Abstract
Soil acidity is a crop production problem of increasing concern in acid red soil. The potential of biochar as a soil amendment/for soil acid management in agricultural fields is a recently recognized yet underutilized technology. Related evidence is currently limited to short-term indoor experiments with one-time BC applications and no crop cultivation, yet the degree to which soil acidity may be impacted by the biochar aging process on long-time scale remains unclear. To evaluate the effects of successive seasonal applications of rice straw-derived biochar (BC) on acidity and fertility of soil, a five-year outdoor column trial was conducted using wheat-millet rotated acidic upland soils from the south of China. BC was applied to the top 0–15 cm of soil at the rates of 0 (BC0), 2.25 (BCL), and 22.5 (BCM) Mg ha−1 with an identical dose of NPK fertilizers at the beginning of each crop season. Our results showed that the wheat-millet biomass yield gradually decreased over five rotation cycles in BC0 without BC application. In contrast, after five rotations, BCM led to an increase in the total wheat/millet grain yield by 138%, and the straw yield increased by 253% compared to the control. The cumulative above-ground nutrient uptake of P, K, Ca, Na, and Mg in BCM also increased by 139%, 171%, 129%, 182%, and 71%, respectively, compared to that in the control. This positive effect was attributed to the increase in soil pH (3.29 units), cation exchange capacity (5.66 cmol kg−1), soil available P (241%), K (513%), Ca (245%), Mg (265%), exchange base (3.36 cmol kg−1), base saturation percentage (65.7%), and decrease in the exchangeable acidity, especially exchangeable Al3+ content (<0.1 cmol kg−1). Our results demonstrated that rice straw-derived BC application to soil at 22.5 t ha−1 was found to be highly consistent in decreasing soil acidity and reducing soluble and exchangeable Al3+, indicating its higher ameliorating capacity in the south of China in the long run.
1. Introduction
Inspired by the soil-forming process and fertility characteristics of black soil ‘Terra Preta’ in the Amazon Basin [1], researchers have proposed the development of biochar technology as one of the potential measures to address climate change, food security, and ecological environmental problems [2,3,4]. Biochar (BC, also known as black carbon) is a generic term used for solid products made from forest litter, crop straw, plant residue, domestic waste, livestock manure, and other biomass subjected to incomplete combustion and pyrolysis under limited oxygen or anaerobic conditions. BC owes its physical and chemical properties to different pyrolysis conditions such as temperature, duration, and raw materials. BC has a more stable aromatic carbon structure, larger specific surface area, and greater number of alkaline groups, than its raw material [5]. BC application can increase the stable carbon pool in the soil to play a role in carbon sequestration and reduce carbon loss from CO2 emissions [6]. Furthermore, BC application can maintain and improve soil physical structure and hydrothermal conditions, as well as nutrient supply, thereby enhancing soil fertility [7,8,9].
Red soil is an important soil type in the tropical and subtropical agricultural regions of South China, covering approximately 413,000 km2, which is 32% of the total arable land in China [10]. Red soil generally has lower fertility, faster decomposition of organic matter, high aluminum content, poor nutrient retention, and weak acid-base buffering capacity due to the climate, parent material, and soil-forming conditions [11]. An increase in atmospheric acid deposition and extensive chemical nitrogen fertilizer application further intensifies red soil acidification through significant increases in H+ and Al3+ concentration. This leads to problems, such as nutrient and salt leaching; Al, Cd, and other metal toxicities; the destruction of the physical structure; and reduced water retention capacity [12].
In general, the application of alkaline modifiers such as quick lime alleviates acidity rapidly, but its long-term usage on a large scale is not feasible. Every year, the estimated concentration of hydrogen ions induced by acid deposition and nitrogen fertilizers application in agriculture-intensive areas of China is 30–50 kmol/ha, which will require 1.5–2.5 t/ha of CaCO3 to neutralize the acidity [13]. The application of alkaline modifiers is unaffordable for farmers; therefore, an imbalance in soil nutrients and the deterioration of physical properties are inevitable [14]. Organic materials such as straw reduce soil acidity, but the tenacity of the improvement is limited due to its low alkalinity and the nitrification of ammonium nitrogen produced by mineralization to generate H+ [15].
As a big agricultural country in the world, China produces 0.6−0.7 billion tons of straw each year, accounting for 30% of the world’s annual production; currently, the utilization rate of these straw resources is low, and more than 50% are directly burned in fields, not only wasting resources but also causing serious local and regional environmental impacts due to the release of pollutants, including particulate matter. As such, the conversion of cheap, abundant crop straws to biochar with subsequent application to soil may have significant environmental benefits for China. In recent years, the application of straw BC has been found more effective in eliminating red soil acidity than normal straw. Compared to normal straw, straw BC has more oxygen-containing functional groups (such as carboxyl and phenolic hydroxyl) and alkaline substances (such as carbonate) that neutralize soil acidity (active H+) [16]. However, evidence is currently limited to short-term indoor experiments with one-time BC application and no crop cultivation. The short-term addition of BC can result in a transient effect of acidity due to changes in BC itself (i.e., the release of soluble nutrients and labile materials from BC which may have a limiting effect), suggesting that the initial results for the soil acidity improvement by biochar are of limited temporal extent. However, the impact of aging has been hypothesized as a critical factor for the interaction of biochar with the plant and soil systems [17]. All the biochar went from an alkaline to an acidic material as a consequence of the weathering [18]. Weathering results in the acidification of the biochar through surface oxidation reactions, forming carboxylic acids, which suggests that biochar might not be an effective agent for long-term soil liming. However, the duration of the liming potential of biochar still requires further investigation.
Acid soils have low pH values (<5.5 or 6) and are usually associated with severe aluminum (Al) toxicity in plants. However, very few studies have focused on the impact of biochar on soil Al contents. Our study reports changes in red soil acidity, Al contents, nutrient availability, and crop growth during straw BC and amino nitrogen fertilizer application for 10 wheat/millet planting seasons over five years. We hypothesized that the contents of soil pH, Al, and soil fertility would be greatly influenced by long-term BC addition. Related results support the popularization and application of straw carbonization technology and provide ideas and methods for more efficient utilization of straw in subtropical acid red soil areas.
2. Materials and Methods
2.1. Soils and BC
The tested soil, derived from tertiary red sandstone, was obtained from Yingtan Red Soil Ecological Experiment Station (28°15′ N, 116°55′ E), located in hilly region of Southeast China. Its climate belongs to tropical and subtropical mason climates, with an annual rainfall of 1785 mm, an annual mean air temperature of 17.8 °C, an annual accumulative temperature (>10 °C) of 5528 °C, and 262 days free of frost. Double-rice is main cropping system in the paddy field and peanuts for upland in the local farms.
Samples were collected from the top surface layer (0–15 cm), air-dried, and sieved through a 2 mm screen. BC was produced from rice straw through pyrolysis with a heating rate of 5 °C min−1 and final temperature of 500 °C for 8 h. The physicochemical characteristics of the soil samples and properties of BC are summarized in Table 1.
