Abstract
In this study, the effects of goat manure fertilization (2, 4, 8, and 12 Tn/ha) on the grain yield, organic compounds, and mineral composition of two quinoa varieties (CICA-17 and Regalona Baer) were evaluated under field conditions in Northwest Argentina. The results indicate that fertilization improved the quinoa grain yield and total protein content. Low manure doses positively affected the fatty acid (FA) profile, and significant changes were determined for the monounsaturated (MUFA) and polyunsaturated (PUFA) fatty acid contents of CICA-17 and on the saturated fatty acid (SFA) contents of R. Baer seeds. The amino acid contents were positively affected in CICA-17 and negatively in R. Baer. Soluble sugars (glucose, fructose, and sucrose), major elements (K, Si, P, Mg, Ca, and Na), minor elements (Fe, Mn, Al, Zn, and Cu), and ultratrace elements (Cr and Li) were detected and discussed in terms of their impact on human nutrition and health. Conclusively, manure addition affected some essential amino acids, the desaturase activity, the n6:n3 and SFA/UFA ratios, the atherogenic index, soluble sugars, and mineral content, and the fatty acid metabolism of each variety was differently affected, especially the C16 and C18 desaturase activity, which responded differently to various manure doses. Manure addition is a promising alternative to improve the nutritional quality and functionality of quinoa grains, but the response is not linear.
1. Introduction
Quinoa (Chenopodium quinoa Willd.) is originally from the Andean region of South America. Due to its high nutritional and functional values, quinoa consumption and cultivation have increased in the last few years. It is considered a superfood [1] that may be a complementary crop for different countries [2], especially for those located in geographic areas that are marginal lands for classical crops; e.g., desert or semidesert regions in Latin American, Asian, and MENA countries, among other places in the world.
Quinoa is an important source of proteins (around 15%) and essential amino acids [3], sugars [4,5], minerals [6], vitamins, and antioxidants [7,8], and due to the absence of gluten, it is also a promising food for celiac patients. Its total oil content varies widely according to the quinoa cultivar, ranging from 2.5 to 10.9% [9,10,11]. High contents of unsaturated fatty acids (UFA, 80–90%) characterize the fatty acid (FA) profile, where the essential linoleic acid (C18:2 n6) is the most abundant (49–57%), followed by oleic (C18:1 C9, 19–29%) and linolenic (C18:3 n3, 9–12%) acids [9].
The quality of dietary fat impacts human health. Monounsaturated (MUFA) and polyunsaturated (PUFA) fatty acids have beneficial properties for consumers, helping to prevent cardiovascular diseases [12,13], improve the immune system, and balance the intestinal microbiota [14]. A balanced intake of n6:n3 (2:1 to 6:1) and limited consumption of SFA and trans-FA are recommended to avoid cardiovascular disease risks. An unbalanced ratio of n6: n3 (15:1 to 20:1) in the modern diet is considered one of the major factors in metabolic disorders, cardiovascular risk, and autoimmune disease [8,15].
Currently, several countries are interested in quinoa grains for their healthier and nutritional qualities and their stressful condition tolerance [2,16]. However, the proximal composition of quinoa varies according to different ecotypes and cultivars [8,17], genetic variability [18], and environmental conditions [19]. Thus, and according to the genotype-by-environment interaction effects, different nutritional compositions could be obtained in different places where farmers try to cultivate it [20]. The emerging market for quinoa has led farmers from different countries to use different agronomic practices to increase their yields and cover the high demands of consumers. Since quinoa is promoted as a functional food due to its nutritional value, special attention has been focused on yield and its relationship with nutritional composition. Higher yield and protein content are obtained through different agricultural practices, such as the plant density [21], selected varieties [20], tillage and fertilization [22], irrigation [23], intercropping, and fertilization from a different origin (manure or commercial) [24,25,26]. Despite the increase in quinoa cultivation, in many parts of the world, the yield is still low, varying between 700 and 1200 kg/ha [27,28]. Farmers usually do not use fertilizers for quinoa crops, and if they use it, as a general rule, they use synthetic nitrogen fertilizers at low doses. It is known that the excessive use of synthetic nitrogen fertilizers may cause serious environmental problems concerning soil fertility, human health, food security, and air pollution [29,30]. On the contrary, some studies have demonstrated that soil nitrogen enrichment using organic fertilizers has produced increases in quinoa yield, with improved protein content [31,32]. However, there is scarce information about the effects of fertilizer addition on the fat content, FA profile, sugar, amino acid, and minerals of different quinoa varieties.
The crop yield and metabolism of quinoa positively respond to the nitrogen addition [31,32], with an increase in the grain protein content, biomass, and harvest index [33,34]. However, the efficiency of nitrogen uptake by plants may be affected by drought conditions [35], and this effect seems to occur in quinoa [36]. In general, the soil where quinoa grows has low organic matter and nitrogen contents, fertilization is scarce, and watering is carried out by furrow irrigation. Although quinoa is now a good alternative for grain production, with a high nutritional value, there is scarce information about the effects of fertilization on its grain yield and different organic and inorganic compounds.
This study aimed to investigate the effects of different organic fertilization levels, without water stress, on the grain yield and its relationship with the protein content and amino acid profile, the sugar soluble content, oil content, fatty acid composition, and mineral content of two contrasting quinoa varieties cultivated under the same agroecological conditions of highlands (2000 m a.s.l.) in northwest Argentina. This area has edaphic and weather conditions corresponding to a desert type. Contrasting varieties (CICA-17 and R. Baer), one from high mountains and the other from sea level, were selected to obtain information about potential ecotype differences.
2. Material and Methods
2.1. Plant Material, Field Experiment, and Treatments
Quinoa seeds from the CICA-17 and R. Baer (RB) varieties were grown at the Encalilla experimental field (Amaicha del Valle, 22°31′ S, 65°59′ W, altitude 1995 m a.s.l., Tucumán, Argentina) in the 2017–2018 and 2018–2019 growing seasons. The climate of Encalilla is a desert type (BWkaw) according to the Köppen classification system. The soil is a sandy loam and, according to the FAO/UNESCO soil taxonomy [37], is classified as the Xeric Torriorthent type. In the first 30 cm of soil depth, the pH is 8.8, the organic matter and total nitrogen are low (0.6% and 0.055%, respectively), and the electrical conductivity (EC) is 2 dS m−1 [20]. The Encalilla site is an arid place with cold winters and hot summers. The temperature ranges from 9.7 ± 1.3 °C to 30.5 ± 1.7 °C, and the relative humidity (RH) average is 58.1 ± 3.1%. Rainfall is low, with an annual mean of 200 mm. The mean photosynthetic active radiation (PAR) at noon is 1.893 ± 46 µmol m−2 s−1. Seeds of the CICA-17 and RB varieties were sown in a randomized complete block design experiment with three replicates for each treatment (30 plots of 10 m2 each, total experimental area of 300 m2). The treatments were: CICA without manure and treated with 2, 4, 8, and 12 Tn of manure/ha (C0, C2, C4, C8, and C12, respectively); for the RB cultivar, the groups corresponded to the same amounts of manure per hectare (RB0, RB2, RB4, RB18, and RB12, respectively). Goat manure, obtained from local farmers, was applied by hand along the rows. Manure applications were carried out six months before sowing and at the reproductive phase initiation, with half of the total amount in each application. The manure and soil analyses are summarized in Table 1.
Table 1.
Soil and manure analyses.
Quinoa seeds were sown by hand (depth of 2–3 cm) in five rows (5 m long) per plot (10 m2), with 10 cm of interplant spacing and 50 cm between the rows. Twenty days after plant emergence, hand-thinning was performed to reduce the plant density to 100,000 plants/ha. Drip irrigation was applied once a week after adding the manure, twice a week after sowing during the first month, and weekly in the following months, with 1040 mm of total irrigation. Fungal disease and pest control were carried out during the cropping cycle. During the growing cycle, weed control was performed by hand.
2.2. Grain Yield
At physiological maturity (150 days after sowing), with a seed moisture level of 12% for all treatments, ten plants from the three central rows of each plot were hand-harvested for grain yield determination. After harvesting, the plants were sun-dried for a week, then dry inflorescences were manually threshed, and the grain weights were determined. The grain yield was expressed as kg/ha.
