Abstract
A suitable population structure is the foundation for a high yield of wheat. Studying the changes in yield and population structure of different wheat rows under drip irrigation conditions can provide a theoretical basis for optimizing wheat drip irrigation pattern. In a two-year field experiment, two different water- and fertilizer-demanding spring wheat varieties (XC22 and XC44) were used to study the changes of stem and tiller dynamics, dry matter accumulation, canopy photo-synthetically active radiation (PAR) interception, and canopy apparent photosynthesis rate (CAP) under one tube serving four rows of wheat drip irrigation pattern (TR4, drip lateral spacing (DLS) = 60 cm, wheat row spacing (WRS) = 15 cm) and one tube serving six rows of wheat drip irrigation pattern (TR6, DLS = 90 cm, WRS = 15 cm; TR6L, DLS = 90 cm, WRS = 10 cm and TR6S, DLS = 80 cm, WRS = 10 cm). The results showed that under the condition of equal row spacing of 15 cm, after increasing the number of wheat rows serving by one drip irrigation tube from four (TR4, control) to six (TR6), the yields (water use efficiency) of XC22 and XC44 were lower by 11.19% and 8.63%, respectively. The reduction of yield was related to uneven population growth, specifically as follows: compared with the first wheat row (R1), at flowering stage the leaf area index (LAI) and PAR interception in the third wheat row (R3) of XC22 and XC44 were significantly decreased by 30.02%, 18.69%, 9.59%, and 14.74%, respectively. At the maturity stage, the biomass, plant height, and panicles number of tiller (TPN) in R3 were significantly decreased by 22.15%, 12.34%, 15.46%, 5.24%, 65.07%, and 42.11%, respectively. At the jointing, flowering, and milk-ripening stage, the CAP were significantly decreased by 24.65%, 22.85%, 17.06%, 14.02%, 42.14%, and 32.27%, respectively, the decrease of XC22 were all higher than that of XC44 (except for PAR interception). After the TR6 pattern was processed to narrow the wheat row spacing from 15 cm to 10 cm under the condition of the same drip tube lateral spacing (TR6L) and under the condition of shortening drip tube lateral spacing by 10 cm (TR6S), the yields in R3 of XC22 and XC44 were significantly increased by 20.07%, 18.43%, 30.39%, and 23.80%, respectively, and the increase in yields were related to the improvement of LAI, biomass, plant height, TPN, PAR interception, and increased population photosynthesis. Among the four drip irrigation patterns, for both XC22 and XC44, the yield of TR6S was the closest to that of TR4, and the yields of them were significantly higher than that of TR6 and TR6L.
1. Introduction
Wheat (Triticum aestivum L.) is one of the food crops with the largest planting area and the richest processed products in the world [,]; about 35% of the world’s population relies on wheat as their staple food [,]. As a high-quality wheat producing area and a reserve base, Xinjiang’s (China) wheat industry development level is of great significance to social stability and national food security. However, because Xinjiang is located in the hinterland of Eurasia, more than half of the wheat planting areas have an annual precipitation of less than 100 mm and potential evapotranspiration of up to 2000–3000 mm [,]. Drip irrigation technology has been rapidly promoted in wheat production in Xinjiang since 2008 because of its advantages of water saving, yield increasing, and labor saving [,]. However, due to the whole drip irrigation system is transplanted from cotton [,], the relevant theoretical basis is weak, and its mechanism research is not mature enough [,], which makes it difficult to achieve the goal of efficient resource utilization and sustainable income increasing when drip irrigation system were used to wheat production. Therefore, it is necessary to carry out scientific and systematic research on drip irrigated wheat, especially to study the changes of yield and population quality under different drip irrigation patterns, and to find out the characteristics of stem and tiller dynamics and dry matter accumulation of wheat plant in the key water demand period. It is possible to maximize the efficiency of the photo-thermal resources in Xinjiang and make an important contribution to solving the problems of food, resources, and environment faced by Xinjiang and other arid agricultural areas.
High-yielding wheat usually has an appropriate population quantity, high population quality, and good population structure [,]. The population quantity of wheat is determined by both sowing density and tiller number of plants [], which is not only related to the variety, but also influenced by cultivation conditions []. The quality of wheat population is closely related to leaf area index, grain leaf ratio, population biomass, and harvest index [,]. Previous studies on wheat planting density [,,], water and fertilizer management [], and planting patterns [,] suggest that the population structure is adjustable, the rational use of water and fertilizer during wheat growth can optimize the wheat population structure [], and there are differences in photosynthetically active radiation (PAR) interception under different planting patterns, which is due to differences in the vertical distribution of PAR within the wheat population []. The population and individual development are coordinated, plants can economically and effectively utilize photosynthesis and soil fertility, resulting in a reasonable composition of panicles number, grain number per panicle and grain weight []. Cultivation management measures directly affect the population structure and canopy environment of crops [,]. The arrangement of wheat row spacing is an important cultivation measure that can determine the uniformity of wheat population and directly affect the yield potential of individual plants [,]. Previous studies have shown that under narrow row spacing planting conditions, the biomass, leaf area index (LAI), and canopy apparent photosynthesis rate (CAP) were significantly higher than that under wide row spacing conditions, and the LAI and CAP decreased with the increase of row spacing, which was due to the fact that the population of wheat achieved canopy closure earlier during the jointing and booting stages under narrow row spacing conditions, significantly increasing the PAR interception of the canopy and thus forming higher biomass [,,]. Other studies have pointed out that narrowing row spacing and thinning plant spacing can promote individual development of wheat plants and increase the tiller rate and tiller panicles formation rate [,,]. Some studies hold the opposite views; the LAI under equal row spacing planting pattern were significantly higher than that under wide-narrow row planting pattern [], the lodging rate significantly increases, which is caused by the increases of length in the first and second internodes under narrow row spacing planting conditions, and as the row spacing increases, the lodging rate decreases [,,]. At present, the spacing of drip tubes and wheat row spacing in wheat drip irrigation systems are still in the exploratory stage []. The existing one tube serving four rows of wheat pattern was difficult to achieve highly efficient wheat production [,]. Innovating drip irrigation pattern and adopting wide-narrow row planting are the directions for further optimizing the wheat drip irrigation system [].
In this study, two spring wheat varieties with different demands of water and fertilizer were used as experimental materials. By narrowing the row space and adding inter-block in the enlarging lateral space drip irrigation systems, four kinds of drip irrigation patterns were designed, namely TR4 (one tube serving four rows of wheat pattern, drip tube lateral spacing (DLS) = 60 cm, wheat row spacing (WRS) = 15 cm), TR6 (normal one tube serving six rows of wheat pattern, DLS = 90 cm, WRS = 15 cm), TR6L (large one tube serving six rows of wheat pattern, DLS = 90 cm, WRS = 10 cm), and TR6S (short one tube serving six rows of wheat pattern, DLS = 80 cm, WRS = 10 cm). The objectives were to observe the variations of stem and tiller, LAI, grain—leaf ratio, plant height composition, and dry matter accumulation within different rows of plants to analyze the performances of canopy PAR interception, CAP, population structure, and quality among different drip irrigation patterns. The results should be helpful to provide theoretical and technical support for establishing drip irrigation patterns of wheat with high-productivity and economic profit in arid and semi-arid areas.
2. Materials and Methods
2.1. Experimental Materials
Two contrasting locally extensively planted spring wheat varieties, Xinchun22 (XC22) and Xinchun44 (XC44), were used as experimental materials (Photos of plant growth in the field as shown in Figure S1). In the variety selection experiment of Yang in 2018 and 2019 [], it was found that XC22 had a significant decrease in dry matter and yield under water and fertilizer deficiency conditions (water and fertilizer demanding), while XC44 had a smaller decrease (water and fertilizer undemanding). The difference in flowering period between the two varieties was 2–3 days, and the difference in growth period was about 10 days. The sowing dates were 9 April 2021 and 17 April 2022. The sowing density was 600 × 104 plant ha−2.
2.2. Experimental Design
The experiment was conducted at a research station of Shihezi University, Xinjiang, in northwestern China (44°21′ N, 86°04′ E) from March to July in 2021 and 2022. The region at an altitude of 450 m has a typical temperate continental climate, the average cumulative temperature (≥10 °C) in 2021 and 2022 was 2185.1 °C days, the highest temperature appears from July to early August, the lowest temperature is in January, besides, average annual precipitation is 189.1–200.3 mm, and the annual potential evapotranspiration is 1517.5–1563.8 mm. Meteorological data for the wheat growing season in 2021 and 2022 were obtained from meteorological stations located near the experimental station, the daily maximum and minimum air temperature and daily precipitation over the experimental period are shown in Figure 1. The soil at the experiment farm has moderate fertility with total porosity of 46.3%, bulk density of 1.25 g cm−3, and pH of 7.7. The soil contains 11.6 g kg−1 organic matter, 42.6 mg kg−1 available nitrogen, 13.6 mg kg−1 available phosphorus, and 295 mg kg−1 available potassium.

Figure 1.
Daily maximum and minimum air temperature and daily precipitation over the spring wheat growth seasons in 2021 and 2022.
