Biochar Mitigates Combined Effects of Soil Salinity and Saltwater Intrusion on Rice (Oryza sativa L.) by Regulating Ion Uptake
Abstract
1. Introduction
2. Materials and Methods
2.1. Experimental Site and Biochar
2.2. Plant Materials and Experimental Design
2.3. Effect of Saltwater Intrusion at Seedling Stage
2.4. Measurements of Yield and Yield Components
2.5. Determination of Na+ and K+
2.6. SEM and FTIR Analysis of Biochar
2.7. Data Analysis
3. Results
3.1. Survival and Growth of Rice after Saltwater Intrusion at the Seedling Stage
3.2. Ion Accumulation in Shoots of Rice after Saltwater Intrusion at the Seedling Stage
3.3. Growth of Rice at the Harvesting Stage
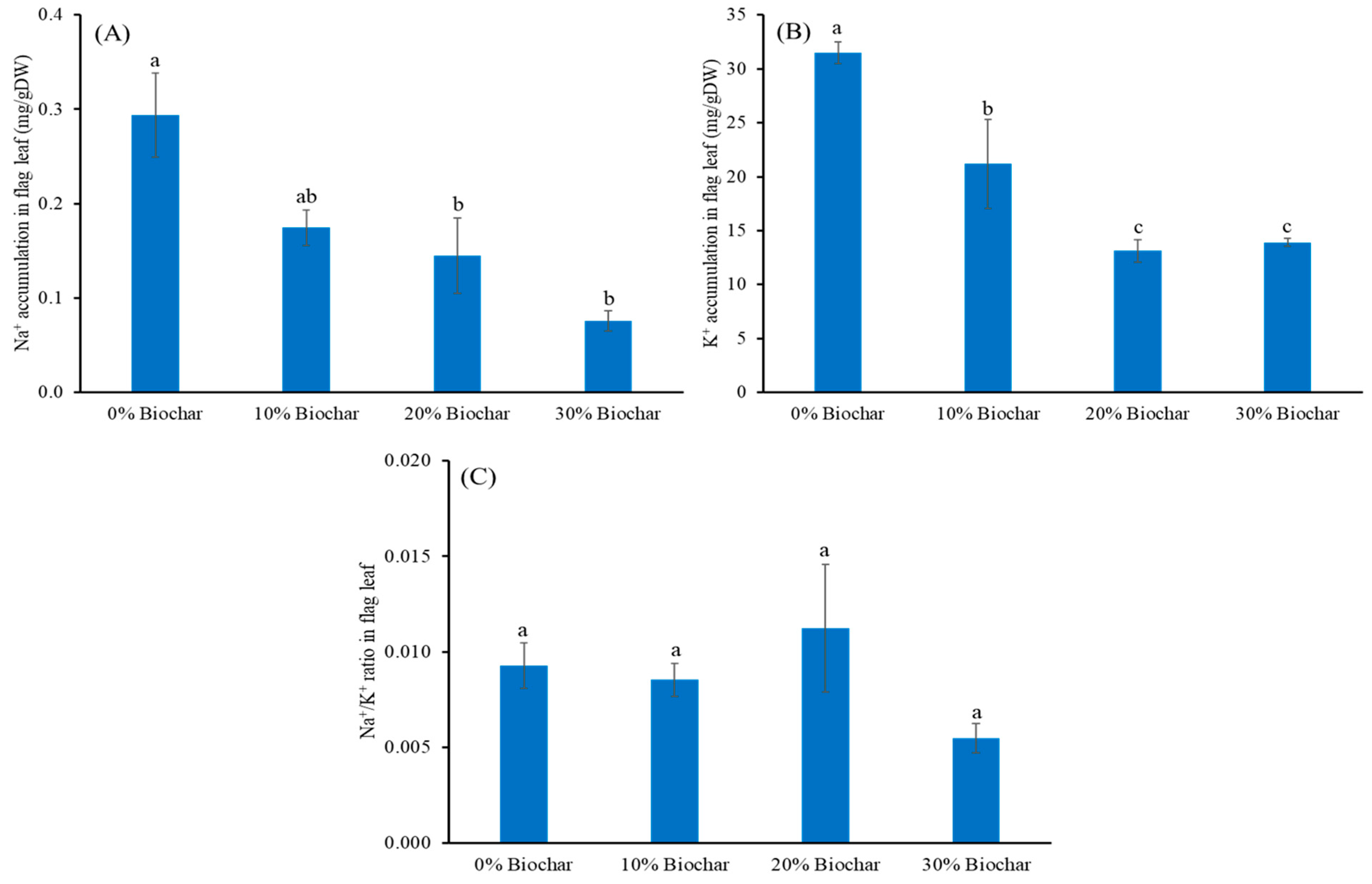
3.4. Ion Accumulation in Flag Leaves of Rice at the Harvesting Stage
3.5. Yield and Yield Components at the Harvesting Stage
3.6. FTIR and SEM-EDX of Biochar
4. Discussion
5. Conclusions
Author Contributions
Funding
Data Availability Statement
Acknowledgments
Conflicts of Interest
References
- Hoang, T.; Tran, T.; Nguyen, T.; Williams, B.; Wurm, P.; Bellairs, S.; Mundree, S. Improvement of Salinity Stress Tolerance in Rice: Challenges and Opportunities. Agronomy 2016, 6, 54. [Google Scholar] [CrossRef]
- Hafez, E.M.; Alsohim, A.S.; Farig, M.; Omara, A.E.-D.; Rashwan, E.; Kamara, M.M. Synergistic Effect of Biochar and Plant Growth Promoting Rhizobacteria on Alleviation of Water Deficit in Rice Plants under Salt-Affected Soil. Agronomy 2019, 9, 847. [Google Scholar] [CrossRef]
- Roy, S.C.; Shil, P. Assessment of Genetic Heritability in Rice Breeding Lines Based on Morphological Traits and Caryopsis Ultrastructure. Sci. Rep. 2020, 10, 7830. [Google Scholar] [CrossRef] [PubMed]
- Lv, Y.; Xu, L.; Guo, X.; Liu, J.; Zou, B.; Guo, Y.; Zhang, Y.; Li, H.; Zheng, G.; Guo, Y.; et al. Effect of Biochar on Soil Physiochemical Properties and Bacterial Diversity in Dry Direct-Seeded Rice Paddy Fields. Agronomy 2022, 13, 4. [Google Scholar] [CrossRef]
- Singh, R.; Flowers, T.J. The physiology and molecular biology of the effects of salinity on rice. In Handbook of Plant and Crop Stress, 3rd ed.; Pessarakli, M., Ed.; Taylor and Francis: Boca Raton, FL, USA, 2010; pp. 899–939. [Google Scholar]
- Faiyue, B.; Al-Azzawi, M.J.; Flowers, T.J. A new screening technique for salinity resistance in rice (Oryza sativa L.) seedlings using bypass flow. Plant Cell Environ. 2012, 35, 1099–1108. [Google Scholar] [CrossRef] [PubMed]
- Moradi, F.; Ismail, A.M. Responses of photosynthesis, chlorophyll fluorescence and ROS-scavenging systems to salt stress during seedling and reproductive stages in rice. Ann. Bot. 2007, 99, 1161–1173. [Google Scholar] [CrossRef] [PubMed]
