Effects of Different Exogenous Organic Substrates on Soil Carbon and Nitrogen Mineralization and Their Priming Effects
Abstract
:1. Introduction
2. Materials and Methods
2.1. Soil Sampling, Straw, and Straw Biochar
2.2. Incubation Experiment
2.3. Sample Analysis
2.4. Statistical Analysis
3. Results
3.1. Mineralization of Soil Organic C
3.2. Mineralization of Soil N
3.3. Dynamic Changes in Soil SOC, DOC, MBC, and MBN
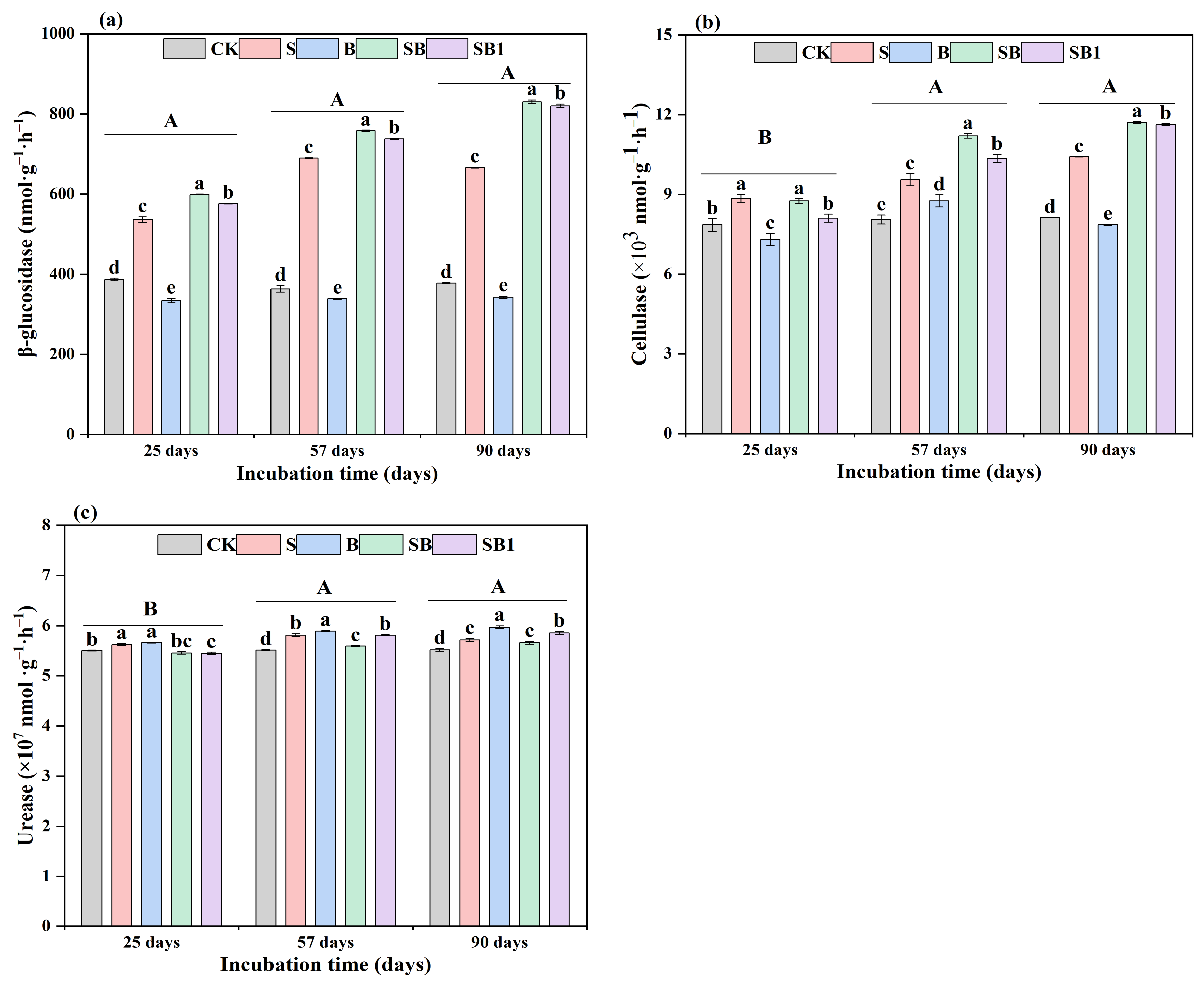
3.4. Activities of Extracellular Enzymes in Soil
3.5. The Relationship between the Mineralization Rate of Soil Organic C and N and Various Influencing Factors
4. Discussion
4.1. Effects of Exogenous Organic Matter Input on Soil C
4.2. Effects of Exogenous Organic Matter Input on Soil N
5. Conclusions
Author Contributions
Funding
Data Availability Statement
Conflicts of Interest
References
- Li, H.; Dai, M.; Dai, S.; Dong, X. Current status and environment impact of direct straw return in China’s cropland—A review. Ecotoxicol. Environ. Safe 2018, 159, 293–300. [Google Scholar] [CrossRef]
- Ma, S.; Zhang, Y.; Luo, E.; Lu, Q. Suggestions for the comprehensive utilization of bulk solid waste in the 14th Five-Year Plan under the background of carbon peaking and carbon neutrality. China Invest. 2021, 22–25. [Google Scholar]
- Qiao, Y.; Miao, S.; Zhong, X.; Zhao, H.; Pan, S. The greatest potential benefit of biochar return on bacterial community structure among three maize-straw products after eight-year field experiment in Mollisols. Appl. Soil Ecol. 2019, 147, 103432. [Google Scholar] [CrossRef]
- Chen, Y.; Fan, P.; Li, L.; Tian, H.; Pan, S. Straw Incorporation Coupled with Deep Placement of Nitrogen Fertilizer Improved Grain Yield and Nitrogen Use Efficiency in Direct-Seeded Rice. J. Soil. Sci. Plant Nut. 2020, 20, 2338–2347. [Google Scholar] [CrossRef]
- Zhang, H.E.A.F. Responses of soil organic carbon and crop yields to 33-year mineral fertilizer and straw additions under different tillage systems. Soil. Till Res. 2021, 209, 104943. [Google Scholar] [CrossRef]
- Cui, Y.F.; Meng, J.; Wang, Q.X.; Zhang, W.M.; Cheng, X.Y.; Chen, W.F. Effects of straw and biochar addition on soil nitrogen, carbon, and super rice yield in cold waterlogged paddy soils of North China. J. Integr. Agr. 2017, 16, 1064–1074. [Google Scholar] [CrossRef]
- Gabhane, J.W.; Bhange, V.P.; Patil, P.D.; Bankar, S.T.; Kumar, S. Recent trends in biochar production methods and its application as a soil health conditioner: A review. Sn Appl. Sci. 2020, 2, 1–21. [Google Scholar] [CrossRef]