2.3. Total Protein and Amino Acid Contents
The nitrogen content of the seeds was quantified by the micro-Kjeldahl method with colorimetric ammonium (NH4+) determination [38], expressed as % seed dry mass. The total protein content (TPC) was calculated from the nitrogen content using a conversion factor of 6.25. The results were given as g/100 g of seed. For the amino acid analysis, powdered seeds were washed twice with n-hexane (chromatographic grade) to remove the lipids and centrifuged (6000 rpm, 10 min), and the pellet was further dried with nitrogen. For hydrolysis, 0.1 g of this solid residue was dissolved in a 6 N HCl solution and heated for 24 h at 110 °C. Then, this solution was evaporated with nitrogen, and the solid residue was dissolved in 2 mL of sodium phosphate (0.5 M, 2 mL), pH 6.8, and further filtered through a 0.22 µm membrane (Millipore).
Amino acid analysis was performed using a Shimadzu fluorescence detector RF10AXL for HPLC, with an automatic injector (Shimadzu Sil 20A HT Tokyo, Japan), column heater (Shimadzu CTO-10AS Tokyo, Japan), control module (Shimadzu CBM-20A Tokyo, Japan), software (Shimadzu Lab Solutions, Tokyo, Japan), and a separation column Kinetex EVO C18 100 A° LC Column 150 × 4.6 mm, Torrance, CA, USA. The flow rate of the mobile phase was 0.8 mL/min at 40 °C. The compounds were compared with the retention time of pure standards (Sigma, 99%. Buenos Aires, Argentina). The amino acid profile included the total essential amino acid content (TEAA) (leucine, lysine, valine, isoleucine, phenylalanine, threonine, histidine, and methionine) and the total non-essential amino acid content (TNEAA) (glutamine, glutamic acid, asparagine, arginine, glycine, alanine, serine, and tyrosine). Due to the acid hydrolysis, tryptophan was degraded and not detected [39].
2.4. Soluble Sugar Content
Soluble sugars were extracted according to Prado et al. [40]. Glucose was determined by the glucose–oxidase–peroxidase coupled assay according to Jorgensen and Andersen [41]. The total fructose was measured by the method of Roe and Papadopoulos [42], and sucrose by the method of Cardini et al. [43]. The total soluble sugars (TSS) were determined by the phenol-sulfuric acid method [44].
2.5. Oil Content and Fatty Acid Profile
Lipid extraction was performed according to the method previously described for seed oil extraction [45]. Briefly, quinoa seeds were crushed and sieved to obtain a fine powder (0.5 mm diameter of sieved particles). The total oil content was estimated by Soxhlet by using n-hexane, further evaporated in a rotary evaporator (Heidolph™ Hei-Vap™ Schwabach, Germany) at 45 °C. The oil content was expressed as g/100 g of seed. To determine the fatty acid profile, the total lipid of quinoa seed flour was extracted by the Folch method [46] using a chloroform/methanol solution (2:1, v/v), further transmethylated, and analyzed as previously described by van Nieuwenhove et al. [45] using an Agilent Technologies (Palo Alto, CA, USA) gas chromatograph (model 6890N) equipped with a flame ionization detector and an automatic injector (model 7683), in an HP-88 capillary column (100 mm × 0.25 mm × 0.20 µm, Agilent Technologies, USA). The fatty acids were identified by comparing the retention times with the methylated standards (99% pure; Sigma, St. Louis, MO, USA). The results were expressed as g/100 g of fatty acids methyl esters (FAME). The atherogenicity (AI) and thrombogenic (TI) indexes were estimated according to the following Ulbricht and Southgate formulae [47]:
To estimate the activity of desaturases enzymes, for C16 and C18 FA, the following formulae were applied:
Desirable fatty acids (DFA) were determined as:
2.6. Mineral Content
The extraction and mineral quantification were performed using a method previously described [48]. Briefly, grains were dried in an oven at 65 °C to a constant weight, then ground into a fine powder, passed through a 60-mesh sieve, and ashed (electric oven at 575 °C for 16 h). After cooling, ash subsamples (0.1 g) were digested with 10 mL of a HF/HClO/HNO3 (5.0/2.5/2.5, v/v) mixture in a closed Teflon vessel (Savillex, Canada) at 90 °C for at least 12 h. Once the digestion finished, the remaining acid was evaporated on a hotplate to incipient dryness. Next, 1 mL of HNO3 was added twice and evaporated to incipient dryness. Residual sediment was dissolved in HNO3 (1 mL) and transferred to a 100 mL volumetric flask. The digestion vessel was rinsed with deionized water several times, and washing water was also transferred to the volumetric flask. The flask volume was made up of deionized water and used for chemical element analysis. Twelve elements, including major (e.g., Ca, K, Mg, Na, and P), minor (e.g., Zn, Fe, and Mn), and ultratrace mineral elements (e.g., Si, Al, Cu, and Co) were quantitatively determined by high-resolution inductively coupled plasma mass spectrometry (Element XR HR-ICP-MS, Thermo Scientific, Bremen, Germany) at the labGEOTOP, Geosciences Barcelona (Spanish Research Council, CSIC, Barcelona, Spain) (Prado et al., 2014) [6]. The element concentrations (mean of 3 replicates) were expressed on a dry weight (DW) basis. The accuracy and precision errors of the analytical determination by HR-ICP-MS were lower than 10%.
2.7. Statistical Analysis
Differences between years are not shown because there were no significant differences between them. All samples were analyzed in triplicate. The results are expressed as the means of the triplicate measurements. The values were statistically evaluated by analysis of variance (ANOVA), and further, Tukey’s honestly significant difference tests were performed for mean comparisons (Minitab release 14 statistical software, 2003; Minitab Inc., State College, PA, USA). Differences are considered significant at p ≤ 0.05 [49].
3. Results
3.1. Grain Yield
The study revealed that manure application improved the grain yield of the two quinoa varieties used under the high valley (about 2000 m a.s.l.) agroecological conditions in northwestern Argentina. Our results show that by using goat manure, the grain yield increased from 2055 kg/ha to 5365 kg/ha when comparing no goat manure addition to a 4 Tn/ha dose, respectively. No significant differences between the varieties were found, nor were any interactions between the variety and manure dose. Regarding the effects of different manure goat doses, increasing the manure dose from 2 to 4 Tn/ha had a significant effect on the yield, with no differences between 4 and 8 Tn/ha, and a lower yield, similar to that achieved by the 2 Tn/ha dose, for 12 Tn/ha dose (Figure 1). Adding 2 Tn/ha of manure doubled the yield compared to the no-fertilizer treatment, and adding 4 Tn/ha increased the yield by 23% compared to the 2 Tn/ha dose.
Figure 1.
Grain yield (kg/ha) under different doses of goat manure fertilization. Bars show mean ± standard error (n = 12). Different letters represent significant differences among manure doses at p ≤ 0.05.
3.2. Total Protein and Amino Acid Contents
The total protein content (TPC) significantly increased at higher manure concentrations in both quinoa varieties (see Table 2). Thus, the highest TPC was reached at 12 Tn/ha (22.1% for CICA-17 and 21.4% for RB). The effects of different manure doses on the total amino acids (essential or non-essential) and the amino acid profile varied according to the ecotypes and doses considered. It is evident that the effect of the manure on the synthesis of different amino acids differed between the studied varieties. The total essential amino acid (TEAA) content varied according to the manure addition and varieties (Table 2). Therefore, for CICA-17, the TEAA increased in the C2 treatment and significantly decreased in the C4, C8, and C12 treatments (p ≤ 0.05). In contrast, the content of TEAA was similar in RB0 and RB2 but a significant reduction was determined in the other treatments (RB4, RB8, and RB12), mainly as a consequence of the lower Val content (p ≤ 0.05). The EAA ranged from 0.17 g/100 g protein for Thr to 6.26 g/100 g protein in CICA-17 and from 1.19 g/100 g protein for Phe to 8.08 g/100 g protein for Val g/100 in RB. The most abundant essential amino acids in CICA-17 were Phe, Leu, Lys, and Val, whereas Val, Lys, and Leu were predominant in RB. Without manure addition, the total non-essential amino acid (TNEAA) content was lower in CICA-17 than in RB (22.5 and 38.18 g/100 protein for C0 and RB0, respectively) (Table 2). The TNEAA content ranged from 0.43 g/100 g protein for Gln to 10.09 g/100 g protein for Arg in C0 and from 1.13 g/100 g protein for Gln to 10.33 g/100 g protein for Arg in RB0. The non-essential amino acids Arg, Ala, and Glu in C0 were the most abundant in CICA-17, and Arg, Glu, and Ser were the most abundant in RB0.
Table 2.
Total protein content, essential and non-essential amino acids in CICA-17 and Regalona Baer varieties under different goat manure dose treatments.