The experiment was set up four kinds of drip irrigation patterns: TR4 represented one drip tube serving four rows of wheat, which is the most widely used in wheat production in Xinjiang, row space of wheat was 15 cm and the total pattern width was 60 cm (control); TR6 represented one drip tube serving six rows of wheat, row space of wheat was 15 cm and total pattern width was 90 cm; TR6L represented one drip tube serving six rows of wheat, with large (35 cm) inter-block space, row space of wheat was 10 cm and total pattern width was 90 cm; TR6S represented one drip tube serving six rows of wheat, with short (25 cm) inter-block space, row space of wheat was 10 cm and total pattern width was 80 cm. The schematic diagram of the four kinds of drip irrigation patterns is shown in Figure 2. The 1st, 2nd, and 3rd rows close to the drip tube were named R1, R2, and R3, respectively. The plot size was 194.4 m2 (7.2 m in width and 27 m in length) for TR4, TR6, and TR6L, and 172.8 m2 (6.4 m in width and 27 m in length) for TR6S. Each pattern was conducted with three replicates. The drip irrigation pattern was the same in both two years. Sowing and synchronous drip tubes positioning were conducted with corresponding wheat precision planters (JB/T 6274.1-2013, 2BFX-12, Changji, Xinjiang, China). The sowing depth was 5.0 cm, the drip tube was covered with soil at a depth of 2 cm. Total irrigation volume and urea content of all treatments in the growth period were 4500 m3 ha−2 and 300 kg ha−2. The irrigation and fertilization strategies are consistent with those of previous researchers [,]; in brief, the irrigation amount for the three-leaf stage, jointing, booting, anthesis, early milk stage and late milk stage were 900, 900, 900, 675, 675, and 450 m3 ha−1, respectively, the nitrogen application amount for pre-sowing, three-leaf stage, jointing, booting, anthesis, and early milk stage were 60, 36, 96, 48, 36, and 24 kg ha−1, respectively. The drip irrigation tube outlet holes were designed in a single wing labyrinth, spacing is 30 cm, and the flow rate is 2.6 L h−1. Each plot was connected to a high precision water meter and control valve. In addition, 105 kg ha−2 P2O5 and K2O were applied to the soil before sowing.

Figure 2.
The schematic diagram of TR4 (drip lateral spacing (DLS) = 60 cm, wheat row spacing (WRS) = 15 cm), TR6 (DLS = 90 cm, WRS = 15 cm), TR6L (DLS = 90 cm, WRS = 10 cm), and TR6S (DLS = 80 cm, WRS = 10 cm) drip irrigation patterns. DLS: drip lateral spacing. R1, R2, and R3 refer to the 1st, 2nd, and 3rd rows adjacent to the drip tube, respectively.
2.3. Sampling and Measurements
At three leaf stage, 40 representative squares (length was 1 m, width for TR4, TR6, TR6L, and TR6S were 60 cm, 90 cm, 90 cm, and 80 cm, respectively) of each plot were selected and marked. Sampling and index measurement in a single row (R1 and R2 for TR4, while R1, R2, and R3 for TR6, TR6L, and TR6S) in the marked squares.
2.3.1. Yield, Water Use Efficiency, and Harvest Index
At maturity stage, three representative squares (length was 1 m, width for TR4, TR6, TR6L, and TR6S were 60 cm, 90 cm, 90 cm, and 80 cm, respectively) of each plot were selected to measure the yield of each row (R1 and R2 for TR4, while R1, R2, and R3 for TR6, TR6L, and TR6S). Ten wheat plants were randomly and then consecutively selected from each row to determine biomass and economic yield, all samples were put into an oven at 105 °C for 30 min, and then dried at 70 °C to constant weight, and weighed, which was biomass, then threshed, measuring the grain weight per panicles, which was economic yield. Water use efficiency (WUE) was calculated according to Equation (1). Harvest index (HI) was calculated according to Equation (2):
WUE (kg m3) = grain yield/irrigation amount
HI = economic yield/biomass
2.3.2. Leaf Area Index
At the flowering stage, three representative squares of each plot were selected to measure the leaf area of each row, remove all the leaves, then use area meter (LA211, Systronic, New Delhi, India) to measure the leaf area. Leaf area index (LAI) was calculated according to Equation (3):
LAI = leaf area × 2/square area
2.3.3. Grain—Leaf Area Ratio
At maturity stage, three representative squares of each plot were selected to measure the grain number and weight of each row. Grain number-leaf area (GNLA) ratio was calculated according to Equation (4):
GNLA ratio = grain number/leaf area
Grain weight-leaf area (GWLA) ratio was calculated according to Equation (5):
GWLA ratio (g/cm2) = grain weight/leaf area
2.3.4. Stem and Tiller Dynamics and Plant Height
At the three-leaf, jointing, flowering, and maturity stages, three representative squares of each plot were selected to measure the stems and tillers of each row. Ten wheat plants were randomly and then consecutively selected from each row to determine plant height.
2.3.5. Biomass Accumulation
At the three-leaf, jointing, booting, flowering, milk-ripening, and maturity stages, three representative squares of each plot were selected, ten wheat plants were randomly and then consecutively selected from each row to determine biomass, all samples were put into an oven at 105 °C for 30 min, and then dried at 70 °C to constant weight, and weighed, which was biomass.
2.3.6. Plant Height Component
At maturity stage, three representative squares of each plot were selected, 10 wheat plants were randomly and then consecutively selected from each row to determine the length of each internode (FIFL, the length of fifth inter-node from the top; FOUL, the length of fourth inter-node from the top; THIL, the length of third inter-node from the top; SECL, the length of second inter-node from the top; FIRL, the length of first inter-node from the top; and PL, the panicle length).
2.3.7. Photosynthetically Active Radiation Interception
At the milk-ripening stage, three representative squares of each plot were selected to measure the photosynthetically active radiation (PAR) interception of each row. The blank (I0), canopy (I1), bottom (I), and canopy reflectance (In) PAR were measured from 9–12 h using a portable PAR-meter (Li-250A, Li-COR Inc., Lincoln, NE, USA). The canopy and bottom PAR interception were calculated according to the method of previous researcher [].
2.3.8. Canopy Apparent Photosynthesis Rate
At the jointing, flowering, and milk-ripening stages, three representative squares of each plot were selected, using a CO2 analysis system (GXH-3501, Junfang, Beijing, China) according to the method described in [] with some modification. The chamber was constructed from polyester film, with dimensions of 1 m (length) × 0.2 m (width) × 1 m (height) and could enclose all wheat plants. The canopy apparent photosynthesis rate (CAP) was calculated according to the Equation (6):
CAP = (C1 − C2)/106 × V × (360/t) × (273/273 + T) × (44/22.4) × (P/760) × 1000/A
The C1 and C2 are the initial and termination CO2 concentration, respectively; V is the volume of the leaf chamber (m3); t is the time taken for the change in CO2 (s); T is the environmental temperature; P is atmospheric pressure; and A is the wheat area in the chamber (m2).
2.4. Statistical Analysis
All data were submitted to one-way analysis of variance (ANOVA) to compare the differences among different wheat rows using the software Statistical Product and Service Solutions (SPSS v. 22. SPSS Inc., Chicago, IL, USA). Differences between treatments were considered significant at p < 0.05 according to Duncan’s multiple range tests. The figures were plotted using Microsoft Excel (Office v. 2010) and Origin v. 2021 (Origin Lab, Northampton, MA, USA).
3. Results
3.1. Yield, Water Use Efficiency, and Population Quality
Among TR4, TR6, TR6L, and TR6S drip patterns, in 2021 and 2022, the highest yield and water use efficiency (WUE) of both XC22 and XC44 were TR4 (Table 1). Compared with TR4, the average yield (WUE) (2020 and 2021) under TR6, TR6L, and TR6S of XC22 and XC44 were lower by 11.14%, 11.82%, 3.71%, 8.59%, 6.75%, and 2.52%, respectively, the yield decrease of XC22 was higher than that of XC44, which indicated that XC44 was better than XC22 in adapting to the change of drip irrigation pattern, and both XC22 and XC44 showed the lowest decrease of yield under TR6S, which indicated that narrowing wheat row spacing (from 15 to 10 cm) and adding inter-block (25 cm) could improve the yield of one tube serving six rows of wheat pattern. Compared with TR4, the LAI in TR6, TR6L, and TR6S of XC22 and XC44 were decreased by 17.52%, 8.64%, 3.26%, 5.93%, 5.57%, and 5.80%, respectively, which indicated that the reduction of yield after increasing the number of wheat rows from four to six was related to the decrease of leaf area. The GNLA ratio and GWLA ratio under TR6L and TR6S of XC22 were lower than that under TR4 and TR6, while of XC44 were higher than that under TR4 and TR6, which indicated that there were differences in the photosynthetic capacity of the source organs and the transport ability of grains to source organs between XC22 and XC44, XC44 was better than XC22, which may be the reason why XC44 has a lower yield decrease than XC22.

Table 1.
Overall yield, harvest index, leaf area index, and grain—leaf ratio of two varieties (XC22 and XC44) under different treatments.
