Next Article in Journal
Real-Time Measurement of Atmospheric CO2, CH4 and N2O above Rice Fields Based on Laser Heterodyne Radiometers (LHR)
Next Article in Special Issue
Long-Term Successive Seasonal Application of Rice Straw-Derived Biochar Improves the Acidity and Fertility of Red Soil in Southern China
Previous Article in Journal
Soil Microbes from Saline–Alkali Farmland Can Form Carbonate Precipitates
Previous Article in Special Issue
The Relationship between Core Rhizosphere Taxa and Peanut Nodulation Capacity under Different Cover Crop Amendments
 
 
Font Type:
Arial Georgia Verdana
Font Size:
Aa Aa Aa
Line Spacing:
Column Width:
Background:
Article

Contrasting Effects of Nitrogen and Organic Fertilizers on Iron Dynamics in Soil after 38–Year Fertilization Practice

1
National Engineering Research Center for Efficient Utilization of Soil and Fertilizer Resources, Shenyang 110866, China
2
Monitoring & Experimental Station of Corn Nutrition and Fertilization in Northeast Region, Ministry of Agriculture, Shenyang 110866, China
3
College of Land and Environment, Shenyang Agricultural University, Shenyang 110866, China
4
Department of Earth and Environmental Studies, Montclair State University, Montclair, NJ 07043, USA
*
Authors to whom correspondence should be addressed.
Agronomy 2023, 13(2), 371; https://doi.org/10.3390/agronomy13020371
Submission received: 5 December 2022 / Revised: 9 January 2023 / Accepted: 18 January 2023 / Published: 27 January 2023

Abstract

Various environmental factors and anthropogenic practices can affect the Fe biogeochemical cycles in soils. Nitrogen and carbon states are closely associated with Fe dynamics. However, we still have a limited understanding of the complex response of Fe biogeochemical processes to long–term nitrogen– and organic–fertilization regimes. This study investigated the Fe fraction and distribution, as well as the link between Fe and nitrogen/carbon, in bulk soil and in soil aggregates. The results showed that the long–term application of the nitrogen fertilizer increased the contents of water–soluble iron (Ws–Fe) and carbonate–bound iron (Ca–Fe) in the bulk soil and various sizes of aggregates, as well as the iron contents in soybeans. The decreased pH and enhanced Feammox reaction in response to the nitrogen–fertilizer treatments were responsible for the increase in the Ws–Fe and Ca–Fe fractions. By contrast, the long–term application of the organic fertilizer decreased the contents of Ws–Fe and Ca–Fe, while it increased the contents of Ox–Fe and Or–Fe. Moreover, the contents of Ox–Fe and Or–Fe were positively correlated with the organic–carbon contents in the micro–aggregates of 0.053–0.25 mm and <0.053 mm. These results indicated that the long–term use of the organic fertilizer encouraged Fe immobilization in organo–inorganic compounds. However, the application of the nitrogen fertilizer alleviated the Fe retention induced by the organic fertilizer. In conclusion, long–term nitrogen and organic fertilization have contrasting influences on the mineralogy and availability of Fe in soil. This study is useful for understanding the mechanism underlying the interaction between Fe and nitrogen/carbon, as well as Fe’s phytoavailability in response to different fertilization practices in brown soil.

1. Introduction

Iron (Fe) is one of the most abundant elements in soil, and the redox transition between Fe2+ and Fe3+ plays a fundamental role in Fe’s environmental biogeochemistry [1,2]. Furthermore, the redox reactions of Fe are closely associated with the fate of many metal(loid)s elements in the environment [3,4,5,6]. Meanwhile, Fe’s transformation and availability are profoundly influenced by various environmental factors and anthropogenic practices [7,8,9,10].
Nitrogen fertilizer has been widely applied in farmlands as a key management practice for maintaining soil fertility and improving crop yield. Nitrogen is a very active element in soil. Its dynamic changes are closely coupled with Fe redox reactions [2,11]. There are two important processes associated with nitrogen–Fe interactions. One is nitrate–dependent Fe2+ oxidation (NAFO), in which Fe2+ and nitrate act as the electron donor and acceptor, respectively, to finish nitrate denitrification and Fe2+ oxidation via biotic and abiotic pathways [12,13,14]. Another important process is ammonium oxidation coupled with Fe3+ reduction (Feammox reaction). In the reaction, a large number of low–crystallized amorphous iron oxides act as electron acceptors and are reduced to Fe2+, while ammonia is oxidized to nitrite [9,15,16].
Organic fertilizers are commonly used as substitutes for inorganic fertilizers for agricultural crops worldwide because their application not only improves soil’s physical characteristics, but also provides organic matter and increases organic carbon retention in soil [17,18]. In the process of organic–carbon stabilization, iron oxides can serve as efficient central spots, while organic carbon provides the reactive surfaces to form organo–mineral complexes through adsorption and co–precipitation [19,20,21,22]. The key working iron oxides for carbon stabilization are reactive short–range–order (SRO) mineral nanoparticles [23,24]. Ferrihydrite has been reported as a typical SRO mineral, which contributes to most of the Fe minerals in biochar [17].
In addition, the usage of nitrogen and organic fertilizers in agricultural activities can affect soil’s physicochemical and microbiological characteristics. Consequently, this can influence the Fe transformation and distribution in soil–plant systems. For example, it has been reported that long–term nitrogen fertilization can decrease soil pH, and that this low pH facilitated the reduction of Fe3+ to Fe2+ in soil [25,26,27]. The application of nitrogen fertilizer can influence Fe–reducing microbial behavior and stimulate the activity of Geobacter spp. in paddy soils [28]. Iron redox cycling bacteria are present at higher levels and diversity in soils treated with organic fertilizer, but lower in soils treated with inorganic fertilizer [8]. The application of organic fertilizers has a profound effect on soil–aggregate formation and organic carbon fractions [29,30]. Aggregates exert a significant influence on the retention and availability of various elements in soil [31,32]. The contents of metal elements in soil aggregates can increase significantly with decreasing aggregate size [33], and heavy metals tend to be aggregated in soil aggregates <0.05 mm [34].
Although the coupling of nitrogen and carbon with Fe in the biogeochemical cycle has been widely reported, little information is available regarding the morphological changes in Fe in the bulk soil and soil aggregates of brown earth remediated by long–term nitrogen and organic–fertilization practices. Previous investigations concerning the interactions of Fe with nitrogen or Fe with carbon mainly focused on how Fe influences the conversion of nitrogen and carbon. However, relatively few studies compared Fe transformation and availability in response to different forms of nitrogen and organic fertilization. In addition, previous works mostly investigated the relationships of Fe with nitrogen or Fe with carbon in aquatic sediments or paddy fields due to the Fe activity under these conditions. However, few studies address Fe transformation mediated by nitrogen and organic fertilizer in upland rotation systems.
In this study, we report the results from a 38–year field experiment conducted on typical brown soil in northeastern China. The objectives of this research were: (1) to examine the effects of long–term applications of nitrogen fertilizer, organic fertilizer, and their combination on Fe distribution and transformation in bulk soil and soil aggregates; and (2) to elucidate the mechanism underlying the mediation of Fe turnover by nitrogen/carbon in brown soil.

2. Materials and Methods

2.1. Experimental–Site Description

This long–term field–experiment research was carried out on a brown soil named Haplic Luvisol (FAO/UNESCO 1996), in 1979. The experimental site is located at Shenyang Agricultural University (41°48′ N, 123°33′ E) in northeastern China. The climate of the site is mid–temperate, with annual average temperatures between 7.0 and 8.1 °C, and annual precipitation 574–684 mm. The annual average temperature was 8.0 °C, and precipitation was 594 mm, in 2017. The experimental soil consisted of 23% clay, 48% sand, and 29% silt at depths of 0–20 cm [35,36]. The physiochemical properties of the original soil used in 1979 were pH 6.59 in water, organic matter 15.9 g kg−1, total nitrogen 0.8 g kg−1, total phosphorous 0.38 g kg−1, total potassium 21.1 g kg−1, and total Fe: 16.22 g kg−1.