- Bousdra, T.; Papadimou, S.G.; Golia, E.E. The Use of biochar in the Remediation of Pb, Cd, and Cu-Contaminated Soils. The Impact of biochar Feedstock and Preparation Conditions on Its Remediation Capacity. Land 2023, 12, 383. [Google Scholar] [CrossRef]
- Liu, J.; Jiang, B.; Shen, J.; Zhu, X.; Yi, W.; Li, Y.; Wu, J. Contrasting effects of straw and straw-derived biochar applications on soil carbon accumulation and nitrogen use efficiency in double-rice cropping systems. Agric. Ecosyst. Environ. 2021, 311, 107286. [Google Scholar] [CrossRef]
- Hu, Y.; Sun, B.; Wu, S.; Feng, H.; Gao, M.; Zhang, B.; Liu, Y. After-effects of straw and straw-derived biochar application on crop growth, yield, and soil properties in wheat (Triticum aestivum L.) -maize (Zea mays L.) rotations: A four-year field experiment. Sci. Total Environ. 2021, 780, 146560. [Google Scholar] [CrossRef]
- Zhang, Q.; Song, Y.; Wu, Z.; Yan, X.; Gunina, A.; Kuzyakov, Y.; Xiong, Z. Effects of six-year biochar amendment on soil aggregation, crop growth, and nitrogen and phosphorus use efficiencies in a rice-wheat rotation. J. Clean. Prod. 2020, 242, 118435. [Google Scholar] [CrossRef]
- Wang, H.; Ren, T.; Yang, H.; Feng, Y.; Feng, H.; Liu, G.; Yin, Q.; Shi, H. Research and Application of Biochar in Soil CO2 Emission, Fertility, and Microorganisms: A Sustainable Solution to Solve China’s Agricultural Straw Burning Problem. Sustainability 2020, 12, 1922. [Google Scholar] [CrossRef]
- Zhang, A.; Cheng, G.; Hussain, Q.; Zhang, M.; Feng, H.; Dyck, M.; Sun, B.; Zhao, Y.; Chen, H.; Chen, J. Contrasting effects of straw and straw–derived biochar application on net global warming potential in the Loess Plateau of China. Field Crop Res. 2017, 205, 45–54. [Google Scholar] [CrossRef]
- Sui, Y.; Gao, J.; Liu, C.; Zhang, W.; Lan, Y.; Li, S.; Meng, J.; Xu, Z.; Tang, L. Interactive effects of straw-derived biochar and N fertilization on soil C storage and rice productivity in rice paddies of Northeast China. Sci. Total Environ. 2016, 544, 203–210. [Google Scholar] [CrossRef] [PubMed]
- Ghorbani, M.; Amirahmadi, E.; Konvalina, P.; Moudrý, J.; Kopecký, M.; Hoang, T.N. Carbon Pool Dynamic and Soil Microbial Respiration Affected by Land Use Alteration: A Case Study in Humid Subtropical Area. Land 2023, 12, 459. [Google Scholar] [CrossRef]
- Lonardo, P.D.; Wal, A.V.D.; Boer, W.D.; Zweers, H. Effect of the amount of organic trigger compounds, nitrogen and soil microbial biomass on the magnitude of priming of soil organic matter. PLoS ONE 2019, 14, e0216730. [Google Scholar] [CrossRef]
- Lama, S.; Velescu, A.; Leimer, S.; Weigelt, A.; Chen, H.; Eisenhauer, N.; Scheu, S.; Oelmann, Y.; Wilcke, W. Plant diversity influenced gross nitrogen mineralization, microbial ammonium consumption and gross inorganic N immobilization in a grassland experiment. Oecologia 2020, 193, 731–748. [Google Scholar] [CrossRef]