Under TR4 pattern, the yield, HI, LAI, GNLA and GWLA ratio in R1 of both XC22 and XC44 showed no significant difference from R2 (Table 2), which indicated that the population quality of R1 and R2 was similar under one tube serving four rows of wheat pattern. After increasing the number of wheat rows serving by one drip tube to six (TR6), the HI, GNLA and GWLA ratio of both XC22 and XC44 showed R3 > R2 > R1, and the yield and LAI showed R1 > R2 > R3, which indicated that there were differences in the growth of R1, R2, and R3 rows of wheat plants under TR6 pattern, which may be caused by environmental differences, and both XC22 and XC44 adapted to environmental degradation by inhibiting the growth of vegetative organs to promote reproductive growth; Compared with R1, the HI, GNLA and GWLA ratio in R3 of XC22 and XC44 were significantly increased by 2.00%, 8.20%, 4.54%, 2.24%, 10.98% and 5.90%, respectively, the yield and LAI were significantly decreased by 18.94%, 30.02%, 16.27% and 18.69%, respectively, the increase in TR6R3 of XC44 was higher than that of XC22, while the decreases in yield and LAI were lower than that of XC22, which indicated that the ability of XC44 to adjust source-sink relationship was better than that of XC22. After the TR6 pattern was processed to narrow wheat row spacing (15 cm to 10 cm) and add inter-block (TR6L, inter-block spacing = 35 cm; TR6S, inter-block spacing = 25 cm), the yield and LAI in R3 of both XC22 and XC44 were significantly higher than that of TR6R3, and the GNLA and GWLA ratio were significantly lower than that of TR6R3, while the yield, HI, LAI, GNLA and GWLA ratio in R1 were lower than that of TR6R1, which indicated that TR6L and TR6S patterns could improve wheat plant growth of R3, but may also inhibit the growth of R1 plants, and these were caused by the regulation of vegetative and reproductive growth, as well as the regulation of source-sink relationships in wheat plants.

Table 2.
Variations in yield, harvest index, leaf area index, and grain—leaf ratio of two varieties (XC22 and XC44) under different treatments.
3.2. Stem and Tiller Dynamics
With growing development, stems and tillers of both XC22 and XC44 showed a trend of first increasing and then decreasing under TR4, TR6, TR6L, and TR6S patterns (Figure 3). At the three-leaf stage, the stems number under TR6S pattern of both XC22 and XC44 were significantly lower than that under TR4, TR6, and TR6L patterns, which may be caused by the decrease in sowing density, which was due to the fact that the average wheat row spacing under TR6S (13.33 cm) pattern was lower than that under TR4, TR6, and TR6L (15 cm), while the total sowing amount remained unchanged. Under TR4 pattern, at jointing, flowering and maturity stages the tillers number (TN) in R1 of both XC22 and XC44 showed no significant difference from R2, and the TN of XC22 was significantly higher than that of XC44, which indicated that the plant growth in R1 was similar to R2, and the tillering ability of XC22 was higher than that of XC44. After increasing the number of wheat rows serving by one drip tube to six (TR6) at jointing and flowering stages, the TN of XC22 and XC44 were decreased by 11.06%, 39.27%, 12.61%, and 5.69%, respectively. Compared with R1, at jointing, flowering and maturity stages the TN in R3 were significantly decreased by 18.01%, 60.25%, 65.07%, 26.24%, 41.86%, and 42.11%, respectively, indicating that the reduction of TN intensified with the growth process, both XC22 and XC44 showed the largest decrease of TN at flowering stage, which may be caused by the insufficient water and fertilizer from jointing to flowering stage. After the TR6 pattern was processed to narrow wheat row spacing and add inter-block (TR6L and TR6S), at jointing, flowering and maturity stages the TN of XC22 and XC44 were increased by 1.65%, 22.88%, 26.99%, 2.32%, 16.38%, 12.62%, 22.05%, 40.82%, 48.58%, 34.37%, 114.53%, and 119.19%, respectively, the increase under TR6S were higher than that under TR6L, which may be due to the lower planting density of TR6S compared to TR6L. The TN in TR6LR3 and TR6SR3 of both XC22 and XC44 were significantly higher than that in TR6R3, these indicated that TR6L and TR6S patterns could improve the TN of wheat plant, and mainly improve the TN of R3.

Figure 3.
Changes in stem and tiller number with growing development of two varieties (XC22 and XC44) under different treatments in 2021 and 2022. Note: (A–C) indicate XC22; (D–F) indicate XC44. TR4, TR6, TR6L, and TR6S indicate one tube serving four rows of wheat drip irrigation pattern (drip lateral spacing (DLS) = 60 cm, wheat row spacing (WRS) = 15 cm), normal one tube serving six rows of wheat drip irrigation pattern (DLS = 90 cm, WRS = 15 cm), large one tube serving six rows of wheat drip irrigation pattern (DLS = 90 cm, WRS = 10 cm), and one short tube serving six rows of wheat drip irrigation pattern (DLS = 80 cm, WRS = 10 cm), respectively; 1 represents 2021; 2 represents 2022. R1, R2, and R3 refer to the 1st, 2nd, and 3rd rows adjacent to the drip tube, respectively. Bars indicate SD (n = 3). The same letters within each panel imply no statistically significant differences (p < 0.05).
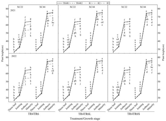
3.3. Plant Height
With growing development, the plant height of both XC22 and XC44 showed a trend to increase under TR4, TR6, TR6L, and TR6S patterns (Figure 4). At three-leaf stage, there was no significant difference in plant height of both XC22 and XC44 among TR4, TR6, TR6L, and TR6S patterns, which indicated before three-leaf stage the growth environment of wheat plant was similar among the four drip irrigation patterns. At three-leaf, jointing, flowering, and maturity stages, the plant height of XC44 were significantly higher than that of XC22, which indicated that the growth rate of XC44 was higher than XC22, which may be caused by the difference in grain weight between XC22 and XC44. Under TR4 pattern, at three-leaf, jointing, flowering, and maturity stages, the plant height in R1 of both XC22 and XC44 showed no significant difference from R2, which indicated that under one tube serving four rows of wheat pattern the growth environment in R1 was similar to R2 throughout whole growth period. After increasing the number of wheat rows serving by one drip irrigation tube to six (TR6), at jointing, flowering, and maturity stages, the plant height of XC22 and XC44 were decreased by 2.54%, 7.33%, 7.61%, 1.62%, 1.71%, and 2.33%, respectively, and compared with R1, the plant height in R3 were significantly decreased by 4.59%, 15.86%, 15.46%, 3.18%, 4.71%, and 5.24%, respectively, the decrease of XC22 was higher than that of XC44, which indicated that XC44 has a better adaptability to the growth environment than XC22, both XC22 and XC44 showed the largest decrease of plant height at flowering stage, which indicated that water and fertilizer management should be strengthened from jointing to flowering stage. After the TR6 pattern was processed to narrow wheat row spacing and add inter-block (TR6L and TR6S), at jointing, flowering, and maturity stages the plant height in R3 of both XC22 and XC44 were significantly higher than that of TR6R3, while at flowering and maturity stages the plant height in R1 were significantly lower than that of TR6R1, which indicated that TR6L and TR6S patterns could improve the growth environment of R3, while also cause deterioration of the growth environment of R1, which may be related to the decrease of ventilation and light transmission caused by the narrowing of wheat row spacing.

Figure 4.
Changes in plant height with growing development of two varieties (XC22 and XC44) under different treatments in 2021 and 2022. Note: TR4, TR6, TR6L, and TR6S indicate one tube serving four rows of wheat drip irrigation pattern (drip lateral spacing (DLS) = 60 cm, wheat row spacing (WRS) = 15 cm), normal one tube serving six rows of wheat drip irrigation pattern (DLS = 90 cm, WRS = 15 cm), large one tube serving six rows of wheat drip irrigation pattern (DLS = 90 cm, WRS = 10 cm), and one short tube serving six rows of wheat drip irrigation pattern (DLS = 80 cm, WRS = 10 cm), respectively. R1, R2, and R3 refer to the 1st, 2nd, and 3rd rows adjacent to the drip tube, respectively. Bars indicate SD (n = 3). The same letters within each panel imply no statistically significant differences (p < 0.05).