The total amino acid contents varied according to the manure doses added and differed between the varieties. CICA-17 showed an increase under C2, but under C4, C8, and C12, it exhibited a substantial decrease (Table 2). Meanwhile, RB was similar between RB0 and RB2, and then showed decreases when increasing the manure addition dose. The described behavior is mainly explained by the Leu contents in both varieties. The Lys content showed similar behavior in both varieties. Val, Ile, Phe, and Thr were the most affected EEAs in CICA-17, especially under the C4, C8, and C12 treatments, compared to the changes exhibited by RB, which decreased when adding manure but maintained higher values than CICA-17 for all manure addition doses. The NEAA content showed bimodal behavior in CICA-17, with a remarkable increase in C2, C4, and C8 and a substantial reduction in C12. In contrast, it decreased in RB under all manure addition doses.
3.3. Soluble Sugar Content
The total soluble sugar (TSS) content was lower in C0 than in RB0 (Table 3). The TSS showed a similar increasing pattern in both varieties under different manure dose applications, but the increase was more significant in CICA-17. The soluble sugars (glucose, fructose, and sucrose) varied under different manure addition doses. The glucose content increased from 0.05 g/100 g DW for C0 to 0.16 g/100 g DW for C12 and from 0.05 g/100 g DW for RB0 to 0.12 g/100 g DW for RB8. The highest value of fructose was reached in C4 (0.53 g/100 g DW) and RB8 (0.90 g/100 g DW), whereas for sucrose, the highest values were found in C8 (2.19 g/100 g DW) and RB8 (2.09 g/100 g DW).
Table 3.
Total soluble sugar, glucose, fructose, and sucrose contents in the seeds of CICA-17 and Regalona Baer varieties under different goat manure dose treatments.
3.4. Oil Content and Fatty Acids Profile
The oil content in both varieties varied from 6.3 to 5.8% and was not affected by the manure fertilization dose (Table 4). On the contrary, the FA profile significantly changed according to the manure fertilization, affecting some particular FA content (Table 4). As it was expected, the UFA content predominated over the SFA, with a value ranging from 77 to 81 g/100 g of FAME in the CICA-17 seeds and varying from 79 to 83 g/100g of FAME in the RB seeds. Among these, PUFA represented the most abundant fraction (~65–70 g/100 g of FAME) due to both essential fatty acids and linoleic (C18:2, n6) and linolenic (C18:3, n3) acids. Thus, C18:2 exhibited values of around 59 to 65 g/100 g of FAME in both quinoa cultivars, whereas C18:3 reached contents from 4.9 to 7.0 g/100 g of FAME.
Table 4.
Fatty acid compositions of quinoa seed oil of CICA-17 and Regalona Baer varieties under different goat manure treatments.
The changes observed in the FA profile due to the manure addition dose were cultivar-dependent. The most significant changes in the CICA-17 variety were observed for C18 FA after 2 and 4 Tn/ha treatments. In this regard, stearic (C18:0) and C18:2 significantly decreased, while myristic (C14:0), oleic (C18:1 C9), and C18:3 acids increased in C2 compared to C0 (p ≤ 0.05). Consequently, there was a significant increase in MUFA and a decrease in PUFA content, while the SFA/UFA ratio was not affected under these conditions (Table 4). In the C8 and C12 treatments, changes in the SFA were also observed, mainly attributed to a higher content of palmitic acid (C16:0), a fatty acid associated with strong atherogenic power. The FA variations consequently affected the SFA/UFA, which had significantly higher levels in both treatments than in the control (p ≤ 0.05).
In the RB variety, the addition of manure to the soil produced a significant variation in the C16:0. The C16:0 content significantly decreased in RB2 compared to RB0, while in the other treatments, it was similar (RB4) or even higher (RB8 and RB12) than in the RB0 (p ≤ 0.05). Consequently, similar variations were determined for the total SFA content among the treatments, with the SFA/UFA ratio significantly lower in RB2 than in the other groups.
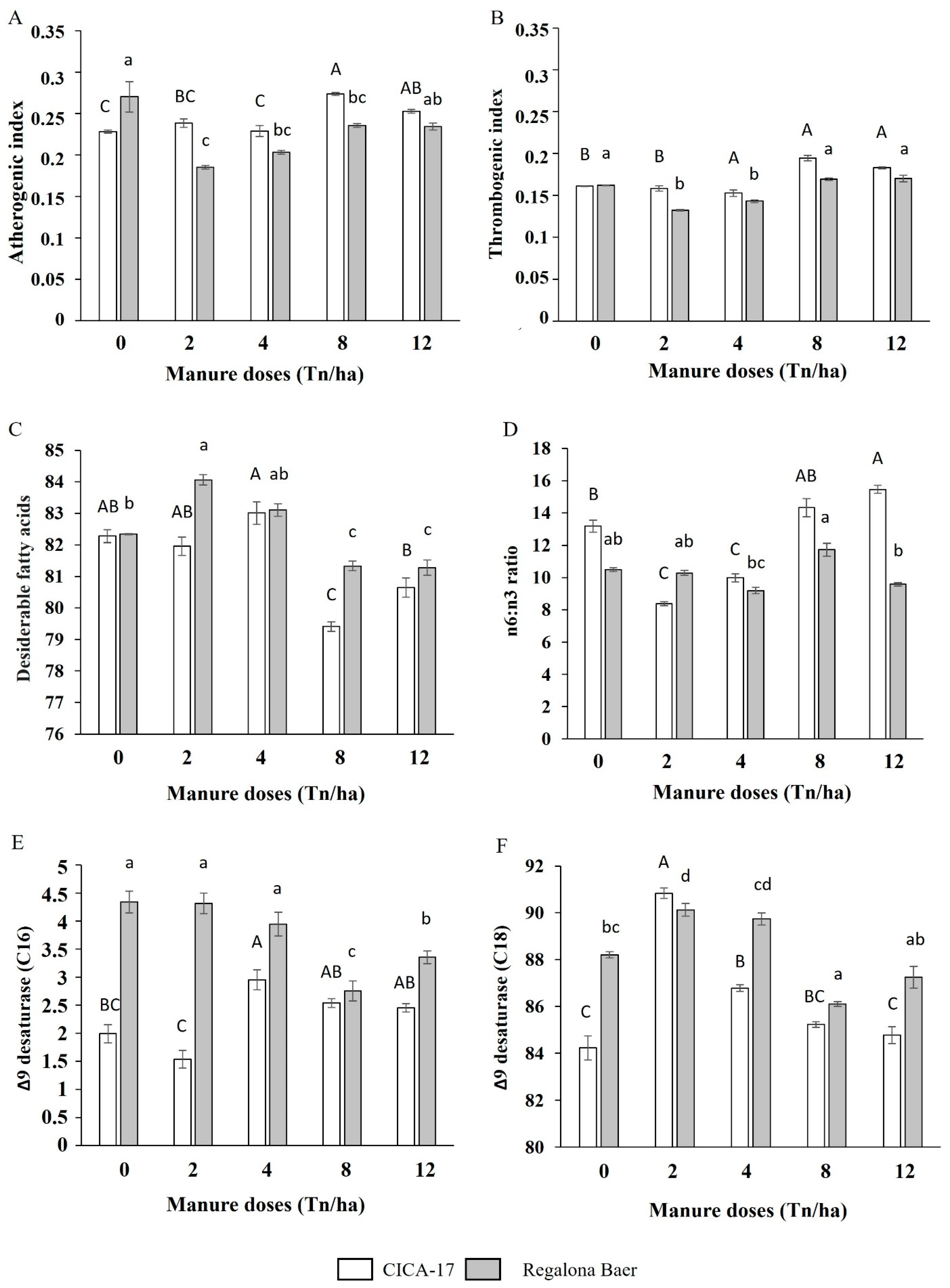
To infer which FA metabolic pathway could be altered by manure addition, Δ9-desaturase for the C16, C18, AI, TI, and DFA indexes and the n6:n3 ratio were determined (Figure 2A–F). As Figure 2A,B shows, the AI and TI indexes in the CICA-17 variety show a significant increase with increasing manure doses, reaching the highest value with 8 and 12 Tn/ha (p ≤ 0.05). On the other hand, the RB variety shows the highest AI value in quinoa cultivated without fertilization (Figure 2A), whereas the TI significantly decreased at 2 and 4 Tn/ha (Figure 2B). The manure addition significantly improved the AI of quinoa oil (Figure 2A), showing the lowest value in seeds treated with 2 and 4 Tn/ha, whereas the TI significantly decreased (Figure 2B). Regarding the DFA content, the addition of low manure concentrations (up to 4 Tn/ha) significantly improved the DFA value in both quinoa varieties, but it was negatively affected by higher concentrations (Figure 2C). As Figure 2D shows, the n6:n3 ratio was improved by fertilization up to 2–4 Tn/ha, decreasing in CICA-17 from 13:1 (without manure addition) to 8:1 at 2 Tn/ha. In RB, there was a slight but significant n6:n3 reduction from 10:1 (manure addition) to 9:1 after 4 Tn/ha of manure was applied (p ≤ 0.05).