Table 1.
Properties of the soil and biochar tested.
2.2. Experimental Design
The column experiment was conducted for five years between October 2010, the wheat growing season, and continued till September 2015, the end of the millet growing season, in a netted cultivation enclosure with ambient environmental conditions at the Chinese Academy of Sciences, (32° 03′ N, 118° 47′ E), located in Nanjing city, Jiangsu province. BC treatments administered per crop season were: 0 Mg ha−1 BC (control; BC0), 2.25 Mg ha−1 BC (BCL), and 22.5 Mg ha−1 BC (BCM). For each treatment, three replicates were used, totaling nine pots with a surface area of 0.049 m2 for each pot. The yield of the crop straw was approximately 7.5 Mg ha−1 per crop season, and the conversion rate of straw to BC was 30%. Therefore, 2.25 and 22.5 Mg ha−1 BC application rates were equivalent to one and ten times the amount of seasonal production of rice straw, respectively. BC was passed through a 2-mm sieve and applied into the top 0–15 cm of the soil of each BC-treated pot for each crop season.
The same amount of NPK fertilizers was applied to all the columns, containing urea, calcium superphosphate, and potassium chloride separately. Urea was applied at a rate of 300 kg N ha−1, of which 30% was applied as basal fertilizer before transplanting, 40% at the tillering stage, and the remaining 30% at the panicle stage. Calcium superphosphate and potassium chloride were also applied as basal fertilizers at rates of 60 kg P2O5 ha−1 and 60 kg K2O ha−1, respectively, to all the pots in each crop season.
At maturation (May for wheat, and September for millet), plant samples were harvested at the soil surface. After threshing, the grains were dried at 70 °C for 48 h and weighed. For each pot, five soil cores (1-cm diameter, 15-cm depth) were collected and mixed to obtain homogeneous soil samples for analysis. The soil in each pot was poured, sieved to separate the roots, and repacked at the beginning of each crop season while the roots were buried at the bottom of the pots. Pots were kept outside in a netted enclosure with manual irrigation to maintain soil water content at 60–70%. For related plant growth status in pot experiments, please see Figure 1.
Figure 1.
Plants growth status in pot experiments.
2.3. Physicochemical Analysis of Soil, Crop Plants, and BC
Unless specified otherwise, soil and BC properties were measured as described previously by Lu (2000) [19]. Soil pH was determined using a pH meter (water:soil = 2.5:1). The cation exchange capacity (CEC) was determined using a modified NH4+-acetate compulsory displacement method. Total organic carbon (TOC) and total N concentration were measured using a Leco CN-2000 analyzer (Leco Corp., Chicago, IL, USA). The available phosphorus (P), potassium (K), calcium (Ca), sodium (Na), and magnesium (Mg) concentrations (Mehlich III extraction) in soil were analyzed as described by Major et al. (2010) [20]. The BC ash content was determined by weighing the BC after heating it in a muffle furnace at 200 °C and 500 °C for 1 h and 4 h, respectively [21]. After the ash cooled to room temperature, it was dissolved in 25 mL of 1 M HCl solution and subjected to Inductively Coupled Plasma Optical Emission Spectroscopy (ICP-OES) to estimate P, K, Ca, Na, and Mg concentrations. The alkalinity of the BC sample was determined using the back titration method. Specific surface area (SSA) and average pore size of BC were determined using the single-point Brunauer-Emmett-Teller N2 method with a Quantasorb surface area analyzer (Quantachrome corp., Syosset, NY, USA).
The above-ground straw and grain were oven-dried at 70 °C for 24 h, ground, and digested using the Kjeldahl procedure. In the same digestion solution, P was measured using the molybdenum blue method. To measure K, Na, Ca, Mg, and Al concentrations in the plants, grain and straw were digested in perchloric acid and nitric acid (1:4) mixture followed by dissolution in 5.0 mL of 1 M HCl solution; the concentrations were then determined by ICP-OES.
Soil acidity index is divided into soil active acidity (indicating the strength of soil acidity, expressed as pH) and potential acidity (indicating the magnitude of soil acidity, including exchangeable acid (EA) and hydrolytic acid (HA)) [22]. EA was determined by using 1 M KCI as the extracting solution and titrating it with 0.01 M NaOH, where phenolphthalein was used as an indicator. Soil exchangeable H+ (EH) was determined using 1 M KCl and NaF as the extracting solution and titrating it with 0.01 M NaOH with phenolphthalein as the indicator. Soil exchangeable Al is the difference between EA and EH. Soil HA was determined using 1 M CH3COONa as the extracting solution and titrating it with 0.02 M NaOH, and phenolphthalein as the indicator. The soil exchangeable base (EB) was determined using ICP-OES and a NH4+-acetate extracting solution. The exchangeable cation exchange capacity (ECEC) is the sum of EA and EB. Base saturation percentage (BSP) is the ratio of EB to ECEC.
2.4. Statistical Analyses
Differences between the control and BC-amended soils were analyzed by two-way analysis of variance (ANOVA). The significance of difference between the treatments was assessed by least significant difference (LSD) tests at p < 0.05. All statistical analyses were conducted with the SPSS 22 package (SPSS Inc., Chicago, IL, USA). Figures were prepared using Origin (Version 9.0, Northampton, MA, USA).