- Faiyue, B.; Vijayalakshmi, S.; Nawaz, S.; Nagato, Y.; Taketa, S.; Ichii, M.; Al-Azzawi, M.J.; Flowers, T.J. Studies on sodium bypass flow in lateral rootless mutants lrt1 and lrt2, and crown rootless mutant crl1 of rice (Oryza sativa L.). Plant Cell Environ. 2010, 33, 687–701. [Google Scholar] [PubMed]
- Flowers, T.J.; Yeo, A.R. Variability in the Resistance of Sodium Chloride Salinity within Rice (Oryza Sativa L.) Varieties. New Phytol. 1981, 88, 363–373. [Google Scholar] [CrossRef]
- Lutts, S.; Kinet, J.M.; Bouharmont, J. Changes in plant response to NaCl during development of rice (Oryza sativa L.) varieties differing in salinity resistance. J. Exp. Bot. 1995, 46, 1843–1852. [Google Scholar] [CrossRef]
- Zeng, L.; Shannon, M.C. Salinity Effects on Seedling Growth and Yield Components of Rice. Crop Sci. 2000, 40, 996–1003. [Google Scholar] [CrossRef]
- Theerakulpisut, P.; Sumonthip, B.; Kanlaya, K.-N. Genetic diversity, salinity tolerance and physiological responses to NaCl of six rice (Oryza sativa L.) cultivars. Asian J. Plant Sci. 2005, 4, 562–573. [Google Scholar] [CrossRef]
- Ologundudu, A.F.; Adelusi, A.A.; Akinwale, R.O. Effect of Salt Stress on Germination and Growth Parameters of Rice (Oryza sativa L.). Not. Sci. Biol. 2014, 6, 237–243. [Google Scholar] [CrossRef]
- Cha-um, S.; Kirdmanee, C. Remediation of salt-affected soil by the addition of organic matter—An investigation into improving glutinous rice productivity. Sci. Agric. (Piracicaba Braz.) 2011, 68, 406–410. [Google Scholar] [CrossRef]
- Puvanitha, S.; Mahendran, S. Effect of Salinity on Plant Height, Shoot and Root Dry Weight of Selected Rice Cultivars. Sch. J. Agric. Vet. Sci. 2017, 4, 126–131. [Google Scholar] [CrossRef]
- Wang, W.; Vinocur, B.; Altman, A. Plant responses to drought, salinity and extreme temperatures: Towards genetic engineering for stress tolerance. Planta 2003, 218, 1–14. [Google Scholar] [CrossRef]
- Munns, R.; Tester, M. Mechanisms of salinity tolerance. Annu. Rev. Plant Biol. 2008, 59, 651–681. [Google Scholar] [CrossRef]
- Mukhopadhyay, R.; Sarkar, B.; Jat, H.S.; Sharma, P.C.; Bolan, N.S. Soil salinity under climate change: Challenges for sustainable agriculture and food security. J. Environ. Manag. 2021, 280, 111736. [Google Scholar] [CrossRef]
- Hussain, S.; Zhang, J.H.; Zhong, C.; Zhu, L.F.; Cao, X.C.; Yu, S.M.; James, A.B.; Hu, J.J.; Jin, Q.Y. Effects of salt stress on rice growth, development characteristics, and the regulating ways: A review. J. Integr. Agric. 2017, 16, 2357–2374. [Google Scholar] [CrossRef]