2.2. Experimental Design

The experiment included 15 treatments, which were arranged in randomly designed blocks with three replications. All plots were cultivated in rotations of maize–maize–soybean rotation cultivation and each plant was grown once in a year under field conditions without any irrigation. The overground residues from corn and soybean were not returned to the soil. The underground residues were not removed from the soil after each harvest. Different amounts of nitrogen fertilizers or organic fertilizers were added individually and collectively to soil for this long–term field experiment. The N fertilizer was used in the form of urea (N 46%), P fertilizer was calcium superphosphate (P2O5 12%), and K fertilizer was potassium sulfate (K2O 50%). Mature organic fertilizer was applied in form of pig manure with 83.5 g organic C kg−1, 7.2 g N kg−1, 3.8 g P kg−1, and 8.3 g K kg−1, on average. All these fertilizers were added to soil only once immediately before the sowing in May.

2.3. Selected Treatments

In this study, nine treatments were selected and used: (1) unfertilized control (CK); (2) low nitrogen (N1); (3) high nitrogen (N2); (4) low manure (M1); (5) low manure and low nitrogen (M1N1); (6) low manure and high nitrogen (M1N2); (7) high manure (M2); (8) high manure and low nitrogen (M2N1); (9) high manure and high nitrogen (M2N2). The rates of low– and high–manure fertilizer were 13.5 t ha−1 year−1 and 27.0 t ha−1 year−1 for maize. From 1992, no manure fertilizer was used in soybean planting because the continuous application of manure tends to reduce soybean yields [37]. The rates of low– and high–N fertilizer were 120 and 180 kg ha−1 year−1 for maize, and 30 and 60 kg ha−1 year−1 for soybean. The rates of fertilizers during maize and soybean seasons are shown in Table 1.

2.4. Soil– and Plant–Sample Collection

Soil samples were collected in layers of 0–20 cm using a stainless–steel auger in each plot after soybean harvest on 15 October 2017. Each sample was a composite of 15 random cores collected from a single plot. The fresh soil was mixed thoroughly, air–dried, and sieved through 2–millimeter screens; both visible roots and gravel were removed. In addition, the soil samples for aggregate analysis were also collected, a pit measuring 20 cm × 20 cm was dug and soil was moved to a box in each layer. Big soil block was separated gently, avoiding any destruction or disruption. Simultaneously, the aboveground parts of 15 random soybean plants from each plot were collected and mixed. All soybean seedlings were separated from shoots, after which the shoots and seeds were dried and ground for Fe analysis.

2.5. Soil–Aggregate Separation

The dry–sieve method was used to separate soil aggregates of different sizes. The air–dried soil (200 g) was placed in a series of sieves, in the following sequence: 2 mm, 1 mm, 0.5 mm, 0.25 mm, 0.053 mm. The vibration amplitude of sieves was 1.5 mm for 2 min. Thus, soil aggregates were separated by aggregate size in ranges of 1–2 mm, 0.5–1 mm, 0.25–0.5 mm, 0.053–0.25 mm, and <0.053 mm, respectively [34].

2.6. Chemical Analysis

The soil pH was measured using a pH meter (PHS–3C, Shanghai China) after shaking in a dry soil: water = 1:5 (w/v) aqueous solution. The soil Eh was determined by an in situ REDOX potentiometer (FJA–6, Hangzhou, China) in field. The concentrations of soil organic carbon (SOC) and soil organic N (SON) were quantified using a CN analyzer (Vario EL, Elementar GmbH, Germany). The concentrations of soil nitrate (NO3) and ammonia (NH4+) were extracted with 2 M KCl and determined by a continuous–flow automated analyzer (San++System, Skalar Analytic, Breda, The Netherlands). The soil total Fe and DTPA Fe were analyzed by ICP–OES (Optima 3300 DV, Perkin Elmer Inc., Waltham, MA, USA) after digestion with HCl–HNO3–HClO4 (for total Fe) and extraction with DTPA (for DTPA Fe). The Fe contents in plant samples were measured using the same ICP–OES after digestion with HNO3–HClO4.

2.7. Sequential Extraction of Fe

Iron (Fe) fractions in bulk soil and all sizes of aggregates were extracted using a modified Tessier sequential–extraction method. In brief, 25 mL deionized water (pH 7) was added to 2.5 g soil to extract the water–soluble Fe (Ws–Fe). A total of 25 mL of 1 M MgCl2 solution (pH 7) was added to sample residue from the previous step to extract the exchangeable Fe (Ex–Fe); 25 mL of 1 M sodium–acetate (NaAc) solution (pH 5.2) was used to extract the carbonate–bound Fe (Ca–Fe) fraction; and 25 mL of 0.25 M hydroxylamine hydrochloride solution was used to extract the iron–manganese–oxide–bound Fe (Ox–Fe) fraction. The organic–matter–bound Fe (Or–Fe) fraction was extracted by adding 3.5 mL of 0.02 M HNO3 and 8 mL of 30 % H2O2 to the residue. The mixture was heated at 85 °C for 3 h in a water bath, followed by addition of 2.5 mL of 3.2 M NH4Ac solution after cooling, after which it was finally extracted with 2.5 mL of 3% HNO3 for 30 min [38]. The Fe concentrations in all extracts were determined using an ICP–MS (ICAP RQ, HNHX2017–G154).

2.8. Data Analysis

All values in the study were the means of three independent replicates. The results from the statistical analysis were presented in mean ± SD (n = 3). Deviations from normality and homogeneity of variance of data were tested using the Kolmogorov–Smirnov statistical method (p > 0.01). The SPSS 19.0 was used to perform all statistical analyses. One–way analysis of variance (one–way ANOVA) was employed to test the effect of different fertilization treatments on Fe contents and other soil physiochemical indices. Least–significant difference (LSD) was used in multiple comparisons between means of different treatments at the 5% level.

3. Results

3.1. Soil Physicochemical Properties

The soil’s physicochemical properties showed significant differences between the treatments after the 38–year fertilizations (Table 2). The continuous application of nitrogen fertilizers (N1 and N2 treatments) significantly decreased the pH. The more the nitrogen fertilizer was used, the more the pH value declined. In contrast, the application of organic fertilizers (M1, M1N1, and M1N2 and M2, M2N1, and M2N1 treatments) noticeably increased the soil pH. Thus, the lowest pH was 4.84 after the N2 treatment, and the highest pH was approximately 6.83 after the M1 and M2 treatments (Table 2). The Eh value became slightly high after applying the nitrogen fertilizer, whereas it decreased after using the organic fertilizer. Significantly high soil organic carbon (SOC) and soil organic nitrogen (SON) were observed after the organic–fertilizer treatments compared with the CK and nitrogen–fertilizer treatments. The use of the nitrogen fertilizer had no noticeable effect on the SOC and SON. The long–term application of nitrogen fertilizer (N1 and N2), organic fertilizer (M1 and M2) or their combination (M1N1, M1N2, M2N1, and M2N1) significantly increased the contents of nitrate nitrogen (NO3–N) in the soil. The application of the nitrogen fertilizer significantly increased the contents of ammonium nitrogen (NH4+–N), while the application of the organic fertilizer had no notable influence on the NH4+–N contents in the soil. Furthermore, the organic fertilizer weakened the nitrogen–fertilizer–induced increase in NH4+–N. The excess–organic–fertilizer treatment had a stronger weakening effect than the treatment with less organic fertilizer. The content of DTPA–Fe was significantly increased when the nitrogen fertilizer or the organic fertilizer were solely applied in the soil, and the extent of the increase was more significant when the two fertilizers were used together.

3.2. Iron speciation in Bulk Soil

The exchangeable Fe (Ex–Fe) extracted with the MgCl2 solution was below the detection limit when using the ICP–OES (Optima 3300 DV, Perkin Elmer, USA). Therefore, the Fe fraction in this study included only water–soluble Fe (Ws–Fe), carbonate–bound Fe (Ca–Fe), iron–manganese–oxide–bound Fe (Ox–Fe) and organic–matter–bound Fe (Or–Fe). The contents of Ox–Fe and Or–Fe were much higher than that of Ca–Fe and Ws–Fe. The order of these Fe fractions was Ox–Fe > Or–Fe > Ca–Fe > Ws–Fe (Figure 1).
The Ws–Fe and Ca–Fe contents increased with increasing nitrogen fertilizer use with or without organic–fertilizer application in the soil, while the Ox–Fe and Or–Fe contents slightly declined in response to the nitrogen–fertilizer treatments. It was obvious that the nitrogen fertilizer had a more dramatic positive effect on the Ca–Fe. The use of the organic fertilizer caused a slight decline in the Ws–Fe, and a significant decline in the Ca–Fe in the soil. The Ca–Fe contents in response to the M1 and M2 treatments decreased approximately 10% compared to that under the CK treatment, while the Ca–Fe contents under the M1N1 and M2N2 treatments decreased by approximately 50% compared to that under the N1 and N2 treatments. The use of organic fertilizer can induce slight increases in Ox–Fe and Or–Fe (Figure 1).