Figure 2.
AI (A), TI (B), DFA (C), n6:n3 ratio (D), and ∆9 desaturase for C16 and C18 (E,F) in CICA-17 and Regalona Baer varieties after manure addition to soil. Values correspond to the mean ± SE (n = 3).
The increase in manure addition to the soil significantly modified the desaturase indexes in both quinoa varieties. The Δ9-desaturase for C16 increased at high manure concentrations in the CICA-17 variety (Figure 2E); the highest value was obtained after the addition of 4 Tn/ha. On the contrary, the RB variety showed a tendency to decrease the Δ9-desaturase in C16 by manure addition; the lowest value was determined at the 8 Tn/ha dose (p ≤ 0.05) (Figure 2E). On the other hand, a similar behavior for Δ9-desaturase in C18 was determined in both cultivars, which was significantly increased by fertilization with a 2 Tn/ha dose (p ≤ 0.05).
3.5. Mineral Content
The ash and mineral contents of both quinoa varieties are shown in Table 5. No significant variations in the mineral content were detected at low concentrations of manure addition (2 and 4 Tn/ha), but that changed at 8 and 12 Tn/ha. In RB8, the ash content decreased, but it increased in RB12, reaching a value similar to that of RB0. On the contrary, higher mineral content was determined for C8, decreasing in C12 until reaching a value similar to that in the C0 treatment.
Table 5.
Ash and mineral content in CICA-17 and RB varieties under different manure treatments.
The major elements were all affected by fertilization. In C8, the highest values for K, Si, Mg, and Ca were determined, whereas, in C12, the highest contents of P and Na were reached. RB8 showed significant increases in P, Mg, Ca, and Na contents compared to the other treatments, whereas the highest values of K and Si were determined in RB12 and RB4, respectively. There were no differences in the contents of the minor elements Fe, Mn, and Zn between C0 and RB0. The contents of Fe and Mn in both varieties showed a tendency to increase by manure addition, while the Mn content showed a tendency to decrease in the same treatments (Table 5). The Al content was higher in RB8 compared to the other treatments, while in CICA-17, the highest content was determined in C12. The Cu content was higher in C2 and C8 than in the other treatments, whereas in the RB cultivar, the highest Cu value was determined in RB8 and RB12.
Among the ultratrace elements, the lithium content increased in C8 and was lower for the other treatments. In contrast, the lithium content in RB showed increases with higher values as the manure dose increased. The chromium content increased in the C8 and RB8 treatments. Finally, the cobalt content increased in the C8 and RB4 treatments.
4. Discussion
This study demonstrated that goat manure fertilization, an abundant resource in the Andean region of Latin American, Asian, and MENA countries, had different effects on the yield and organic compound synthesis of the two evaluated varieties. Increases in the goat manure dose had no linear response, showing a decrease in yield after 8 Tn/ha. Although there is some information about the yield and nutritional value compounds [6,20] of different local quinoa varieties, this is the first report on changes due to different goat manure addition doses. This field study evidenced that the CICA-17 and R. Baer varieties are differently affected by goat manure fertilization, producing changes in some particular nutritional compounds and mineral accumulations. Thus, regarding human nutrition and daily nutrient requirements, it is important to consider how plant nutrition changes the nutritional value of quinoa grain.
4.1. Grain Yield
Our study showed that both varieties assayed, CICA-17 and R. Baer, improved the grain yield when adding goat manure to the soil. It is worth noting that despite the reduction in the yield when applying 8 Tn/ha and 12 Tn/ha of goat manure, the obtained values are still higher than those achieved without applying goat manure. Even so, relevance should be given to the observed yield drops, considering that they may show some nutrient imbalances, which may have adversely affected several metabolic processes, as suggested by Kumar et al., 2021 [50]. According to Romera et al., 2021 [51] a better understanding of the interactions between elements (essential and non-essential) could lead to more rational fertilization practices, preventing interactions that could contribute to unbalanced mineral nutrition of plants. Although that was not the objective of this work, future research about that knowledge is needed. Considering the different responses obtained among the doses, it would be very interesting to further investigate this topic and how to manage or correct unbalanced mineral nutrition in case it is found. Finally, it is interesting to highlight that in a previous study, a lower quinoa yield increase (up to 95%) was achieved with a 120 kg N/ha dose of nitrogen synthetic fertilizer addition compared to no fertilization [34]. Similar yield increases to those obtained in the present study have been reported by Jacobsen et al. [33], Gomaa [52], and Kakabouki et al. [53].
4.2. Protein and Amino Acid Profile
Quinoa protein content depends on the ecotypes considered and their interactions with environmental factors [6]. This study found similar protein contents (mean of 15.2%) in both quinoa varieties, similar to the 13.5% reported for CICA-17 cultivated in northwestern Argentina [3,52]. Manure application increased the protein content linearly in the studied varieties (r = 0.91 and 0.84 for CICA-17 and R. Baer, respectively; data not shown). At low manure doses, the protein content did not differ from the 0 application, but from 4 to 12 Tn/ha, the protein contents increased in both ecotypes. Nitrogen-containing compounds, such as protein and amino acids, are affected by environmental conditions, such as drought, temperature regime, and nitrogen fertilization [54,55]. The observed increases in the grain protein contents (15.5 to 22.1% for CICA-17 and 15.0 to 21.4% for R. Baer) have an important nutritional impact on human nutrition.
Previous results have shown that environmental conditions, soil properties, and microclimate features are essential for synthesizing and accumulating the essential amino acids in different quinoa ecotypes [3,55]. No significant differences in the TEAA contents were determined between the cultivars, but the TNEAA contents and particular amino acid contents significantly differed. Significant changes were found in the Val and Ile contents for CICA-17, which decreased at high manure doses, whereas the Me and Thr increased. The same behavior was detected in R. Baer. Similar behavior was previously reported for amaranth and quinoa seeds [56]. The requirements of Leu for human nutrition established by FAO/WHO/UNU [57] are around 5.9 to 6.6 g/100 g protein, and were only reached in the C2 and RB2 treatments. The Lys requirements vary from 4.5 to 5.7 g/100 g protein (>18 years old and 0.5 years old, respectively). The Lys contents obtained for CICA-17 were different according to the treatment and partially reached the recommended dose consumption, while all R. Baer treatments reached the established Lys requirements. The Val contents detected in CICA-17 only satisfied all mentioned groups in C0 and C2. However, all of the R. Baer treatments satisfied all age groups. The Ile and Thr amino acid contents neither in CICA-17 nor in RB met any requirements in any age group.
4.3. Soluble Sugar Content
The sucrose, glucose, and fructose contents were similar in both quinoa varieties (0.90–0.99; 0.05 and 0.135 g/100g DW, respectively). Higher levels of sucrose (1.7–2.3 g/100g DW), glucose (0.24–0.24 g/100g DW), and fructose (2.90 g/100 g of DW) have previously been reported by authors for quinoa seed [58,59], probably due to environmental conditions.
4.4. Oil Content and Fatty Acid Profile
The total quinoa grain oil content was not affected by manure addition and was within the range of 2.5 to 10.88 g/100 g established for quinoa [11], similar to values of 6.0–6.8 g/100 g found in different colored quinoa seeds. CICA is a Peruvian variety obtained from Amarilla de Marangani (A. Mújica-Sánchez, personal communication, 2016), with an oil content of 4.97 g/100 g in ungerminated seeds, increasing after germination to 6.00–7.34 g/100 g [60]. CICA-17 cultivated in Al-Fayoum (Egypt) exhibited total oil contents of 4.55 to 5.39 g/100 g [21], while for R. Baer cultivated in Chile, it was 6.4 g/100 g [61]. The influence of quinoa ecotypes on the oil content is controversial. Some authors reported no variation in the oil content of different quinoa ecotypes, but others reported significant changes in the oil values of six Bolivian and Peruvian quinoa ecotypes [62]. Our results show that the addition of different manure doses did not affect the total oil content neither in the CICA-17 nor the R. Baer varieties. Regarding the FA profile, coincident with our results, similar values for the total UFA content (81–85 g/100 g), with ranges of variation of 15–20 g/100 g for oleic, 45–57 g/100 g for linoleic, and 5–10 g/100 g for linolenic acids, were previously reported for different quinoa cultivars [60]. However, Pellegrini et al. [62] reported lower SFA contents in six commercial quinoa varieties (10.0–11.6 g/100 g).