- Bernard, L.; Basile-Doelsch, I.; Derrien, D.; Fanin, N.; Fontaine, S.; Guenet, B.; Karimi, B.; Marsden, C.; Maron, P.A. Advancing the mechanistic understanding of the priming effect on soil organic matter mineralisation. Funct. Ecol. 2022, 36, 1355–1377. [Google Scholar] [CrossRef]
- Zhang, M.; Dong, L.G.; Fei, S.X.; Yu, X. Responses of Soil Organic Carbon Mineralization and Microbial Communities to Leaf Litter Addition under Different Soil Layers. Forests 2021, 12, 170. [Google Scholar] [CrossRef]
- Chen, L.; Sun, S.; Zhou, Y.; Zhang, B.; Peng, Y.; Zhuo, Y.; Ai, W.; Gao, C.; Wu, B.; Liu, D.; et al. Straw and straw biochar differently affect fractions of soil organic carbon and microorganisms in farmland soil under different water regimes. Environ. Technol. Inno 2023, 32, 103412. [Google Scholar] [CrossRef]
- Hu, L.; Li, S.; Li, K.; Huang, H.; Wan, W.; Huang, Q.; Li, Q.; Li, Y.; Deng, H.; He, T. Effects of Two Types of Straw Biochar on the Mineralization of Soil Organic Carbon in Farmland. Sustainability 2020, 12, 10586. [Google Scholar] [CrossRef]
- Hagemann, N.; Joseph, S.; Schmidt, H.P.; Kammann, C.I.; Harter, J.; Borch, T.; Young, R.B.; Varga, K.; Taherymoosavi, S.; Elliott, K.W. Organic coating on biochar explains its nutrient retention and stimulation of soil fertility. Nat. Commun. 2017, 8, 1089. [Google Scholar] [CrossRef] [PubMed]
- Zhaoming, C.; Qiang, W.; Huoyan, W.; Li, B.; Jianmin, Z. Crop yields and soil organic carbon fractions as influenced by straw incorporation in a rice–wheat cropping system in southeastern China. Nutr. Cycl. Agroecosys 2018, 112, 1–13. [Google Scholar] [CrossRef]
- Zhao, F.Z.; Ren, C.J.; Zhang, L.; Han, X.H.; Wang, J. Changes in soil microbial community are linked to soil carbon fractions after afforestation. Eur. J. Soil. Sci. 2018, 69, 370–379. [Google Scholar] [CrossRef]
- Chen, W.; Meng, J.; Han, X.; Lan, Y.; Zhang, W. Past, present, and future of biochar. Biochar 2019, 1, 75–87. [Google Scholar] [CrossRef]
- Maguire, V.G.; Bordenave, C.D.; Nieva, A.S.; Llames, M.E.; Ruiz, O.A. Soil bacterial and fungal community structure of a rice monoculture and rice-pasture rotation systems. Appl. Soil. Ecol. 2020, 151, 103535. [Google Scholar] [CrossRef]
- Xiao, D.; He, X.; Wang, G.; Xu, X.; Kuzyakov, Y. Fungi Outcompete Bacteria for Straw and Soil Organic Matter Mineralization. preprint. 2020. [Google Scholar] [CrossRef]
- Yan, C.S.T.S. Decomposition characteristics of rice straw returned to the soil in northeast China. Nutr. Cycl. Agroecosys 2019, 114, 211–224. [Google Scholar] [CrossRef]