3.3. Iron contents in Soil Aggregates

The Fe contents in the macro–aggregates (1–2 mm and 0.5–1 mm) were higher than those in the ranges of 0.25–0.5 mm, 0.053–0.25 mm, and <0.053 mm (Figure 2). In the 1–2–millimeter soil aggregate, the treatments with organic fertilizer had significantly low Fe contents compared to the CK and individual nitrogen–fertilizer treatments. The use of a nitrogen–fertilizer supplement in the soil slightly alleviated the Fe decrease caused by the organic fertilizer (Figure 2). However, in the other soil aggregates, the organic fertilizer had no noticeable effect on the Fe contents, and the nitrogen fertilizer slightly increased the Fe contents in most cases (Figure 2).

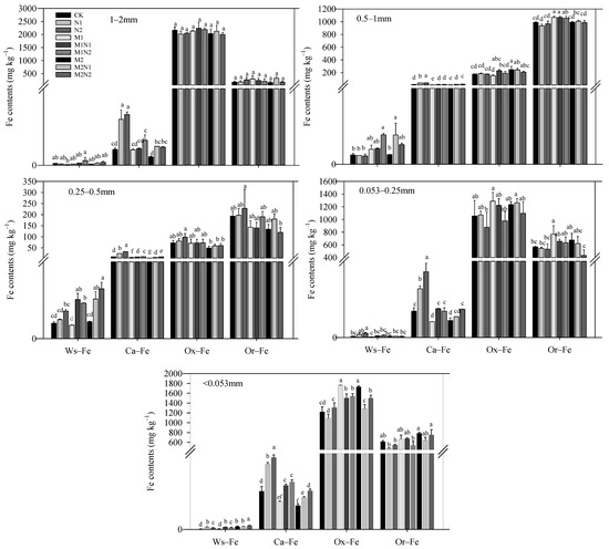
3.4. Iron Speciation in Soil Aggregates

As shown in Figure 3, generally, the Ws–Fe contents in all the sizes of soil aggregate increased with the use of the organic fertilizer and the nitrogen fertilizer in the soil. The Ca–Fe contents in all the sizes of soil aggregate showed a significant increase with the increasing nitrogen–fertilizer addition, and a noticeable decrease with the organic–fertilizer application. Apparently, the nitrogen fertilizer appreciably alleviated the decrease in Ca–Fe induced by the organic fertilizer.
In the 1–2–millimeter aggregate, fertilization had no significant effect on the Ox–Fe (Figure 3). In the 0.5–1–millimeter aggregate, the application of organic fertilizer and of nitrogen fertilizer slightly increased the Ox–Fe (Figure 3). In the 0.25–0.5–millimeter aggregate, the Ox–Fe decreased with the increasing use of organic fertilizer, while the nitrogen fertilizer had no significant influence on this Fe fraction (Figure 3). In the 0.053–0.25–millimeter aggregate, the application of the organic fertilizer significantly the increased Ox–Fe, while the high–nitrogen fertilizer had the opposite effect (Figure 3). In the aggregate < 0.053 mm, the application of the organic fertilizer significantly increased the Ox–Fe and both the low– and the high–nitrogen fertilizer had an adverse effect (Figure 3). In the 1–2–millimeter aggregate, the fertilization practices had no effect on the Or–Fe (Figure 3). In the 0.5–1–millimeter aggregate, the application of the low–organic–content fertilizer slightly increased the Or–Fe, while the nitrogen fertilizers had no significant effect on the Fe fraction (Figure 3). In the 0.25–0.5–millimeter aggregate, the use of the organic fertilizer significantly decreased the Or–Fe, while the nitrogen fertilizer slightly increased the Fe fraction (Figure 3). In the aggregates of 0.053–0.25 mm and <0.053 mm, the application of the organic fertilizer significantly increased the Ox–Fe, but the nitrogen fertilizer had the opposite effect (Figure 3).

3.5. Organic–Carbon Contents in Soil Aggregates

Figure 4 shows that the organic–carbon contents in the soil aggregates increased with the increasing use of the organic fertilizer in soil aggregates of various sizes. The extent of the increase in the organic–carbon contents was most significant in response to the high–organic–fertilizer treatments in the aggregates of <0.053 mm and 0.053–0.25 mm, followed by the 0.25–0.5–millimeter, 0.5–1–millimeter, and 1–2–millimeter aggregates. The use of the nitrogen fertilizer partly diminished the accumulation of organic carbon caused by the organic fertilization in the soil. Particularly in the aggregates of <0.053 mm and 0.053–0.25 mm, the contrasting effect between the nitrogen fertilizer and the organic fertilizer was more distinct (Figure 4).

3.6. Iron Contents in Shoots and Seeds of Soybean

The Fe contents in the soybean shoots were highest in response to the N1 and M2N1 treatments, followed by the N2 and M1N2 treatments. The Fe contents in the shoots were relatively low in response to the CK, M1, M1N1, and M2N2 treatments (Figure 5A). The Fe contents in the soybean seeds significantly increased in response to the nitrogen–fertilizer treatments and the higher the amount of nitrogen fertilizer, the higher the Fe content in the soybean seeds, regardless of the organic–fertilizer application. The organic–fertilizer treatments had no significant influence on the Fe contents in the soybean seeds (Figure 5B).

3.7. Correlations between Indices

There were no significant correlations between the Ws–Fe and the organic carbon in any of the soil aggregates, except for the aggregate of <0.053 mm. The Ca–Fe was negatively correlated with the organic carbon in all the aggregate sizes, and reached a significant level in the aggregates of 0.25–0.5 mm, 0.053–0.25 mm, and <0.053 mm. The Ox–Fe and Or–Fe showed significant positive correlations with the organic carbon in the 0.053–0.25–millimeter and <0.053–millimeter aggregates, but significant negative correlations with the organic carbon in the 0.25–0.5–millimeter aggregates (Figure 6A). There were significantly positive correlations between the Ws–Fe and Fe contents in the soybean shoots and seeds. However, there was a significantly negative correlation between the Ox–Fe and Fe contents in the soybean shoots (Figure 6B).

