision, S.H. and H.C.; funding acquisition, C.Z. and H.C. All authors have read and agreed to the published version of the manuscript.
Funding
This research was funded by the National Natural Science Foundation of China (grant number 32101628), Natural Science Foundation of Heilongjiang Province (grant number LH2021E004), Special Fund Project for the Construction of a Modern Agricultural Industrial Technology System (grant number CARS-04) and Heilongjiang Engineering and Technology Major Project of Talent Cultivation (Grant No. 2020ZX17B01).
Institutional Review Board Statement
Not applicable.
Informed Consent Statement
Not applicable.
Data Availability Statement
Not applicable.
Conflicts of Interest
The authors declare no conflict of interest.
References
- Jia, H.; Ma, C.; Li, H.; Chen, Z. Tillage soil protection of black soil zone in northeast of China based on analysis of conservation tillage in the United States. Trans. Chin. Soc. Agric. Mach. 2010, 41, 20–34. [Google Scholar]
- Kravchenko, Y.S.; Chen, Q.; Liu, X.; Herbert, S.J.; Zhang, X. Conservation Practices and Management in Ukrainian Mollisols. J. Agric. Sci. Technol. 2016, 18, 845–854. [Google Scholar]
- Zhou, D.; Li, M.; Li, Y.; Qi, J.; Liu, K.; Cong, X.; Tian, X. Detection of Ground Straw Coverage under Conservation Tillage Based on Deep Learning. Comput. Electron. Agric. 2020, 172, 105369. [Google Scholar] [CrossRef]
- Zhang, Y.; Tan, C.; Wang, R.; Li, J.; Wang, X. Conservation Tillage Rotation Enhanced Soil Structure and Soil Nutrients in Long-Term Dryland Agriculture. Eur. J. Agron. 2021, 131, 126379. [Google Scholar] [CrossRef]
- Keshavarz Afshar, R.; Cabot, P.; Ippolito, J.A.; Dekamin, M.; Reed, B.; Doyle, H.; Fry, J. Corn Productivity and Soil Characteristic Alterations Following Transition from Conventional to Conservation Tillage. Soil Tillage Res. 2022, 220, 105351. [Google Scholar] [CrossRef]
- Kumar, S.; Kadono, A.; Lal, R.; Dick, W. Long-term no-till impacts on organic carbon and properties of two contrasting soils and corn yields in Ohio. Soil Sci. Soc. Am. J. 2012, 76, 1798–1809. [Google Scholar] [CrossRef]
- Guo, M.J.; Li, J.Y.; Li, J.Y.; Qi, J.R.; Zhang, X.Y. Changes of soil structure and function after 16-year conservation tillage in black soil. Trans. Chin. Soc. Agric. Eng. 2016, 32, 130–135. [Google Scholar]
- Wang, K.X.; Fu, Q.; Zhang, Z.H.; Jiang, X.; Hao, Z.J. Effects of straw mulching mode and tillage methods on soil environment of root zone in northeast black soil. Trans. Chin. Soc. Agric. Mach. 2016, 47, 131–137. [Google Scholar]
- Wang, J.W.; Tang, H.; Wang, J.F. Comprehensive utilization status and development analysis of crop straw resource in northeast China. Trans. Chin. Soc. Agric. Mach. 2017, 48, 1–21. [Google Scholar]
- Honglei, J.; Xinming, J.; Hongfang, Y.; Jian, Z.; Jiale, Z.; Mingzhuo, G. Stalk Cutting Mechanism of No-Tillage Planter for Wide/Narrow Row Farming Mode. Int. J. Agric. Biol. Eng. 2017, 10, 26–35. [Google Scholar]
- Cao, X.; Wang, Q.; Li, H.; He, J.; Lu, C.; Yu, C. Design and experiment of active rotating collective straw-cleaner. Trans. Chin. Soc. Agric. Eng. 2021, 37, 26–34. [Google Scholar]
- Wang, Q.; Cao, X.; Wang, C.; Li, H.; He, J.; Lu, C. Research progress of no/minimum tillage corn seeding technology and machine in northeast black land of China. Trans. Chin. Soc. Agric. Mach. 2021, 52, 1–15. [Google Scholar]
- Wang, Q.; Liu, Z.; He, J.; Li, W.; He, J.; Yan, X. Design and experiment of chopping-type maize straw returning machine. Trans. Chin. Soc. Agric. Eng. 2018, 34, 10–17. [Google Scholar]
- Wang, W. Research on Key Technologies of Constructing High-Quality Maize Seedbed and Its Inter-Row Till-Planter. Ph.D. Thesis, Jilin University, Changchun, China, 2019. [Google Scholar]
- Zhao, H.B.; He, J.; Zheng, Z.Q.; Zhang, Z.G.; Liu, W.Z. Strip tillage inter-row residue side-throwing device of no/minimum-till seeder for anti-blocking and seedbed-cleaning. Trans. Chin. Soc. Agric. Mach. 2020, 51, 24–34. [Google Scholar]
- Hou, S.; Wang, S.; Ji, Z.; Zhu, X. Design and Test of the Clearing and Covering of a Minimum-Tillage Planter for Corn Stubble. Agriculture 2022, 12, 1209. [Google Scholar] [CrossRef]
