Comparison of the Effect of NaOH Pretreatment and Microbial Agents on Rice Straw Decomposition
Abstract
1. Introduction
2. Materials and Methods
2.1. Experiment Materials
2.2. Experimental Design
2.3. Determination Items and Methods
2.3.1. Recording the Temperature of the Pile
2.3.2. Determination of pH and Electrical Conductivity (EC Value)
2.3.3. Determination of Humus Polymerization (E4/E6 Value)
2.3.4. Determination of Nutrient Content
2.3.5. Determination of Germination Index
2.4. Statistical Analysis and Evaluation of Decomposing Effects
3. Results
3.1. Changes in Temperature Values between the Treatments during Decomposition
3.2. Changes in pH Values between the Treatments during Decomposition
3.3. Changes in Electrical Conductivity (EC Values) between the Treatments during Decomposition
3.4. Changes in E4/E6 Values between the Treatments during Decomposition
3.5. Changes in Nitrogen Concentrations between the Treatments during Decomposition
3.6. Changes in Phosphorus Concentrations between the Treatments during Decomposition
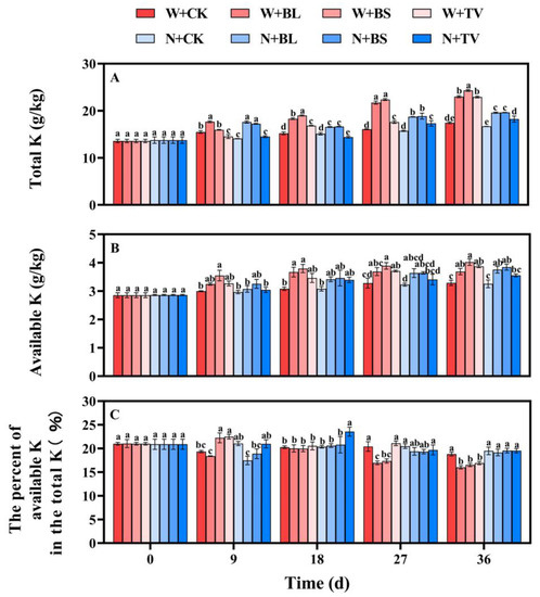
3.7. Changes in Potassium Concentrations between the Treatments during Decomposition
3.8. Changes in Carbon and Carbon–Nitrogen Ratio (C/N) between the Treatments during Decomposition
3.9. Changes in Seed Germination Index between the Treatments during Decomposition
3.10. Correlation Analysis between Indicators Related to the Treatments during Decomposition
3.11. Gray Analysis between C/N and Other Indexes
3.12. Principal Component Analysis (PCA) between the Treatments during Decomposition
3.13. Comprehensive Evaluation of the Treatments during Decomposition
4. Discussion
5. Conclusions
Author Contributions
Funding
Institutional Review Board Statement
Informed Consent Statement
Data Availability Statement
Acknowledgments
Conflicts of Interest
References
- Jia, W.; Qin, W.; Zhang, Q.; Wang, X.; Ma, Y.; Chen, Q. Evaluation of crop residues and manure production and their geographical distribution in China. J. Clean. Prod. 2018, 188, 954–965. [Google Scholar] [CrossRef]
- He, Y.Y.; Xu, X.; Liu, C.; Liu, H.J.; Li, R.; Shen, Q.R. Using wood fiber degrading compound microbial agents to promote maturity of composting. Soils 2020, 52, 728–735. [Google Scholar] [CrossRef]
- Gao, R.P.; Liu, X.Y.; Pan, Z.T.; Zhang, D.X.; Shen, X.J.; Su, Y.F.; Huang, J.; Jing, Y.P. Effects of biological agents on hydrothermal status and enzyme activity during composting of corn straw. J. Agric. Sci. Technol. 2022, 1–8. [Google Scholar] [CrossRef]
- Wang, J.; Wei, S.J.; Wei, L.M. Effect of straw decomposition agent on rice seedling quality and the substrate microorganism. J. Nucl. Agric. Sci. 2021, 35, 2413–2422. [Google Scholar] [CrossRef]
- Li, H.; Zou, S.X.; Li, C.C.; Jin, Y.Y. Alkaline post-treatment for improved sludge anaerobic digestion. Bioresour. Technol. 2013, 140, 187–191. [Google Scholar] [CrossRef]
- Li, H.Y.; Huang, K.L.; Jin, M.; Wei, Q.Q.; Li, G.Z. Effects of alkaline ozone pretreatment on rice straw. Trans. Chin. Soc. Agric. Eng. 2009, 35, 611–614. [Google Scholar] [CrossRef]