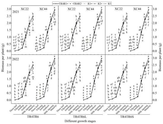
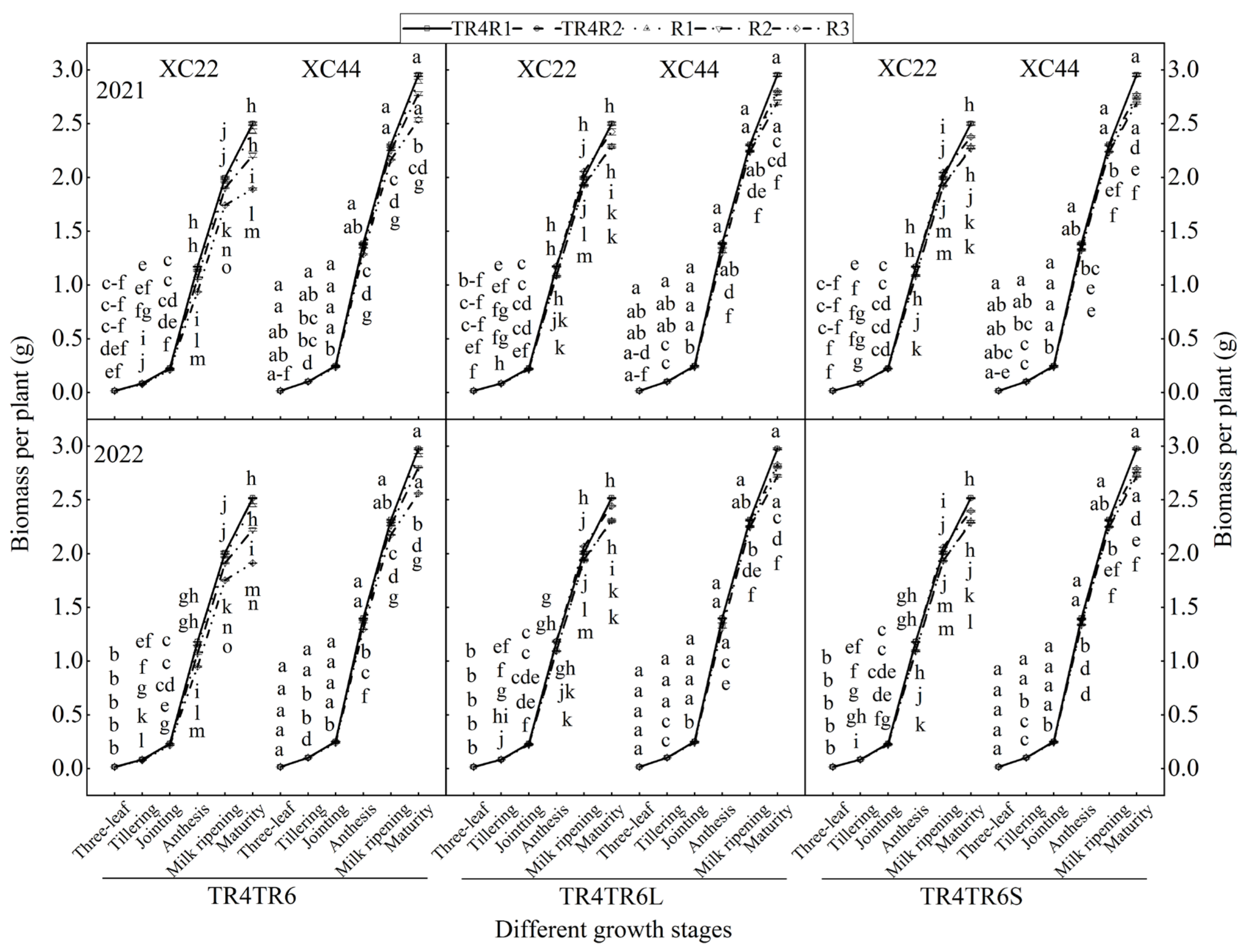
3.4. Biomass Accumulation
With growing development, the biomass of both XC22 and XC44 showed a trend to increase under TR4, TR6, TR6L, and TR6S patterns, and the increase was slow in the early stage and sharp in the middle and later stage (Figure 5). At the three-leaf stage, there was no significant difference in biomass of both XC22 and XC44 among TR4, TR6, TR6L, and TR6S patterns, which may be due to the fact that nutrients required for wheat plant growth before the three-leaf stage mainly come from the endosperm, the biomass of XC44 was significantly higher than that of XC22, which may be due to the fact that the grain-size (grain weight) of XC44 was larger than that of XC22. Under TR4 pattern, at three-leaf, tillering, jointing, flowering, milk-ripening, and maturity stages, the biomass in R1 of both XC22 and XC44 showed no significant difference from R2, which indicated that the distribution of water and fertilizer between R1 and R2 was uniform under one tube serving four rows of wheat pattern. After increasing the number of wheat rows serving by one drip irrigation tube to six (TR6), at tillering, jointing, flowering, milk-ripening and maturity stages the biomass of XC22 and XC44 were decreased by 5.00%, 3.78%, 10.66%, 6.44%, 12.97%, 1.01%, 2.34%, 3.66%, 3.15%, and 7.38%, respectively, the decrease of XC22 were all higher than that of XC44, indicating that the growth of XC22 was more susceptible to changes in drip irrigation pattern. At flowering and maturity stages, the biomass of both XC22 and XC44 showed a greater decrease, which indicated that the water and fertilizer management at booting and late grain filling stages should be strengthened. From flowering stage the biomass in TR6R1 of both XC22 and XC44 were significantly lower than that in TR4R1 and TR4R2, which may be related to the migration of fertilizers with water to outer rows. After the TR6 pattern was processed to narrow wheat row spacing and add inter-block (TR6L and TR6S), at tillering, jointing, flowering, milk-ripening, and maturity stages the biomass in R3 of both XC22 and XC44 were significantly higher than that of TR6R3, while at flowering, milk-ripening, and maturity stages the biomass in R1 were significantly lower than that of TR6R1, these indicated that TR6L and TR6S patterns (narrowing wheat row spacing from 15 cm to 10 cm and adding 25 cm and 35 cm inter-block) could improve the growth environment in R3, but at the same time, the narrowed row spacing would deteriorate the growth environment in R1. It is worth noting that at tillering, jointing, and flowering stages, the biomass in TR6LR3 and TR6SR3 of both XC22 and XC44 showed no significant difference from TR4R1 and TR4R2, while at maturity stage were significantly lower than that of TR4R1 and TR4R2, indicating that the water and fertilizer management in the later growth stage under TR6L and TR6S patterns should be strengthened.

Figure 5.
Changes in biomass with growing development of two varieties (XC22 and XC44) under different treatments in 2021 and 2022. Note: TR4, TR6, TR6L, and TR6S indicate one tube serving four rows of wheat drip irrigation pattern (drip lateral spacing (DLS) = 60 cm, wheat row spacing (WRS) = 15 cm), normal one tube serving six rows of wheat drip irrigation pattern (DLS = 90 cm, WRS = 15 cm), large one tube serving six rows of wheat drip irrigation pattern (DLS = 90 cm, WRS = 10 cm), and one short tube serving six rows of wheat drip irrigation pattern (DLS = 80 cm, WRS = 10 cm), respectively. R1, R2, and R3 refer to the 1st, 2nd, and 3rd rows adjacent to the drip tube, respectively. Bars indicate SD (n = 3). The same letters within each panel imply no statistically significant differences (p < 0.05).
3.5. Plant Height Component
Under TR4, TR6, TR6L, and TR6S patterns, at maturity stage the plant height, FIRL, SECL, THIL, FOUL, and FIFL of XC44 were significantly higher than that of XC22, while the FIFL were significantly lower than that of XC22 (Figure 6), which indicated that there were differences in plant height and composition between XC22 and XC44, and the shorter FIFL of XC44 may be the reason for the higher plant height without lodging. Under TR4 pattern, the FIRL, SECL, THIL, FOUL, FIFL, and PL in R1 of both XC22 and XC44 showed no significant difference from that in R2, which indicated that the plant growth of R1 was similar to R2 under one drip tube serving four rows of wheat pattern. After increasing the number of wheat rows served by one drip irrigation tube to six (TR6), the FIRL, SECL, THIL, FOUL, and FIFL of both XC22 and XC44 showed R1 > R2 > R3, and the difference was significant, the PL of XC22 was similar to XC44, which may be related to the prioritizing reproductive organ growth. Compared with R1, the FIFL, FOUL, THIL, SECL, and FIRL in R3 of XC22 and XC44 were significantly decreased by 15.47%, 15.46%, 15.47%, 15.46%, 19.02%, 5.33%, 5.23%, 5.24%, 5.25%, and 6.09%, respectively, which indicated that the inter-nod elongation of R3 was inhibited starting from the jointing stage, and the degree of inhibition increased with growth process. After the TR6 pattern was processed to narrow wheat row spacing and add inter-block (TR6L and TR6S), the FIFL, FOUL, THIL, SECL, and FIRL in R3 of both XC22 and XC44 were significantly higher than that of TR6R3, while R1 were significantly lower than that of TR6R1, indicating that TR6L and TR6S patterns could promote the plant height elongation of R3, but at the same time, may inhibit the plant height elongation of R1, therefore, TR6L and TR6S patterns should be further optimized by improving the ventilation and light transmission of R1.

Figure 6.
Changes in plant height component of two varieties (XC22 and XC44) under different treatments in 2021 and 2022. Note: TR4, TR6, TR6L, and TR6S indicate one tube serving four rows of wheat drip irrigation pattern (drip lateral spacing (DLS) = 60 cm, wheat row spacing (WRS) = 15 cm), normal one tube serving six rows of wheat drip irrigation pattern (DLS = 90 cm, WRS = 15 cm), large one tube serving six rows of wheat drip irrigation pattern (DLS = 90 cm, WRS = 10 cm) and one short tube serving six rows of wheat drip irrigation pattern (DLS = 80 cm, WRS = 10 cm), respectively. FIFL, FOUL, THIL, SECL, and FIRL indicate the length of fifth, fourth, third, second, first inter-node from the top; PL indicate panicle length. R1, R2, and R3 refer to the 1st, 2nd, and 3rd rows adjacent to the drip tube, respectively. Bars indicate SD (n = 3). The same letters within each panel imply no statistically significant differences (p < 0.05).
