Abstract
The soils of four citrus orchards in western Zhejiang were studied in this research. In order to explore the effects of lime on soil chemical properties and bacterial communities, the incubation experiment was conducted with six different dosages of lime addition, 0, 0.6, 1.2, 2.4, 4.8, 7.2 g/kg, respectively. The results showed that soil pH increased significantly (p < 0.05) and the contents of exchangeable acid decreased significantly (p < 0.05) at the early stage of lime application. As time went by, the reacidification existed in the soil of each treatment, mainly reflected in a significant (p < 0.05) decrease in soil pH. Liming increased the nitrate nitrogen content and decreased the ammonium nitrogen content in the four soils. However, the responses of other nutrient indexes to lime varied in different soils, which might be due to the different degrees of soil acidification. In general, the addition of lime increased the soil integrated fertility index (IFI) and improved the soil nutrient status. The application of lime under 2.4 g/kg significantly improved the structure of bacterial community and increased the relative abundance of soil bacterial community species, while the application of lime above 4.8 g/kg might inhibit the growth and activity of microorganisms, resulting in the reduction of soil microbial biomass and diversity. Redundancy analysis (RDA) showed that lime affected the bacterial community mainly by reducing the content of soil active acid and exchangeable acid. At the same time, network analysis showed that the bacterial community had a stronger buffer capacity against external disturbances after lime application. In conclusion, the addition of lime with appropriate amount (2.4~4.8 g/kg, corresponding to a field application rate of 5.8~11.5 t/ha) in acid orchard soil could improve soil properties, soil integrated fertility, and the diversity and stability of the bacterial community.
1. Introduction
Citrus is the most common fruit in the world. Citrus trees are also one of the fruit trees with the widest planting area and the most important economic contribution in China, which is mostly planted in the south subtropics. In recent years, soil acidification in citrus orchards has occurred due to successive years of production and long-term excessive input of chemical fertilizers [1,2]. Soil acidification has become a major obstacle to the development of citrus industry by reducing the fertility [3], the photosynthetic efficiency of plants, the accumulation of sugar in fruits and impairing the growth of root [4,5,6]. It could also increase the bioavailability of toxic heavy metals such as Al, Mn, and Cd and lead to the decline of citrus yield and quality [7]. Therefore, it is important to seek a practical way to improve the soil acidification for sustainable development of citrus orchards.
Lime is a common acidic soil amendment that directly neutralizes soil acidity and alleviates Al and other heavy metal toxicity [8]. At the same time, lime also plays an important role in improving soil structure, enhancing soil biological activity and nutrient cycling capacity, and improving plant nutrition and growth [8,9]. At present, the positive effect of lime on acid soil has been carried out in extensive research. It has been found that liming can significantly reduce the content of toxic Al in soil, such as exchangeable Al, organic complexed Al, free Al, Al-F, and Al-OH, and induce their sedimentation, effectively alleviate Al toxicity, and enable crop roots to grow normally [10]. The reduction of soil pH inhibits soil nitrification, when pH decreases below 6, soil nitrification is significantly reduced, and when pH decreases below 4.5, nitrification is reduced to negligible levels [11]. The application of lime can improve soil nitrification by improving the activity of nitrifying microorganisms. However, excess lime in turn significantly reduces the content of soil nitrate nitrogen [12]. The increase of pH also causes a decrease in soil AEC (anion exchange capacity) and a decrease in the adsorption of phosphate, and also dissolves Fe3+, Al3+, and PO43− forming phosphate compounds, increasing the effectiveness of phosphorus in the soil [11,13]. It was thought that liming accelerated the rate of soil C and N mineralization, resulting in the soil C and N losses [14]. On the whole, reasonable application of lime can improve the nutrient status and enhance the sustainable utilization of acidified soil [15].
Bacterial communities play an important role in the process of material circulation, which could significantly affect the form and effectiveness of soil nutrients by changes in the activity and diversity of soil bacteria [16]. As a result, it is particularly important to investigate the effect of lime on the structure of soil microbial communities. Neutral and slightly acidic environments would provide suitable habitats for most bacteria. Liming could increase the amount of microbial C and N by fighting against the decline of bacterial diversity induced by the soil acidification [17]. It has been found that continuous application of lime in paddy fields increased soil bacterial and prokaryotic diversity [18], and enhanced soil microbial biomass and respiration rate [19]. Dong [20] also found that lime treatment could significantly increase the functional diversity index of soil bacteria. However, some studies have also reported the opposite conclusion [21].
At present, a considerable amount of literature has been published on liming addition in paddy field and pasture soil, but the effect of lime on acidified citrus orchard soil still needs to be further explored. Since the management methods and fertilization dosages of orchards and farmlands differ greatly, the chemical properties and microbial community composition of soils are various, so that the optimal amount of lime and improvement effect depend on circumstances. Therefore, the remediation effect of lime on acidified citrus soil needs further study. In this paper, we studied (1) the effects of different amounts of lime on the comprehensive fertility of citrus orchard soils, (2) the response of citrus orchard soil bacterial communities to lime addition, and (3) the lime application dosage that theoretically favor soil fertility and health in acidified orange groves through culture experiment analysis. In order to provide a reliable reference for soil improvement and sustainable use of acidified orange orchards in the south, the soils in western Zhejiang Province were taken as the research objects in this study.
2. Materials and Methods
2.1. Collection of Test Soil Samples
Soil samples were collected in October 2021 from four citrus orchards with different soil types in Jiande City, Zhejiang Province, which has a north subtropical monsoon climate with an average annual temperature of 16.9 °C and an average annual precipitation of 1500 mm. The annual application of chemical fertilizer in the park is between 600 and 900 kg/hm2, and the input ratio of nitrogen, phosphorus and potassium fertilizer is 1:0.56:0.78. Almost no organic fertilizer is applied. The citrus yield is 18~42 t/hm2. Soil samples were collected by the five-point sampling method, i.e., the diagonal intersection of the plantation area was determined as the central sampling point, and then four points on the diagonal with equal distance from the central sample point were selected as sample points. Each sample point was collected surface soil (0~20 cm) and mixed well. The soil samples were air-dried, ground, and sieved through a 2 mm sieve. The basic physical and chemical properties of the soil in the park are shown in Table 1.
Table 1.