Changes in particular FA contents according to the ecotype and manure dose were determined in the present study. In plants, FA is synthesized during plastid metabolism from acetyl to CoA, then exported into the cytosol, and finally, oil synthesis occurs in the endoplasmic reticulum (ER) [63]. Several enzymatic reactions occur in the ER and plastids in the C16 and C18 FA pathways, where different enzymes can produce elongation and desaturation. In this way, several desaturases bound to the membrane are involved in the conversion of C18:0 to C18:1 (stearoyl-acyl carrier protein desaturase, SAD), the further conversion of C18:1 to C18:2, and then of C18:2 to C18:3. Indeed, FA desaturase 2 (FAD 2, ER) and 6 (FAD6, in plastids) are responsible for the biological switch of C18:1 to C18:2 [64]. Different factors, such as temperature, light, and flooding, can affect the FAD2 expression of plants [65]. To resist cold and salt stress, plants increase the contents of dienoic FA through FAD2 activity. Moreover, temperature is a critical factor influencing seeds’ oil content [66]. FAD3 catalyzes the bioconversion of C18:2 to C18:3.
Geographical factors directly impact the FA profile of seeds. Different seeds grown at high altitudes modified the n6 and n3 contents, evidently by changes in the FAD 2 and 3 [67]. Our results show that manure addition did not affect the total oil content but influenced the metabolism of fatty acids, specifically the C16 and C18 pathways, as evidenced by the changes in the FA profile and the estimation of the Δ9-desaturase enzymes. It seems that a low amount of fertilizer positively affected the AI, TI, and DFA indexes, and the n6:n3 ratio, which had a lower effect on the CICA-17 than on the R. Baer ecotype. Palmitic acid is the most abundant SFA of quinoa seed oil, with values ranging from 9.3 to 21%. The results of Tang et al. and Pereira et al. [67,68] match our results. Among UFAs, the range of variation is also dependent on the cultivar and climate conditions. Vera et al. [60] reported, in order of abundance, linoleic (47–59%), oleic (18–31%), and linolenic (3–11%) acids in four varieties of quinoa. In our study, the linoleic acid content was slightly higher (58.6–64.5 g/100 g of FAME), and the oleic acid content (10.3–14.2 g/100 g of FAME) was slightly lower than those reported values.
Despite the variations in the FA profiles found in this study, the qualification of quinoa grain as a “superfood” is not invalidated. This is because the presence and content of essential (linoleic and linolenic) and healthier (oleic acid) unsaturated fatty acids showed higher values than those registered in other grains used for human consumption. Indeed, quinoa has a higher UFA/SFA ratio (4.9–6.2) than other edible oils, such as corn (4.65), soybean (3.92), and olive (0.65) oil [69]. On the other hand, the relationship between the linoleic and linolenic acid (n6:n3) in any fertilization treatment was around 8 to 15, above the recommended ratio by FAO/WHO [70]. The n6:n3 ratio was significantly improved in both quinoa seeds after adding 4 Tn/ha of manure. A wide variation range for the n6:n3 ratio, from 4.68 to 19.59, was reported by Vera et al. [60] in four quinoa cultivars, coincident with our results. The typical Western diet has an unbalanced ratio between 15:1 to 17:1, which is highly prothrombotic and proinflammatory and could contribute to the development of atherosclerosis, obesity, and diabetes [15]. In CICA-17, the ratio ranged between 8.40 and 15.45, with an average of 12.06, while in R. Baer, it was between 9.20 and 11.70, with an average of 10.20. Palmitoleic (C16:1), oleic, linoleic, and linolenic acids are considered the main precursors of the lipid metabolic pathways in mammals. While palmitoleic and palmitic acids can be synthesized endogenously, the essential C18:2 n6 and C18:3 n3 must be obtained from the diet. Therefore, quinoa may be a good source of healthy fatty acids (C18:1, C18:2, C18:3), especially in many places worldwide where the main crops are grains such as wheat or corn.
4.5. Ash and Mineral Content
It is known that the soil type affects the mineral contents of quinoa and amaranth [6,71]. Our results show that the ash content was similar in both varieties, and the mineral concentrations showed low variation between the two cultivars, except for Na, Si, and Li. Both varieties have grown well at the Encalilla site; CICA-17 has been grown for 15 years, and RB for 10 years. Therefore, both varieties have probably adapted their metabolism to the edaphic and climatic conditions. Among the major elements, potassium increased by 13.5% in C8 and by 19% in RB12, and sodium increased by 44.6% in C12 and by 460% in RB8. The rest of the elements (minor or ultratrace) showed similar responses to manure addition between the CICA-17 and RB varieties. It is remarkable that the most positive changes in the mineral content occurred with 8 or 12 Tn/ha in both quinoa varieties. Li increased by 104.1% in C8 and by 82.8% in RB12. The Cr content increased by 326.2% in CICA-17 and by 444.9% in BR at the same manure dose (8 Tn/ha). The occurrences of both minerals agree with the findings of Li in the seeds of quinoa and amaranth [72] and Cr in CICA-17 grown in saline soil in Egypt [6,48]. The essentiality of Li and Cr for plants has not been recognized but could have a significant relationship with the nutritional aspects of quinoa cultivated in desertic or semi-desertic places [6], which are sites of interest for producing grains with higher mineral concentrations and health effects for humans.
Several studies have shown a close relationship between the mineral compositions and protein contents in cereals and legumes [73,74]. In this study, over 12 minerals were analyzed, and nine positive correlations between the mineral and protein contents in CICA-17 and ten in RB were determined. The most significant correlations (r ≥ to 0.70) were found for Mg, Ca, and Al in CICA-17 and for Mg, Ca, Fe, and Cu in RB. In agreement with Prado et al. [6], we found negative correlations for Fe in CICA-17 and for Zn and Si in R. Baer.
5. Conclusions
For the first time, the influence of goat manure addition to soil on the total protein, amino acids (essential and nonessential), fatty acid profile, soluble sugars, and mineral contents of two contrasting quinoa varieties (CICA-17 and R. Baer) is herein reported. Manure addition significantly improved the total protein content. Even the oil content remained unchanged, and several FA were positively affected by low amounts of around 2 and 4 Tn/ha in both varieties. CICA-17 had modified MUFA and PUFA contents, while R. Baer had mostly altered SFA contents. The manure addition affected (in a positive or negative sense) the synthesis of amino acids in both varieties. The contents of essential amino acids sometimes met the requirements of some human age groups (from 0.5 to >18 years old), and sometimes that only happened in a particular fertilization dose or cultivar. Low soluble sugars were detected (especially glucose and fructose), reducing the risk for human health related to the glycemic index. In summary, manure addition can benefit grain yield production and improve protein contents, especially the concentrations of some amino acids such as Leu, Lys, and Val; however, Ile and Thr had decreased contents. The use of goat manure as a source of nitrogen, calcium, and phosphorus, among other minerals and organic matter, is a promising alternative to improve the functionality of quinoa grains, especially in marginal areas such as Latin American, Asian, and MENA countries, where the development of classical crops is complex because of the hard soil and weather conditions. Special care should be given to the study of nutrient balance with goat manure doses higher than 4 Tn/ha. Another interesting future research topic would be mechanized organic fertilization. Despite that, in this study, manure was added by hand due to the experimental design needed, and information obtained about manure’s effect on yield and grain quality justifies further studies about manure application by machine. It is worth noting that this would be necessary for producing quinoa at a large scale, particularly in lowlands. Meanwhile, in highlands, where growers mainly produce quinoa at a low scale, adding manure by hand is an interesting option.