3.6. Photo-Synthetically Active Radiation (PAR) Interception
Under TR4, TR6, TR6L, and TR6S patterns, the canopy and bottom PAR interception of XC44 were significantly higher than that of XC22 (Figure 7), indicating that the photo-synthetically active radiation interception ability of XC44 was better than that of XC22, which may be caused by plant architectural differences. Under TR4 pattern, the canopy and bottom PAR interception in R1 of both XC22 and XC44 showed no significant difference from R2, indicating that the population structure of R1 was similar to R2. After increasing the number of wheat rows serving by one drip irrigation tube to six (TR6), the canopy and bottom PAR interception of XC22 and XC44 were decreased by 4.86%, 8.26%, 5.27%, and 8.83%, respectively. The canopy and bottom PAR interception of both XC22 and XC44 showed R1 > R2 > R3, and the difference was significant, which indicated that there was a difference in the PAR interception among R1, R2, and R3, with inter rows being higher than outer rows. The canopy and bottom PAR interception in R3 of XC44 (which were decreased by 13.15% and 16.75% compared with R1) had a grater decrease than that of XC22 (6.91% and 13.08%), while the canopy and bottom PAR interception were significantly higher than that of XC22, these may be caused by the better PAR interception ability of XC44 compared to XC22. Both XC22 and XC44 showed a greater decrease in bottom than in canopy, which may be caused by the early aging in bottom leaves. After the TR6 pattern was processed to narrow wheat row spacing and add inter-block (TR6L and TR6S), the canopy and bottom PAR interception in R3 of both XC22 and XC44 were significantly higher than that in R1 and R2, and, compared with TR6R3, the canopy and bottom PAR interception in R3 were significantly increased by 9.53%, 17.60%, 10.43%, 16.73%, 12.21%, 19.23%, 10.15%, and 16.89%, respectively, which indicated that TR6L and TR6S patterns could improve the wheat plant PAR interception of R3. The canopy and bottom PAR interception in R1 of both XC22 and XC44 were significantly lower than that of TR6R1, which indicated that TR6L and TR6S patterns would reduce the PAR interception of R1. Both XC22 and XC44 showed that the canopy and bottom PAR interception of R2 under TR6S were significantly lower than that under TR6 and TR6L, which may be related to the decrease of planting density under TR6S caused by the decrease of average wheat row spacing.

Figure 7.
Changes in photosynthetically active radiation (PAR) interception of two varieties (XC22 and XC44) under different treatments in 2021 and 2022. Note: TR4, TR6, TR6L, and TR6S indicate one tube serving four rows of wheat drip irrigation pattern (drip lateral spacing (DLS) = 60 cm, wheat row spacing (WRS) = 15 cm), normal one tube serving six rows of wheat drip irrigation pattern (DLS = 90 cm, WRS = 15 cm), large one tube serving six rows of wheat drip irrigation pattern (DLS = 90 cm, WRS = 10 cm) and one short tube serving six rows of wheat drip irrigation pattern (DLS = 80 cm, WRS = 10 cm), respectively. R1, R2, and R3 refer to the 1st, 2nd, and 3rd rows adjacent to the drip tube, respectively. Bars indicate SD (n = 3). The same letters within each panel imply no statistically significant differences (p < 0.05).
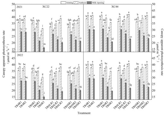
3.7. Canopy Apparent Photosynthesis
With growing development, the CAP of both XC22 and XC44 showed a trend to increase first and then decrease under TR4, TR6, TR6L, and TR6S patterns (Figure 8). Under TR4 pattern, at jointing, flowering and milk-ripening stages the CAP in R1 of both XC22 and XC44 showed no significant difference from R2, the CAP of XC44 were significantly higher than that of XC22, which indicated that R1 and R2 had similar population photosynthetic carbon assimilation ability under one drip tube serving four rows of wheat pattern, and XC44 was better than XC22. After increasing the number of wheat rows serving by one drip irrigation tube to six (TR6), at jointing, flowering, and milk-ripening stages, the CAP of XC22 and XC44 were decreased by 12.62%, 10.50%, 22.59%, 10.74%, 6.18%, and 16.83%, respectively, the decrease of XC44 were lower than that of XC22. The CAP of both XC22 and XC44 showed R1 > R2 > R3, and the differences were significant, compared with R1, the CAP in R3 of XC22 and XC44 were significantly decreased by 24.65%, 17.05%, 42.14%, 22.85%, 14.02%, and 32.27%, respectively; these indicated the CAP of XC22 and XC44 were inhibited under TR6 pattern, especially in R3, the degree of inhibition increased with growing development, and the inhibition of XC44 was consistently lower than that of XC22. After the TR6 pattern was processed to narrow wheat row spacing and add inter-block (TR6L and TR6S) at jointing, flowering, and milk-ripening stages, the CAP in R3 of XC22 and XC44 were significantly increased by 34.79%, 25.21%, 24.60%, 35.41%, 17.50%, 10.82%, 33.73%, 25.16%, 30.59%, 31.05%, 15.89%, and 12.87%, respectively, while the CAP in R1 were significantly lower than that in TR6R1, which indicated that TR6L and TR6S patterns could improve population photosynthetic carbon assimilation ability of R3, while at the same time, narrowing the row spacing may deteriorate growth environment of R1.

Figure 8.
Changes in canopy apparent photosynthesis with growing development of two varieties (XC22 and XC44) under different treatments in 2021 and 2022. Note: TR4, TR6, TR6L, and TR6S indicate one tube serving four rows of wheat drip irrigation pattern (drip lateral spacing (DLS) = 60 cm, wheat row spacing (WRS) = 15 cm), normal one tube serving six rows of wheat drip irrigation pattern (DLS = 90 cm, WRS = 15 cm), large one tube serving six rows of wheat drip irrigation pattern (DLS = 90 cm, WRS = 10 cm) and one short tube serving six rows of wheat drip irrigation pattern (DLS = 80 cm, WRS = 10 cm), respectively. R1, R2, and R3 refer to the 1st, 2nd, and 3rd rows adjacent to the drip tube, respectively. Bars indicate SD (n = 3). The same letters within each panel imply no statistically significant differences (p < 0.05).
4. Discussion
4.1. Effects of Different Drip Irrigation Patterns on Wheat Yield and Population Quality
High quality population structure is the foundation for achieving high and stable yields of wheat [], and the formation of population structure is determined by the ecological environment, varieties, and cultivation management measures [,]. Row spacing configuration is an important cultivation management method in crops production [,]. Different row spacing should be selected for different ecological environment conditions and variety characteristics in wheat production [,]. In this study, it was found that under the planting conditions with equal wheat row spacing of 15 cm, the yield under TR4 of XC22 and XC44 were 7373.67 and 7883.47 kg ha−2 (the WUE were 1.64 and 1.75 kg m−3), at flowering stage the LAI were 6.82 and 6.67. After increasing the number of wheat rows serving by one drip tube from four to six (TR6), the yield of XC22 and XC44 were 6548.46 and 7203.07 kgha−2 (the WUE were 1.46 and 1.60 kg m−3), which was consistent with previous research suggesting that as the spacing between drip tubes increases, wheat yield significantly decreases [,]. The LAI were 5.63 and 6.28, the decrease in yield and LAI of XC22 (11.19% and 17.53%) were significantly higher than that of XC44 (8.63% and 5.94%), which indicated that the ability of XC44 to adapt the changes in drip irrigation pattern was better than XC22, and the reduction of yield was closely related to the decline of LAI, which was consistent with previous research results [,]. In drip irrigation systems, the water in the soil continuously spreads towards the surrounding area under the action of gravity and capillary force [], as fertilizers are applied with water, the soil water and fertilizer content significantly vary with the water supply distance [,]. The horizontal distance of water supply for one drip tube is related to the dripping amount and soil texture. When applying drip irrigation systems to wheat production, the required horizontal distance of water supply for one drip tube is related to the number of wheat rows and wheat row spacing [,]. Appropriately narrowing wheat row spacing could reduce the water supply distance of drip tube, shorten irrigation cycle, and effectively reduce the difference in water and fertilizer between wheat rows [,]. In addition, some studies suggest that planting wheat in wide-narrow rows could improve the growth space of plant, increase ventilation and light transmission of plant populations, and fully utilize the marginal advantage, which was beneficial for improving yield [,,]. In this study, it was found that under the condition of the same drip lateral spacing, after TR6 pattern was processed to narrow wheat row spacing from 15 cm to 10 cm (TR6L), the yields in R1, R2 and R3 of XC22 and XC44 were 1977.09, 2187.69, 2331.74, 2422.72, 2380.13, and 2531.56 kg ha−2, respectively, which was consistent with previous research suggesting that wide-narrow planting pattern can significantly increase the yield of border row []. The LAI were 2.08, 1.86, 2.30, 2.13, 1.85, and 2.33, respectively. Compared with TR6, the yield and LAI in R1 of XC22 and XC44 were significantly decreased by 17.49%, 5.10%, 3.97%, and 6.38%, respectively, the decline in LAI of XC 22 was lower than that of XC44, while the decrease in yield was higher than that of XC44. In addition, the HI, GNLR, and GWLR in R1 of XC22 were lower than that of TR6, while those of XC44 were higher than that of TR6, these indicated that the yield decrease in R1 of XC44 was smaller than that of XC22, which was related to the distribution ratio of nutrients to vegetative and reproductive organ, maybe the distribution of nutrients to the reproductive organ of XC44 was greater than that of the vegetative organ, thus we speculated that wheat varieties like XC44 (higher GNLR and GWLR) may be more suitable for narrow wheat row spacing. From the yield, LAI, HI, GNLR, and GWLR of R3, compared with TR6R3 the yield and LAI of XC22 and XC44 were significantly increased by 20.07%, 18.43%, 51.93%, and 25.82%, respectively, the GNLR and GWLR were significantly lower than that of TR6R3, which indicated that the inter-block near R3 could promote the growth of “source organ” and improve the relation of source-sink at early and middle growing stage, resulting in a significant increase in the yield of R3, these were consistent with the results of previous studies that varieties with higher LAI and population quality had stronger dry matter production capacity and higher yield [,,]. After reducing drip lateral spacing by 10 cm of the TR6L pattern (TR6S), the yields in R1, R2, and R3 of both XC22 and XC44 were significantly higher than that of TR6L, while the LAI (except R3 of XC22), GNLR, and GWLR showed no significant difference from TR6L, which indicated that the marginal advantage brought by 25 cm inter-block was sufficient to promote the construction of high-quality population, and the higher yield under TR6S of both XC22 and XC44 may be related to saving 10 cm of land. It should be noted that the yield in R1 of both XC22 and XC44 under TR6S pattern were lower than that of TR6R1, which may be caused by insufficient ventilation and light transmission of R1 due to the narrowed row spacing. For both of XC22 and XC44, the HI of TR6S pattern were significantly lower than that of TR6L, which may be related to the increase of tiller panicle caused by insufficient planting density per row (due to an increase in the number of rows per unit area). Therefore, we recommend continuing to optimize the TR6S pattern by improving ventilation and light transmission of R1 (slope drip irrigation, as shown in Figure S2) and increasing single row sowing density.