- Qi, H.; Wu, X.F.; Chen, L.; Deng, M.; Wang, K.Q. The enzymatic hydrolysis conversion rate of cellulose in rice straw improved by using NaOH solution collaborated with irradiation. J. Nucl. Agric. Sci. 2019, 33, 1190–1198. [Google Scholar] [CrossRef]
- Wu, J.; Xu, L.L.; Xie, J.L. The effect of alkali-pretreatment on anaerobic digestion of solid organic waste. Acta Sci. Circumstantiae 2006, 26, 252–255. [Google Scholar] [CrossRef]
- He, Y.F.; Pang, Y.Z.; Liu, Y.P.; Li, X.J.; Wang, K.S. Physicochemical characterization of rice straw pretreated with sodium hydroxide in the solid state for enhancing biogas production. Energ. Fuel. 2008, 22, 2775–2781. [Google Scholar] [CrossRef]
- Wei, Y.; Zhang, S.H. Abiostress resistance and cellulose degradation abilities of haloalkaliphilic fungi: Applications for saline-alkaline remediation. Extremophiles 2018, 22, 155–164. [Google Scholar] [CrossRef]
- Mei, X.L.; Zheng, H.P.; Li, S.X.; Yang, T.J.; Jiang, G.F. Construction and evaluation of bacterial-fungal consortia for rice straw degradation. J. Agro-Environ. Sci. 2021, 40, 2217–2225. [Google Scholar] [CrossRef]
- Passoth, V.; Sandgren, M. Biofuel production from straw hydrolysates: Current achievements and perspectives. Appl. Microbiol. Biotechnol. 2019, 103, 5105–5116. [Google Scholar] [CrossRef] [PubMed]
- Meng, J.Y.; Ji, J.H.; Guo, H.Q.; Tao, Y.; Feng, F.Y.; Zhao, H.B. Isolation of room temperature cellulose-degrading bacteria and construction of degrading consortia. J. Biol. 2020, 37, 86–90. [Google Scholar] [CrossRef]
- Gong, X.J.; Yu, Y.; Hao, Y.B.; Wang, Q.J.; Ma, J.T.; Jiang, Y.B.; Lv, G.Y.; Li, L.; Qian, C.R. Characterizing corn-straw-degrading actinomycetes and evaluating application efficiency in straw-returning experiments. Front Microbiol. 2022, 13, 1003157. [Google Scholar] [CrossRef]
- Liu, B.P.; Wang, H.Y.; Fang, H.Y.; Wang, L.; Zhu, Z.M.; Guo, A.L.; Xu, H.M. Isolation and screening of bacteria and actinomycetes in degrade stalks. J. Northeast Agric. Univ. 2010, 41, 49–54. [Google Scholar] [CrossRef]
- Lv, S.; Wu, Z.C.; Wang, Z.W.; Li, B.; Yu, H.G.; Zhang, Y.F. Study on alkali-pretreatment of straw to provide carbon source for denitrification. Technol. Water Treat. 2012, 38, 25–29. [Google Scholar] [CrossRef]
- Ding, Z.G.; Guo, L.; Jiang, J.J.; Yuan, L.L. Effect of inoculating Bacillus licheniformis on quality of wheat and rice straws. J. Yangzhou Univ. (Agric. Life Sci. Ed.) 2010, 31, 82–86. [Google Scholar] [CrossRef]
- Zhang, Z.H.; Wang, Y.Q.; Ren, G.Y.; Li, Y.X.; Zhao, L.P.; Wu, Q.J.; Zhang, Z.J. Evaluation of fermentation quality of corn straw silage treated with different additives based on principal component analysis and membership function analysis. Chin. J. Anim. Nutr. 2022, 34, 2677–2688. [Google Scholar] [CrossRef]
- He, C.; Wang, W.Q.; Hou, J.L. Advances in mechanism and application of Trichoderma viride on biodegradation and biologicalcontrol. J. Microbiol. 2019, 39, 122–128. [Google Scholar] [CrossRef]
- Huang, F.; Liu, H.B.; Wen, J.X.; Zhao, C.; Lu, D.; Liu, H. Underestimated humic acids release and influence on anaerobic digestion during sludge thermal hydrolysis. Water Res. 2021, 201, 117310. [Google Scholar] [CrossRef]