Basic chemical properties of the test soil.
2.2. Experimental Design
There were six lime (95% CaO powder) dosages in the experiment, 0 g/kg (CK), 0.6 g/kg (L0.6), 1.2 g/kg (L1.2), 2.4 g/kg (L2.4), 4.8 g/kg (L4.8), and 7.2 g/kg (L7.2), which were approximately equal to field application rates of 0 t/ha, 1.4 t/ha, 2.9 t/ha, 5.8 t/ha, 11.5 t/ha, and 17.3 t/ha. Each culture flask was weighed out to 300 g of soil, and lime was mixed with soil. No lime was applied as the control. Each treatment was repeated three times and incubated in a constant temperature incubator at 25 °C for 80 days for the test. Deionized water was added by weighing method in the experiment to ensure that the soil mass water content was about 25%. Samples were taken regularly to observe the dynamic changes of soil acidity.
2.3. Soil Sample Collection and Analysis
Soil samples were collected on days 5, 10, 30, 40, 60, and 80 of the incubation experiment, respectively. The samples were air-dried and ground to determine soil pH and soil-exchangeable acid content. At the end of the incubation experiment, part of the remaining soil samples was air-dried and ground to determine the available potassium, available phosphorus, and organic matter content of the soil, and part of the fresh samples was taken for the determination of ammonium nitrogen and nitrate nitrogen, and part of them was stored in a refrigerator at −80 °C for bacterial diversity analysis. Soil pH was measured in a soil-water suspension (1:2.5 m/v) with a pH meter [22], the exchangeable acid (Ex-acid) was extracted by KCl and determined by titration to a phenolphthalein endpoint, the available potassium (AK) was extracted with NH4OAc and then determined by Atomic absorption spectrometry (AAS, Analytik Jena novAA 300, Germany) [23], available phosphorus (Olsen-P) was determined by the Olsen method [24], ammonium nitrogen (NH4+-N) and nitrate nitrogen (NO3−-N) were extracted with 2 M KCl and determined by continuous flow analyzer (SAN++, SKALAR, Netherlands) [25], and the sum of the two was used as the available nitrogen content (AN).
The extraction of total DNA and sequencing of 16SrDNA (V4-V5 region) of soil microorganisms were carnied-out by the Guangdong Megagen Technology Co (Guangzhou, China). Standard protocols were followed to extract soil DNA using the ALFA-SEQ Advanced Soil DNA Kit (Megigene, Guangzhou, China), and the quantity and quality of DNA were assessed using a NanoDrop ND-1000 spectrophotometer (Thermo Fisher Scientific, Waltham, MA, USA). The V4-V5 region of the bacterial 16S rDNA gene was targeted by 515F(5′-GTGCCAGCMGCCGCGGTAA-3′) and 907R(5′-CCGTCAATTCMTTTRAGTTT-3′).
The results of soil nutrient index analysis of each treatment were used as the test parameters for soil fertility evaluation, and the affiliation value of each index was calculated using the affiliation function. The integrated fertility index (IFI) of soil quality of each treatment was calculated according to Equation (3). Among them, SOM, AP, AK and AN were determined as an S-type affiliation function and pH was determined as a parabolic affiliation function.
Equation (1) is an S-type affiliation function, where x < x1 and x ≥ x2 correspond to the extremely low and extremely high states in Table 2, respectively. Equation (2) is the parabolic affiliation function, where x < x1, x1 ≤ x < x2, x2 ≤ x ≤ x3, x3 < x ≤ x4, and x > x4 correspond to extremely low, low, medium, high, and extremely high states in Table 2, respectively. In Equation (3), qi is the affiliation degree of the ith soil fertility evaluation index, wi is the weight coefficient of the ith soil fertility evaluation index, the weight coefficient of each index is calculated using factor analysis.
Table 2.
Soil quality grading standards for orange groves [26,27].
2.4. Data Analysis
Analysis of variance and correlation were performed using Excel 2019, SPSS 26.0. The line and bar charts were plotted using Origin 2021. Soil bacterial data analysis was carried out on the Magigene Cloud platform (http://cloud.magigene.com/, accessed on 29 April 2022), using fastp (v0.14.1, https://github.com/OpenGene/fastp, accessed on 12 May 2022) for splicing and filtering of raw data to obtain clean tags. The uparse algorithm of usearch (v10.0.240) was used to cluster clean tags into operational taxonomic units (OTUs) at 97% homology similarity while removing chimeras. The sequence with the highest frequency of occurrence was also selected as a representative sequence and compared with the SILVA/v132 (http://www.arb-silva.de/, accessed on 12 May 2022) database to annotate species information. The calculation of alpha diversity indices (chao1, shannon_2) was performed using usearch -alpha_div based on OTU abundance tables. The “vegan” R package was applied to perform Non-metric multidimensional scaling (NMDS) and Redundancy analysis (RDA). NMDS was conducted to characterize the variability of bacterial community structure. RDA was conducted to explore the relationship between environmental factors and bacterial community. The “heatmap” R package was applied to plot the correlation heat map. Network analysis was performed using Gephi-0.9.7 to demonstrate associations between bacterial genera.
3. Results
3.1. Effect of Lime on the Dynamics of Soil Acidity
The dynamic changes of soil pH after liming are shown in Figure 1. The effect between different treatments showed that soil pH significantly (p < 0.05) increased with the increase of lime application at the early stage of the incubation period. At the late stage of incubation, the pH of the four soils treated with low lime dosage (≤1.2 g/kg) was no longer significantly different (p > 0.05) from control. From the time gradient, soil pH increased rapidly after lime application. Until 20 days, the four soil pH values of the different lime treatments changed less with time. The pH of the four soils with lime began to decrease after 40 days, and the higher the lime application proportion, the greater the decrease in pH (Figure 1). After 80 days of incubation, soil pH was significantly lower (p < 0.05) in all treatment groups than it was on day 5 of incubation.
Figure 1.
Dynamics of the pH of soils (a–d). Different lowercase letters represent significant differences between different incubation times for the same treatment (p < 0.05).