4.2. Effect of Drip Irrigation Patterns on Wheat Population Structure and Canopy Apparent Photosynthesis
In the practice of wheat cultivation, mastering the growth status of wheat plants at various growth stages and using cultivation techniques to create an appropriate population structure is of great significance for wheat to fully utilize natural resources such as light energy and soil fertility [,,]. Whether the wheat population structure is reasonable should be analyzed from the aspects of population size, distribution, growth, and dynamic changes []. In this study, it was found that under the planting conditions with equal wheat row spacing of 15 cm at the three-leaf stage, the number of stems under TR4 and TR6 patterns showed no significant difference between XC22 and XC44, while the plant height and biomass of XC44 were higher than that of XC22, indicating that the growth rate of XC44 was higher than that of XC22, which may be caused by the higher grain weight (nutrients in the endosperm) of XC44. At the maturity stage, the stems number of XC22 were significantly higher than that of XC44, while the plant height and biomass were significantly lower than that of XC44, which was consistent with previous research suggesting that the yield of XC22 was more dependent on number of panicles, while XC44 was more relied on GWP []. From the dynamic changes of tillers number, plant height, and biomass at jointing, flowering, and maturity stages, under TR4 pattern, the tillers number at flowering of XC22 and XC44 were lower than that at jointing by 6.15% and 72.30%, while the plant height and biomass increased by 89.58%, 107.88%, 419.93%, and 460.15%, respectively. The tillers number at maturity were lower than that at flowering by 3.75% and 21.95%, while the plant height and dry matter increased by 1.62%, 1.72%, 113.86%, and 113.22%, respectively. After increasing the number of wheat rows serving by one drip tube from four to six (TR6), the tillers number at flowering of XC22 and XC44 were lower than that at jointing by 35.91% and 70.10%, while the plant height and biomass increased by 80.27%, 107.67%, 382.77%, and 452.53%, respectively. The tillers number at maturity were lower than that at flowering by 9.51% and 11.21%, while the plant height and dry matter increased by 1.32%, 1.08%, 108.32%, and 105.00%, respectively. Compared with TR4, the decrease in tillers number of XC22 and XC44 increased under TR6, and the increase of plant height and biomass decreased, which indicated that TR6 pattern significantly inhibit plant tillering, plant height, and biomass accumulation, causing a deterioration in population structure; this may be the direct reason why TR6 had a lower yield than TR4. The tiller panicles of XC22 were higher than that of XC44, while the plant height and biomass were lower than that of XC44, which indicated that XC22 and XC44 may have different yield strategies. The nutrients of XC22 were prioritized for the lateral development of the population (increase the number of tillers), while XC44 were prioritized for the vertical development (increase the plant height and biomass); both XC22 and XC44 could achieve high yield under suitable growth conditions, when the growth environment deteriorated, the death of tillers (which was a qualitative change) caused a waste of nutrients used for tiller growth in the early stage; therefore, the yield of XC22 was more demanding to the growth environment than XC44, thus we speculate that wheat varieties like XC44 (higher GWP and lower tiller) may be more suitable for enlarging lateral spacing drip irrigation system. The dynamics of biomass, plant height, PAR interception, and CAP in wheat populations were important aspects of high-yield population regulation, and these vary significantly in different wheat row spacing configurations [,,]. Therefore, studying the changes in biomass, plant height, PAR interception, and CAP between rows under different drip irrigation patterns is of great significance for optimizing the wheat population structure under drip irrigation system and achieving high yield. In this study, it was found that after TR6 pattern was processed to narrow wheat row spacing from 15 cm to 10 cm under the condition of the same drip tube lateral spacing (TR6L) and under the condition of shortening drip tube lateral spacing by 10 cm (TR6S), at jointing, flowering, and maturity stages the tillers number, plant height, biomass, PAR interception, and CAP in R3 of both XC22 and XC44 were significantly higher than that of TR6R3, and the tillers number, plant height, biomass, PAR interception, and CAP in R3 of TR6L showed no significant difference from TR6S or were slightly higher than TR6S, which indicated that when TR6 pattern was processed to narrow wheat row spacing and add 35 cm and 25 cm inter-block, it could significantly improve the population structure of XC22 and XC44 and promote the growth of R3 plants, and the improvement effect of inter-block in 35 cm was similar to that in 25 cm, which was consistent with previous research suggesting that wide-narrow planting pattern can promote the growth of border row plants [,]. At the three-leaf stage, the number of stems under TR6S of both XC22 and XC44 were significantly lower than that of TR4, TR6, and TR6L, which may be related to the insufficient planting density caused by the increase of wheat rows per unit area (sowing amount remained unchanged); therefore, we believed that TR6S pattern had significant yield and ecological potential after increasing sowing density. It should be noted that at milk-ripening stage, the CAP in R3 of both XC22 and XC44 under TR6S pattern were significantly lower than that of R1, TR4R1, and TR4R2, which may be related to the unsuitable growth environments caused by the increase of temperature at later growth stage (the increase of soil water evaporation caused by inter-block). Therefore, we recommended continuing to optimize the TR6S pattern by adjusting irrigation and fertilization strategies (timing and amount) to well fit the water demand of different rows of plants.
5. Conclusions
Under one drip tube serving four rows of wheat pattern (TR4), the yield, plant height, biomass, PAR interception, and CAP of XC44 were significantly higher than that of XC22. After increasing the number of wheat rows served by one drip tube from four (TR4) to six (TR6), the yields of both XC22 and XC44 decreased significantly, and the decrease of XC22 was higher than that of XC44. The main reason for the decrease in the yield was the restriction of wheat growth in R3. After TR6 pattern was processed to narrow wheat row spacing from 15 cm to 10 cm under the condition of the same drip tube lateral spacing (TR6L) and under the condition of shortening drip tube lateral spacing by 10 cm (TR6S), the stems number, plant height, LAI, PAR interception, and CAP of R3 were significantly improved. The yield under TR6S pattern of both XC22 and XC44 were closest to TR4 and were significantly higher than that of TR6 and TR6L, and after optimization, TR6S pattern could be attempted for field production experiments. Based on the results of this study, we recommended continuing to optimize the TR6S pattern by adopting slope planting methods to improve ventilation and light transmission of R1, increasing sowing density to increase the population quantity of R1, R2, and R3.
Supplementary Materials
The following supporting information can be downloaded at https://www.mdpi.com/article/10.3390/agronomy13123018/s1, Figure S1: Photos of plant growth in the field; Figure S2: Schematic diagram of slope drip irrigation pattern.
Author Contributions
W.L. and Z.L. designed the experiments and provided the spring wheat resources. J.J., F.Q. and X.C. performed the experiments. J.J. performed the data analysis. J.J. finished the writing of the manuscript. All authors have read and agreed to the published version of the manuscript.
Funding
This research was funded by the Fund for the key project of Xinjiang Regional Joint Fund of National Natural Science Foundation of China (U1803235).
Institutional Review Board Statement
Not applicable.
Informed Consent Statement
Not applicable.
Data Availability Statement
The data presented in the study are deposited in Figshare, https://doi.org/10.6084/m9.figshare.24160008 (accessed on 19 September 2023).
Acknowledgments
We are grateful to Suyan Guo from Shihezi University for help in manuscript writing. We would also like to thank the reviewers for helping us improve our original manuscript.
Conflicts of Interest
The authors declare that they have no known competing financial interests or personal relationships that could have appeared to influence the work reported in this paper.