- Litalien, A.; Zeeb, B. Curing the earth: A review of anthropogenic soil salinization and plant-based strategies for sustainable mitigation. Sci. Total Environ. 2020, 698, 134235. [Google Scholar] [CrossRef]
- Phuong, N.T.K.; Khoi, C.M.; Linh, T.B.; Minh, D.D.; Duc, T.A.; Sinh, N.V.; Linh, T.T.; Toyota, K. Influence of rice husk biochar and compost amendments on salt contents and hydraulic properties of soil and rice yield in salt-affected fields. Agronomy 2020, 10, 1101. [Google Scholar] [CrossRef]
- Wassmann, R.; Hien, N.X.; Hoanh, C.T.; Tuong, T.P. Sea Level Rise Affecting the Vietnamese Mekong Delta: Water Elevation in the Flood Season and Implications for Rice Production. Clim. Chang. 2005, 66, 89–107. [Google Scholar] [CrossRef]
- Haque, S.A. Salinity problems and crop production in coastal regions of Bangladesh. Pak. J. Bot. 2006, 38, 1359–1365. [Google Scholar]
- Church, J.A.; White, N.J. Sea-Level Rise from the Late 19th to the Early 21st Century. Surv. Geophys. 2011, 32, 585–602. [Google Scholar] [CrossRef]
- Erfandi, D.; Rachman, A. Identification of Soil Salinity Due to Seawater Intrusion on Rice Field in the Northern Coast of Indramayu, West Java. J. Trop. Agric. 2011, 16, 115–121. [Google Scholar] [CrossRef]
- Phan, L.T.H.; Kamoshita, A. Salinity intrusion reduces grain yield in coastal paddy felds: Case study in two estuaries in the Red River Delta, Vietnam. Paddy Water Environ. 2020, 18, 399–416. [Google Scholar] [CrossRef]
- Khai, H.V.; Dang, N.H.; Yabe, M. Impact of salinity intrusion on rice productivity in the Vietnamese Mekong Delta. J. Fac. Agric. Kyushu Univ. 2018, 63, 143–148. [Google Scholar] [CrossRef]
- Sembiring, H.; Subekti, N.A.; Erythrina; Nugraha, D.; Priatmojo, B.; Stuart, A.M. Yield Gap Management under Seawater Intrusion Areas of Indonesia to Improve Rice Productivity and Resilience to Climate Change. Agriculture 2020, 10, 1. [Google Scholar] [CrossRef]
- Semida, W.M.; Beheiry, H.R.; Sétamou, M.; Simpson, C.R.; EL-Mageed, T.A.A.; Rady, M.M.; Nelson, S.D. Biochar implications for sustainable agriculture and environment: A review. S. Afr. J. Bot. 2019, 2019, 333–347. [Google Scholar] [CrossRef]
- Hoque, M.N.; Imran, S.; Hannan, A.; Paul, N.C.; Mahamud, M.A.; Chakrobortty, J.; Sarker, P.; Irin, I.J.; Brestic, M.; Rhaman, M.S. Organic Amendments for Mitigation of Salinity Stress in Plants: A Review. Life 2022, 12, 1632. [Google Scholar] [CrossRef] [PubMed]
- Lee, X.; Yang, F.; Xing, Y.; Huang, Y.; Xu, L.; Liu, Z.; Holtzaman, R.; Kan, I.; Li, Y.; Zhang, L.; et al. Use of biochar to manage soil salts and water: Effects and mechanisms. Catena 2022, 211, 106018. [Google Scholar] [CrossRef]