The dynamic of exchangeable acid is shown in Figure 2. The effect of different treatments showed that lime application could significantly (p < 0.05) reduce the soil-exchangeable acid content. When the lime application amount was above 4.8 g/kg, exchangeable acid was near zero. From the time gradient, the exchangeable acid content of CK, L0.6, L1.2, and L2.4 treatments increased from the 40th day of incubation, but the effect of the three lime treatments in reducing soil exchangeable acid remained significant (p < 0.05) (significant differences between L0.6, L1.2, and L2.4 and CK, respectively). Moreover, it is notable that the soil exchangeable acid did not show any marked increase in the higher lime treatments (L4.8 and L7.2) despite evidence that pH was declining in those treatments as time progressed.
Figure 2.
Dynamics of the exchange acid content of soils (a–d). Different lowercase letters represent significant differences between different incubation times for the same treatment (p < 0.05).
3.2. Effect of Lime on Soil Fertility Status
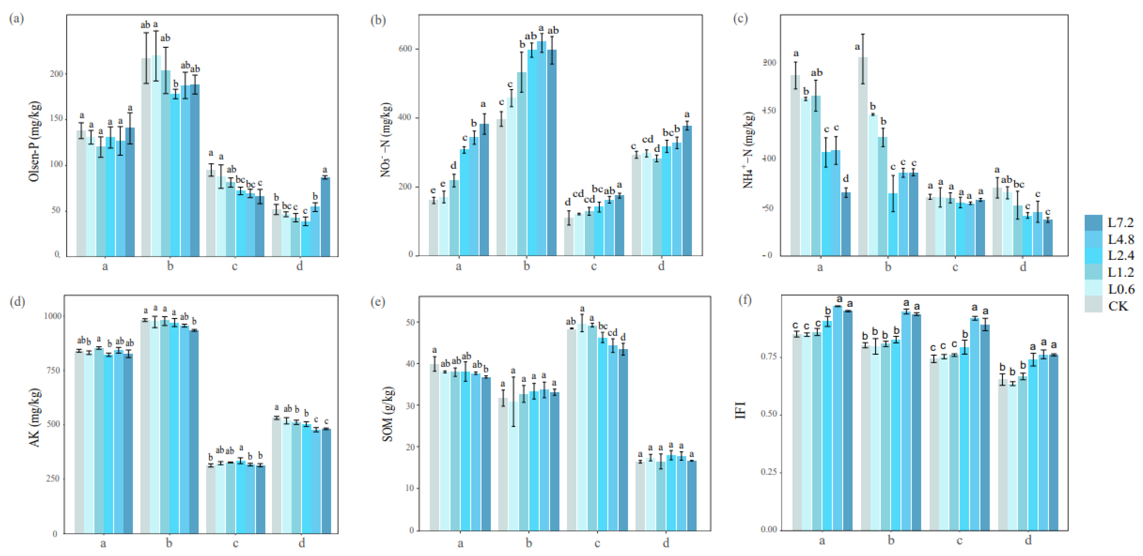
As shown in Figure 3a, the lime application had no significant effect on the Olsen-P content of soil (a). The Olsen-P content of soil (b) and (d) decreased with increasing lime application (≤2.4 g/kg). The lowest Olsen-P contents existed in both soils under L2.4 treatment, which were decreased by 18.1% and 24.9%, respectively, compared with the control treatment. When the lime application was higher than 2.4 g/kg, the Olsen-P content increased with increasing lime application rate. The Olsen-P content of soil (c) decreased with the increase of lime application. As shown in Figure 3b, the NO3−-N contents of all four soils increased with the increase of lime dosage, and the increases of NO3−-N content of the four soils with L7.2 were 137.6%, 41.8%, 58.6%, and 28.8%, in order, compared with CK. Except for soil(c), the ammonium nitrogen contents of the other three soils decreased with increasing lime application. The effect of lime application on the soil AK content is shown in Figure 3d. For soils (a) and (c), there was no significant evidence of change in soil AK content with increasing lime application. The AK contents of soil (b) and (d) decreased with increasing lime dosage with small overall changes, which were only 4.8% and 9.5% decreases under the L7.2 treatment compared to the CK treatment. The effect of lime application on SOM is shown in Figure 3e. Lime application reduced the organic matter content of soil (a)(c), which was less affected in the other two soils. The addition of lime increased the IFI index, especially in L4.8 treatment.
Figure 3.
(a) Effects of liming on soil Olsen-P. (b) Effects of liming on soil nitrate nitrogen (NO3−-N). (c) Effects of liming on soil ammonium nitrogen (NH4+-N). (d) Effects of liming on soil available potassium (AK). (e) Effects of liming on soil organic matter (SOM). (f) Effects of liming on soil integrated fertility index (IFI). In each figure, the lowercase letters under the abscissa represent soil types, different letters above each bar indicate significant differences (p < 0.05) among different treatments of the same soil.
3.3. Effect of Liming on Soil Bacterial
3.3.1. Effect of Different Lime Dosage Treatments on the Diversity of Soil Bacterial Communities
The amplicons of 16S rDNA (V4-V5 region) of soil microorganisms were sequenced by high-throughput sequencing, and 56916, 54508, 44886, and 54711 valid sequences were sequenced on average for the six dosage treatments of soil (a), (b), (c), and (d), respectively. Valid sequences were clustered by Usearch software at 97.0% homologous similarity, and 25847, 23975, 34104, and 21065 bacterial OUTs were obtained for the four soils, respectively. The calculated α-diversity indices are shown in Figure 4. The Shannon_2 index characterized the diversity of bacterial communities, the Chao1 index characterized the species richness of bacterial communities, and higher values implied higher diversity and richness of bacterial communities. Except for soil (a), the Shannon_2 and Chao1 indices of the other three soils showed a general trend of increasing and then decreasing with the increasing lime application, indicating that the addition of small amounts (≤2.4 g/kg) of lime could increase the diversity and species abundance of soil bacteria, but when the lime dosage was too high (≥4.8 g/kg), it would suppress the two indices. Two indices of soil (a) generally increased with increasing lime application.
Figure 4.
Effects of liming on soil bacterial alpha diversity indices Shannon_2 (a) and Chao1 (b). The lowercase letters under the abscissa represent soil types, different letters above each bar indicate significant differences (p < 0.05) among different treatments of the same soil.