4. Discussion

4.1. Long–Term Application of Nitrogen Fertilizer Improved Fe Availability in Soil

The application of the nitrogen fertilizer induced increases in water–soluble iron (Ws–Fe) and carbonate–bound iron (Ca–Fe) with or without the application of the organic fertilizer in all the aggregate sizes (Figure 1 and Figure 2), thus improving the Fe’s availability in the soil (DTPA–Fe increase) and the Fe contents in the plants (Figure 5). This may be attributed to two aspects. Firstly, long–term nitrogen–fertilizer supplementation can lead to soil acidification [26,39,40]. A significant amount of H+ production can dissolve ferric–iron compounds (Fe3+) to ferrous ion (Fe2+) in soil solutions. In this study, the Ws–Fe and Ca–Fe were found to increase with decreases in pH. The pH of the nitrogen–fertilizer treatments decreased by 0.25–0.83 units compared to the non–nitrogen treatments; correspondingly, the Ws–Fe and Ca–Fe increased by 0.01–0.55 units and 4.40–22.1 units, respectively. Recently, it was demonstrated that the soil Fe2+ contents in treatments with nitrogen– and nitrogen + phosphorous–fertilizers were significantly higher than those in treatments with nitrogen–free and phosphorous fertilizer. The application of nitrogen led to a decline in soil pH, thus increasing the availability of Fe under low–pH conditions [10]. In contrast, it was reported that the soluble–Fe2+ concentration decreased with increasing pH and O2 concentrations [41]. Therefore, the Fe2+ concentration in the soil was strongly pH–dependent. Secondly, long–term nitrogen fertilizer supplementation can enhance the iron reduction from Fe3+ to Fe2+ via anaerobic ammonium oxidation coupled with Fe3+ reduction (Feammox). This reaction has been observed in farmland, tropical–forest soils, paddy soils, and intertidal wetlands [9,42,43]. In Feammox reactions, iron–oxide compounds act as electron acceptors, and ammonium acts as an electron donator to produce nitrate (NO3), nitrite (NO2), and nitrogen gas (N2) with the participation of H+ [44,45]. In this study, urea was used as the nitrogen fertilizer; it can be easily hydrolyzed to produce a large amount of ammonium (NH4+). In addition, the long–term addition of nitrogen fertilizer to soil also increases H+ production. Furthermore, farmlands can benefit from oxygen diffusion to produce oxidation zones, which can enrich Fe3+ [9]. The combination of all these factors provides an abundant substrate and a favorable environment for Feammox reactions. This finding is consistent with previous studies, which found that 15NH4 or Fe3+ can facilitate the reduction of Fe3+ through Feammox reactions [42,44]. A recent study demonstrated that nitrogen and phosphorous applications can favor Feammox reactions in farmland soils, and the Feammox rate was significantly faster in soils to which nitrogen and/or phosphorus were applied than in those to which no fertilizer was applied [10]. One important explanation for this is that iron–reducing bacteria can be stimulated under the influence of nitrogen and phosphorus [8,10,28].
The NO3 and Fe2+ are two important products of Feammox reactions. In this study, there was a positive correlation between the NO3 and the Ws–Fe (r = 0.8701, p < 0.01, n = 9), demonstrating that the Feammox reaction was predominantly responsible for the Fe3+ reduction and the Fe2+ production. Unlike the Ws–Fe and the Ca–Fe, the contents of the Ox–Fe and the Or–Fe declined in response to the nitrogen–fertilizer treatments, particularly under high–nitrogen–fertilizer conditions (Figure 1). In addition, the Or–Fe content was negatively correlated with that of the NO3 (r = 0.8113, p < 0.01, n = 9), which indicated that the Ox–Fe and Or–Fe were probably consumed during the Feammox reaction and reduced to Ws–Fe and Ca–Fe. Furthermore, the nitrogen–fertilizer–induced decreases in the Ox–Fe and Or–Fe contents were more significant in the micro–aggregates of 0.053–0.25 mm and <0.053 mm (Figure 1). These results indicate that the N–Fe interaction may have predominantly occurred in these micro–aggregates. A possible reason for this is that these micro–aggregates may contain more total organic carbon (Figure 5). It was reported that high concentrations of organic matter can increase the release of Fe from clay minerals and result in the formation of Fe3+ oxides, which encouraged Feammox reactions [44].

4.2. Long–Term Application of Organic Fertilizer Enhances Iron Immobilization

The long–term use of organic fertilizer can cause a decrease in Ws–Fe and Ca–Fe contents, but an increase in Ox–Fe and Or–Fe contents, in soil. This suggests that iron immobilization occurs from easily soluble Fe to insoluble Fe compound in soil in response to organic–fertilizer treatments. It was documented previously that soils undergoing long–term organic fertilization contain more Fe2+ oxidizers, and produce relatively high concentrations of poorly crystalline Fe oxides [46]. These poorly crystalline Fe oxides include oxyhydroxides and organically complexed Fe [8], and they are similar to the Ox–Fe and Or–Fe in the present study. In another study, long–term organic–fertilization treatment led to a significant increase in the ferrihydrite concentration in soils when compared to inorganic–fertilization and non–fertilization treatments [7,46]. Ferrihydrite is a type of short–range–ordered Fe mineral with a high specific surface area and reactivity. It has been considered one of the most competent Fe (hydr)oxides for forming organo–mineral associations [23,47]. Thus, the use of organic fertilizer in soils can enhance the formation of ferrihydrite and, in turn, ferrihydrite promotes the binding of organic carbon with minerals. This is a reasonable explanation for the increase in the Ox–Fe and Or–Fe in response to the organic–fertilizer treatments in the present study (Figure 1). In addition, the significant positive correlation between the SOC and the Ox–Fe in the bulk soil (r = 0.6661, p < 0.05, n = 9), found in this study indicates the important organo–mineral associations in response to the organic–fertilizer treatments.
Furthermore, the increase in the Ox–Fe and Or–Fe and the positive correlation between the two iron fractions and the organic carbon were more appreciable in the micro–aggregates of 0.053–0.25 mm and <0.053 mm (Figure 4 and Figure 6). The increases in Ox–Fe and Or–Fe in the micro–aggregates of 0.053–0.25 mm and <0.053 mm were consistent with the increase in organic carbon in the two micro–aggregates. There was a significant positive correlation between these Fe fractions and the organic carbon (r = 0.6715* and r = 0.7218* in the 0.053–0.25–millimeter micro–aggregate, and r = 0.6765* and r = 0.8541** in the micro–aggregate of <0.053 mm for Ox–Fe and Or–Fe, respectively; Figure 6). These results suggest that organic–fertilizer–induced iron immobilization may be associated with micro–aggregate formation and carbon retention in micro–aggregates. This finding is consistent with those of previous reports, which demonstrated that long–term organic–fertilizer use strengthens the organic–carbon binding in soil and the potential preservation capability of Fe and Al minerals in submicron–scale soil colloids compared to the addition of chemical fertilizer [46,48,49]. Clay and silt–size mineral particles are mainly involved in this process owing to the abundance of reactive oxide and phyllosilicate surfaces in these fine particles [16,50,51]. The increase in the abundance of reactive surfaces is attributed to the enrichment of microbe–derived amino and neutral sugars with decreasing mineral–particle sizes [52]. In addition, short–range–ordered Fe minerals may only be present in small portions in the fine and dense soil fraction [24,53,54,55]. Mineral–organic matter develops through three main mechanisms: adsorption on the surfaces of minerals, co–precipitation with organic chelates, and cationic bridging by di– or tri–valent ions. The adsorption process is primarily due to the ligand exchange between the hydroxyl and carboxyl groups in the organic groups on the surfaces of Fe oxides [56,57,58].

4.3. Nitrogen Fertilizer Alleviated the Organic–Fertilizer–Induced Iron Immobilization

The long–term application of organic fertilizer decreased the Fe contents in the 1–2–millimeter soil (Figure 2), as well as the Ws–Fe and Ca–Fe contents, but it increased the Ox–Fe and Or–Fe contents in the bulk soil (Figure 1). In contrast, the long–term application of nitrogen fertilizer weakened these variations, which were induced by the organic fertilizer. In particular, in the micro–aggregates of 0.053–0.25 mm and <0.053 mm, the nitrogen fertilizer exerted a more significant mitigation effect on the iron immobilization and carbon retention induced by the organic fertilizer. This can be attributed to two factors. Firstly, the nitrogen fertilizer decreases organic carbon content in micro–aggregates of 0.053–0.25 mm and <0.053 mm and, hence, reduces the opportunities for organic–carbon binding and the potential preservation capability of Fe in these aggregates. In a previous study, it was found that the addition of nitrogen decreased the mineral–associated organic carbon (in an aggregate of <0.053 mm). This was due to the nitrogen–induced suppression of the microbial–necromass contribution and the loss of Ca bridging [40]. These microbial and Ca changes can be attributed to soil acidification after the application of nitrogen fertilizers in soil [40]. The same pH changes were also observed in this study (Table 2). Secondly, nitrogen and organic carbon play opposite roles in the preservation of iron oxides. The use of nitrogen fertilizer improves iron–oxide dissolution and reduction by decreasing pH and encouraging Feammox reactions. In contrast, the use of organic fertilizer enhances iron–oxide immobilization through the formation of iron–associated organic matter. The binding of these iron oxides to organic matter can provide a substrate for Fe reduction in Feammox reactions. Therefore, the Ox–Fe and Or–Fe contents after treatments with organic + nitrogen fertilizer are lower than those obtained with organic–fertilizer treatment alone. However, we have no direct evidence to prove the mechanisms behind this. These require further investigation.