3. Results
3.1. Changes in Soil Acidity
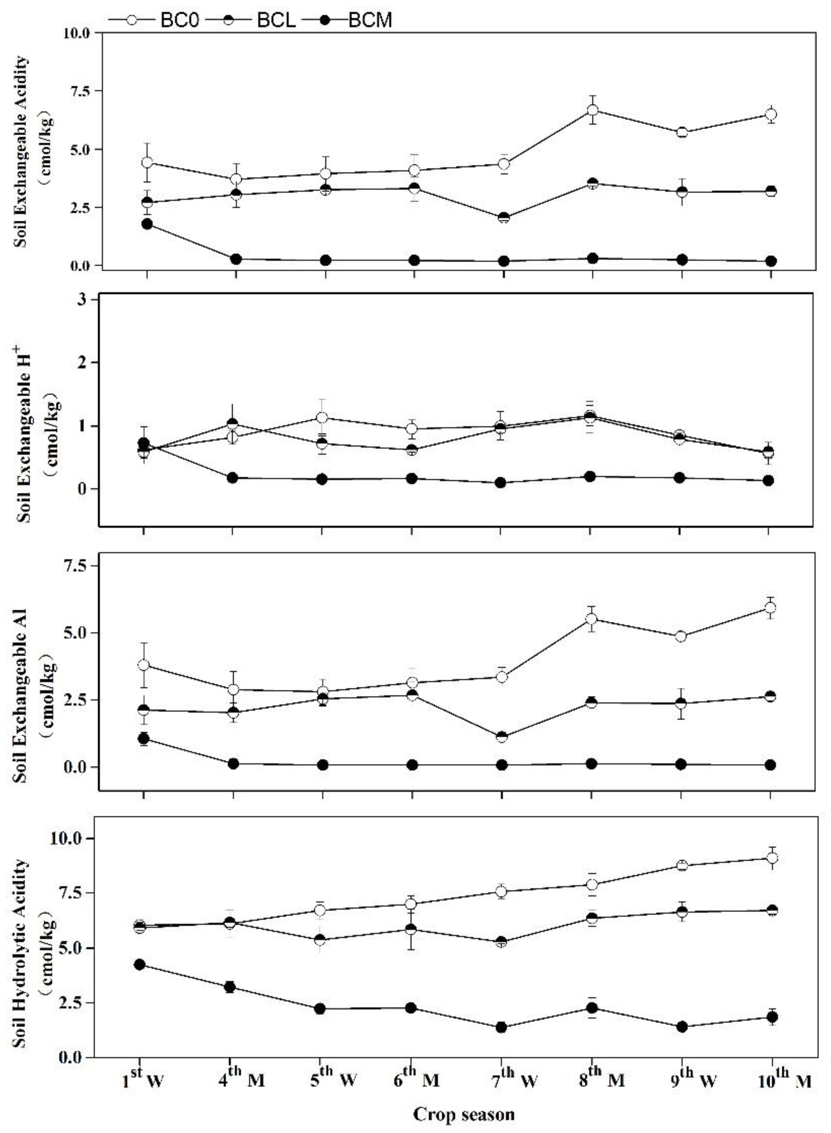
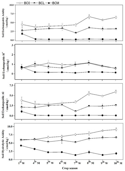
The pH of BC0 soil samples decreased from 4.76 to 3.75 over five years (Figure 2). The pH of BCL-treated samples did not show significant changes. In contrast, the pH of the BCM-treated samples increased to 7.05 at the end of the millet growing season in 2015. The soil EA and HA of the BC0 samples increased during five years from 6.50 to 9.10 cmol kg−1; here, H+ (EH, 0.57–1.17 cmol kg−1) concentration was lower than that of Al3+ (2.80–5.93 cmol kg−1; Figure 3). The EA and HA of the BC-treated soils (especially BCM) were generally lower than those of the control without BC amendment. EA and HA showed a decreasing trend and were reduced to 0.20 and 1.85 cmol kg−1, respectively. For EA, soil exchangeable Al3+ decreased to 0.07 cmol kg−1 by the 10th crop season.
Figure 2.
Changes in pH value in the red soil affected by successive applications of straw biochar during 10 consecutive wheat/millet growing seasons from 2010–2015. Error bars are standard deviations.
Figure 3.
The change of soil exchangeable acidity (EA), exchangeable H+(EH), exchangeable Al3+, and hydrolytic acid (HA) in the red soil affected by successive applications of straw biochar during 10 consecutive wheat/millet growing seasons from 2010–2015. Soil exchangeable acidity (EA) and hydrolytic acid (HA) were not measured in the 2011 millet and 2011–2012 wheat seasons, respectively. Error bars are standard deviations.
3.2. Changes in Soil Available Nutrients and Soil Exchange Capacity
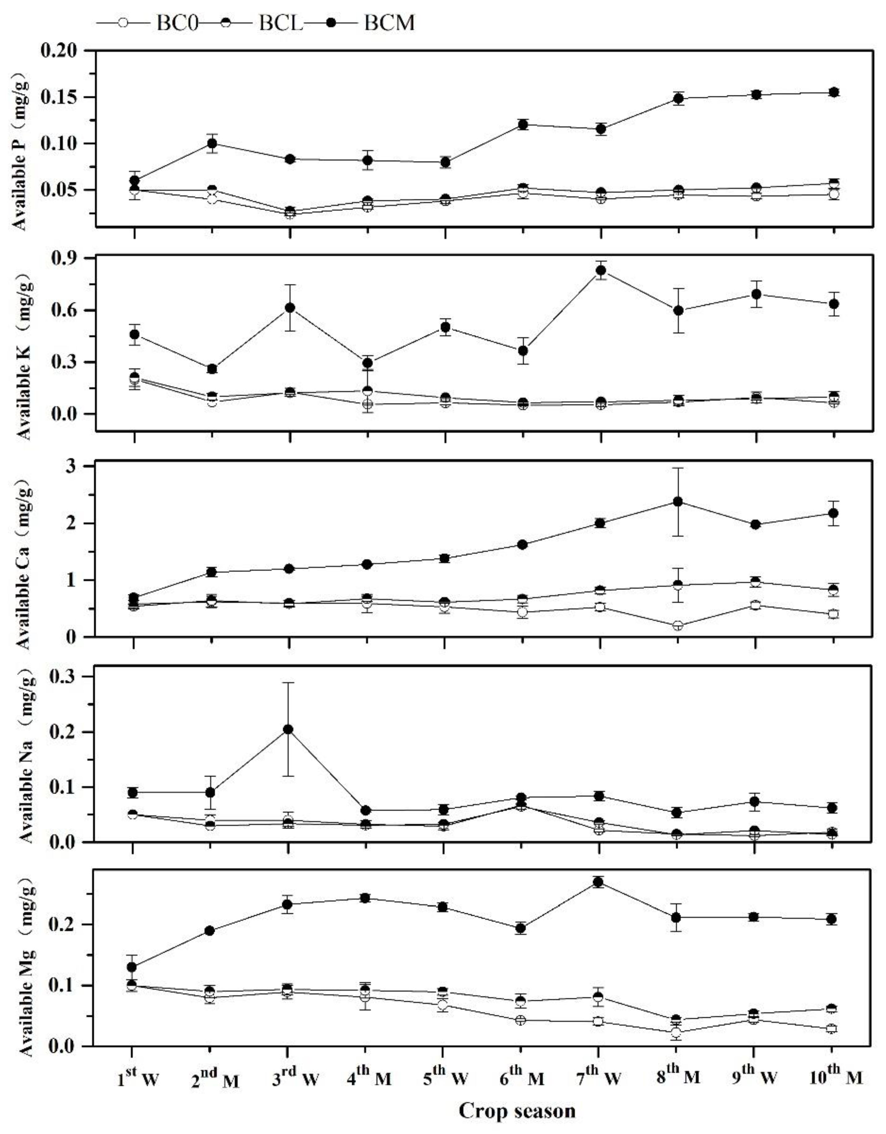
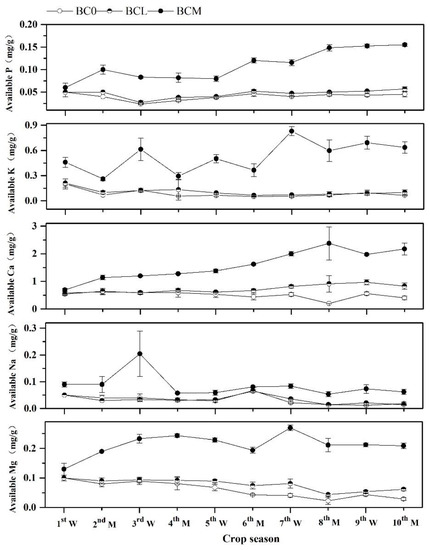
Compared to those in the BC0 treatment, the available P, K, and Na contents in the BCL treatment did not significantly change, except for available Ca and Mg (Figure 4). The available P, K, Ca, Mg, and Na contents in BCM treatment increased by 241%, 513%, 245%, 188%, and 265% compared to those in the BC0 treatment under the 10th crop season.