- Nguyen, B.T.; Trinh, N.N.; Le, C.M.T.; Nguyen, T.T.; Tran, T.V.; Thai, B.V.; Le, T.V. The interactive effects of biochar and cow manure on rice growth and selected properties of salt-affected soil. Arch. Agron. Soil Sci. 2018, 64, 1744–1758. [Google Scholar] [CrossRef]
- Jin, F.; Ran, C.; Aqa Anwari, Q.; Qiu Geng, Y.; Ying Guo, L.; Bo Li, J.; Han, D.; Qin Zhang, X.; Liu, X.; Wen Shao, X. Effects of biochar on sodium ion accumulation, yield and quality of rice in saline-sodic soil of the west of Songnen plain, northeast China. Plant Soil Environ. 2018, 64, 612–618. [Google Scholar] [CrossRef]
- Ran, C.; Gulaqa, A.; Zhu, J.; Wang, X.; Zhang, S.; Geng, Y.; Guo, L.; Jin, F.; Shao, X. Benefts of Biochar for Improving Ion Contents, Cell Membrane Permeability, Leaf Water Status and Yield of Rice Under Saline–Sodic Paddy Field Condition. J. Plant Growth Regul. 2020, 39, 370–377. [Google Scholar] [CrossRef]
- Huang, J.; Zhu, C.; Kong, Y.; Cao, X.; Zhu, L.; Zhang, Y.; Ning, Y.; Tian, W.; Zhang, H.; Yu, Y.; et al. Biochar Application Alleviated Rice Salt Stress via Modifying Soil Properties and Regulating Soil Bacterial Abundance and Community Structure. Agronomy 2022, 12, 409. [Google Scholar] [CrossRef]
- Zhang, J.; Bai, Z.; Huang, J.; Hussain, S.; Zhao, F.; Zhu, C.; Zhu, L.; Cao, X.; Jin, Q. Biochar alleviated the salt stress of induced saline paddy soil and improved the biochemical characteristics of rice seedlings differing in salt tolerance. Soil Tillage Res. 2019, 195, 104372. [Google Scholar] [CrossRef]
- Huang, M.; Zhang, Z.; Zhai, Y.; Lu, P.; Zhu, C. Effect of Straw Biochar on Soil Properties and Wheat Production under Saline Water Irrigation. Agronomy 2019, 9, 457. [Google Scholar] [CrossRef]
- Huang, M.; Fan, L.; Chen, J.; Jiang, L.; Zou, Y. Continuous applications of biochar to rice: Effects on nitrogen uptake and utilization. Sci. Rep. 2018, 8, 11461. [Google Scholar] [CrossRef]
- Chungsangunsit, T.; Gheewala, S.H.; Patumsawad, S. Environmental Assessment of Electricity Production from Rice Husk: A Case Study in Thailand. Int. Energy 2005, 6, 47–54. [Google Scholar]
- Pode, R. Potential applications of rice husk ash waste from rice husk biomasspower plant. Renew. Sustain. Energy Rev. 2016, 53, 1468–1485. [Google Scholar] [CrossRef]
- Hossain, N.; Nizamuddin, S.; Griffin, G.; Selvakannan, P.; Mubarak, N.M.; Mahlia, T.M.I. Synthesis and characterization of rice husk biochar via hydrothermal carbonization for wastewater treatment and biofuel production. Sci. Rep. 2020, 10, 18851. [Google Scholar] [CrossRef]