5. Conclusions

This study investigated the distribution and enrichment of Fe in bulk soil and in soil aggregates based on a long–term (38–year) fertilizer experiment using brown soil. We demonstrated that long–term nitrogen– and organic–fertilization regimes have distinct and contrasting influences on the Fe mineralogy and availability in soil. The long–term application of nitrogen fertilizer decreases pH and encourages Feammox reactions, thereby increasing the contents of water–soluble iron (Ws–Fe) and carbonate–bound iron (Ca–Fe) in soil. By contrast, the long–term application of organic fertilizer decreases the contents of Ws–Fe and Ca–Fe, while it increases the contents of iron–manganese–oxide–bound iron (Ox–Fe) and organic–matter–bound iron (Or–Fe) by forming organo–mineral associations. The symptoms of Fe deficiency and the consequent inadequate accumulation of Fe in plants are widespread due to the low Fe phytoavailability in natural environments. The phytoavailability of Fe is greatly affected by agronomic–management practices. This study provides important evidence for improving plant Fe acquisition from soil through the rational application of nitrogen fertilizer. In addition, Fe can interact readily with organic matter and is usually associated with organic matter to form Fe–organic–matter associations, which significantly change the accumulation and preservation of carbon in soils. The present study gives novel insights into the co–precipitation of Fe and organic carbon in a farmland soil during a long–term–fertilization field experiment. In future research, we aim to further explore the combination of the characteristics of Fe and organic matter using advanced methods, such as the synchrotron–radiation technique. We also aim to reveal the microbial mechanism underlying the interaction between Fe and nitrogen/carbon, their influences on the immobilization and storage of nitrogen and carbon, and their further environmental effects in sustainable agricultural systems.

Author Contributions

H.L., J.Y., N.L. (Ning Liu) and X.H. were involved in the experimental design and the management of the research. H.L., L.Y. and J.G. were responsible for the laboratory analysis. H.L., N.L. (Na Li) and J.D. performed the statistical analysis of the data. H.L. and H.F. drafted the manuscript. All authors have read and agreed to the published version of the manuscript.

Funding

This research was founded by Natural Science Foundation of Liaoning Province (2020–MS–200) and Shenyang Science and Technology Bureau Shenyang Black Protection Science and Technology project (22-317-2-02).

Data Availability Statement

All data generated or analyzed during this study are included in this published article.

Acknowledgments

We thank Chengxin Zhang and Yandi Jin for their assistance with the data analysis and reference preparation.

Conflicts of Interest

The authors declare that there are no competing interests in the submission of this manuscript.