Figure 4.
The change of soil available P, K, Ca, Na and Mg content in red soil affected by successive applications of straw biochar during 10 consecutive wheat/millet growing seasons from 2010–2015. Error bars are standard deviations.
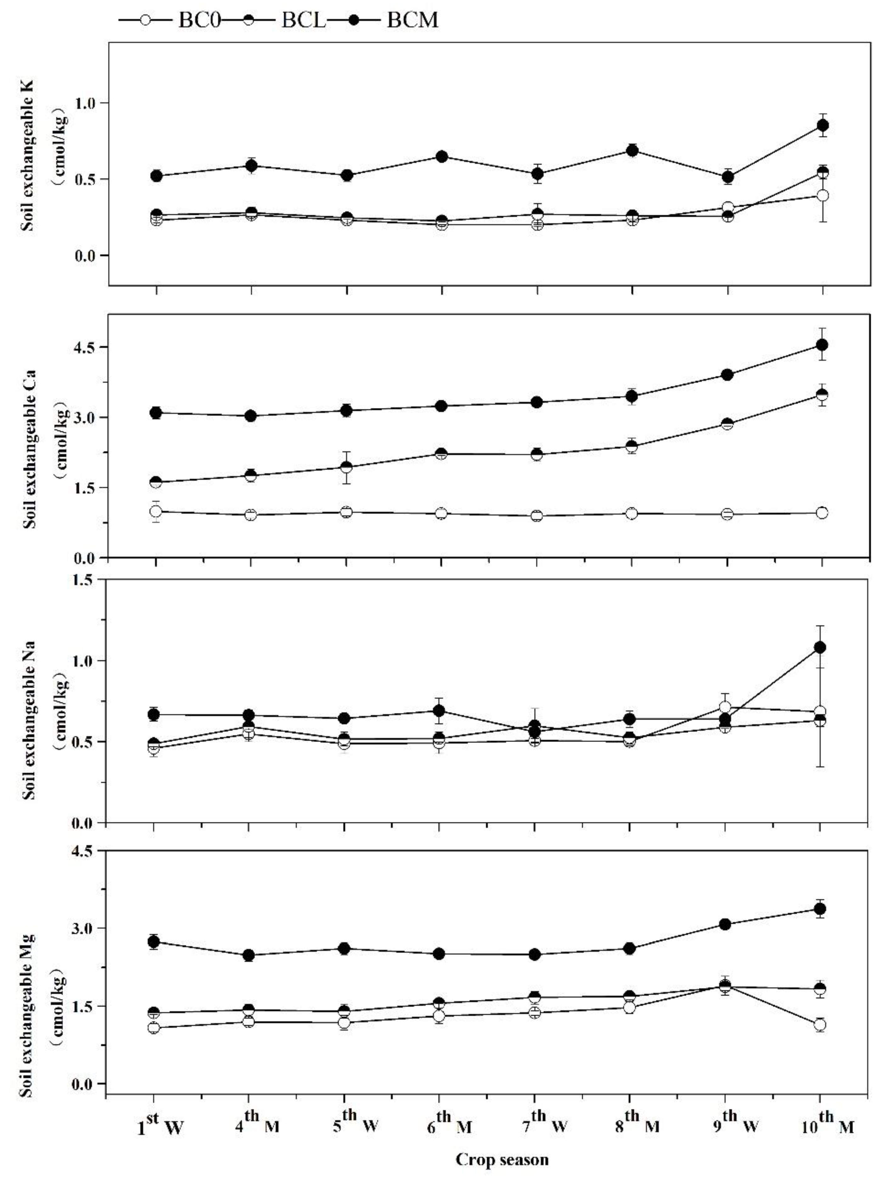
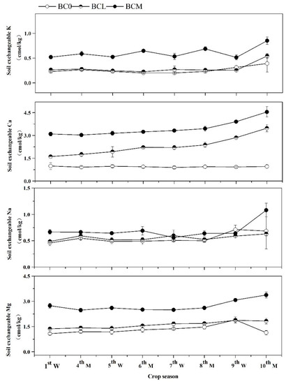
The soil exchangeable K+, Ca2+, and Mg2+ increased with an increase in the BC application rates by 65.7–218%, 212–376%, and 62.0–194%, respectively (Figure 5). Interestingly, no significant differences were observed in the soil exchangeable Na+ content among the BC treatments. After five-rotation crop seasons, the soil EB increased significantly by 3.37 and 6.75 cmol kg−1, while soil EA decreased significantly to approximately 3.30 and 6.30 cmol kg−1 in the BCL- and BCM-treated samples, respectively. While no significant difference was observed for soil ECEC, the BSP increased 2–3 times under BC treatments compared to that in the control (BC0; Table 2).
Figure 5.
The change of soil exchangeable K+, Ca2+, Na+, and Mg2+ in red soil affected by successive application of straw biochar during 10 consecutive wheat/millet growing seasons from 2010–2015. Soil exchangeable nutrients were not measured in the 2011 millet and 2011–2012 wheat seasons, respectively. Error bars are standard deviations.
Table 2.
The change of soil exchangeable base, exchangeable cation exchange capacity, and base saturation percentage in red soil affected by successive application of straw biochar after ten consecutive wheat/millet growing seasons from 2010–2015.