The results of NMDS analysis based on the bray_curtis distance algorithm are shown in Figure 5. The similarity of two microbial communities could be deduced by the distance between treatments in the figure, which meant that the shorter distance could indicate more similarity. Among the four soils, the distance between the treatment and control groups gradually increased with the increase of lime dosage, indicating that the addition of lime changed the bacterial community structure of soil. The higher the amount of lime added, the greater the change of bacterial community structure.
Figure 5.
Differential analysis of the structure of the four soil bacterial communities under different lime treatments. The letters (a–d) represent soil types. The differences between soil microbial communities of different treatments can be judged by the distance between treatments: the longer the distance, the greater the differences in microbial community composition.
3.3.2. Composition of Soil Bacterial Community under Different Lime Dosage Treatments
At the phylum level, 24 phyla were detected in the four soils, of which a total of 9 had relative abundances greater than 1% in all four soils. Proteobacteria, Acidobacteria, Bacteroidetes, Actinobacteria, and Chloroflexi were the dominant bacteria in the soil with a sum of relative abundance of more than 75% (Figure 6). Compared with CK, lime application reduced the relative abundance of Acidobacteria and Patescibacteria and increased the relative abundance of Bacteroides and Gemmatimonadetes in the four soils. Liming also reduced the relative abundance of Chloroflexi in soil (a) (c) (d). The relative abundance of Proteobacteria in soils (b) and (d) decreased with increasing lime dosage, while it showed the opposite result in soil (c). The relative abundance of Firmicutes in soil (d) decreased with increasing lime application, while the relative abundance of Firmicutes in other soils firstly decreased and then increased.
Figure 6.
Composition of four soil bacterial communities under different lime dosage treatments. The letters (a–d) represent soil types.
3.3.3. Effect of Soil Chemistry on Bacterial Communities
The top 15 bacterial species in relative abundance in four soils were selected as response variables; the effect of soil chemical properties on bacterial community structure was analyzed by redundancy analysis (RDA). The first and second axes explained 42.7% and 20.2% of the variation in bacterial community composition, respectively, where soil pH, exchangeable acid content, organic matter, and nitrate nitrogen significantly affected the community composition of soil bacteria (Figure 7).
Figure 7.
Redundancy analysis (RDA) of the relationship between soil chemical properties and relative abundance of bacterial phylum.
The correlation analysis showed (Figure 8) that all bacteria were significantly correlated (p < 0.05) with soil pH, except for Cyanobacteria, Firmicutes, and Proteobacteria. Exchangeable acid was significantly (p < 0.001) and positively correlated with Acidobacteria, Actinobacteria, Chloroflexi, and WPS-2, and significantly (p < 0.05) and negatively correlated with Bacteroidetes, Firmicutes, Gemmatimonadetes, Verrucomicrobia, and Cyanobacteria. NO3−-N was significantly (p < 0.001) and positively correlated with Proteobacteria, Bacteroidetes, Gemmatimonadetes, and Nitrospirae, and negatively (p < 0.001) correlated with Acidobacteria, Chloroflexi, and WPS-2. In addition, SOM was significantly (p < 0.001) and positively correlated with Acidobacteria, Chloroflexi, and WPS-2, and had a significant negative correlation with Proteobacteria, Bacteroidetes, Firmicutes, Gemmatimonadetes, and Nitrospirae.
Figure 8.
Correlation analysis between soil chemical properties and relative abundance of dominant bacterial phylum. * represents significance p < 0.05, ** represents significance p < 0.01, *** represents significance p < 0.001.
3.3.4. Co-Occurrence Network Analysis
In order to understand the changing patterns of interspecific interactions of various bacterial taxa in soils at different lime dosages, co-occurrence network analysis was performed with the abundance data of major bacterial genera in four soils (Figure 9). The complex layout among bacterial genera under different treatments was described by calculating the topological features of the co-occurrence network (Table 3). The results showed that the lime application increased the number of soil bacterial network nodes and the average path length, and decreased the average clustering coefficient. On the other hand, the number of edges and average degree increased at the early stage, and then decreased with the increase of lime addition.
Figure 9.
Co-occurrence network of bacterial genera in citrus orchard soil under different lime dosage treatments. Nodes of different colors in the network represent bacteria of different genera, the node size is proportional to the number of connections. Only nodes that are significantly (p < 0.05) correlated with each other are connected, and the thickness of the edges represents the strength of correlation, with red edges representing positive correlation between bacteria and green edges representing negative correlation between bacteria.
Table 3.
Topological characteristic values of the bacterial community co-occurrence network.
4. Discussion
4.1. Effects of Liming on Acidified Soil
The results showed that the soil acidity improvement effect was better with the increase of lime dosage. Liming at the initial stage (<20 d) could significantly (p < 0.05) increase the pH and reduce the content of exchangeable acid. However, as the incubation time went on (>40 d), the pH of all treated soils decreased significantly (p < 0.05), which could be explained by the production of new protons during the incubation process. It has been pointed out that soil pH was reduced by protons produced by the dissociation of organic acids, which was induced by the decomposition of organic matter [28]. The nitrification process of ammonium nitrogen in soils also produced protons [29]. The application of lime improved the living environment for soil microorganisms, increased microbial activity, and promoted organic matter degradation and N cycling [30,31], which led to soil re-acidification. In this study, liming increased the nitrate nitrogen content of all soils and reduced the organic matter content of some soils. Meng [32] found that the re-acidification existed in the cultivated soils with or without lime application, but the average annual decrease in soil pH was significantly higher in the lime treatment than it was in the control, indicating that lime application accelerated the re-acidification of the soil, which was consistent with the findings of this study. In addition, with longer incubation time, most low lime dosages could not raise soil pH anymore, but their effect on reducing soil exchange acid was still significant. In the high lime treatment, reacidification was not that obvious based on the changes in exchangeable acid values but pH suggested it was occurring, which might be due to exchangeable acid taking longer to show any marked changes due to reacidification.