References

  1. Melton, E.D.; Swanner, E.D.; Behrens, S.; Schmidt, C.; Kappler, A. The interplay of microbially mediated and abiotic reactions in the biogeochemical Fe cycle. Nat. Rev. Microbiol. 2014, 12, 797–808. [Google Scholar] [CrossRef] [PubMed]
  2. Wang, M.; Hu, R.; Zhao, J.; Kuzyakov, Y.; Liu, S. Iron oxidation affects nitrous oxide emissions via donating electrons to denitrification in paddy soils. Geoderma 2016, 271, 173–180. [Google Scholar] [CrossRef]
  3. Borch, T.; Masue, Y.; Kukkadapu, R.K.; Fendorf, S. Phosphate imposed limitations on biological reduction and alteration of ferrihydrite. Environ. Sci. Technol. 2007, 41, 166–172. [Google Scholar] [CrossRef] [PubMed]
  4. Wang, C.; Huang, Y.; Zhang, C.; Zhang, Y.; Yuan, K.; Xue, W.; Liu, Y.; Liu, Y.B.; Liu, Z. Inhibition effects of long–term calcium–magnesia phosphate fertilizer application on Cd uptake in rice: Regulation of the iron–nitrogen coupling cycle driven by the soil microbial community. J. Hazard. Mater. 2021, 416, 125916. [Google Scholar] [CrossRef]
  5. Yu, C.X.; Xie, S.R.; Song, Z.L.; Xia, S.P.; Åstrom, M.E. Biogeochemical cycling of iron (hydr–)oxides and its impact on organic carbon turnover in coastal wetlands: A global synthesis and perspective. Earth. Sci. Rev. 2021, 218, 103658. [Google Scholar] [CrossRef]
  6. Wang, Q.; Shaheen, S.M.; Jiang, Y.H.; Li, R.H.; Slaný, M.; Abdelrahman, H.; Kwon, E.; Bolan, N.; Rinklebe, J.; Zhang, Z.Q. Fe/Mn– and P–modified drinking water treatment residuals reduced Cu and Pb phytoavailability and uptake in a mining soil. J. Hazard. Mater. 2021, 403, 123628. [Google Scholar] [CrossRef] [PubMed]
  7. Yu, G.H.; Xiao, J.; Hu, S.J.; Polizzotto, M.L.; Zhao, F.J.; McGrath, S.P.; Li, H.; Ran, W.; Shen, Q.R. Mineral availability as a key regulator of soil carbon storage. Environ. Sci. Technol. 2017, 51, 4960–4969. [Google Scholar] [CrossRef]
  8. Wen, Y.; Xiao, J.; Liu, F.; Goodman, B.A.; Li, W.; Jia, Z.; Ran, W.; Zhang, R.; Shen, Q.; Yu, G. Contrasting effects of inorganic and organic fertilisation regimes on shifts in Fe redox bacterial communities in red soils. Soil Biol. Biochem. 2018, 117, 56–67. [Google Scholar] [CrossRef]
  9. Ding, B.; Chen, Z.; Li, Z.; Qin, Y.; Chen, S. Nitrogen loss through anaerobic ammonium oxidation coupled to Iron reduction from ecosystem habitats in the Taihu estuary region. Sci. Total Environ. 2019, 662, 600–606. [Google Scholar] [CrossRef]
  10. Ding, B.; Luo, W.; Qin, Y.; Li, Z. Effects of the addition of nitrogen and phosphorus on anaerobic ammonium oxidation coupled with iron reduction (Feammox) in the farmland soils. Sci. Total Environ. 2020, 737, 139849. [Google Scholar] [CrossRef]
  11. Carlson, H.; Clark, I.; Blazewicz, S.; Iavarone, A.; Coates, J. Fe(II) oxidation is an innate capability of nitrate–reducing bacteria that involves abiotic and biotic reactions. J. Bacteriol. 2013, 195, 3260–3268. [Google Scholar] [CrossRef] [PubMed]
  12. Ratering, S.; Schnell, S. Nitrate–dependent iron (II) oxidation in paddy soil. Environ. Microbiol. 2001, 3, 100–109. [Google Scholar] [CrossRef]
  13. Liu, T.; Chen, D.; Luo, X.; Li, X.; Li, F. Microbially mediated nitrate–reducing Fe (II) oxidation: Quantification of chemodenitrification and biological reactions. Geochim. Cosmochim. Acta 2019, 256, 97–115. [Google Scholar] [CrossRef]
  14. Zhang, J.; Chai, C.W.; Thomas Arrigo, L.K.; Zhao, S.C.; Kretzschmar, R.; Zhao, F.J. Nitrite accumulation is required for microbial anaerobic iron oxidation, but not for arsenite oxidation, in two heterotrophic denitrifiers. Environ. Sci. Technol. 2020, 54, 4036–4045. [Google Scholar] [CrossRef]
  15. Yang, W.H.; Weber, K.A.; Silver, W.L. Nitrogen loss from soil through anaerobic ammonium oxidation coupled to iron reduction. Nat. Geosci. 2012, 5, 538–541. [Google Scholar] [CrossRef]
  16. Giannetta, B.; de Souza, D.O.; Aquilanti, G.; Celi, L.; Said–Pullicino, D. Redox–driven changes in organic C stabilization and Fe mineral transformations in temperate hydromorphic soils. Geoderma 2022, 406, 115532. [Google Scholar] [CrossRef]
  17. Weng, Y.T.; Rathod, J.; Liang, B.Q.; Wang, C.C.; Yoshiyuki, I.; Nobumichi, T.; Chen, C.L.; Lee, Y.C. Black carbon enriches short–range–order ferrihydrite in Amazonian Dark Earth: Interplay mechanism and environmental implications. Sci. Total Environ. 2020, 725, 138195. [Google Scholar] [CrossRef] [PubMed]
  18. Bao, Y.; Bolan, N.S.; Lai, J.; Wang, Y.; Jin, X.; Kirkham, M.B.; Wu, X.; Fang, Z.; Zhang, Y.; Wang, H. Interactions between organic matter and Fe (hydr) oxides and their influences on immobilization and remobilization of metal (loid)s: A review. Crit. Rev. Environ. Sci. Technol. 2021, 52, 4016–4037. [Google Scholar] [CrossRef]
  19. Lalonde, K.; Mucci, A.; Ouellet, A.; Gelinas, Y. Preservation of organic matter in sediments promoted by iron. Nature 2012, 483, 198–200. [Google Scholar] [CrossRef]
  20. Chen, C.; Hall, S.J.; Coward, E. Thompson A Iron–mediated organic matter decomposition in humid soils can counteract protection. Nat. Commun. 2020, 11, 2255. [Google Scholar] [CrossRef]
  21. Duan, X.; Yu, X.; Li, Z.; Wang, Q.; Liu, Z.; Zou, Y. Iron–bound organic carbon is conserved in the rhizosphere soil of freshwater wetlands. Soil Biol. Biochem. 2020, 149, 107949. [Google Scholar] [CrossRef]
  22. Mehmood, S.; Ahmed, W.; Alatalo, J.M.; Mahmood, M.; Imtiaz, M.; Ditta, A.; Ali, E.F.; Abdelrahman, H.; Slaný, M.; Antoniadis, V.; et al. Herbal plants– and rice straw–derived biochars reduced metal mobilization in fishpond sediments and improved their potential as fertilizers. Sci. Total Environ. 2022, 826, 154043. [Google Scholar] [CrossRef]
  23. Chen, K.Y.; Chen, T.Y.; Chan, Y.T.; Cheng, C.Y.; Tzou, Y.M.; Liu, Y.T.; Teah, H.Y. Stabilization of natural organic matter by short–range–order iron hydroxides. Environ. Sci. Technol. 2016, 50, 12612–12620. [Google Scholar] [CrossRef] [PubMed]
  24. Weng, Y.T.; Wang, C.C.; Chiang, C.C.; Tsai, H.; Song, Y.F.; Huang, S.T.; Liang, B. In situ evidence of mineral physical protection and carbon stabilization revealed by nanoscale 3–D tomography. Biogeosciences 2018, 15, 3133–3142. [Google Scholar] [CrossRef]
  25. Belay, A.; Claassens, A.S.; Wehner, F. Effect of direct nitrogen and potassium and residual phosphorus fertilizers on soil chemical properties, microbial components and maize yield under long–term crop rotation. Biol. Fertil. Soils 2002, 35, 420–427. [Google Scholar] [CrossRef]
  26. Guo, J.H.; Liu, X.J.; Zhang, Y.; Shen, J.L.; Han, W.X.; Zhang, W.F.; Goulding, K.W.T.; Vitousek, P.M.; Zhang, F.S. Significant acidification in major Chinese croplands. Science 2010, 327, 1008–1010. [Google Scholar] [CrossRef] [PubMed]
  27. Du, Y.; Wang, T.; Wang, C.; Anane, P.S.; Liu, S.; Paz–Ferreiro, J. Nitrogen fertilizer is a key factor affecting the soil chemical and microbial communities in a Mollisol. Can. J. Microbiol. 2019, 65, 510–521. [Google Scholar] [CrossRef]
  28. Ding, L.J.; Su, J.Q.; Xu, H.J.; Jia, Z.J.; Zhu, Y.G. Long–term nitrogen fertilization of paddy soil shifts iron–reducing microbial community revealed by RNA–13C–acetate probing coupled with pyrosequencing. ISME J. 2015, 9, 721–734. [Google Scholar] [CrossRef]
  29. Courtier–Murias, D.; Simpson, A.J.; Marzadori, C.; Baldoni, G.; Ciavatta, C.; Fernández, J.M.; López–de–Sá, E.G.; Plaza, C. Unraveling the long–term stabilization mechanisms of organic materials in soils by physical fractionation and NMR spectroscopy. Agric. Ecosyst. Environ. 2013, 171, 9–18. [Google Scholar] [CrossRef]
  30. He, Y.T.; Zhang, W.J.; Xu, M.G.; Tong, X.G.; Sun, F.X.; Wang, J.Z.; Huang, S.M.; Zhu, P.; He, X.H. Long–term combined chemical and manure fertilizations increase soil organic carbon and total nitrogen in aggregate fractions at three typical cropland soils in China. Sci. Total Environ. 2015, 532, 635–644. [Google Scholar] [CrossRef]
  31. Six, J.; Conant, R.T.; Paul, E.A.; Paustian, K. Stabilization mechanisms of soil organic matter: Implications for C–saturation of soils. Plant Soil 2002, 241, 155–176. [Google Scholar] [CrossRef]
  32. Huang, B.; Li, Z.; Li, D.; Yuan, Z.; Chen, Z.; Huang, J. Distribution characteristics of heavy metal (loid)s in aggregates of different size fractions along contaminated paddy soil profile. Environ. Sci. Pollut. Res. 2017, 24, 23939–23952. [Google Scholar] [CrossRef] [PubMed]
  33. Zhang, M.K.; Ke, Z.X. Copper and zinc enrichment in different size fractions of organic matter from polluted soils. Pedosphere 2004, 14, 27–36. [Google Scholar] [CrossRef]
  34. Liu, M.; Han, Z. Distribution and bioavailability of heavy metals in soil aggregates from the fenhe river basin, China. Bull. Environ. Contam. Toxicol. 2020, 104, 532–537. [Google Scholar] [CrossRef] [PubMed]
  35. Luo, P.; Han, X.; Wang, Y.; Han, M.; Shi, H.; Liu, N.; Bai, H. Influence of long–term fertilization on soil microbial biomass, dehydrogenase activity, and bacterial and fungal community structure in a brown soil of northeast China. Ann. Microbiol. 2015, 65, 533–542. [Google Scholar] [CrossRef] [PubMed]
  36. Ashraf, M.I.; Li, N.; Han, X.; Yang, J.; Wang, Y.; Fan, S.; Irshad, M.; Mahmood, Q. Temporal changes in trace elements in brown soil and soybean after long–term fertilization. Arab. J. Geosci. 2017, 10, 289. [Google Scholar] [CrossRef]
  37. Li, X.; Wen, Q.X.; Zhang, S.Y.; Li, N.; Yang, J.F.; Han, X.R. Long–term rotation fertilisation has differential effects on soil phosphorus. Plant Soil Environ. 2020, 66, 543–551. [Google Scholar] [CrossRef]
  38. Wang, N.; Wu, X.; Liao, P.; Zhang, J.; Liu, N.; Zhou, Z.; Huang, H.; Zhang, L. Morphological transformation of heavy metals and their distribution in soil aggregates during biotransformation of livestock manure. Biocatal. Agric. Biotechnol. 2021, 32, 101963. [Google Scholar] [CrossRef]
  39. Tang, Y.Q.; Zhang, X.Y.; Li, D.D.; Wang, H.M.; Chen, F.S.; Fu, X.L.; Fang, X.M.; Sun, X.M.; Yu, G.R. Impacts of nitrogen and phosphorus additions on the abundance and community structure of ammonia oxidizers and denitrifying bacteria in Chinese firplantations. Soil Biol. Biochem. 2016, 103, 284–293. [Google Scholar] [CrossRef]
  40. Chen, J.; Xiao, W.; Zheng, C.; Zhu, B. Nitrogen addition has contrasting effects on particulate and mineral–associated soil organic carbon in a subtropical forest. Soil Biol. Biochem. 2020, 142, 107708. [Google Scholar] [CrossRef]
  41. Morgan, B.; Lahav, O. The effect of pH on the kinetics of spontaneous Fe (II) oxidation by O2 in aqueous solution–basic principles and a simple heuristic description. Chemosphere 2007, 68, 2080–2084. [Google Scholar] [CrossRef] [PubMed]
  42. Guan, Q.S.; Cao, W.Z.; Wang, M.; Wu, G.J.; Wang, F.F.; Jiang, C.; Tao, Y.R.; Gao, Y. Nitrogen loss through anaerobic ammonium oxidation coupled with iron reduction in a mangrove wetland. Eur. J. Soil Sci. 2018, 69, 732–741. [Google Scholar] [CrossRef]
  43. Li, X.; Hou, L.; Liu, M.; Zheng, Y.; Yin, G.; Lin, X.; Cheng, L.; Li, Y.; Hu, X. Evidence of nitrogen loss from anaerobic ammonium oxidation coupled with ferric iron reduction in an intertidal wetland. Environ. Sci. Technol. 2015, 49, 11560–11568. [Google Scholar] [CrossRef] [PubMed]
  44. Ding, L.J.; An, X.L.; Li, S.; Zhang, G.L.; Zhu, Y.G. Nitrogen loss through anaerobic ammonium oxidation coupled to iron reduction from paddy soils in a chronosequence. Environ. Sci. Technol. 2014, 48, 10641–10647. [Google Scholar] [CrossRef] [PubMed]