- Yu, M.; Liang, S.; Dai, Z.; Li, Y.; Xu, J. Plant material and its biochar differ in their effects on nitrogen mineralization and nitrification in a subtropical forest soil. Sci. Total Environ. 2020, 763, 143048. [Google Scholar] [CrossRef]
- Bi, Q.F.; Chen, Q.H.; Yang, X.R.; Li, H.; Zheng, B.X.; Zhou, W.W.; Liu, X.X.; Dai, P.B.; Li, K.J.; Lin, X.Y. Effects of combined application of nitrogen fertilizer and biochar on the nitrification and ammonia oxidizers in an intensive vegetable soil. Amb. Express 2017, 7, 198. [Google Scholar] [CrossRef]
- Zhao, S.; Qiu, S.; Xu, X.; Ciampitti, I.A.; Zhang, S.; He, P. Change in straw decomposition rate and soil microbial community composition after straw addition in different long-term fertilization soils. Appl. Soil. Ecol. 2019, 138, 123–133. [Google Scholar] [CrossRef]
- Chen, Y.; Du, Z.; Weng, Z.H.; Sun, K.; Zhang, Y.; Liu, Q.; Yang, Y.; Li, Y.; Wang, Z.; Luo, Y.; et al. Formation of soil organic carbon pool is regulated by the structure of dissolved organic matter and microbial carbon pump efficacy: A decadal study comparing different carbon management strategies. Glob. Change Biol. 2023, 29, 5445–5459. [Google Scholar] [CrossRef] [PubMed]
- Gaudel, G.; Poudel, M.; Mosongo, P.S.; Xing, L.; Oljira, A.M.; Zhang, Y.; Bizimana, F.; Liu, B.; Wang, Y.; Dong, W. Meta-analysis of the priming effect on native soil organic carbon in response to glucose amendment across soil depths. Plant Soil. 2022, 479, 107–124. [Google Scholar] [CrossRef]
- Qiu, Q.; Li, M.; Mgelwa, A.S.; Hu, Y.L. Divergent mineralization of exogenous organic substrates and their priming effects depending on soil types. Biol. Fert. Soils 2023, 59, 87–101. [Google Scholar] [CrossRef]
- Tan, Z.; Zou, J.; Zhang, L.; Huang, Q. Morphology, pore size distribution, and nutrient characteristics in biochars under different pyrolysis temperatures and atmospheres. J. Mater. Cycles Waste 2018, 20, 1036–1049. [Google Scholar] [CrossRef]
- Weng, Z.H.; Van Zwieten, L.; Singh, B.P.; Tavakkoli, E.; Joseph, S.; Macdonald, L.M.; Rose, T.J.; Rose, M.T.; Kimber, S.W.L.; Morris, S.; et al. Biochar built soil carbon over a decade by stabilizing rhizodeposits. Nat. Clim. Change 2017, 7, 371. [Google Scholar] [CrossRef]







| p (Values) | |||||||
|---|---|---|---|---|---|---|---|
| S | B | ST | S × B | S × ST | B × ST | S × B × ST | |
| Cumulative CO2 emission | <0.001 | <0.001 | <0.001 | <0.001 | <0.001 | <0.001 | <0.001 |
| Cumulative CPE | <0.001 | <0.001 | <0.001 | <0.001 | <0.001 | <0.001 | <0.001 |
| NH4+–N | <0.001 | ns | <0.001 | <0.001 | ns | ns | <0.001 |