4.2. Effects of Liming on Soil Nutrients
The effectiveness and morphology of phosphorus in acidic soils were influenced by a variety of factors, including pH, adsorption, and precipitation of P by active Fe and Al [33]. The decrease of pH increased the soil anion-exchange capacity (AEC) and the concentration of Fe and Al in the soil solution, resulting in more adsorption and precipitation of phosphate [34]. However, for extremely acidic soil, low soil pH would increase the solubility of phosphorus compounds and the availability of phosphorus in soil [35]. Liming might affect the morphology and effectiveness of phosphorus in soil by directly increasing soil pH and indirectly changing soil chemistry. In this study, the responses of different soil Olsen-P contents to lime application varied. For soil (b) and (d), the small increase in pH might re-promote the precipitation of phosphorus compounds. When the soil pH was further increased, the conversion of reactive Fe and Al to hydroxide precipitates led to the decrease of P adsorption capacity of the soil, resulting in an increase in phosphorus effectiveness. For soils with high content of exchangeable acids (especially exchangeable Al3+), a new hydroxy aluminum polymer with strong P absorption activity would be produced with the increase of pH, which will increase the adsorption capacity of soil to P [36]. This may be the response mechanism of soil (c) Olsen-P to lime application. After neutralization reaction between lime and acid ions in the mineral crystal layer, water-soluble K and exchangeable K in the soil were then easily adsorbed by the vacated spots, result in the reduction of AK content [37]. In this study, liming slightly reduced the content of AK in some soils. It was found that nitrification increases with increasing lime addition. Liming could improve the soil environment and enhance the activity of microorganisms related to nitrification, thus increasing the nitrate nitrogen content [38,39]. This is consistent with the results of this study. However, soil NH4+ content did not decrease significantly with the lime application, which might be due to NH4+ was supplied by the decomposition of organic matter. Although the responses of various nutrients to liming were different, the soil IFI index increased with the increase of lime dosage, indicating that the addition of lime improved the soil integrated fertility.
4.3. Changes of Soil Bacterial Community
Soil microorganisms are the main driving factors for soil nutrient cycling and transformation. Soil microbial diversity and community composition are important indicators for soil quality assessment [40]. It was found that application of lime could improve soil chemical properties and significantly increase the diversity and richness of soil bacteria [31], and enhance microbial biomass and respiration [41]. In this study, the Shannon_2 and Chao1 indexes of soil generally increased first and then decreased with the increase of lime application, indicating that the addition of a small amount of lime could improve the diversity and species abundance of soil bacteria, while the excessive amount of lime induced high soil pH inhibited the growth and activity of microorganisms, and reduced the soil microbial biomass and diversity. Li [42] found that the deterioration of soil physical environment and the change of soil nutrients caused by five years of continuous lime application inhibited the growth and activity of soil microorganisms. According to the NMDS analysis results, the higher the amount of lime applied, the greater the distance between the treatment group and the control group, indicating that the higher the amount of lime used, the greater the change of soil bacterial community.
The results of redundancy analysis showed that pH, exchangeable acid, NH4+, and SOM had strong effects on bacterial community structure. Soil pH is a key factor driving the changes in bacterial community composition and diversity, as most dominant bacteria are closely related to soil pH [18]. The change of pH will directly affect the activity and abundance of bacteria [43]. pH will also indirectly affect the community structure by affecting the availability of soil nutrients and ion toxicity [44]. Different microorganisms have different responses to pH, and Da Silva [45] found that liming mainly increased the number of acid intolerant and high pH tolerant bacteria, thereby affecting the total activity and biodiversity of bacteria. Firmicutes can produce spores and resist a variety of extreme environments, while Gemmatimonadetes have a low tolerance to pH changes [46]. In this study, we also found that lime application reduced the relative abundance of Firmicutes and increased the relative abundance of Gemmatimonadetes, indicating that moderate amounts of lime were beneficial to soil health, because many pathogenic bacteria belong to Firmicutes [47]. The relative abundance of Gemmatimonadetes increased less for soil (c) with higher exchangeable acid content. Moreover, high lime dosage (L7.2) re-elevated the relative abundance of Firmicutes in some soils, which might be explained by the growth of other bacteria inhibited by the higher pH. Chen [48] found that the soil bacterial α-diversity index was significantly negatively correlated with the exchangeable acid concentration in the soil, and exchangeable acids (especially exchangeable Al) were negatively correlated with the abundance of most bacteria in the soil, indicating that exchangeable Al was toxic to soil bacterial communities, while some acidophiles were positively correlated with exchangeable Al [49]. We also found that the relative abundance of Acidobacteria was significantly (p < 0.001) and positively correlated with the content of exchangeable acid. Liming reduced the content of exchangeable acid in soils, thus reducing the relative abundance of Acidobacteria. However, compared with other soils, soil (c) was the most acidic with lower pH and higher exchangeable acid, so the relative abundance of Acidobacteria still remained at a high level even under high lime dosage treatment. Organic matter and N cycling also have important effects on microbial community composition [18,50,51]. Soil microorganisms are divided into two categories: eutrophic microorganisms (such as Bacteroidetes) and oligotrophic microorganisms (such as Chloroflexi) [52]. We found that lime application increased the relative abundance of Bacteroidetes and decreased the relative abundance of Chloroflexi. This was consistent with the conclusion of Wang [53], which might be because liming increased the content of microbial available nutrients in soil. Since the relative abundance of Bacteroidetes was positively related to carbon mineralization rate, there would be a promotion of soil C cycle induced by the change of bacterial community [52]. The relative abundance of Proteobacteria in different soils had different responses to lime application. Guo [41] found that lime reduced the relative abundance of Proteobacteria, which might be due to that the addition of lime induced the growth of other microorganisms. The increase of pH also inhibited the growth of acidophilic bacteria such as Flavobacterium in Proteobacteria [54]. However, Wang [53] reached the opposite conclusion.
The results of network analysis showed that lime application increased the number of network nodes, indicating that the number of significantly (p < 0.05) interrelated species in the soil bacterial community increased. Higher average clustering coefficients and shorter average path lengths of microbial networks indicate a closer relationship between microorganisms, more complex interactions between species, and more dramatic changes in perturbations to ecosystems [55,56]. Liming reduced the average clustering coefficient of the bacterial network and increased the average path length, indicating that lime improved the buffering capacity of the bacterial community against external disturbance and enhanced the stability of the community. The edge number and average degree indicate the connectivity between microorganisms [57]. Excessive lime addition (>4.8 g/kg) reduced the edge number and average degree of the network, indicating that the interactions between microbial species were inhibited. Therefore, it is necessary to select the appropriate dosage for lime to improve acid soil.