3.3. Crop Growth and Nutrient Uptake Responses
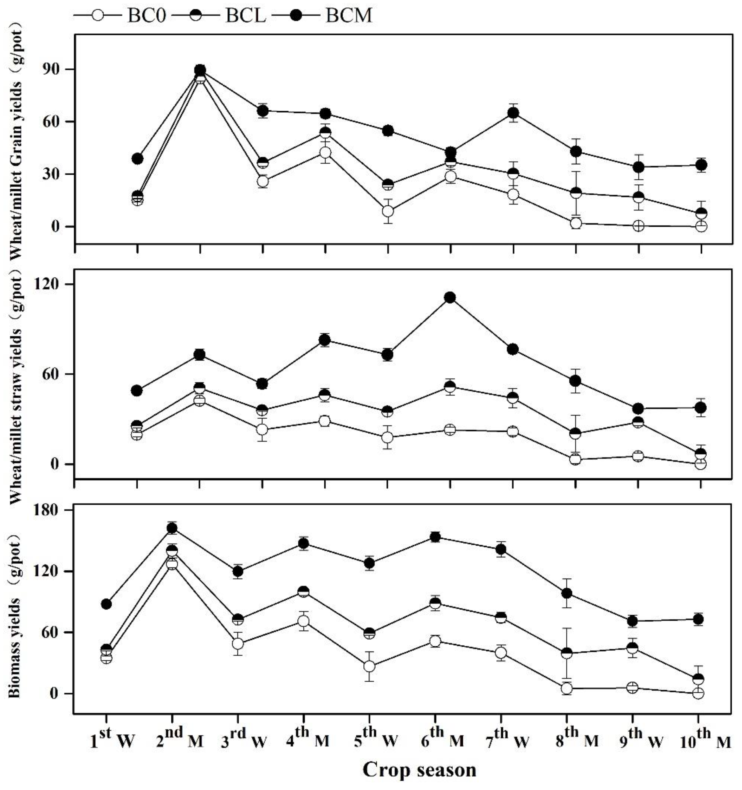
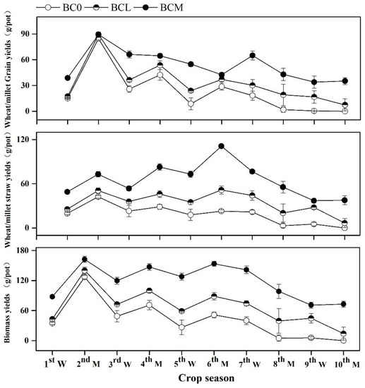
In the BC0 soils, the growth of the wheat/millet progressively decreased with increasing crop cycles, displaying a sharp declining trend, especially in the last three crop seasons. In the 5th crop cycle, the millet plants in the control (BC0) soils did not grow (Figure 6). The yields of grain and straw for the BC-treated soils showed a slightly decreasing trend for the five crop cycles; however, they were significantly higher than those for the BC0 soils in the corresponding growing seasons. Compared to that in the BC0, the BC treatments stimulated crop growth; higher BC application rates resulted in a higher yield of grain and straw. For example, over the first seven crop seasons, the above-ground biomass, grain yields, and straw yields increased by 27.8–383%, 5.56–528%, and 72.5–387%, respectively. Over the ten crop seasons with successive seasonal applications of 22.5 Mg ha−1, cumulative above-ground biomass, grain, and straw (wheat plus millet) increased by 189%, 138%, and 253%, respectively (compared to those in the BC0).
Figure 6.
The yields of grain, straw, and biomass of wheat/millet in red soil affected by successive applications of straw biochar during 10 consecutive wheat/millet growing seasons from 2010–2015. Error bars are standard deviations.
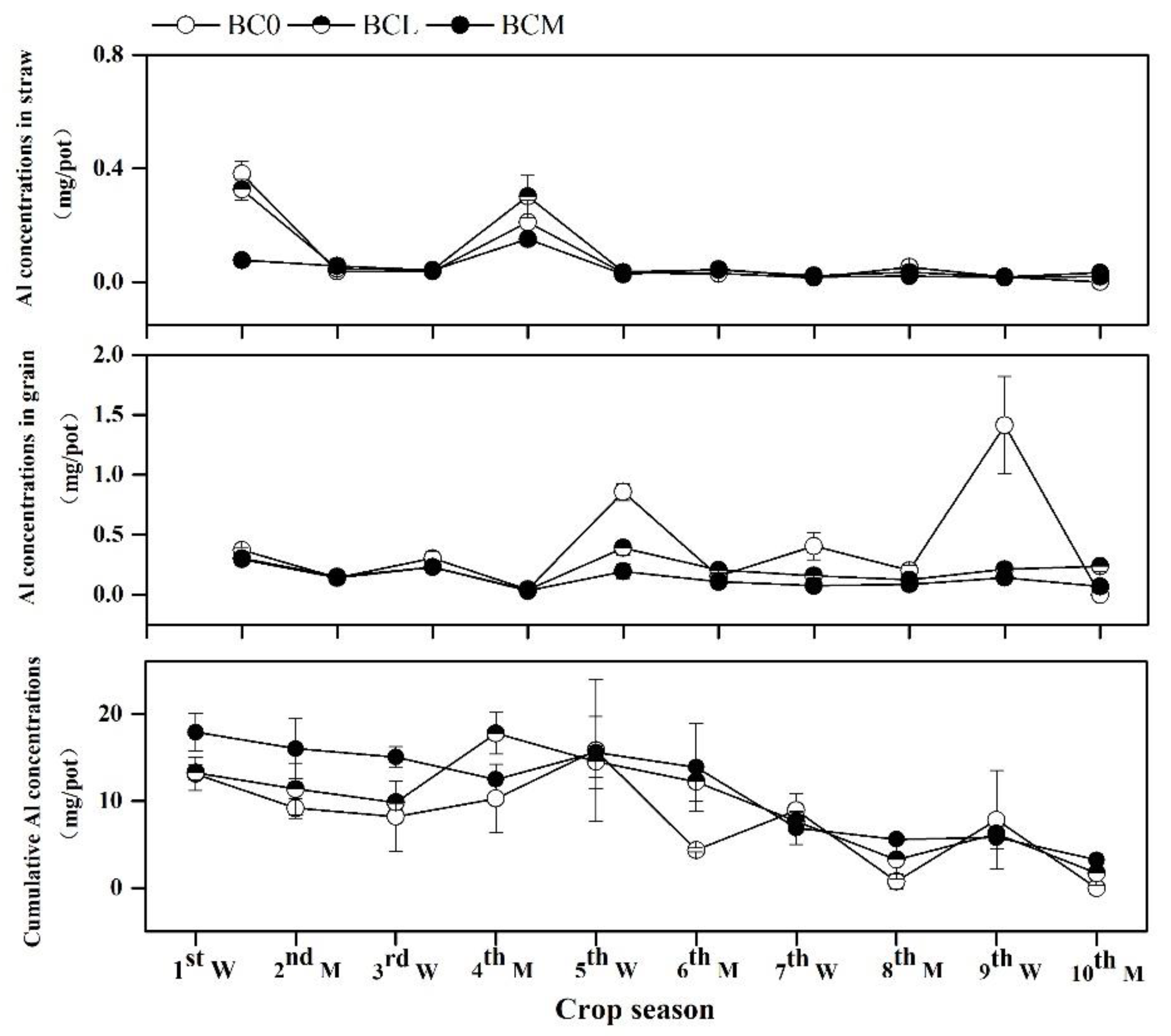
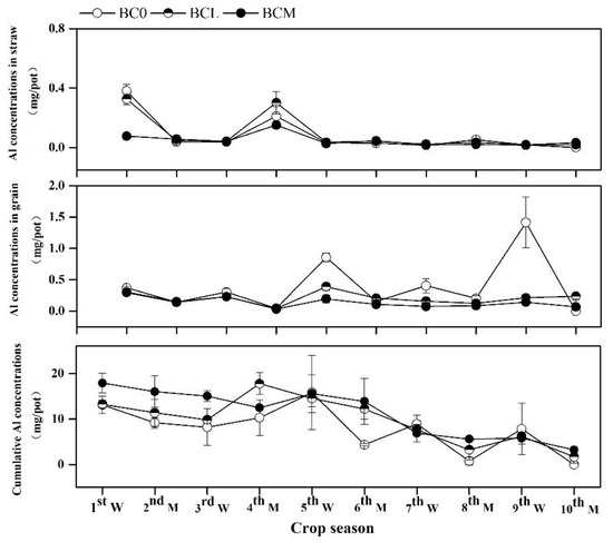
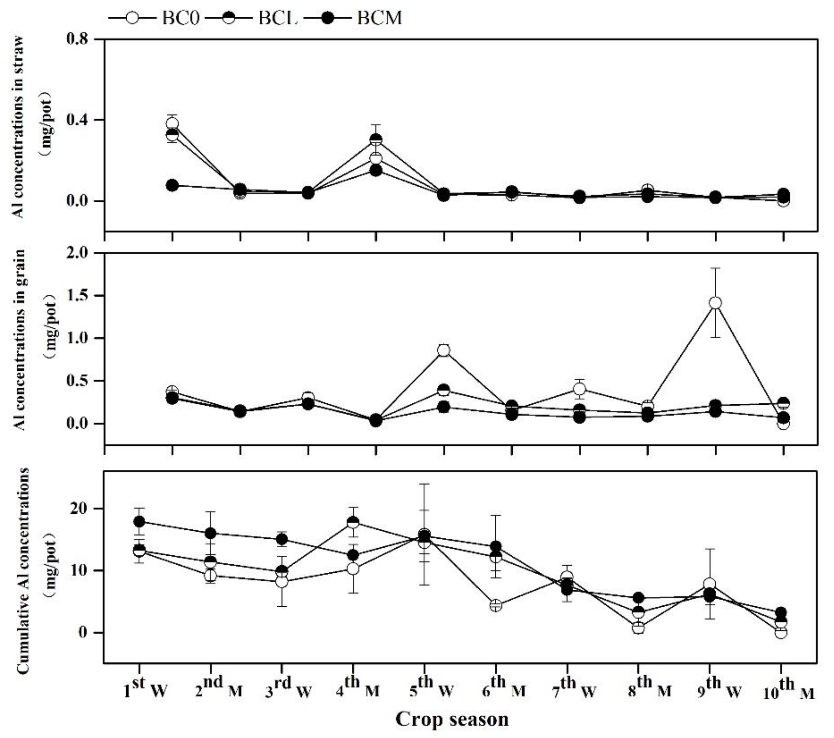
In BC-treated soils, there was an increase in the concentration of P (30.6–39.0%), K (42.1–172%), Ca (27.1–129%), Na (54.5–182%), and Mg (17.5–70.9%) of above-ground plants during the ten crop seasons (Table 3). The accumulation of Al in the above-ground parts varied greatly in the treatment groups (Figure 7). The effect of BC application on Al concentration in crop straw was greater than that in the grain and significantly lower than that in BC0, in the last three wheat growing seasons, while no significant differences were found in the millet seasons.
Table 3.
The cumulative above-ground uptake of P, K, Ca, Na and Mg in red soil affected by successive applications of straw biochar during 10 consecutive wheat/millet growing seasons from 2010–2015.
Figure 7.
The change of concentration of Al in grain and straw and the uptake of Al by plant shoots in the red soil affected by successive application of straw biochar during 10 consecutive wheat/millet growing seasons from 2010–2015. Error bars are standard deviations.
4. Discussion
Long-term application of chemical fertilizers often aggravates red soil acidification in tropical and subtropical regions due to the highly intensive farming practices. The pH of the soil in China has decreased by 0.13–0.80 units in the last 30 years [23]; in the acidic red soil area, the pH decreased by 0.08–0.23 units. The results of our pot trials showed that after 10 crop seasons, the pH of red soil reduced to 3.75 in the fields applied with 300 kg N ha−1 amino-nitrogen per season compared to the control. The EA and HA increased gradually, especially the concentration of exchangeable Al3+, which reached 5.93 cmol kg−1 after five years. This is much higher than the threshold