Author Contributions
Conceptualization, J.A.G., L.E.E., D.B., J.L.F.-T., M.R., C.P.V.N., S.M.A.-Q. and M.F.M.I.; data curation, S.K.M.Y., L.M.C., R.M.O., J.L.F.-T., S.E.B., M.R., P.D.F., D.A.G., A.O. and F.M.A.; formal analysis, S.K.M.Y., L.E.E., E.F.L., J.L.F.-T., S.E.B., A.O. and M.F.M.I.; funding acquisition, M.R. and C.P.V.N.; investigation, J.A.G., L.E.E., L.M.C., E.F.L., D.B., S.E.B., P.D.F., D.A.G., A.O. and C.P.V.N.; methodology, L.E.E., L.M.C., E.F.L., S.E.B., P.D.F., D.A.G., A.O. and C.P.V.N.; project administration, J.A.G.; resources, S.K.M.Y., E.F.L., R.M.O., P.D.F., D.A.G., C.P.V.N., F.M.A., N.A.A.-H. and M.F.M.I.; software, S.K.M.Y., L.M.C., E.F.L., R.M.O., P.D.F., D.A.G., A.O., C.P.V.N., F.M.A. and N.A.A.-H.; supervision, J.A.G., D.B., J.L.F.-T. and N.A.A.-H.; validation, J.A.G., D.B., P.D.F., A.O. and F.M.A.; visualization, R.M.O., S.E.B., P.D.F. and A.O.; writing—original draft, J.A.G., L.E.E., E.F.L., D.B., J.L.F.-T., S.E.B., M.R., P.D.F., D.A.G. and C.P.V.N.; writing—review and editing, L.M.C., D.B., M.R., A.O., C.P.V.N., N.A.A.-H. and M.F.M.I. All authors have read and agreed to the published version of the manuscript.
Funding
This work was supported by the Miguel Lillo Foundation (Ecophysiology of selected Chenopodium quinoa varieties and other species of nutritional value in field and lab; Project B-0004-1), the National Institute of Agricultural Technology (INTA), PIUNT 26/G634, PICT 2019-1697, the Argentinean program “Argentina contra el hambre” (Argentina Against Hunger) (Project N° A61) and the Faculty of Agriculture, Ain Shams University, Cairo, Egypt.
Institutional Review Board Statement
Not applicable.
Informed Consent Statement
Not applicable.
Data Availability Statement
Not applicable.
Acknowledgments
The authors are thankful for the technical assistance of the workers of the Encalilla sites (National Institute of Agricultural Technology, INTA) where the crop experiments were performed. We acknowledge the analytical assistance of labGEOTOP Geochemistry Laboratory (infrastructure co-funded by ERDF–EU Ref. CSIC08–4E–001).
Conflicts of Interest
The authors declare no conflict of interest.
References
- Graf, B.L.; Rojas-Silva, P.; Rojo, L.E.; Delatorre-Herrera, J.; Baldeón, M.E.; Raskin, I. Innovations in health value and functional food development of quinoa (Chenopodium quinoa Willd.). Compr. Rev. Food Sci. Food Saf. 2015, 14, 431–445. [Google Scholar] [CrossRef]
- Bazile, D.; Baudron, F. The dynamics of the global expansion of quinoa growing in view of its high biodiversity In State of the art report of quinoa in the world in 2013. FAO CIRAD 2015, 42–45. [Google Scholar]
- González, J.A.; Konishi, Y.; Bruno, M.; Valoy, M.; Prado, F.E. Interrelationships among seed yield, total protein and amino acid composition of ten quinoa (Chenopodium quinoa) cultivars from two different agroecological regions. J. Sci. Food Agric. 2012, 92, 1222–1229. [Google Scholar] [CrossRef] [PubMed]
- González, J.A.; Roldán, A.; Gallardo, M.; Escudero, T.; Prado, F.E. Quantitative determinations of chemical compounds with nutritional value from inca crops: Chenopodium quinoa (“quinoa”). Plant Foods Hum. Nutr. 1989, 39, 331–337. [Google Scholar] [CrossRef] [PubMed]
- Prado, F.E.; González, J.A.; Gallardo, M.; Morris, M.; Boero, C.; Kortsarz, A. Changes in soluble carbohydrates and invertase activity in Chenopodium quinoa (“quinoa”) developed for saline stress during germination. Plant Physiol. 1995, 14, 1–5. [Google Scholar]
- Prado, F.E.; Fernandez-Turiel, J.-L.; Tsarouchi, M.; Psaras, G.K.; González, J.A. Variation of Seed Mineral Concentrations in Seven Quinoa Cultivars Grown in Two Agroecological Sites. Cereal Chem. 2014, 91, 453–459. [Google Scholar] [CrossRef]
- Yawadio Nsimba, R.; Kikuzaki, H.; Konishi, Y. Antioxidant activity of various extracts and fractions of Chenopodium quinoa and Amaranthus spp. seeds. Food Chem. 2008, 106, 760–766. [Google Scholar] [CrossRef]
- Tang, Y.; Li, X.; Chen, P.X.; Zhang, B.; Hernandez, M.; Zhang, H.; Marcone, M.F.; Liu, R.; Tsao, R. Characterisation of fatty acid, carotenoid, tocopherol/tocotrienol compositions and antioxidant activities in seeds of three Chenopodium quinoa Willd. genotypes. Food Chem. 2015, 174, 502–508. [Google Scholar] [CrossRef]
- Angeli, V.; Miguel Silva, P.; Crispim Massuela, D.; Khan, M.W.; Hamar, A.; Khajehei, F.; Graeff-Hönninger, S.; Piatti, C. Quinoa (Chenopodium quinoa Willd.): An Overview of the Potentials of the “Golden Grain” and Socio-Economic and Environmental Aspects of Its Cultivation and Marketization. Foods 2020, 9, 216. [Google Scholar] [CrossRef]
- Repo-Carrasco, R.; Espinoza, C.; Jacobsen, S.-E. Nutritional Value and Use of the Andean Crops Quinoa (Chenopodium quinoa) and Kañiwa (Chenopodium pallidicaule). Food Rev. Int. 2003, 19, 179–189. [Google Scholar] [CrossRef]
- Rojas, W.; Pinto, M. Ex Situ Conservation of Quinoa: The Bolivian Experience In Quinoa: Improvement and Sustainable Production; John Wiley & Sons, Inc.: HHoboken, NJ, USA, 2015; pp. 125–160. [Google Scholar] [CrossRef]
- Abdelhamid, A.; Martin, N.; Bridges, C.; Brainard, J.S.; Wang, X.; Brown, T.J.; Hanson, S.; Jimoh, O.F.; Ajabnoor, S.; Deane, K.H.; et al. Polyunsaturated fatty acids for the primary and secondary prevention of cardiovascular disease. Cochrane Database Syst. Rev. 2018, 7, CD012345. [Google Scholar] [CrossRef]
- Gillingham, L.G.; Harris-Janz, S.; Jones, P.J.H. Dietary Monounsaturated Fatty Acids Are Protective Against Metabolic Syndrome and Cardiovascular Disease Risk Factors. Lipids 2011, 46, 209–228. [Google Scholar] [CrossRef]
- Shama, S.; Liu, W. Omega-3 Fatty Acids and Gut Microbiota: A Reciprocal Interaction in Nonalcoholic Fatty Liver Disease. Dig. Dis. Sci. 2020, 65, 906–910. [Google Scholar] [CrossRef] [PubMed]
- Simopoulos, A. An Increase in the Omega-6/Omega-3 Fatty Acid Ratio Increases the Risk for Obesity. Nutrients 2016, 8, 128. [Google Scholar] [CrossRef] [PubMed]
- González, J.A.; Eisa, S.; Hussin, S.; Prado, F.E. Quinoa: An Incan crop to face global changes in agriculture. In Quinoa: Improvement and Sustainable Production; Murphy, K.S., Matanguihan, J., Eds.; Wiley-Blackwell; John Wiley & Sons, Inc: Hoboken, NJ, USA, 2015; pp. 1–18. [Google Scholar]
- Tapia, M.E.; Mujica-Sanchez, A.; Canahua, A. Origen, Distribución Geográfica y Sistemas de Producción de la Quinua; I Reunión sobre genética y fitomejoramiento de la quinua: San jose, Costa Rica, 1980. [Google Scholar]
- Jarvis, D.E.; Ho, Y.S.; Lightfoot, D.J.; Schmöckel, S.M.; Li, B.; Borm, T.J.A.; Ohyanagi, H.; Mineta, K.; Michell, C.T.; Saber, N.; et al. The genome of Chenopodium quinoa. Nature 2017, 542, 307–312. [Google Scholar] [CrossRef] [PubMed]
- Curti, R.N.; del Carmen Sanahuja, M.; Vidueiros, S.M.; Curti, C.A.; Pallaro, A.N.; Bertero, H.D. Oil quality in sea-level quinoa as determined by cultivar-specific responses to temperature and radiation conditions. J. Sci. Food Agric. 2019, 100, 1358–1361. [Google Scholar] [CrossRef]
- González, J.A.; Bruno, M.; Valoy, M.; Prado, F.E. Genotypic Variation of Gas Exchange Parameters and Leaf Stable Carbon and Nitrogen Isotopes in Ten Quinoa Cultivars Grown under Drought. J. Agron. Crop. Sci. 2010, 197, 81–93. [Google Scholar] [CrossRef]
- Eisa, S.E.; El-Samad, E.H.; Hussin, S.A.; Ali, E.A.; Ebrahim, M.; González, J.A.; Ordano, M.; Erazzú, L.E.; El-Bordeny, N.E.; Abdel-Ati, A.A. Quinoa in Egypt—Plant Density Effects on Seed Yield and Nutritional Quality in Marginal Regions. Middle East J. Appl. Sci. 2018, 08, 515–522. [Google Scholar]
- Bilalis, D.; Kakabouki, I.; Karkanis, A.; Travlos, I.; Triantafyllidis, V.; Hela, D. Seed and Saponin Production of Organic Quinoa (Chenopodium quinoa Willd.) for different Tillage and Fertilization. Not. Bot. Horti Agrobot. Cluj-Napoca 2012, 40, 42–46. [Google Scholar] [CrossRef]