- Asadi, H.; Ghorbani, M.; Rezaei-Rashti, M.; Abrishamkesh, S.; Amirahmadi, E.; Chengrong, C.; Gorji, M. Application of Rice Husk Biochar for Achieving Sustainable Agriculture and Environment. Rice Sci. 2021, 28, 325–343. [Google Scholar] [CrossRef]
- Karam, S.D.; Nagabovanalli, P.; Sundara Rajoo, K.; Fauziah Ishak, C.; Abdu, A.; Rosli, Z.; Melissa Muharam, F.; Zulperi, D. An overview on the preparation of rice husk biochar, factors affecting its properties, and its agriculture application. J. Saudi. Soc. Agric. Sci. 2022, 21, 149–159. [Google Scholar] [CrossRef]
- Singh, C.; Tiwari, S.; Gupta, V.K.; Singh, J.S. The effect of rice husk biochar on soil nutrient status, microbial biomass and paddy productivity of nutrient poor agriculture soils. Catena 2018, 171, 485–493. [Google Scholar] [CrossRef]
- Sahoo, D.; Remya, N. Influence of operating parameters on the microwave pyrolysis of rice husk: Biochar yield, energy yield, and property of biochar. Biomass Convers. Biorefinery 2022, 12, 3447–3456. [Google Scholar] [CrossRef]
- Phetmak, K.; Anusontpornperm, S.; Kheoruenromne, I.; Thanachit, S. Effects of Chicken Manure, Perlite and Rate of Chemical Fertilizer on Virgin Cane Grown in a Coarse-textured Soil. Khon. Kaen. Agr. J. 2019, 47, 1–14. [Google Scholar] [CrossRef]
- Staff of U. S. Salinity Laboratory. Determination of the properties of saline and alkali soils. In Diagnosis and Improvement of Saline and Alkali Soils; Richards, L.A., Ed.; U.S. Department of Agriculture: Washington, DC, USA, 1954; pp. 7–33. [Google Scholar]
- Jedrum, S.; Thanachit, S.; Anusontpor, S.; Wiriyakitnateekul, W. Soil Amendments Effect on Yield and Quality of Jasmine rice Grown on typic Natraqualfs, Northeaset Thailand. Int. J. Soil Sci. 2014, 9, 37–54. [Google Scholar] [CrossRef]
- Malumpong, C.; Buadchee, R.; Thammasamisorn, B.; Moung-ngam, P.; Wasuri, B.; Saensuk, C.; Arikit, S.; Vannavichit, A.; Cheabu, S. Backcross breeding for improvement of heat tolerance at reproductive phase in Thai rice (Oryza sativa L.) varieties. J. Agric. Sci. 2020, 158, 496–510. [Google Scholar] [CrossRef]
- Yoshida, S.; Forno, D.; Cock, J.; Gomez, K. Laboratory Manual for Physiological Studies of Rice, 3rd ed.; The International Rice Research Institute: Manila, Philippines, 1976; pp. 61–66. [Google Scholar]
- Zhao, S.X.; Ta, N.; Wang, X.D. Effect of Temperature on the Structural and Physicochemical Properties of Biochar with Apple Tree Branches as Feedstock Material. Energies 2017, 10, 1293. [Google Scholar] [CrossRef]
- Li, X.; Yao, T.; Huang, X.; Li, X.; Li, P.; Du, S.; Wang, W.; Miao, S.; Wang, D.; Jin, F.; et al. Biochar increases rice yield by improving root morphological and root physiological functions in heavily saline-sodic paddy soil of Northeast China. BioResources 2022, 17, 1241–1256. [Google Scholar] [CrossRef]