limit of Al toxicity in plants (2 cmol kg−1) [24]. The increase in soil acidity led to a decrease in the wheat/millet crop growth over five years, and millet did not grow in the 2015 crop season. Although the change of soil properties and crop growth in the experimental pot conditions were different from those under in situ field conditions, some practices were conducted to make the pot conditions relatively similar to those in the in situ field. The buffering ability of the pot-soil to exogenous acid was relatively weak and crops were more sensitive to soil acidity than that in the in situ trials [25]. The results of BC0 (control) indicated that the long-term cultivation and fertilizer application aggravated soil acidification and limited crop growth.
In this study, the BC application reduced soil acidity, especially the contents of active H+ and exchangeable Al3+, which became evident with the increase in the amount of applied BC. Related studies reported the linear correlation between the soil pH and total alkalinity of BC, indicating the direct role of BC alkaline substances in correcting soil acidification [16]. The alkalinity of BC prepared from rice straw reached 210 cmol kg−1; therefore, the application of BC in each season directly neutralized the active H+ in the soil, which improved the soil pH. For example, in the BCM-treated soils, the pH increased significantly with the repeated BC application and reached a value of 7 in the 2013–2014 wheat season and remained stable until the end of the experiment. Generally, the change in the soil pH affects the dissolution of Al and the form of Al in the soil solution. When the soil pH < 5, the dissolution of Al gradually increases with the decrease in pH, and Al3+ gradually becomes the main single-core inorganic Al in the soil solution. During the BCM treatment, the soil pH was >5, it increased over time. The EA and HA in the soil decreased significantly, and exchangeable Al3+ decreased to 0.07 cmol kg−1 due to the hydrolysis of exchangeable Al3+ to Al(OH)2+, Al(OH)2+, and other hydroxyl Al, hydroxide, or oxide precipitation under the premise of increasing soil pH. In contrast to the other alkaline modifiers such as lime and grass ash, the surface of straw-derived BC contains abundant oxygen-containing functional groups (carboxyl and phenolic hydroxyl), which can form complexes or chelates with exchangeable Al3+ in the soil solution to reduce the content of exchangeable Al3+ in the soil [26]. Although the available Al3+ content in soil increased in the BC0 soils, wheat and millet showed differences in Al uptake due to the different Al absorption characteristics and tolerance mechanisms of crops. BCL and BCM treatments significantly decreased the available Al3+ in the soil, and the Al absorption of wheat above ground decreased significantly, whereas that of millet above ground did not change significantly. Although the BC application reduced the above-ground Al absorption, the above-ground Al accumulation did not decrease (mainly due to the increase in biomass of carbon application). The uptake of Al by crops shows that BC can alleviate Al stress in red soil and avoid adverse effects on crop growth typically associated with high concentrations of Al.