- Alandia, G.; Jacobsen, S.-E.; Kyvsgaard, N.C.; Condori, B.; Liu, F. Nitrogen Sustains Seed Yield of Quinoa Under Intermediate Drought. J. Agron. Crop. Sci. 2016, 202, 281–291. [Google Scholar] [CrossRef]
- Martínez, E.A.; Veas, E.; Jorquera, C.; Martín, R.S.; Jara, P. Re-Introduction of Quínoa into Arid Chile: Cultivation of Two Lowland Races under Extremely Low Irrigation. J. Agron. Crop. Sci. 2009, 195, 1–10. [Google Scholar] [CrossRef]
- Hirich, A.; Choukr-Allah, R.; Jacobsen, S.-E. Deficit Irrigation and Organic Compost Improve Growth and Yield of Quinoa and Pea. J. Agron. Crop. Sci. 2014, 200, 390–398. [Google Scholar] [CrossRef]
- Ramzani, P.M.A.; Shan, L.; Anjum, S.; Khan, W.-U.; Ronggui, H.; Iqbal, M.; Virk, Z.A.; Kausar, S. Improved quinoa growth, physiological response, and seed nutritional quality in three soils having different stresses by the application of acidified biochar and compost. Plant Physiol. Biochem. 2017, 116, 127–138. [Google Scholar] [CrossRef] [PubMed]
- Bonifacio, A. Chenopodium Sp.: Genetic Resources, Ethnobotany, and Geographic Distribution. Food Rev. Int. 2003, 19, 1–7. [Google Scholar] [CrossRef]
- Alandia, G.; Rodriguez, J.P.; Jacobsen, S.E.; Bazile, D.; Condori, B. Global expansion of quinoa and challenges for the Andean region. Glob. Food Secur. 2020, 26, 100429. [Google Scholar] [CrossRef]
- Ju, X.-T.; Xing, G.-X.; Chen, X.-P.; Zhang, S.-L.; Zhang, L.-J.; Liu, X.-J.; Cui, Z.-L.; Yin, B.; Christie, P.; Zhu, Z.-L.; et al. Reducing environmental risk by improving N management in intensive Chinese agricultural systems. Proc. Natl. Acad. Sci. USA 2009, 106, 3041–3046. [Google Scholar] [CrossRef]
- Tilman, D.; Balzer, C.; Hill, J.; Befort, B.L. Global food demand and the sustainable intensification of agriculture. Proc. Natl. Acad. Sci. USA 2011, 108, 20260–20264. [Google Scholar] [CrossRef]
- Almadini, A.M.; Badran, A.E.; Algosaibi, A.M. Evaluation of Efficiency and Response of Quinoa Plant to Nitrogen Fertilization levels. Middle East J. Appl. Sci. 2019, 09, 839–849. [Google Scholar] [CrossRef]
- Bascuñán-Godoy, L.; Sanhueza, C.; Pinto, K.; Cifuentes, L.; Reguera, M.; Briones, V.; Zurita-Silva, A.; Álvarez, R.; Morales, A.; Silva, H. Nitrogen physiology of contrasting genotypes of Chenopodium quinoa Willd. (Amaranthaceae). Sci. Rep. 2018, 8, 17524. [Google Scholar] [CrossRef]
- Jacobsen, S.-E.; Jørgensen, I.; Stølen, O. Cultivation of quinoa (Chenopodium quinoa) under temperate climatic conditions in Denmark. J. Agric. Sci. 1994, 122, 47–52. [Google Scholar] [CrossRef]
- Schulte auf’m Erley, G.; Kaul, H.-P.; Kruse, M.; Aufhammer, W. Yield and nitrogen utilization efficiency of the pseudocereals amaranth, quinoa, and buckwheat under differing nitrogen fertilization. Eur. J. Agron. 2005, 22, 95–100. [Google Scholar] [CrossRef]
- Gonzalez-Dugo, V.; Durand, J.-L.; Gastal, F. Water deficit and nitrogen nutrition of crops. A review. Agron. Sustain. Dev. 2010, 30, 529–544. [Google Scholar] [CrossRef]
- Issa Ali, O.; Fghire, R.; Anaya, F.; Benlhabib, O.; Wahbi, S. Physiological and Morphological Responses of two Quinoa Cultivars (Chenopodium quinoa Willd.) to Drought Stress. Gesunde Pflanz. 2019, 71, 123–133. [Google Scholar] [CrossRef]
- Batjes, N.H. A world dataset of derived soil properties by FAO UNESCO soil unit for global modelling. Soil Use Manag. 1997, 13, 9–16. [Google Scholar] [CrossRef]
- Chapman, H.D.; Pratt, P.F. Methods of Analysis for Soils, Plants and Waters; Berkeley University: Berkeley, CA, USA, 1961. [Google Scholar]
- Prasad, K. HPLC Analysis of Amino Acid and Antioxidant Composition of Three Medicinal Plants of (Pithoragarh) Uttarakhand Himalayas. J. Anal. Pharm. Res. 2017, 6, 1–8. [Google Scholar] [CrossRef]
- Prado, F.E.; González, J.A.; Boero, C.; Sampietro, A.R. A Simple and Sensitive Method for Determining Reducing Sugars in Plant Tissues. Application to Quantify the Sugar Content in Quinoa (Chenopodium quinoa Willd.) Seedlings. Phytochem. Anal. 1998, 9, 58–62. [Google Scholar] [CrossRef]
- Jorgensen, O.S.; Andersen, B. An improved glucoseoxidase-peroxidase-coupled assay for β-fructofuranosidase activity. Anal. Biochem. 1973, 53, 141–145. [Google Scholar] [CrossRef]
- Roe, J.H.; Papadopoulos, N.M. The Determination of Fructose-6-Phosphate and Fructose-1,6-Diphosphate. J. Biol. Chem. 1954, 210, 703–707. [Google Scholar] [CrossRef]
- Cardini, C.; Leloir, L.F.; Chiriboga, J. The Biosynthesis of Sucrose. J. Biol. Chem. 1955, 214, 149–155. [Google Scholar] [CrossRef]
- DuBois, M.; Gilles, K.A.; Hamilton, J.K.; Rebers, P.A.; Smith, F. Colorimetric method for determination of sugars and related substances. Anal. Chem. 1956, 28, 350–356. [Google Scholar] [CrossRef]
- Van Nieuwenhove, C.P.; Moyano, A.; Castro-Gómez, P.; Fontecha, J.; Sáez, G.; Zárate, G.; Pizarro, P.L. Comparative study of pomegranate and jacaranda seeds as functional components for the conjugated linolenic acid enrichment of yogurt. LWT 2019, 111, 401–407. [Google Scholar] [CrossRef]
- Folch, J.; Lees, M.; Sloane Stanley, G.H. A simple method for the isolation and purification of total lipides from animal tissues. J. Biol. Chem. 1957, 226, 497–509. [Google Scholar] [CrossRef] [PubMed]
- Ulbricht, T.L.V.; Southgate, D.A.T. Coronary heart disease: Seven dietary factors. Lancet 1991, 338, 985–992. [Google Scholar] [CrossRef]
- González, J.; Hinojosa, L.; Mercado, M.; Fernández-Turiel, J.; Bazile, D.; Ponessa, G.; Eisa, S.; González, D.; Rejas, M.; Hussin, S.; et al. A Long Journey of CICA-17 Quinoa Variety to Salinity Conditions in Egypt: Mineral Concentration in the Seeds. Plants 2021, 10, 407. [Google Scholar] [CrossRef] [PubMed]
- SAS. SAS/STAT User’s Guide, Release 6.03 ed.; SAS Institute Inc.: Cary, NC, USA, 1988. [Google Scholar]
- Kumar, S.; Kumar, S.; Mohapatra, T. Interaction Between Macro- and Micro-Nutrients in Plants. Front. Plant Sci. 2021, 12, 665583. [Google Scholar] [CrossRef]
- Romera, F.J.; Lan, P.; Rodríguez-Celma, J.; Pérez-Vicente, R. Editorial: Nutrient Interactions in Plants. Front. Plant Sci. 2021, 12, 782505. [Google Scholar] [CrossRef]
- Gomaa, E.F. Effect of nitrogen, phosphorus and biofertilizers on quinoa plant. J. Appl. Sci. Res. 2013, 9, 5210–5222. [Google Scholar]
- Kakabouki, I.; Bilalis, D.; Karkanis, A.; Zervas, G.; Tsiplakou, E.; Hela, D. Effects of fertilization and tillage system on growth and crude protein content of quinoa (Chenopodium quinoa Willd.): An alternative forage crop. Emir. J. Food Agric. 2014, 26, 18. [Google Scholar] [CrossRef]
- Triboi, E. Environmentally-induced changes in protein composition in developing grains of wheat are related to changes in total protein content. J. Exp. Bot. 2003, 54, 1731–1742. [Google Scholar] [CrossRef]
- del Moral, L.F.G.; Rharrabti, Y.; Martos, V.; Royo, C. Environmentally Induced Changes in Amino Acid Composition in the Grain of Durum Wheat Grown under Different Water and Temperature Regimes in a Mediterranean Environment. J. Agric. Food Chem. 2007, 55, 8144–8151. [Google Scholar] [CrossRef]
- Thanapornpoonpong, S.; Vearasilp, S.; Pawelzik, E.; Gorinstein, S. Influence of Various Nitrogen Applications on Protein and Amino Acid Profiles of Amaranth and Quinoa. J. Agric. Food Chem. 2008, 56, 11464–11470. [Google Scholar] [CrossRef] [PubMed]
- Food and Agriculture Organization of the United Nations World Health Organization and Organization Nations United. Protein and amino acid requirements in human nutrition: Report of a joint FAO/WHO/UNU expert consultation. 2007. Available online: chrome-extension://efaidnbmnnnibpcajpcglclefindmkaj/https://apps.who.int/iris/bitstream/handle/10665/43411 (accessed on 1 October 2022).