- Hou, S.; Zhu, Y.; Zhu, X.; Wang, Y.; Ji, W.; Chen, H. Design and Experiment of a Straw Clearing Mulching No-Tillage Planter. Biosyst. Eng. 2022, 221, 69–80. [Google Scholar] [CrossRef]
- Dun, G.; Chen, H.; Li, A.; Feng, Y.; Yang, J. Effect of rotation direction of knife teeth configuration on clearing straw unit performance for no-tillage and straw mulching precision seeder. Trans. Chin. Soc. Agric. Eng. 2015, 31, 48–56. [Google Scholar]
- Chen, H.; Zha, S.; Dun, G.; Cong, G.; Li, A. Optimization and experiment of cleaning device of 2BMFJ type no-till precision Planter. Trans. Chin. Soc. Agric. Mach. 2016, 47, 96–102. [Google Scholar]
- Wu, G.; Chen, H.; Ji, W.; Dun, G.; Wang, H. Power and fuel consumption of 2BMFJ-3 no-tillage soybean precision seeder in stubble field. Soybean Sci. 2014, 33, 589–593. [Google Scholar]
- Wang, H.; Chen, H.; Ji, W. Anti-blocking mechanism of type 2BMFJ-3 no-till precision planter for wheat stubble fields. Trans. Chin. Soc. Agric. Mach. 2013, 44, 64–70. [Google Scholar]
- Hu, R. The motive analysis of particle which is on the blade of plane type, the blade rotates round a horizontal axle with constant angular velocity. Trans. Chin. Soc. Agric. Mach. 1980, 11, 62–72. [Google Scholar]
- Shi, N.; Chen, H.; Wang, X.; Chai, Y.; Wang, H. Design and experiment optimization of prevent bring back stubble mechanism of spring-tooth type cleaning device. Trans. Chin. Soc. Agric. Mach. 2019, 50, 84–91. [Google Scholar]
- Zhai, Z.; Wu, Y.; Wang, C. Dynamic simulation and high-speed camera analysis on materials moving along throwing impellers. Trans. Chin. Soc. Agric. Eng. 2012, 28, 23–28. [Google Scholar]
- Ucgul, M.; Saunders, C.; Li, P.; Lee, S.-H.; Desbiolles, J.M.A. Analyzing the Mixing Performance of a Rotary Spader Using Digital Image Processing and Discrete Element Modelling (DEM). Comput. Electron. Agric. 2018, 151, 1–10. [Google Scholar] [CrossRef]
- Makange, N.R.; Ji, C.; Torotwa, I. Prediction of Cutting Forces and Soil Behavior with Discrete Element Simulation. Comput. Electron. Agric. 2020, 179, 105848. [Google Scholar] [CrossRef]
- Tagar, A.A.; Changying, J.; Adamowski, J.; Malard, J.; Qi, C.S.; Qishuo, D.; Abbasi, N.A. Finite Element Simulation of Soil Failure Patterns under Soil Bin and Field Testing Conditions. Soil Tillage Res. 2015, 145, 157–170. [Google Scholar] [CrossRef]
- Tian, X.L.; Cong, X.; Qi, J.T.; Guo, H.; Li, M.; Fan, X.H. Parameter calibration of discrete element model for corn straw-soil mixture in black soil areas. Trans. Chin. Soc. Agric. 2021, 52, 100–108+242. [Google Scholar]
- Zhao, S.H.; Gao, L.L.; Yuan, Y.W.; Hou, L.T.; Zhang, X.; Yang, Y.Q. Maize straw motion law in subsoiling operation using discrete element method. Trans. Chin. Soc. Agric. Eng. 2021, 37, 53–62. [Google Scholar]
- Mak, J.; Chen, Y.; Sadek, M.A. Determining Parameters of a Discrete Element Model for Soil–Tool Interaction. Soil Tillage Res. 2012, 118, 117–122. [Google Scholar] [CrossRef]
- Li, J.W.; Tong, J.; Hu, B.; Wang, H.B.; Mao, C.Y.; Ma, Y.H. Calibration of parameters of interaction between clayey black soil with different moisture content and soil-engaging component in northeast China. Trans. Chin. Soc. Agric. Eng. 2019, 35, 130–140. [Google Scholar]
- Yu, C.; Zhu, D.; Gao, Y.; Xue, K.; Zhang, S.; Liao, J.; Liu, J. Optimization and Experiment of Counter-Rotating Straw Returning Cultivator Based on Discrete Element Method. J. Adv. Mech. Des. Syst. Manuf. 2020, 14, JAMDSM0097. [Google Scholar] [CrossRef]
Disclaimer/Publisher’s Note: The statements, opinions and data contained in all publications are solely those of the individual author(s) and contributor(s) and not of MDPI and/or the editor(s). MDPI and/or the editor(s) disclaim responsibility for any injury to people or property resulting from any ideas, methods, instructions or products referred to in the content. |
© 2023 by the authors. Licensee MDPI, Basel, Switzerland. This article is an open access article distributed under the terms and conditions of the Creative Commons Attribution (CC BY) license (https://creativecommons.org/licenses/by/4.0/).