BC not only alleviates the acidity of soil but also increases nutrient retention and supply capacity to promote crop growth. The available P, K, Ca, and Mg in soil increased significantly in each crop season during BCH treatment, which was consistent with increased uptake of P, K, Ca, and Mg by above-ground crops. Further studies showed that the increase in available nutrients in tested soils is related to the incorporation of elements by BC itself. The ash content of straw BC used in this experiment was 270 g/kg, and the available K, Ca, and Mg were 18.4, 2.63, and 1.41 g/kg, respectively. Therefore, the total input of corresponding nutrients is substantial if calculated according to BC applications in ten seasons. BC improves the availability of soil elements by increasing the soil pH, CEC, and physical structure, especially the activation and release of P. Generally, nutrient storage and sustainable supply are directly related to the soil exchange capacity [27]; in this study, the concentration of soil exchangeable bases such as K+, Ca2+, Na+, and Mg2+ increased to varying degrees with the increase in the rate of BC application. After 10 seasons, the total exchangeable salt base and salt base saturation in BCH treatment were more than three times that of BC0, suggesting the positive effect of BC application on soil nutrient retention.
In the present study, with the increasing crop cycle, especially for the millet season, the wheat/millet biomass yield showed a decreasing trend for three treatments; until the 5th crop season, the millet plant in the BC0-treated pot could not grow, which may relate to the soil acidification and insufficient nutrition except for NPK fertilizers, which we applied for each crop season in the pot micro-environment. Long-term intensive cropping with chemical fertilizer had negative impacts, such as soil acidification and nutrient loss [28]. In this study, the soil pH of BC0 declined obviously after ten crop seasons and may seriously affect crop yields, which requires further study to evaluate the potential negative effects. While successive BC application seems to offer an alternative with potential and diverse benefits, as we see from Figure 6, the crop yield in BC-treated soils was still higher than BC0 for each season.
As an exogenous modifier, straw BC has high carbon content, alkalinity, porosity, adsorption performance, and other unique properties. Long-term and large-scale application changes the properties of red soil. For example, the density of BC is between 0.2–0.7 g/cm3 and repeated application can significantly reduce the soil bulk density to <1 g/cm3, which may destroy the original pore structure of the soil and cause the root layer of crops to become shallow and not support the rooting and growth of crops [29,30,31]. It is unclear if these changes will adversely affect the productivity and stability of the red soil. Lehmann and Rondon (2005) [32] pointed out that crop yields could still be increased when BC was applied at 140 t C/ha. In our pot experiment, the theoretical amount of straw BC in BCH treatment reached 140 t C/ha (total cumulative amount of BC is 225 t/ha, based on 62% carbon content). Although the crop yields were higher in BC-treated soils than in BC0 soils in each crop season, the above-ground biomass, straw, and grain yield showed a decreasing trend. This was particularly evident after the fifth season, which may be related to BC properties, application methods, soil types, and experimental conditions. In our study, BC completely restored the acidity of red soil and maintained a high supply of nutrients, such as P, K, Ca, and Mg. The threshold of BC application rate in the field and its associated mechanisms that may adversely affect crop growth can be further explored. Such studies can support the application of straw carbonization returning technology to restore red soil fertility, carbon sequestration and emission reduction, and the utilization potential of straw resources in the farmland.
5. Conclusions
To conclude, our five-year pot experiment showed that successive planting and fertilizer application could lead to a decreasing trend continuously with time in acidity and fertility of red soil leading to inhibition of crop growth. Our results demonstrated that rice straw-derived BC application to soil at 22.5 t ha−1 was found to be highly consistent in decreasing soil acidity and reducing soluble and exchangeable Al3+, indicating its higher ameliorating capacity in the south of China in the long run. Furthermore, it can also increase the available P, K, Ca, and Mg in the soil, as well as the EB quantity and exchangeability. This will ultimately enhance the red soil nutrient retention and supply capacity, thereby promoting crop growth. Nevertheless, the above-ground biomass of crops in each season decreased over the years in BC-treated soils, indicating that the stability in productivity of red soil did not increase under long-term large-scale BC application. Therefore, as a next step, we will conduct long-term straw BC pot experiments, analyze the soil fertility indices such as nutrient supply, physical properties, microorganisms and enzymes, alkalinity, and toxicity, and elucidate the comprehensive effect of straw BC application on red soil fertility.
Author Contributions
Original draft, L.H. and H.L.; data analysis, L.H. and H.L.; methodology, H.L.; manuscript editing, X.Z.; conceptualization, X.Z.; other authors (including J.Z., M.W., Y.L., Y.W., S.Y., S.W., X.Z. and H.L.): manuscript reviewing and editing. All authors have read and agreed to the published version of the manuscript.
Funding
This work was supported by grants from the Natural Science Foundation of Zhejiang (LY21D010003) and the Key R&D Project of Zhejiang Province (2022C02022).
Institutional Review Board Statement
Ethical review and approval were waived for this study due to not applicable for not involving humans or animals.
Informed Consent Statement
Not applicable.
Data Availability Statement
All data generated or analyzed during this study are included in this published article.
Acknowledgments
The authors would like to acknowledge anonymous reviewers for their valuable suggestions that greatly improved the manuscript.
Conflicts of Interest
The authors declare no conflict of interest.