- Repo-Carrasco, R. Andean Crops and Infant Nourishment; University of Helsinki: Helsinki, Finland; Institute of Development Studies: Helsinki, Finland, 1992. [Google Scholar]
- Miranda, M.; Vega-Galvez, A.; Martínez, E.A.; López, J.; Marín, R.; Aranda, M.; Fuentes, F. Influence of contrasting environments on seed composition of two quinoa genotypes: Nutritional and functional properties. Chil. J. Agric. Res. 2013, 73, 06–07. [Google Scholar] [CrossRef]
- Vera, E.P.; Alca, J.J.; Saravia, G.R.; Campioni, N.C.; Alpuy, I.J. Comparison of the lipid profile and tocopherol content of four Peruvian quinoa (Chenopodium quinoa Willd.) cultivars (‘Amarilla de Maranganí’, ‘Blanca de Juli’, INIA 415 ‘Roja Pasankalla’, INIA 420 ‘Negra Collana’) during germination. J. Cereal Sci. 2019, 88, 132–137. [Google Scholar] [CrossRef]
- Miranda, M.; Vega-Gálvez, A.; Quispe-Fuentes, I.; Rodríguez, M.J.; Maureira, H.; Martínez, E.A. Nutritional Aspects of Six Quinoa (Chenopodium quinoa Willd.) Ecotypes from three Geographical Areas of Chile. Chil. J. Agric. Res. 2012, 72, 175–181. [Google Scholar] [CrossRef]
- Pellegrini, M.; Lucas-Gonzales, R.; Ricci, A.; Fontecha, J.; Fernández-López, J.; Pérez-Álvarez, J.A.; Viuda-Martos, M. Chemical, fatty acid, polyphenolic profile, techno-functional and antioxidant properties of flours obtained from quinoa (Chenopodium quinoa Willd) seeds. Ind. Crop. Prod. 2018, 111, 38–46. [Google Scholar] [CrossRef]
- Browse, J.; Somerville, C. Glycerolipid Synthesis: Biochemistry and Regulation. Annu. Rev. Plant Physiol. Plant Mol. Biol. 1991, 42, 467–506. [Google Scholar] [CrossRef]
- Dar, A.A.; Choudhury, A.R.; Kancharla, P.K.; Arumugam, N. The FAD2 Gene in Plants: Occurrence, Regulation, and Role. Front. Plant Sci. 2017, 8, 1789. [Google Scholar] [CrossRef]
- Wang, X.; Liu, A. Expression of Genes Controlling Unsaturated Fatty Acids Biosynthesis and Oil Deposition in Developing Seeds of Sacha Inchi (Plukenetia volubilis L.). Lipids 2014, 49, 1019–1031. [Google Scholar] [CrossRef]
- Chumphukama, O.; Tipsuwan, W.; Khanaree, C.; Pintha, K.; Tantipaiboonwong, P.; Chaiwangyen, W.; Roytrakul, S.; Suttajit, M.; Topanurak, S. Alpha-linolenic acid content and expression of KASII and FAD3 in perilla seed associated with altitude of cultivation areas. Scienceasia 2019, 45, 408–418. [Google Scholar] [CrossRef]
- Tang, Y.; Li, X.; Chen, P.X.; Zhang, B.; Liu, R.; Hernandez, M.; Draves, J.; Marcone, M.F.; Tsao, R. Assessing the Fatty Acid, Carotenoid, and Tocopherol Compositions of Amaranth and Quinoa Seeds Grown in Ontario and Their Overall Contribution to Nutritional Quality. J. Agric. Food Chem. 2016, 64, 1103–1110. [Google Scholar] [CrossRef]
- Pereira, E.; Encina-Zelada, C.; Barros, L.; Gonzales-Barron, U.; Cadavez, V.; Ferreira, I.C. Chemical and nutritional characterization of Chenopodium quinoa Willd (quinoa) grains: A good alternative to nutritious food. Food Chem. 2018, 280, 110–114. [Google Scholar] [CrossRef] [PubMed]
- Campos, D.; Chirinos, R.; Ranilla, L.G.; Pedreschi, R. Bioactive Potential of Andean Fruits, Seeds, and Tubers. Adv. Food Nutr. Res. 2018, 84, 287–343. [Google Scholar] [CrossRef] [PubMed]
- Food and Agriculture Organization of the United Nations and World Health Organization. Fats and Fatty Acids in Human Nutrition: Report of an Expert Consultation. FAO Food Nutr. Pap. 2010. [Google Scholar]
- Craine, E.B.; Murphy, K.M. Seed Composition and Amino Acid Profiles for Quinoa Grown in Washington State. Front. Nutr. 2020, 7, 126. [Google Scholar] [CrossRef]
- Coelho, I.; Gueifão, S.; Nascimento, A.C.; Lobo, M.; Gimenez, A.; Samman, N.; Castanheira, I. Proximate and mineral profile of quinoa (Chenopodium quinoa), and kiwicha (Amaranthus caudatus) consumed in north of Argentina. In Proceedings of the Ninth International Food Data Conference, Norwich, UK, 14–17 September 2011. [Google Scholar]
- Peleg, Z.; Saranga, Y.; Yazici, A.; Fahima, T.; Ozturk, L.; Cakmak, I. Grain zinc, iron and protein concentrations and zinc-efficiency in wild emmer wheat under contrasting irrigation regimes. Plant Soil 2008, 306, 57–67. [Google Scholar] [CrossRef]
- Chatzav, M.; Peleg, Z.; Ozturk, L.; Yazici, A.; Fahima, T.; Cakmak, I.; Saranga, Y. Genetic diversity for grain nutrients in wild emmer wheat: Potential for wheat improvement. Ann. Bot. 2010, 105, 1211–1220. [Google Scholar] [CrossRef]
Disclaimer/Publisher’s Note: The statements, opinions and data contained in all publications are solely those of the individual author(s) and contributor(s) and not of MDPI and/or the editor(s). MDPI and/or the editor(s) disclaim responsibility for any injury to people or property resulting from any ideas, methods, instructions or products referred to in the content. |
© 2023 by the authors. Licensee MDPI, Basel, Switzerland. This article is an open access article distributed under the terms and conditions of the Creative Commons Attribution (CC BY) license (https://creativecommons.org/licenses/by/4.0/).