References
- Liu, X.; Yang, L.H.; Zhou, X.Y.; Zhou, M.P.; Lu, Y.; Ma, L.J.; Ma, H.X.; Zhang, Z.Y. Transgenic wheat expressing Thinopyrum intermedium MYB transcription factor TiMYB2R-1 shows enhanced resistance to the take-all disease. J. Exp. Bot. 2013, 64, 2243–2253. [Google Scholar] [CrossRef] [PubMed]
- Li, J.C.; Zhang, J.; Li, H.J.; Niu, H.; Xu, Q.Q.; Jiao, Z.X.; An, J.H.; Jiang, Y.M.; Li, Q.Y.; Niu, J.S. The major factors causing the microspore abortion of genic male sterile mutant NWMS1 in wheat (Triticum aestivum L.). Int. J. Mol. Sci. 2019, 20, 6252. [Google Scholar] [CrossRef]
- Poursarebani, N.; Nussbaumer, T.; Simkova, H.; Safar, J.; Witsenboer, H.; Van Oeveren, J.; Dolezel, J.; Mayer, K.F.X.; Stein, N.; Schnurbusch, T. Whole-genome profiling and shotgun sequencing delivers an anchored, gene-decorated, physical map assembly of bread wheat chromosome 6A. Plant J. 2014, 79, 334–347. [Google Scholar] [CrossRef] [PubMed]
- Paux, E.; Sourdille, P.; Salse, J.; Saintenac, C.; Choulet, F.; Leroy, P.; Korol, A.; Michalak, M.; Kianian, S.; Spielmeyer, W. A physical map of the 1-gigabase bread wheat Chromosome 3B. Science 2008, 322, 101–104. [Google Scholar] [CrossRef] [PubMed]
- Wang, Y.; Yang, X.D.; Ali, A.; Lv, G.H.; Long, Y.X.; Wang, Y.Y.; Ma, Y.G.; Xu, C.C. Flowering phenology shifts in response to functional traits, growth form, and phylogeny of woody species in a desert area. Front. Plant Sci. 2020, 11, 536. [Google Scholar] [CrossRef] [PubMed]
- Liu, J.L.; Qu, Q.; Xuekelati, S.; Bai, X.; Wang, L.; Xiang, H.; Wang, H.M. Geographic and age variations in low body mass index among community-dwelling older people in Xinjiang: A cross-sectional study. Front. Med. 2021, 8, 675931. [Google Scholar] [CrossRef]
- Ma, X.; Jacoby, P.W.; Sanguinet, K.A. Improving net photosynthetic rate and rooting depth of grapevines through a novel irrigation strategy in a semi-arid climate. Front. Plant Sci. 2020, 11, 575303. [Google Scholar] [CrossRef]
- Ward, F.A.; Pulido-Velazquez, M. Water conservation in irrigation can increase water use. Proc. Natl. Acad. Sci. USA 2008, 105, 18215–18220. [Google Scholar] [CrossRef]
- Chen, R.; Cheng, W.H.; Cui, J.; Liao, J.; Fan, H.; Zheng, Z.; Yu, M.F. Lateral spacing in drip-irrigated wheat: The effects on soil moisture, yield, and water use efficiency. Field Crops Res. 2015, 179, 52–62. [Google Scholar] [CrossRef]
- Lv, Z.Y.; Diao, M.; Li, W.H.; Cai, J.; Zhou, Q.; Wang, X.; Dai, T.B.; Cao, W.X.; Jiang, D. Impacts of lateral spacing on the spatial variations in water use and grain yield of spring wheat plants within different rows in the drip irrigation system. Agric. Water Manag. 2019, 212, 252–261. [Google Scholar] [CrossRef]
- Wan, W.L.; Zhao, Y.H.; Wang, Z.J.; Li, L.L.; Jing, J.G.; Lv, Z.Y.; Diao, M.; Li, W.H.; Jiang, G.Y.; Wang, X.; et al. Mitigation fluctuations of inter-row water use efficiency of spring wheat via narrowing row space in enlarged lateral space drip irrigation systems. Agric. Water Manag. 2022, 274, 107958. [Google Scholar] [CrossRef]
- Wan, W.L.; Li, L.L.; Jing, J.G.; Diao, M.; Lv, Z.Y.; Li, W.H.; Wang, J.L.; Li, Z.F.; Wang, X.; Jiang, D. Narrowing row space improves productivity and profit of enlarged lateral space drip irrigated spring wheat system in Xinjiang, China. Field Crops Res. 2022, 280, 108474. [Google Scholar] [CrossRef]
- Xu, Z.; Yu, Z.; Zhao, J. Theory and application for the promotion of wheat production in China: Past, present and future. J. Sci. Food Agric. 2013, 93, 2339–2350. [Google Scholar] [CrossRef] [PubMed]
- Meng, Q.F.; Yue, S.C.; Chen, X.P.; Cui, Z.L.; Ye, Y.L.; Ma, W. Understanding dry matter and nitrogen accumulation with time-course for high-yielding wheat production in China. PLoS ONE 2013, 8, e68783. [Google Scholar] [CrossRef] [PubMed]
- Ge, Y.; Hawkesford, M.J.; Rosolem, C.A.; Mooney, S.J.; Ashton, R.W.; Evans, J.; Whalleya, W.R. Multiple abiotic stress, nitrate availability and the growth of wheat. Soil Tillage Res. 2019, 191, 171–184. [Google Scholar] [CrossRef]
- Filho, M.A.C.; Colebrook, E.H.; Lloyd, D.P.A. The involvement of gibberellin signalling in the effect of soil resistance to root penetration on leaf elongation and tiller number in wheat. Plant Soil 2013, 371, 81–94. [Google Scholar] [CrossRef]
- Lichthardt, C.; Chen, T.; Stahl, A.; Stützel, H. Co-evolution of sink and source in the recent breeding history of winter wheat in germany. Front. Plant Sci. 2019, 10, 1771. [Google Scholar] [CrossRef]
- Reynolds, M.P.; Pask, A.J.D.; Hoppitt, W.J.E.; Sonder, K.; Sukumaran, S. Strategic crossing of biomass and harvest index-source and sink-achieves genetic gains in wheat. Euphytica 2017, 213, 9. [Google Scholar] [CrossRef]
- Qin, X.L.; Zhang, F.X.; Liu, C.; Yu, H.; Cao, B.G.; Tian, S.Q.; Liao, Y.C.; Siddique, K.H.M. Wheat yield improvements in China: Past trends and future directions. Field Crops Res. 2015, 177, 117–124. [Google Scholar] [CrossRef]
- Yu, Z.W. Crop Cultivation; China Agricultural Press: Beijing, China, 2013. [Google Scholar]
- Zhang, X.Y.; Wang, S.F.; Sun, H.Y.; Chen, S.Y.; Liu, X.W. Contribution of cultivar, fertilizer and weather to yield variation of winter wheat over three decades: A case study in the North China Plain. Eur. J. Agron. 2013, 50, 52–59. [Google Scholar] [CrossRef]
- Ali, S.; Xu, Y.; Ma, X.; Ahmad, I.; Kamran, M.; Dong, Z.; Cai, T.; Jia, Q.; Ren, X.; Zhang, P.; et al. Planting patterns and deficit irrigation strategies to improve wheat production and water use efficiency under simulated rainfall conditions. Front. Plant Sci. 2017, 22, 1408. [Google Scholar] [CrossRef] [PubMed]
- Raza, M.A.; Feng, L.Y.; Werf, W.V.D.; Cai, G.R.; Khalid, M.H.B.; Iqbal, N.; Hassan, M.J.; Meraj, T.A.; Naeem, M.; Khan, I. Narrow-wide-row planting pattern increases the radiation use efficiency and seed yield of intercrop species in relay-intercropping system. Food Energy Secur. 2019, 8, e170. [Google Scholar] [CrossRef]
- Zhang, J.Y.; Sun, J.S.; Duan, A.W.; Wang, J.L.; Shen, X.J.; Liu, X.F. Effects of different planting patterns on water use and yield performance of winter wheat in the Huang-Huai-Hai plain of China. Agric. Water Manag. 2007, 92, 41–47. [Google Scholar] [CrossRef]
- Albrizio, R.; Todorovic, M.; Matic, T.; Stellacci, A.M. Comparing the interactive effects of water and nitrogen on durum wheat and barley grown in a Mediterranean environment. Field Crops Res. 2010, 115, 179–190. [Google Scholar] [CrossRef]
- Ainsworth, E.A.; Long, S.P. What have we learned from 15 years of free-air CO2 enrichment (FACE)? A meta-analytic review of the responses of photosynthesis, canopy properties and plant production to rising CO2. New Phytol. 2005, 165, 351–372. [Google Scholar] [CrossRef]
- Tian, P.; Liu, J.M.; Zhao, Y.N.; Huang, Y.F.; Lian, Y.H.; Wang, Y.; Ye, Y.L. Nitrogen rates and plant density interactions enhance radiation interception, yield, and nitrogen use efficiencies of maize. Front. Plant Sci. 2022, 13, 974714. [Google Scholar] [CrossRef]
- Gu, J.; Chen, Y.; Zhang, H.; Li, Z.K.; Yang, J.C. Canopy light and nitrogen distributions are related to grain yield and nitrogen use efficiency in rice. Field Crops Res. 2017, 206, 74–85. [Google Scholar] [CrossRef]
- Wan, W.L.; Li, L.L.; Diao, M.; Lv, Z.Y.; Li, W.H.; Wang, J.L.; Li, Z.F.; Jiang, G.Y.; Wang, X.; Jiang, D. Border effects enhance lodging resistance of spring wheat in narrowing-row-space enlarged-lateral-space drip irrigation patterns. Agric. Water Manag. 2023, 287, 108409. [Google Scholar] [CrossRef]
- Li, Q.Q.; Zhou, X.B.; Chen, Y.H.; Yu, S.L. Grain yield and quality of winter wheat in different planting patterns under deficit irrigation regimes. Plant Soil Environ. 2010, 56, 482–487. [Google Scholar] [CrossRef]