- Pires, I.; Negrao, S.; Oliveira, M.; Purugganan, M. Comprehensive phenotypic analysis of rice (Oryza sativa) response to salinity stress. Physiol. Plant 2015, 155, 43–45. [Google Scholar] [CrossRef] [PubMed]
- Grattan, S.R.; Zeng, L.; Shannon, M.C.; Roberts, S.R. Rice is more sensitive to salinity than previously thought. Calif. Agric. 2002, 56, 189–198. [Google Scholar] [CrossRef]
- Fageria, N.K.; Santos, A.B.; Baligar, V.C. Phosphorus Soil Test Calibration for Lowland Rice on an Inceptisol. Agronomy 1997, 89, 737–742. [Google Scholar] [CrossRef]
- Ferdose, J.; Kawasaki, M.; Taniguchi, M.; Miyake, H. Differential Sensitivity of Rice Cultivars to Salinity and Its Relation to Ion Accumulation and Root Tip Structure. Plant Prod. Sci. 2009, 12, 453–461. [Google Scholar] [CrossRef]
- Thomas, S.C.; Frye, S.; Gale, N.; Garmon, M.; Launchbury, R.; Machado, N.; Melamed, S.; Murray, J.; Petroff, A.; Winsborough, C. Biochar mitigates negative effects of salt additions on two herbaceous plant species. J. Environ. Manag. 2013, 129, 62–68. [Google Scholar] [CrossRef]
- Akhtar, S.S.; Andersen, M.N.; Liu, F. Residual effects of biochar on improving growth, physiology and yield of wheat under salt stress. Agric. Water Manag. 2015, 158, 61–68. [Google Scholar] [CrossRef]
- Rostamian, R.; Heidarpour, M.; Mousavi, S.; Afyuni, M. Characterization and Sodium Sorption Capacity of Biochar and Activated Carbon Prepared from Rice Husk. J. Agric. Sci. Technol. 2015, 17, 1057–1069. [Google Scholar]
- Wei, L.; Huang, Y.; Li, Y.; Huang, L.; Mar, N.N.; Huang, Q.; Liu, Z. Biochar characteristics produced from rice husks and their sorption properties for the acetanilide herbicide metolachlor. Environ. Sci. Pollut. Res. Int. 2017, 24, 4552–4561. [Google Scholar] [CrossRef]
- Lehmann, J.; Rilig, M.C.; Thies, J.; Masiello, C.A.; Hockaday, W.C.; Crowley, D. Biochar affects on soil biota—A review. Soil Biol. Biochem. 2011, 43, 1812–1836. [Google Scholar] [CrossRef]
- Tomczyk, A.; Sokołowska, Z.; Boguta, P. Biochar physicochemical properties: Pyrolysis temperature and feedstock kind effects. Rev. Environ. Sci. Biotechnol. 2020, 19, 191–215. [Google Scholar] [CrossRef]
- Morales, S.G.; Trejo-Téllez, L.I.; Gómez Merino, F.C.; Caldana, C.; Espinosa-Victoria, D.; Herrera Cabrera, B.E. Growth, photosynthetic activity, and potassium and sodium concentration in rice plants under salt stress. Acta Sci. Agron. 2012, 34, 317–324. [Google Scholar] [CrossRef]