5. Conclusions
This paper studied the changes in soil chemical properties and bacterial communities in citrus orchards under different lime application rates through an incubation experiment. The results showed that the soil pH increased significantly at the initial stage of lime application, and the contents of soil exchangeable acid decreased. As time went by, the soils of different treatments were re-acidified, treatments of low lime dosage (≤1.2 g/kg) had no obvious effect on the increase of soil pH, but still had a significant effect on the reduction of exchangeable acid. Although different nutrients responded differently to liming, the addition of lime increased the soil integrated fertility index and improved the soil nutrient status. Liming mainly affected the bacterial community by reducing the content of soil active acid and exchangeable acid. The addition of an appropriate amount of lime (≤4.8 g/kg) improved the diversity and species abundance of soil bacteria and enhanced the buffering capacity of bacterial community against external disturbance. Excessive liming (>4.8 g/kg) inhibited microbial growth and activity, reduced soil microbial biomass and diversity, and inhibited microbial interspecies interactions. In conclusion, the proper amount (2.4~4.8 g/kg) of lime addition can not only reduce soil acidity, but also improve soil fertility and bacterial ecological environment. In practice, the actual amount of lime applied can be calculated based on the local soil bulk density and the depth of the soil planned to be improved, combined with the lime dosage recommended in this paper. It should be noted that this study was conducted at constant temperature and humidity using milled soils and materials for the incubation, which may have exaggerated the improvement effect in the field. Therefore, long-term field experiments are still needed to observe the improvement effect of lime on acidified citrus orchard soil.
Author Contributions
Conceptualization and methodology, Z.D.; experiment, Z.D., Y.C. and B.R.; software, Z.D.; data curation, Z.D. and Q.Y.; writing—original draft preparation, Z.D.; writing—review and editing, M.Z.; visualization, Z.D.; supervision, M.Z.; project administration, M.Z. All authors have read and agreed to the published version of the manuscript.
Funding
This research was funded by a grant from the National Natural Science Foundation of China (No. 41977001).
Data Availability Statement
Zhejiang University.
Acknowledgments
Thanks to Yu Tian and Fangyi Kong from School of Environmental Resources, Zhejiang University for their advice on data analysis and article writing, and Jingjing Liu for checking the writing of this paper.
Conflicts of Interest
The authors declare no conflict of interest.
References
- Wen, M.X.; Lu, L.M.; Wang, P.; Wu, S.H.; Pu, S.X.; Huang, Z.D. Status of soil nutrients in citrus orchards of Zhejiang Province. J. Zhejiang Agric. Sci. 2019, 60, 208–211. [Google Scholar]
- Li, X.B.; Lin, W.J.; Li, X.J.; Li, F.; Zhuang, M.L.; Zhu, D.H.; Guo, J.X.; Chen, L.S.; Li, T. Research on soil acidification characteristics of Guanxi pomelo orchards. Non-Wood For. Res. 2020, 38, 169–176. [Google Scholar]
- Alekseeva, T.; Alekseev, A.; Xu, R.K.; Zhao, A.Z.; Kalinin, P. Effect of soil acidification induced by a tea plantation on chemical and mineralogical properties of Alfisols in eastern China. Environ. Geochem. Health 2011, 33, 137–148. [Google Scholar] [CrossRef] [PubMed]
- Yang, T.Y.; Cai, L.Y.; Qi, Y.P.; Yang, L.T.; Lai, N.W.; Chen, L.S. Increasing nutrient solution pH alleviated aluminum-induced inhibition of growth and impairment of photosynthetic electron transport chain in citrus sinensis seedlings. Biomed Res. Int. 2019, 2019, 9058715. [Google Scholar] [CrossRef]
- Anjum, S.A.; Ashraf, U.; Tanveer, M.; Khan, I.; Hussain, S.; Zohaib, A.; Abbas, F.; Saleem, M.F.; Wang, L.C. Drought tolerance in three maize cultivars is related to differential osmolyte accumulation, antioxidant defense system, and oxidative damage. Front. Plant Sci. 2017, 8. [Google Scholar] [CrossRef]
- Zhang, S.W.; Chen, X.H.; Ji, Z.J.; Yan, X.J.; Kong, K.P.; Cai, Y.Y.; Zhu, Q.C.; Muneer, M.A.; Zhang, F.S.; Wu, L.Q. Reducing aluminum is the key nutrient management strategy for ameliorating soil acidification and improving root growth in an acidic citrus orchard. Land Degrad. Dev. 2022. [Google Scholar] [CrossRef]
- Kazuo, S.; Akira, T. Acidity neutralization mechanism in a forested watershed in Central Japan. Water Air Soil Pollut. 1996, 88, 313–329. [Google Scholar]
- Haynes, R.J.; Naidu, R. Influence of lime, fertilizer and manure applications on soil organic matter content and soil physical conditions: A review. Nutr. Cycl. Agroecosyst. 1998, 51, 123–137. [Google Scholar] [CrossRef]
- Saarsalmi, A.; Tamminen, P.; Kukkola, M.; Levula, Y. Effects of liming on chemical properties of soil, needle nutrients and growth of Scots pine transplants. For. Ecol. Manag. 2011, 262, 278–285. [Google Scholar] [CrossRef]
- Morton, J.D. A review of research on the effect of lime on New Zealand soils and pastures. N. Z. J. Agric. Res. 2020, 63, 189–201. [Google Scholar] [CrossRef]
- Bolan, N.S.; Adriano, D.C.; Curtin, D. Soil acidification and liming interactions with nutrient and heavy metal transformation and bioavailability. Adv. Agron. Acad. Press 2003, 78, 215–272. [Google Scholar]