References
- Lehmann, J.; Joseph, S. Biochar for Environmental Management: An Introduction. In Biochar for Environmental Management: Science and Technology; Lehmann, J., Joseph, S., Eds.; Earthscan: London, UK, 2009; pp. 1–12. [Google Scholar]
- Laird, D.A. The charcoal vision: A win–win–win scenario for simultaneously producing bioenergy, permanently sequestering carbon, while improving soil and water quality. Agron. J. 2008, 100, 178–181. [Google Scholar] [CrossRef]
- Schimmelpfennig, S.; Müller, C.; Grünhage, L.; Koch, C.; Kammann, C. Biochar, hydrochar and uncarbonized feedstock application to permanent grassland—Effects on greenhouse gas emissions and plant growth. Agric. Ecosyst. Environ. 2014, 191, 39–52. [Google Scholar] [CrossRef]
- Sohi, S.P.; Krull, E.; Lopez-Capel, E.; Bol, R. A review of biochar and its use and function in soil. Adv. Agron. 2010, 105, 47–82. [Google Scholar]
- Mia, S.; Dijkstra, F.A.; Singh, B. Long-term aging of biochar: A molecular understanding with agricultural and environmental implications. Adv. Agron. 2017, 141, 1–51. [Google Scholar]
- Lehmann, J. A handful of carbon. Nature 2007, 447, 143–144. [Google Scholar] [CrossRef]
- Du, Z.L.; Zhao, J.K.; Wang, Y.D.; Zhang, Q.-Z. Biochar addition drives soil aggregation and carbon sequestration in aggregate fractions from an intensive agricultural system. J. Soils Sediments 2016, 17, 581–589. [Google Scholar] [CrossRef]
- Hardie, M.; Clothier, B.; Bound, S.; Oliver, G.; Close, D. Does biochar influence soil physical properties and soil water availability? Plant Soil 2014, 376, 347–361. [Google Scholar] [CrossRef]
- Zhao, X.; Wang, J.; Wang, S.; Xing, G. Successive straw biochar application as a strategy to sequester carbon and improve fertility: A pot experiment with two rice/wheat rotations in paddy soil. Plant Soil 2014, 378, 279–294. [Google Scholar] [CrossRef]
- Zhao, X.; Wang, J.W.; Xu, H.J.; Zhou, C.J.; Wang, S.Q.; Xing, G.X. Effects of crop-straw biochar on crop growth and soil fertility over a wheat-millet rotation in soils of China. Soil Use Manag. 2014, 30, 311–319. [Google Scholar] [CrossRef]
- Chintala, R.; McDonald, L.M.; Bryan, W.B. Effect of soil water and nutrients on productivity of Kentucky bluegrass system in acidic soils. J. Plant Nutr. 2012, 35, 288–303. [Google Scholar] [CrossRef]
- Taddes, G. Land degradation: A challenge to Ethiopia. Environ. Manag. 2001, 27, 815–824. [Google Scholar] [CrossRef]
- Richter, D.D. Sources of acidity in some forested Udults. Soil Sci. Soc. Am. J. 1986, 50, 1584–1589. [Google Scholar] [CrossRef]
- Sumner, M.E.; Farina, M.P.W. Phosphorus Interactions with Other Nutrients and Lime in Field Cropping Systems; Advances in soil science; Springer: New York, NY, USA, 1986; pp. 201–236. [Google Scholar]
- Pocknee, S.; Sumner, M.E. Cation and nitrogen contents of organic matter determine its soil liming potential. Soil Sci. Soc. Am. J. 1997, 61, 86–92. [Google Scholar] [CrossRef]
- Wang, N.; Xu, R.K.; Li, J.Y. Amelioration of an acid Ultisol by agricultural by-products. Land Degrad. Dev. 2011, 22, 513–518. [Google Scholar] [CrossRef]
- Devereux, R.C.; Sturrock, C.J.; Mooney, S.J. The effects of biochar on soil physical properties and winter wheat growth. Earth Environ. Sci. Trans. R. Soc. 2012, 103, 13–18. [Google Scholar] [CrossRef]
- Borchard, N.; Schirrmann, M.; Cayuela, M.L.; Kammann, C.; Wrage-Mönnig, N.; Estavillo, J.M.; Fuertes-Mendizábal, T.; Sigua, G.; Spokas, K.; Ippolito, J.A.; et al. Biochar, soil and land-use interactions that reduce nitrate leaching and N2O emissions: A meta-analysis. Sci. Total Environ. 2019, 651, 2354–2364. [Google Scholar] [CrossRef]
- Lu, R.K. Analytical Methods for Soil and Agro-Chemistry; China Agricultural Science and Technology Press: Beijing, China, 2000. (In Chinese) [Google Scholar]
- Major, J.; Rondon, M.; Molina, D.; Riha, S.J.; Lehmann, J. Maize yield and nutrition during 4 years after biochar application to a Colombian savanna oxisol. Plant Soil 2010, 333, 117–128. [Google Scholar] [CrossRef]
- Rajkovich, S.; Enders, A.; Hanley, K.; Hyland, C.; Zimmerman, A.R.; Lehmann, J. Corn growth and nitrogen nutrition after additions of biochars with varying properties to a temperate soil. Biol. Fertil. Soils 2012, 48, 271–284. [Google Scholar] [CrossRef]
- Butterly, C.R.; Amado, T.J.C.; Tang, C. Soil Acidity and Acidification. In Subsoil Constraints for Crop Production; Oliveira, T.S.D., Bell, R.W., Eds.; Springer: Berlin/Heidelberg, Germany, 2022. [Google Scholar]
- Zhang, A.; Cui, L.; Pan, G.; Li, L.; Hussain, Q.; Zhang, X.; Zheng, J.; Crowley, D. Effect of biochar amendment on yield and methane and nitrous oxide emissions from a rice paddy from Tai Lake plain, China. Agric. Ecosyst. Environ. 2010, 139, 469–475. [Google Scholar] [CrossRef]
- Guo, J.H.; Liu, X.J.; Zhang, Y.; Shen, J.L.; Han, W.X.; Zhang, W.F.; Christie, P.; Goulding, K.W.T.; Vitousek, P.M.; Zhang, F.S. Significant acidification in major Chinese croplands. Science 2010, 327, 1008–1010. [Google Scholar] [CrossRef]
- Kawaletz, H.; Mölder, I.; Annighöfer, P.; Terwei, A.; Zerbe, S.; Ammer, C. Pot experiments with woody species—A review. Forestry 2014, 87, 482–491. [Google Scholar] [CrossRef]
- Kochian, L.V.; Hoekenga, O.A.; Piñeros, M.A. How do crop plants tolerate acid soils? Mechanisms of aluminum tolerance and phosphorous efficiency. Annu. Rev. Plant Biol. 2004, 55, 459–493. [Google Scholar] [CrossRef] [PubMed]
- Mau, A.E.; Utami, S.R. Effects of biochar amendment and arbuscular mycorrhizal fungi inoculation on availability of soil phosphorus and growth of maize. J. Degrad. Min. Lands Manag. 2014, 1, 69–74. [Google Scholar]
- Vieira, F.; Bayer, C.; Mielniczuk, J.; Zanatta, J.; Bissani, C.A. Long-term acidification of a Brazilian Acrisol as affected by no till cropping systems and nitrogen fertiliser. Aust. J. Soil Res. 2008, 46, 17–26. [Google Scholar] [CrossRef]
- Novak, J.M.; Lima, I.; Xing, B.; Gaskin, J.W.; Steiner, C.; Das, K.; Ahmedna, M.; Rehrah, D.; Watts, D.W.; Busscher, W.J.; et al. Characterization of designer biochar produced at different temperatures and their effects on a loamy sand. Ann. Environ. Sci. 2009, 3, 195–206. [Google Scholar]
- Steinbeiss, S.; Gleixner, G.; Antonietti, M. Effect of biochar amendment on soil carbon balance and soil microbial activity. Soil Biol. Biochem. 2009, 41, 1301–1310. [Google Scholar] [CrossRef]
- Tryon, E.H. Effect of charcoal on certain physical, chemical, and biological properties of forest soils. Ecol. Monogr. 1948, 18, 81–115. [Google Scholar] [CrossRef]
- Lehmann, J.; Rondon, M. Bio-char soil management on highly-weathered soils in the humid tropics. In Biological Approaches to Sustainable Soil Systems; Uphoff, N., Ed.; CRC Press: Boca Raton, FL, USA, 2005; in press. [Google Scholar]
Disclaimer/Publisher’s Note: The statements, opinions and data contained in all publications are solely those of the individual author(s) and contributor(s) and not of MDPI and/or the editor(s). MDPI and/or the editor(s) disclaim responsibility for any injury to people or property resulting from any ideas, methods, instructions or products referred to in the content. |
© 2023 by the authors. Licensee MDPI, Basel, Switzerland. This article is an open access article distributed under the terms and conditions of the Creative Commons Attribution (CC BY) license (https://creativecommons.org/licenses/by/4.0/).