- Li, Q.Q.; Chen, Y.H.; Liu, M.Y.; Zhou, X.B.; Yu, S.L.; Dong, B.D. Effects of irrigation and planting patterns on radiation use efficiency and yield of winter wheat in North China. Agric. Water Manag. 2008, 95, 469–476. [Google Scholar] [CrossRef]
- Wang, F.H.; He, Z.H.; Sayre, K.; Li, S.D.; Si, J.S.; Feng, B.; Kong, L.G. Wheat cropping systems and technologies in China. Field Crops Res. 2009, 111, 181–188. [Google Scholar] [CrossRef]
- Hu, H.N.; Lu, C.Y.; Wang, Q.J.; Li, H.W.; Wang, X.L. Influences of wide-narrow seeding on soil properties and winter wheat yields under conservation tillage in North China Plain. Int. J. Agric. Biol. Eng. 2018, 11, 74–80. [Google Scholar] [CrossRef]
- Fischer, R.A.; Ramos, O.H.M.; Monasterio, I.O.; Sayre, K.D. Yield response to plant density, row spacing and raised beds in low latitude spring wheat with ample soil resources: An update. Field Crops Res. 2019, 232, 95–105. [Google Scholar] [CrossRef]
- Liu, T.N.; Wang, Z.L.; Cai, T. Canopy apparent photosynthetic characteristics and yield of two spike-type wheat cultivars in response to row spacing under high plant density. PLoS ONE 2016, 11, e148582. [Google Scholar] [CrossRef] [PubMed]
- Abichou, M.; Fournier, C.; Dornbusch, T.; Chambon, C.; De Solan, B.; Gouache, D.; Andrieu, B. Parameterising wheat leaf and tiller dynamics for faithful reconstruction of wheat plants by structural plant models. Field Crops Res. 2018, 218, 213–230. [Google Scholar] [CrossRef]
- Abichou, M.; De Solan, B.; Andrieu, B. Architectural response of wheat cultivars to row spacing reveals altered perception of plant density. Front. Plant Sci. 2019, 10, 999. [Google Scholar] [CrossRef] [PubMed]
- Liu, P.; Yin, B.Z.; Liu, X.J.; Gu, L.M.; Guo, J.K.; Yang, M.M.; Zhen, W.C. Optimizing plant spatial competition can change phytohormone content and promote tillering, thereby improving wheat yield. Front. Plant Sci. 2023, 14, 1147711. [Google Scholar] [CrossRef] [PubMed]
- Xiong, S.P.; Cao, W.B.; Zhang, Z.Y.; Zhang, J.; Gao, M.; Fan, Z.H.; Shen, S.J. Effects of row spacing and sowing rate on vertical distribution of photosynthetically active radiation, biomass, and grain yield in winter wheat canopy. Chin. J. Appl. Ecol. 2021, 32, 1298–1306. (In Chinese) [Google Scholar] [CrossRef]
- De Vita, P.; Colecchia, S.A.; Pecorella, I.; Saia, S. Reduced inter-row distance improves yield and competition against weeds in a semi-dwarf durum wheat variety. Eur. J. Agron. 2017, 86, 69–77. [Google Scholar] [CrossRef]
- Yang, J.P.; Lv, Z.Y.; Diao, M.; Li, W.H.; Jiang, D. Accumulation and distribution of dry matter in plants and their contribution to grain yield in drip-irrigated spring wheat. Acta Agric. Boreali-Occid. Sin. 2020, 30, 50–59. (In Chinese) [Google Scholar]
- Liu, Q.; Diao, M.; Wang, J.L.; Wang, X. Effect of nitrogen application on accumulation of dry matter and nitrogen, yield of spring wheat under drip irrigation. J. Triticeae Crops 2013, 33, 722–726. (In Chinese) [Google Scholar]
- Luo, C.S.; Guo, Z.P.; Xiao, J.X.; Dong, K.; Dong, Y. Effects of applied ratio of nitrogen on the light environment in the canopy and growth, development and yield of wheat when intercropped. Front. Plant Sci. 2021, 12, 719850. [Google Scholar] [CrossRef] [PubMed]
- Zhang, X.; Hua, Y.F.; Liu, Y.J.; He, M.R.; Ju, Z.C.; Dai, X.L. Wide belt sowing improves the grain yield of bread wheat by maintaining grain weight at the backdrop of increases in spike number. Front. Plant Sci. 2022, 13, 992772. [Google Scholar] [CrossRef] [PubMed]
- Ling, Q.H. Crop Population Quality; Shanghai Science and Technology Press: Shanghai, China, 2000. [Google Scholar]
- Li, J.M. Principles of Cultivation Techniques for Efficient Utilization of Water and Fertilizer in Winter Wheat; China Agricultural University Press: Beijing, China, 2000. [Google Scholar]
- Fischer, R.A. Definitions and determination of crop yield, yield gaps, and of rates of change. Field Crops Res. 2014, 182, 9–18. [Google Scholar] [CrossRef]
- Wang, R.N.; Sun, Z.X.; Zhang, L.Z.; Yang, N.; Werf, W.V.D. Border-row proportion determines strength of interspecific interactions and crop yields in maize/peanut strip intercropping. Field Crops Res. 2020, 253, 107819. [Google Scholar] [CrossRef]
- Okonji, C.J.; Ajayi, E.O.; Adewale, B.D.; Oikeh, S.O.; Ogundeji, A.J. Performance of upland rice as influenced by varying row ratios in rice/okra intercrop. J. Crop Improv. 2020, 34, 687–696. [Google Scholar] [CrossRef]
- Fischer, R.A.; Aguilar, M.I.; Maurer, O.R.; Rivas, A.S. Density and row spacing effects on irrigated short wheats at low latitude. J. Agric. Sci. 1976, 87, 137–147. [Google Scholar] [CrossRef]
- Stapper, M.; Fischer, R. Genotype, sowing date and plant spacing influence on high-yielding irrigated wheat in southern New South Wales. II. Growth, yield and nitrogen use. Aust. J. Agric. Res. 1990, 41, 1021–1041. [Google Scholar] [CrossRef]
- Coelho, E.F.; Or, D. Root distribution and water uptake patterns of corn under surface and subsurface drip irrigation. Plant Soil 1999, 206, 123–136. [Google Scholar] [CrossRef]
- Wang, X.Y.; Fan, X.K. Space-time distribution features of nitrogen in soil under drip irrigation condition. Water Sav. Irrig. 2016, 6, 55–58. (In Chinese) [Google Scholar]
- Chen, Y.M.; Tian, Y. The influence of nitrogen and phosphorus contents of soil and tea in tea garden under drip irrigation condition. Environ. Sci. Technol. 2012, 39, 49–52. (In Chinese) [Google Scholar] [CrossRef]
- Feng, L.; Raza, M.A.; Chen, Y.; Khalid, M.H.B.; Meraj, T.A.; Ahsan, F.; Fan, Y.; Du, J.; Wu, X.; Song, C. Narrow-wide row planting pattern improves the light environment and seed yields of intercrop species in relay intercropping system. PLoS ONE 2019, 14, e212885. [Google Scholar] [CrossRef] [PubMed]
- Yang, F.; Liao, D.; Fan, Y.; Gao, R.; Wu, X.; Rahman, T.; Yong, T.; Liu, W.; Liu, J.; Du, J. Effect of narrow-row planting patterns on crop competitive and economic advantage in maize–soybean relay strip intercropping system. Plant Prod. Sci. 2016, 20, 1–11. [Google Scholar] [CrossRef]
- Deng, J.; Harrison, M.T.; Liu, K.; Ye, J.; Xiong, X.; Fahad, S.; Huang, L.; Tian, X.; Zhang, Y. Integrated crop management practices improve grain yield and resource use efficiency of super hybrid rice. Front. Plant Sci. 2022, 13, 851562. [Google Scholar] [CrossRef] [PubMed]
- Iqbal, A.; Niu, J.; Dong, Q.; Wang, X.R.; Gui, H.P.; Zhang, H.H.; Pang, N.C.; Zhang, X.L.; Song, M.Z. Physiological characteristics of cotton subtending leaf are associated with yield in contrasting nitrogen-efficient cotton genotypes. Front. Plant Sci. 2022, 13, 525116. [Google Scholar] [CrossRef] [PubMed]
- Li, Q.; Liu, M.; Zhang, J.; Dong, B.; Bai, Q. Biomass accumulation and radiation use efficiency of winter wheat under deficit irrigation regimes. Plant Soil Environ. 2009, 55, 85–91. [Google Scholar] [CrossRef]
- Sun, H.Y.; Liu, C.M.; Zhang, X.Y.; Chen, S.Y.; Pei, D. Effects of different row spacings on soil evaporation, evapotranspiration and yield of winter wheat. Trans. Chin. Soc. Agric. Eng. 2006, 22, 22–26. (In Chinese) [Google Scholar]
Disclaimer/Publisher’s Note: The statements, opinions and data contained in all publications are solely those of the individual author(s) and contributor(s) and not of MDPI and/or the editor(s). MDPI and/or the editor(s) disclaim responsibility for any injury to people or property resulting from any ideas, methods, instructions or products referred to in the content. |
© 2023 by the authors. Licensee MDPI, Basel, Switzerland. This article is an open access article distributed under the terms and conditions of the Creative Commons Attribution (CC BY) license (https://creativecommons.org/licenses/by/4.0/).