| NO3−–N | <0.001 | <0.001 | <0.001 | <0.001 | <0.001 | <0.001 | <0.001 |
| Net N mineralization | <0.001 | <0.001 | <0.001 | <0.001 | <0.001 | <0.001 | <0.001 |
| Cumulative NPE | <0.001 | <0.001 | <0.001 | <0.001 | <0.001 | <0.001 | <0.001 |
| TOC | <0.05 | <0.001 | <0.001 | ns | ns | <0.01 | ns |
| DOC | <0.01 | <0.01 | <0.001 | <0.001 | <0.05 | ns | <0.001 |
| MBC | <0.001 | <0.001 | ns | ns | ns | ns | ns |
| MBN | <0.001 | <0.001 | <0.001 | <0.05 | ns | ns | ns |
| β-glucosidase | <0.001 | <0.001 | <0.001 | <0.001 | <0.001 | <0.001 | <0.001 |
| Cellulase | <0.001 | <0.01 | <0.001 | <0.001 | <0.001 | <0.001 | <0.01 |
| Urease | ns | <0.001 | <0.001 | <0.001 | ns | <0.001 | ns |
| NH4+–N | NO3−–N | TOC | DOC | MBC | MBN | β-glucosidase | Cellulase | Urease | |
|---|---|---|---|---|---|---|---|---|---|
| Cumulative CPE | 0.26 | 0.30 | 0.34 * | 0.09 | 0.32 | 0.67 ** | 0.15 | −0.20 | −0.76 ** |
| Cumulative NPE | −0.09 | 0.53 ** | 0.11 | −0.33 * | 0.16 | 0.35 * | 0.46 ** | 0.52 ** | 0.05 |
Disclaimer/Publisher’s Note: The statements, opinions and data contained in all publications are solely those of the individual author(s) and contributor(s) and not of MDPI and/or the editor(s). MDPI and/or the editor(s) disclaim responsibility for any injury to people or property resulting from any ideas, methods, instructions or products referred to in the content. |
© 2023 by the authors. Licensee MDPI, Basel, Switzerland. This article is an open access article distributed under the terms and conditions of the Creative Commons Attribution (CC BY) license (https://creativecommons.org/licenses/by/4.0/).
Share and Cite
Sun, C.; Tan, S.; Qiu, Z.; Sun, S.; Jiang, P.; Chen, L. Effects of Different Exogenous Organic Substrates on Soil Carbon and Nitrogen Mineralization and Their Priming Effects. Agronomy 2023, 13, 3017. https://doi.org/10.3390/agronomy13123017
Sun C, Tan S, Qiu Z, Sun S, Jiang P, Chen L. Effects of Different Exogenous Organic Substrates on Soil Carbon and Nitrogen Mineralization and Their Priming Effects. Agronomy. 2023; 13(12):3017. https://doi.org/10.3390/agronomy13123017
Chicago/Turabian StyleSun, Chaoran, Shaohui Tan, Zhihua Qiu, Songlin Sun, Ping Jiang, and Limei Chen. 2023. "Effects of Different Exogenous Organic Substrates on Soil Carbon and Nitrogen Mineralization and Their Priming Effects" Agronomy 13, no. 12: 3017. https://doi.org/10.3390/agronomy13123017
APA StyleSun, C., Tan, S., Qiu, Z., Sun, S., Jiang, P., & Chen, L. (2023). Effects of Different Exogenous Organic Substrates on Soil Carbon and Nitrogen Mineralization and Their Priming Effects. Agronomy, 13(12), 3017. https://doi.org/10.3390/agronomy13123017