- Assaha, D.V.M.; Ueda, A.; Saneoka, H.; Al-Yahyai, R.; Yaish, M.W. The Role of Na+ and K+ Transporters in Salt Stress Adaptation in Glycophytes. Front. Physiol. 2017, 8, 509. [Google Scholar] [CrossRef] [PubMed]
- Zhang, Y.; Fang, J.; Wu, X.; Dong, L. Na+ /K+ Balance and Transport Regulatory Mechanisms in Weedy and Cultivated Rice (Oryza sativa L.) Under Salt Stress. Plant Biol. 2018, 18, 375. [Google Scholar] [CrossRef] [PubMed]






| Treatment | Active Tillers (%) | Panicle Length (cm) | Grain Number/Panicle |
|---|---|---|---|
| 0% biochar | 48.0 ± 1.6 b | 20.4 ± 1.0 c | 32.5 ± 0.8 b |
| 10% biochar | 69.0 ± 1.9 ab | 24.0 ± 0.0 b | 46.7 ± 6.8 ab |
| 20% biochar | 67.8 ± 10.4 ab | 26.3 ± 0.2 b | 70.0 ± 7.0 ab |
| 30% biochar | 89.6 ± 8.5 a | 29.2 ± 0.2 a | 94.2 ± 18.7 a |
| Treatment | Filled Grain (%) | 1000 Grain Weight (g) | Grain Weight/Pot (g) |
| 0% biochar | 3.6 ± 0.6 c | 18.5 ± 0.4 c | 0.80 ± 0.4 b |
| 10% biochar | 29.9 ± 0.2 b | 20.1 ± 0.1 b | 1.24 ± 0.7 b |
| 20% biochar | 46.5 ± 4.0 a | 23.7 ± 0.3 a | 7.73 + 2.9 ab |
| 30% biochar | 42.8 ± 0.1 a | 23.4 ± 0.7 a | 12.23 ± 2.9 a |
Disclaimer/Publisher’s Note: The statements, opinions and data contained in all publications are solely those of the individual author(s) and contributor(s) and not of MDPI and/or the editor(s). MDPI and/or the editor(s) disclaim responsibility for any injury to people or property resulting from any ideas, methods, instructions or products referred to in the content. |
© 2023 by the authors. Licensee MDPI, Basel, Switzerland. This article is an open access article distributed under the terms and conditions of the Creative Commons Attribution (CC BY) license (https://creativecommons.org/licenses/by/4.0/).
Share and Cite
Sudratt, N.; Faiyue, B. Biochar Mitigates Combined Effects of Soil Salinity and Saltwater Intrusion on Rice (Oryza sativa L.) by Regulating Ion Uptake. Agronomy 2023, 13, 815. https://doi.org/10.3390/agronomy13030815
Sudratt N, Faiyue B. Biochar Mitigates Combined Effects of Soil Salinity and Saltwater Intrusion on Rice (Oryza sativa L.) by Regulating Ion Uptake. Agronomy. 2023; 13(3):815. https://doi.org/10.3390/agronomy13030815
Chicago/Turabian StyleSudratt, Napasawan, and Bualuang Faiyue. 2023. "Biochar Mitigates Combined Effects of Soil Salinity and Saltwater Intrusion on Rice (Oryza sativa L.) by Regulating Ion Uptake" Agronomy 13, no. 3: 815. https://doi.org/10.3390/agronomy13030815
APA StyleSudratt, N., & Faiyue, B. (2023). Biochar Mitigates Combined Effects of Soil Salinity and Saltwater Intrusion on Rice (Oryza sativa L.) by Regulating Ion Uptake. Agronomy, 13(3), 815. https://doi.org/10.3390/agronomy13030815