  45. Hansel, C.; Fendorf, S.; Sutton, S.; Newville, M. Characterization of Fe plaque and associated metals on the roots of mine–waste impacted aquatic plants. Environ. Sci. Technol. 2001, 35, 3863–3868. [Google Scholar] [CrossRef]
  46. Xiao, J.; He, X.; Hao, J.; Zhou, Y.; Zheng, L.; Ran, W.; Shen, Q.; Yu, G. New strategies for submicron characterization the carbon binding of reactive minerals in long–term contrasting fertilized soils: Implications for soil carbon storage. Biogeosciences 2016, 13, 3607–3618. [Google Scholar] [CrossRef]
  47. Eusterhues, K.; Wagner, F.E.; Hausler, W.; Hanzlik, M.; Knicker, H.; Totsche, K.U.; Kögel–Knabner, I.; Schwertmann, U. Characterization of ferrihydrite–soil organic matter coprecipitates by X–ray diffraction and Mossbauer spectroscopy. Environ. Sci. Technol. 2008, 42, 7891–7897. [Google Scholar] [CrossRef] [PubMed]
  48. Torn, M.S.; Trumbore, S.E.; Chadwick, O.A.; Vitousek, P.M.; Hendricks, D.M. Mineral control of soil organic carbon storage and turnover. Nature 1997, 389, 170–173. [Google Scholar] [CrossRef]
  49. Wen, Y.L.; Li, H.; Xiao, J.; Wang, C.; Shen, Q.R.; Ran, W.; He, X.H.; Zhou, Q.S.; Yu, G.H. Insights into complexation of dissolved organic matter and Al(III) and nanominerals formation in soils under contrasting fertilizations using two–dimensional correlation spectroscopy and high resolution–transmission electron microscopy techniques. Chemosphere 2014, 111, 441–449. [Google Scholar] [CrossRef]
  50. Angst, G.; Mueller, K.E.; Nierop, K.G.; Simpson, M.J. Plant–or microbial–derived? A review on the molecular composition of stabilized soil organic matter. Soil Biol. Biochem. 2021, 156, 108189. [Google Scholar] [CrossRef]
  51. Basile–Doelsch, I.; Balesdent, J.; Pellerin, S. Reviews and syntheses: The mechanisms underlying carbon storage in soil. Biogeosciences 2020, 17, 5223–5242. [Google Scholar] [CrossRef]
  52. Lavallee, J.M.; Soong, J.L.; Cotrufo, M.F. Conceptualizing soil organic matter into particulate and mineral–associated forms to address global change in the 21st century. Glob. Chang. Biol. 2020, 26, 261–273. [Google Scholar] [CrossRef]
  53. Cusack, D.F.; Chadwick, O.A.; Hockaday, W.C.; Vitousek, P.M. Mineralogical controls on soil black carbon preservation. Global Biogeochem. Cyc. 2012, 26, 2019. [Google Scholar] [CrossRef]
  54. Eusterhues, K.; Rumpel, C.; Kögel–Knabner, I. Organo–mineral associations in sandy acid forest soils: Importance of specific surface area, iron oxides and micropores. Eur. J. Soil Sci. 2005, 56, 753–763. [Google Scholar] [CrossRef]
  55. Rasmussen, C.; Torn, M.S.; Southard, R.J. Mineral assemblage and aggregates control carbon dynamics in a California conifer forest. Soil Sci. Soc. Am. J. 2005, 69, 1711–1721. [Google Scholar] [CrossRef]
  56. Chorover, J.; Amistadi, M.K. Reaction of forest floor organic matter at goethite, birnessite and smectite surfaces. Geochim. Cosmochim. Acta 2001, 65, 95–109. [Google Scholar] [CrossRef]
  57. Gu, B.; Schmitt, J.; Chen, Z.; Liang, L.; McCarthy, J.F. Adsorption and desorption of different organic matter fractions on iron oxide. Geochim. Cosmochim. Acta 1995, 59, 219–229. [Google Scholar] [CrossRef]
  58. Wiseman, C.L.S.; Püttmann, W. Interactions between mineral phases in the preservation of soil organic matter. Geoderma 2006, 134, 109–118. [Google Scholar] [CrossRef]
Figure 1. Contents of continuous–extraction Fe in bulk soil after 38–year fertilization with nine treatments. CK: no fertilizer, N1: low nitrogen, N2: high nitrogen, M1: low manure, M1N1: low manure and low nitrogen, M1N2: low manure and high nitrogen, M2: high manure, M2N1: high manure and low nitrogen, M2N2: high manure and high nitrogen. Ws–Fe: water–soluble Fe, Ca–Fe: carbonate–bound Fe, Ox–Fe: iron–manganese–oxide–bound Fe, Or–Fe: organic–matter–bound Fe. Different lower–case letters denote significant differences between treatments by least–significant difference at the 5% level.
Figure 1. Contents of continuous–extraction Fe in bulk soil after 38–year fertilization with nine treatments. CK: no fertilizer, N1: low nitrogen, N2: high nitrogen, M1: low manure, M1N1: low manure and low nitrogen, M1N2: low manure and high nitrogen, M2: high manure, M2N1: high manure and low nitrogen, M2N2: high manure and high nitrogen. Ws–Fe: water–soluble Fe, Ca–Fe: carbonate–bound Fe, Ox–Fe: iron–manganese–oxide–bound Fe, Or–Fe: organic–matter–bound Fe. Different lower–case letters denote significant differences between treatments by least–significant difference at the 5% level.
Agronomy 13 00371 g001
Figure 2. Iron contents in the soil aggregates after 38–year fertilization with nine treatments. CK: no fertilizer, N1: low nitrogen, N2: high nitrogen, M1: low manure, M1N1: low manure and low nitrogen, M1N2: low manure and high nitrogen, M2: high manure, M2N1: high manure and low nitrogen, M2N2: high manure and high nitrogen. Different lower–case letters denote significant differences between treatments by least–significant difference at the 5% level.
Figure 2. Iron contents in the soil aggregates after 38–year fertilization with nine treatments. CK: no fertilizer, N1: low nitrogen, N2: high nitrogen, M1: low manure, M1N1: low manure and low nitrogen, M1N2: low manure and high nitrogen, M2: high manure, M2N1: high manure and low nitrogen, M2N2: high manure and high nitrogen. Different lower–case letters denote significant differences between treatments by least–significant difference at the 5% level.
Agronomy 13 00371 g002
Figure 3. Contents of continuous–extraction Fe in soil aggregates after 38–year fertilization with nine treatments. CK: no fertilizer, N1: low nitrogen, N2: high nitrogen, M1: low manure, M1N1: low manure and low nitrogen, M1N2: low manure and high nitrogen, M2: high manure, M2N1: high manure and low nitrogen, M2N2: high manure and high nitrogen. Ws–Fe: water–soluble Fe, Ca–Fe: carbonate–bound Fe, Ox–Fe: iron–manganese–oxide–bound Fe, Or–Fe: organic–matter–bound Fe. Different lower–case letters denote significant differences between treatments by least–significant difference at the 5% level.
Figure 3. Contents of continuous–extraction Fe in soil aggregates after 38–year fertilization with nine treatments. CK: no fertilizer, N1: low nitrogen, N2: high nitrogen, M1: low manure, M1N1: low manure and low nitrogen, M1N2: low manure and high nitrogen, M2: high manure, M2N1: high manure and low nitrogen, M2N2: high manure and high nitrogen. Ws–Fe: water–soluble Fe, Ca–Fe: carbonate–bound Fe, Ox–Fe: iron–manganese–oxide–bound Fe, Or–Fe: organic–matter–bound Fe. Different lower–case letters denote significant differences between treatments by least–significant difference at the 5% level.
Agronomy 13 00371 g003
Figure 4. Contents of organic carbon in soil aggregates after 38–year fertilization with nine treatments. CK: no fertilizer, N1: low nitrogen, N2: high nitrogen, M1: low manure, M1N1: low manure and low nitrogen, M1N2: low manure and high nitrogen, M2: high manure, M2N1: high manure and low nitrogen, M2N2: high manure and high nitrogen. Different lower–case letters denote significant differences between treatments by least–significant difference at the 5% level.
Figure 4. Contents of organic carbon in soil aggregates after 38–year fertilization with nine treatments. CK: no fertilizer, N1: low nitrogen, N2: high nitrogen, M1: low manure, M1N1: low manure and low nitrogen, M1N2: low manure and high nitrogen, M2: high manure, M2N1: high manure and low nitrogen, M2N2: high manure and high nitrogen. Different lower–case letters denote significant differences between treatments by least–significant difference at the 5% level.
Agronomy 13 00371 g004
Figure 5. Iron contents in soybean shoots (A) and seeds (B). CK: no fertilizer, N1: low nitrogen, N2: high nitrogen, M1: low manure, M1N1: low manure and low nitrogen, M1N2: low manure and high nitrogen, M2: high manure, M2N1: high manure and low nitrogen, M2N2: high manure and high nitrogen. Different lower–case letters denote significant differences between treatments by least–significant difference at the 5% level.
Figure 5. Iron contents in soybean shoots (A) and seeds (B). CK: no fertilizer, N1: low nitrogen, N2: high nitrogen, M1: low manure, M1N1: low manure and low nitrogen, M1N2: low manure and high nitrogen, M2: high manure, M2N1: high manure and low nitrogen, M2N2: high manure and high nitrogen. Different lower–case letters denote significant differences between treatments by least–significant difference at the 5% level.
Agronomy 13 00371 g005
Figure 6. Correlations between indices. (A): Organic carbon and Fe fractions in soil aggregates. (B): Fe contents in plants and Fe fractions in soil. Ws–Fe: water–soluble Fe, Ca–Fe: carbonate bound Fe, Ox–Fe: iron–manganese–oxide–bound Fe, Or–Fe: organic–matter–bound Fe. * and ** denote statistically significant differences at p < 0.05 and p < 0.01, respectively, n = 9.
Figure 6. Correlations between indices. (A): Organic carbon and Fe fractions in soil aggregates. (B): Fe contents in plants and Fe fractions in soil. Ws–Fe: water–soluble Fe, Ca–Fe: carbonate bound Fe, Ox–Fe: iron–manganese–oxide–bound Fe, Or–Fe: organic–matter–bound Fe. * and ** denote statistically significant differences at p < 0.05 and p < 0.01, respectively, n = 9.
Agronomy 13 00371 g006
Table 1. The rates of fertilizer application during maize and soybean seasons.
Table 1. The rates of fertilizer application during maize and soybean seasons.
Organic Fertilizer
(t ha−1 year−1)
Nitrogen Fertilizer
(kg N ha−1 year−1)
Phosphorous Fertilizer
(kg P2O5 ha−1 year−1)
Potassium Fertilizer
(kg K2O ha−1 year−1)
Low (M1)High (M2)Low (N1)High (N2)
Maize13.527.012018060 60
Soybean30609090
Table 2. Soil physicochemical properties in response to different treatments.
Table 2. Soil physicochemical properties in response to different treatments.
pHEhSOC
(g kg−1)
SON
(g kg−1)
NO3–N
(mg kg−1)
NH4+–N
(mg kg−1)
DTPA–Fe
(mg kg−1)
CK5.67 ± 0.12 d273.2 ± 2.3 bc0.85 ± 0.03 d0.90 ± 0.01 c2.51 ± 0.75 g5.45 ± 1.57 de63.66 ± 1.22 f
N15.16 ± 0.21 e299.4 ± 11.5 ab0.94 ± 0.03 d0.92 ± 0.06 c54.50 ± 0.10 a12.16 ± 3.42 ab91.73 ± 2.43 d
N24.84 ± 0.19 f284.3 ± 3.1 ab0.90 ± 0.01 d0.98 ± 0.04 c31.60 ± 4.47 d14.36 ± 0.91 a94.88 ± 1.04 d
M16.82 ± 0.17 ab239.0 ± 37.1 c1.16 ± 0.07 abc1.19 ± 0.04 b10.89 ± 2.71 f5.15 ± 0.41 e73.59 ± 1.26 e
M1N16.15 ± 0.15 c243.1 ± 11.4 c1.08 ± 0.02 bc1.13 ± 0.06 b21.46 ± 2.16 e8.54 ± 3.24 dc126.13 ± 4.24 b
M1N26.01 ± 0.13 dc264.9 ± 32.3 bc1.05 ± 0.10 c1.13 ± 0.03 b38.25 ± 2.19 c9.12 ± 2.61 bc132.74 ± 2.11 a
M26.83 ± 0.24 a323.5 ± 8.5 a1.16 ± 0.01 ab1.23 ± 0.04 ab12.66 ± 0.96 f4.04 ± 0.15 e68.86 ± 2.71 ef
M2N16.58 ± 0.20 b259.1 ± 46.8 bc1.13 ± 0.03 bc1.18 ± 0.16 b45.18 ± 3.97 b6.86 ± 0.21 dce113.28 ± 1.49 c
M2N26.01 ± 0.25 c268.4 ± 9.2 bc1.25 ± 0.15 a1.33 ± 0.12 a46.06 ± 0.06 b7.18 ± 0.57 dce130.90 ± 4.74 ab
CK: no fertilizer, N1: low nitrogen, N2: high nitrogen, M1: low manure, M1N1: low manure and low nitrogen, M1N2: low manure and high nitrogen, M2: high manure, M2N1: high manure and low nitrogen, M2N2: high manure and high nitrogen. Different lower–case letters denote significant differences between treatments by least–significant difference at the 5% level.
Disclaimer/Publisher’s Note: The statements, opinions and data contained in all publications are solely those of the individual author(s) and contributor(s) and not of MDPI and/or the editor(s). MDPI and/or the editor(s) disclaim responsibility for any injury to people or property resulting from any ideas, methods, instructions or products referred to in the content.