- Hu, M.; Xiang, Y.S.; Lu, J.W. Effect of lime dosage on pH value and available nutrient content of acid soil. Soil Fertil. Sci. China 2017, 4, 72–77. [Google Scholar]
- de Souza, R.F.; Faquin, V.; Torres, P.; Baliza, D.P. Liming and organic fertilizer: Influence on phosphorus adsorption in soils. Rev. Bras. De Cienc. Do Solo 2006, 30, 975–983. [Google Scholar]
- Huber, C.; Baier, R.; Goettlein, A.; Weis, W. Changes in soil, seepage water and needle chemistry between 1984 and 2004 after liming an N-saturated Norway spruce stand at the Hoglwald, Germany. For. Ecol. Manag. 2006, 233, 11–20. [Google Scholar] [CrossRef]
- Prietzel, J.; Rehfuess, K.E.; Stetter, U.; Pretzsch, H. Changes of soil chemistry, stand nutrition, and stand growth at two Scots pine (Pinus sylvestris L.) sites in Central Europe during 40 years after fertilization, liming, and lupine introduction. Eur. J. For. Res. 2008, 127, 43–61. [Google Scholar] [CrossRef]
- Preston-Mafham, J.; Boddy, L.; Randerson, P.F. Analysis of microbial community functional diversity using sole-carbon-source utilisation profiles—A critique. Fems Microbiol. Ecol. 2002, 42, 1–14. [Google Scholar]
- Huang, Y.; Sheng, H.; Zhou, P.; Zhang, Y.Z. Remediation of Cd-contaminated acidic paddy fields with four-year consecutive liming. Ecotoxicol. Environ. Saf. 2020, 188, 109903. [Google Scholar] [CrossRef]
- Li, S.; Ji, X.; Chao, C.; Liu, Z.; Zhu, J.; Peng, H. Effects of increasing lime application rates on microbial diversity and community structure in paddy soils. Appl. Soil Ecol. 2021, 161, 103837. [Google Scholar] [CrossRef]
- Stenberg, M.; Stenberg, B.; Rydberg, T. Effects of reduced tillage and liming on microbial activity and soil properties in a weakly-structured soil. Appl. Soil Ecol. 2000, 14, 135–145. [Google Scholar] [CrossRef]
- Xue, D.; Huang, X.; Yao, H.; Huang, C. Effect of lime application on microbial community in acidic tea orchard soils in comparison with those in wasteland and forest soils. J. Environ. Sci. 2010, 22, 1253–1260. [Google Scholar] [CrossRef]
- Pawlett, M.; Hopkins, D.W.; Moffett, B.F.; Harris, J.A. The effect of earthworms and liming on soil microbial communities. Biol. Fertil. Soils. 2009, 45, 361–369. [Google Scholar] [CrossRef]
- Pansu, M.; Gautheyrou, J. Handbook of Soil Analysis: Mineralogical, Organic and Inorganic Methods; Springer Science & Business Media: Berlin/Heidelberg, Germany, 2007; Available online: https://link.springer.com/book/10.1007/978-3-540-31211-6 (accessed on 9 December 2022).
- Lu, R.K. Methods of Soil Agricultural Chemical Analysis; China Agricultural Science and Technology Press: Beijing, China, 2000; pp. 10–12. [Google Scholar]
- Olsen, S.R. Estimation of Available Phosphorus in Soils by Extraction with Sodium Bicarbonate; Misc. Pap.; The Institute for Agricultural Research: Zaria, Nigeria, 1954. [Google Scholar]
- Gong, X.; Liu, C.; Li, J.; Luo, Y.; Yang, Q.H.; Zhang, L.L.; Yang, P.; Feng, B.L. Responses of rhizosphere soil properties, enzyme activities and microbial diversity to intercropping patterns on the Loess Plateau of China. Soil Tillage Res. 2019, 195, 104355. [Google Scholar] [CrossRef]
- Lu, J.W.; Chen, F.; Wang, F.H.; Liu, D.B.; Wan, Y.F.; Yu, C.B.; Hu, F.L.; Wang, Y.H. Study of classification of the soil nutrient status of citrus orchard in Hubei Province. J. Plant Nutr. Fertil. 2002, 4, 390–394. [Google Scholar]
- Xu, J.M. Indices and Assessment of Soil Quality; SciPress: Beijing, China, 2010; pp. 69–71. [Google Scholar]
- Vanbreemen, N.; Driscoll, C.T.; Mulder, J. Acidic deposition and internal proton sources in acidification of soils and waters. Nature 1984, 307, 599–604. [Google Scholar]
- Dong, Y.; Yang, J.L.; Zhao, X.R.; Yang, S.H.; Zhang, G.L. Contribution of different proton sources to the acidification of red soil with maize cropping in subtropical China. Geoderma 2021, 392, 114995. [Google Scholar] [CrossRef]
- Neale, S.P.; Shah, Z.; Adams, W.A. Changes in microbial biomass and nitrogen turnover in acidic organic soils following liming. Soil Biol. Biochem. 1997, 29, 1463–1474. [Google Scholar] [CrossRef]
- Shi, L.; Guo, Z.H.; Peng, C.; Xiao, X.Y.; Feng, W.L.; Huang, B.; Ran, H.Z. Immobilization of cadmium and improvement of bacterial community in contaminated soil following a continuous amendment with lime mixed with fertilizers: A four-season field experiment. Ecotoxicol. Environ. Saf. 2019, 171, 425–434. [Google Scholar] [CrossRef]
- Meng, C.F.; Fu, Q.L.; Shui, J.G.; Wu, Y.W. Effect of liming on acidity and exchangeable calcium and magensium of red soil in central Zhejiang. J. Plant Nutr. Fertil. 1999, 2, 34–41. [Google Scholar]
- Zhang, D.; Gao, Y.; Jie, H.; Zhang, W.J.; Niu, Y.R.; Wang, D.C. Effect of biochar amendment on agricultural soil phosphorus availability: A review. J. Henan Agric. Univ. 2021, 55, 199–205, 220. [Google Scholar]
- Bolan, N.S.; Naidu, R.; Syers, J.K.; Tillman, R.W. Surface charge and solute interactions in soils. Adv. Agron. 1999, 67, 87–140. [Google Scholar]
- Soon, Y.K.; Miller, M.H. Changes in rhizosphere due to NH4+ and NO3− fertilization and phosphorus uptake by corn seedlings (ZEA MAYS-L). Soil Sci. Soc. Am. J. 1977, 41, 77–80. [Google Scholar] [CrossRef]