- Lu, R.K. Methods for Agrochemical Analysis of Soil; China Agriculture Press: Beijing, China, 2000; pp. 272–282. (In Chinese) [Google Scholar]
- Gu, P.Y.; Luo, F.F.; Tao, W.Q.; Li, Y.; Wang, D.J.; Wu, X.; Ju, X.X.; Chao, L.; Zhang, Y.L. Higher nitrogen content and auxin export from rice tiller enhance low-ammonium-dependent tiller outgrowth. J. Plant Physiol. 2022, 268, 153562. [Google Scholar] [CrossRef]
- Bao, S.D. Agrochemical Analysis of Soil, 3rd ed.; China Agriculture Press: Beijing, China, 2000; pp. 30–107. (In Chinese) [Google Scholar]
- Kong, Y.L.; Wang, G.Y.; Chen, W.J.; Yang, Y.; Ma, R.N.; Li, D.Y.; Shen, Y.J.; Li, G.X.; Yuan, J. Phytotoxicity of farm livestock manures in facultative heap composting using the seed germination index as indicator. Ecotoxicol. Environ. Saf. 2022, 247, 114251. [Google Scholar] [CrossRef]
- Yu, Y.; Deng, L.; Zhou, L.; Chen, G.; Wang, Y. Exogenous Melatonin Activates Antioxidant Systems to Increase the Ability of Rice Seeds to Germinate under High Temperature Conditions. Plants 2022, 11, 886. [Google Scholar] [CrossRef]
- Su, D.W.; Mei, L.; Lin, H.; Luo, H.L.; Zhang, L.L.; Song, J.; Song, J.; Liu, J.; Lin, Z.X. Grey correlation analysis of physiological traits related to drought tolerance in pennisetum sp. Agric. Basic Sci. Technol. 2017, 18, 1158–1163. [Google Scholar]
- Shi, S.; Wang, E.; Li, C.; Zhou, H.; Cai, M.; Cao, C.; Jiang, Y. Comprehensive Evaluation of 17 Qualities of 84 Types of Rice Based on Principal Component Analysis. Foods 2021, 10, 2883. [Google Scholar] [CrossRef] [PubMed]
- Li, X.; Zhu, W.Z.; Shu, S.M.; Sheng, Z.L.; Wang, W.W. Soil quality assessment of grassland in dry and warm valley of Dadu River based on principal component analysis. Acta Ecol. Sin. 2021, 41, 3891–3900. [Google Scholar] [CrossRef]
- Sun, Q.; Hu, J.J. Research Technology of Plant Physiology; Northwest University of Agriculture and Forestry Science and Technology Press: Yangling, Xianyang, China, 2005; p. 67. (In Chinese) [Google Scholar]
- Wonglom, P.; Ito, S.; Sunpapao, A. Volatile organic compounds emitted from endophytic fungus Trichoderma asperellum T1 mediate antifungal activity, defense response and promote plant growth in lettuce (Lactuca sativa). Fungal Ecol. 2020, 43, 100867. [Google Scholar] [CrossRef]
- Sun, D.H.; Bao, A.H.; Chen, L. On Softening Effect of NaOH Pretreatment on Rice Straw. J. Southwest China Norm. Univ. (Nat. Sci. Ed.) 2020, 45, 73–78. [Google Scholar] [CrossRef]
- Zhang, J.; Chen, T.B.; Gao, D.; Zheng, G.D. Research progress in mathematical models of temperature, oxygen and moisture in aerobic composting process. China Water Wastewater 2010, 26, 148–152. [Google Scholar] [CrossRef]
- Chen, M.L.; Huang, Y.M.; Wang, C.; Gao, H. The conversion of organic nitrogen by functional bacteria determines the end-result of ammonia in compost. Bioresour Technol. 2020, 299, 122599. [Google Scholar] [CrossRef]
- Kloepper, J.W.; Ryu, C.M.; Zhang, S. Induced systemic resistance and promotion of plant growth by Bacllus spp. Phytopathology 2004, 94, 1259–1266. [Google Scholar] [CrossRef]