Share and Cite

MDPI and ACS Style

Liu, H.; Yang, L.; Guo, J.; Yang, J.; Li, N.; Dai, J.; Feng, H.; Liu, N.; Han, X. Contrasting Effects of Nitrogen and Organic Fertilizers on Iron Dynamics in Soil after 38–Year Fertilization Practice. Agronomy 2023, 13, 371. https://doi.org/10.3390/agronomy13020371

AMA Style

Liu H, Yang L, Guo J, Yang J, Li N, Dai J, Feng H, Liu N, Han X. Contrasting Effects of Nitrogen and Organic Fertilizers on Iron Dynamics in Soil after 38–Year Fertilization Practice. Agronomy. 2023; 13(2):371. https://doi.org/10.3390/agronomy13020371

Chicago/Turabian Style

Liu, Houjun, Lei Yang, Jin Guo, Jinfeng Yang, Na Li, Jian Dai, Huan Feng, Ning Liu, and Xiaori Han. 2023. "Contrasting Effects of Nitrogen and Organic Fertilizers on Iron Dynamics in Soil after 38–Year Fertilization Practice" Agronomy 13, no. 2: 371. https://doi.org/10.3390/agronomy13020371

APA Style

Liu, H., Yang, L., Guo, J., Yang, J., Li, N., Dai, J., Feng, H., Liu, N., & Han, X. (2023). Contrasting Effects of Nitrogen and Organic Fertilizers on Iron Dynamics in Soil after 38–Year Fertilization Practice. Agronomy, 13(2), 371. https://doi.org/10.3390/agronomy13020371

Note that from the first issue of 2016, this journal uses article numbers instead of page numbers. See further details here.

Article Metrics

Back to TopTop