- Wang, G.H.; Zhu, Z.X. The effect of pH on phosphate sorption in soils and its possible mechanism. Acta Pedol. Sin. 1991, 1, 1–6. [Google Scholar]
- Cai, D.; Xiao, W.F.; Li, G.H. Advance on study of liming on acid soils. Chin. Agric. Sci. Bull. 2010, 26, 206–213. [Google Scholar]
- Slangen, J.; Kerkhoff, P. Nitrification inhibitors in agriculture and horticulture—A literature-review. Fertil. Res. 1984, 5, 1–76. [Google Scholar] [CrossRef]
- Dorland, E.; van den Berg, L.; van de Berg, A.J.; Vermeer, M.L.; Roelofs, J.; Bobbink, R. The effects of sod cutting and additional liming on potential net nitrification in heathland soils. Plant Soil 2004, 265, 267–277. [Google Scholar] [CrossRef]
- Bending, G.D.; Turner, M.K.; Rayns, F.; Marx, M.C.; Wood, M. Microbial and biochemical soil quality indicators and their potential for differentiating areas under contrasting agricultural management regimes. Soil Biol. Biochem. 2004, 36, 1785–1792. [Google Scholar] [CrossRef]
- Guo, A.; Ding, L.; Tang, Z.; Zhao, Z.Q.; Duan, G.L. Microbial response to CaCO3 application in an acid soil in southern China. J. Environ. Sci. 2019, 79, 321–329. [Google Scholar] [CrossRef]
- Li, Y.Z.; Sheng, H.; Yin, Z.R.; Xiao, H.C.; Xue, Y.; Zhou, P. Response of microbial community in purple mud of double-cropped rice fields to 5-year continuous application of organic amendment and liming. Chin. J. Soil Sci. 2022, 53, 482–491. [Google Scholar]
- Zhang, X.; Liu, W.; Zhang, G.; Jiang, L.; Han, X.G. Mechanisms of soil acidification reducing bacterial diversity. Soil Biol. Biochem. 2015, 81, 275–281. [Google Scholar] [CrossRef]
- Zhalnina, K.; Dias, R.; de Quadros, P.D.; Davis, R.A.; Camargo, F.; Clark, I.M.; McGrath, S.P.; Hirsch, P.R.; Triplett, E.W. Soil pH determines microbial diversity and composition in the park grass experiment. Microb. Ecol. 2015, 69, 395–406. [Google Scholar] [CrossRef] [PubMed]
- Da Silva, P.; Nahas, E. Bacterial diversity in soil in response to different plants, phosphate fertilizers and liming. Braz. J. Microbiol. 2002, 33, 304–310. [Google Scholar] [CrossRef]
- Song, Z.; Wang, L.; Liu, X.; Liang, F. Diversities of Firmicutes in four hot springs in Yunnan and Tibet. Biotechnology 2015, 25, 32–82. [Google Scholar]
- Wang, X.; Fang, L.; Beiyuan, J.; Cui, Y.X.; Peng, Q.; Zhu, S.L.; Wang, M.; Zhang, X.C. Improvement of alfalfa resistance against Cd stress through rhizobia and arbuscular mycorrhiza fungi co-inoculation in Cd-contaminated soil. Environ. Pollut. 2021, 277, 116758. [Google Scholar] [CrossRef]
- Chen, H.; Ren, H.Y.; Liu, J.J.; Tian, Y.; Lu, S.G. Soil acidification induced decline disease of Myrica rubra: Aluminum toxicity and bacterial community response analyses. Environ. Sci. Pollut. Res. 2022, 29, 45435–45448. [Google Scholar] [CrossRef]
- Wakao, N.Y.; Yasuda, T.; Jolima, Y.; Yamanaka, S.; Hiraishi, A. Enhanced growth of acidocella facilis and related acidophilic bacteria at high concentrations of Aluminum. Microbes Environ. 2002, 17, 98–104. [Google Scholar] [CrossRef]
- Liang, B.W.; Ma, C.Q.; Fan, L.M.; Wang, Y.Z.; Yuan, Y.B. Soil amendment alters soil physicochemical properties and bacterial community structure of a replanted apple orchard. Microbiol. Res. 2018, 216, 1–11. [Google Scholar] [CrossRef]
- Chen, D.; Yuan, L.; Liu, Y.; Ji, J.; Hou, H. Long-term application of manures plus chemical fertilizers sustained high rice yield and improved soil chemical and bacterial properties. Eur. J. Agron. 2017, 90, 34–42. [Google Scholar] [CrossRef]
- Fierer, N.; Bradford, M.A.; Jackson, R.B. Toward an ecological classification of soil bacteria. Ecology 2007, 88, 1354–1364. [Google Scholar] [CrossRef]
- Wang, X.; Lu, X.; Li, Z.; Cheng, Q.; Zhou, Y.; Lei, M. Liming alters microbial community composition and its co-occurrence patterns in Cd- and Pb-contaminated agricultural soil. Appl. Soil Ecol. 2021, 166, 104064. [Google Scholar] [CrossRef]
- Zaichikova, M.V.; Berestovskaya, Y.Y.; Akimov, V.N.; Kizilova, A.K.; Vasilieva, L.V. Xanthobacter xylophilus sp nov.; a member of the xylotrophic mycobacterial community of low-mineral oligotrophic waters. Microbiology 2010, 79, 83–88. [Google Scholar] [CrossRef]
- Zhang, B.; Zhang, J.; Liu, Y.; Shi, P.; Wei, G. Co-occurrence patterns of soybean rhizosphere microbiome at a continental scale. Soil Biol. Biochem. 2018, 118, 178–186. [Google Scholar] [CrossRef]
- Zhou, J.; Deng, Y.; Luo, F.; He, Z.; Tu, Q.; Zhi, X. Functional molecular ecological networks. mBio 2010, 1, e00169-10. [Google Scholar] [CrossRef]
- Wang, X.; Liao, Q.; Wang, P.F.; Yuan, Q.S.; Hu, B.; Xing, X.L.; Xu, H.S. Effects of Reservoir Water Depth on Different Plankton Communities and Keystone Species of Network Interaction. Environ. Sci. 2022, 1–15, 2263–2277. [Google Scholar]
Disclaimer/Publisher’s Note: The statements, opinions and data contained in all publications are solely those of the individual author(s) and contributor(s) and not of MDPI and/or the editor(s). MDPI and/or the editor(s) disclaim responsibility for any injury to people or property resulting from any ideas, methods, instructions or products referred to in the content. |
© 2023 by the authors. Licensee MDPI, Basel, Switzerland. This article is an open access article distributed under the terms and conditions of the Creative Commons Attribution (CC BY) license (https://creativecommons.org/licenses/by/4.0/).