- Shafi, J.; Tian, H.; Ji, M. Bacllus species as versatile weapons for plant pathogens: A review. Biotechnol. Biotechnol. Equip. 2017, 31, 446–459. [Google Scholar] [CrossRef]
- Zhu, J.L.; Liu, X.L.; Li, S.M.; You, P.; Gao, W.L.; Tang, L. Effect of two microbial agents on tobacco fine waste high-temperature compost maturity. J. Agro-Environ. Sci. 2010, 29, 194–199. [Google Scholar]
- Liu, J.; Li, J.; Ge, C. Advance in role mechanism of microbial fertilizer. J. Microbiol. 2001, 21, 33–36. [Google Scholar] [CrossRef]
- Delaune, P.B.; Moore, P.A.; Daniel, T.C.; Lemunyon, J.L. Effect of chemical and microbial amendments on amm- onia volatilization from composting poultry litter. J. Environ. Qual. 2004, 33, 728–735. [Google Scholar] [CrossRef]
- Raviv, M.; Medina, S.; Krasnovsky, A.; Ziadna, H. Organic Matter and Nitrogen Conservation in Manure Compost for Organic Agriculture. Compos. Sci. Util. 2013, 12, 6–10. [Google Scholar] [CrossRef]
- Wei, Y.H.; Yu, J.H.; Jie, J.M.; Zhang, G.B. Effects of different additives on high temperature composting of cow dung. J. Gansu Agric. Univ. 2012, 47, 52–56. [Google Scholar] [CrossRef]
- Chen, T.B.; Luo, W.; Zheng, G.D.; Gao, D. Effects of pile-turning on chemical and physical properties in static forced-aeration composting of sewage sludge and pig manure. Acta Sci. Circumstantiae 2005, 25, 117–122. [Google Scholar] [CrossRef]













| Treatment Method | No NaOH Pretreatment (W) | NaOH Pretreatment (N) | |
|---|---|---|---|
| Decomposing Agents | |||
| No microbial agent (CK) | W+CK | N+CK | |
| Bacillus licheniformis agent | W+BL | N+BL | |
| Bacillus subtilis agent | W+BS | N+BS | |
| Trichoderma viride agent | W+TV | N+TV | |
Disclaimer/Publisher’s Note: The statements, opinions and data contained in all publications are solely those of the individual author(s) and contributor(s) and not of MDPI and/or the editor(s). MDPI and/or the editor(s) disclaim responsibility for any injury to people or property resulting from any ideas, methods, instructions or products referred to in the content. |
© 2023 by the authors. Licensee MDPI, Basel, Switzerland. This article is an open access article distributed under the terms and conditions of the Creative Commons Attribution (CC BY) license (https://creativecommons.org/licenses/by/4.0/).
Share and Cite
Chen, Q.; Li, Y.; Wang, C.; Wang, Y. Comparison of the Effect of NaOH Pretreatment and Microbial Agents on Rice Straw Decomposition. Agronomy 2023, 13, 816. https://doi.org/10.3390/agronomy13030816
Chen Q, Li Y, Wang C, Wang Y. Comparison of the Effect of NaOH Pretreatment and Microbial Agents on Rice Straw Decomposition. Agronomy. 2023; 13(3):816. https://doi.org/10.3390/agronomy13030816
Chicago/Turabian StyleChen, Qiyu, Yufei Li, Chengli Wang, and Yue Wang. 2023. "Comparison of the Effect of NaOH Pretreatment and Microbial Agents on Rice Straw Decomposition" Agronomy 13, no. 3: 816. https://doi.org/10.3390/agronomy13030816
APA StyleChen, Q., Li, Y., Wang, C., & Wang, Y. (2023). Comparison of the Effect of NaOH Pretreatment and Microbial Agents on Rice Straw Decomposition. Agronomy, 13(3), 816. https://doi.org/10.3390/agronomy13030816
