Responses of Soil Respiration to the Interactive Effects of Warming and Drought in Alfalfa Grassland on the Loess Plateau
Abstract
1. Introduction
2. Materials and Methods
2.1. Study Area
2.2. Experimental Design
2.3. Measurement Protocols
2.4. Soil Temperature and Moisture Measurements
2.5. Aboveground Biomass and Soil Carbon Fractions
2.6. Data Analysis
3. Results
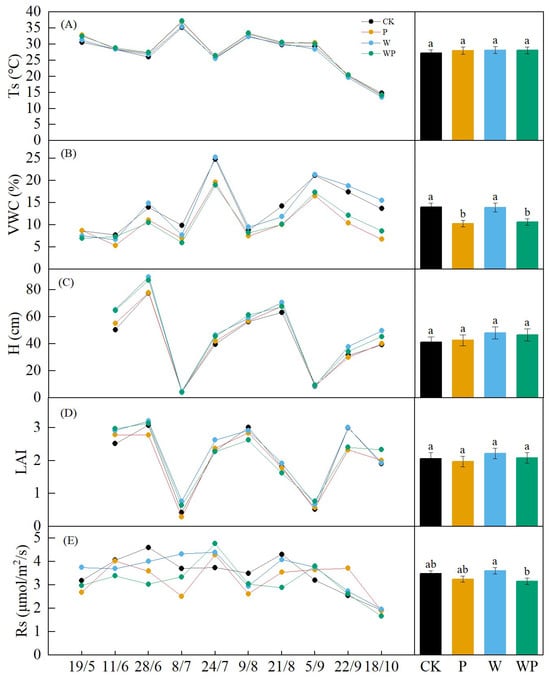
3.1. Changes in Environmental and Biomass Factors
3.2. Variation in Soil Respiration
3.3. Variation in Soil Carbon Fractions
3.4. Relationships between Soil Respiration and Environmental Factors
4. Discussion
4.1. Variation Characteristics of Soil Respiration
4.2. Effect of Warming on Soil Respiration
4.3. Effect of Drought on Soil Respiration
4.4. Interactive Effect of Warming and Drought on Soil Respiration
4.5. Responses of Soil Respiration to Environmental and Biotic Factors
5. Conclusions
Author Contributions
Funding
Data Availability Statement
Acknowledgments
Conflicts of Interest
References
- Alexander, L.; Allen, S.; Bindoff, N. Climate Change 2013: The Physical Science Basis, in Contribution of Working Group I to the Fifth Assessment Report of the Intergovernmental Panel on Climate Change; Cambridge University Press: Cambridge, UK, 2013. [Google Scholar]
- Ren, J.; Allison, I.; Carrasco, J.F. Synthesis Report. Contribution of Working Groups I, II & III to the Fourth Assessment Report of the Intergovernmental Panel on Climate Change; IPCC: Geneva, Switzerland, 2007. [Google Scholar]
- Field, C.; Barros, V.; Stocker, T. Managing the Risks of Extreme Events and Disasters to Advance Climate Change Adaptation; Cambridge University Press: Cambridge, UK, 2012. [Google Scholar]
- Meng, C.; Niu, S.; Chang, W.; Quan, Q.; Zeng, H. Effects of warming and clipping on soil respiration and its components in alpine meadow. Acta Ecol. Sin. 2020, 40, 6405–6415. [Google Scholar]
- Guo, W.; Jing, C.; Wang, G.; Hou, Z.; Zhao, W. Responses of soil respiration and ecosystem respiration to precipitation in desert steppe on the northern slope of Tianshan Mountains. Acta Agrestia Sin. 2021, 29, 2031–2039. [Google Scholar]
- Luo, Y.; Zhou, X. Soil Respiration and the Environment; Elsevier Inc.: San Diego, CA, USA, 2006; pp. 64–68. [Google Scholar]
- Melillo, J.; Steudler, P.; Aber, J.; Newkirk, K.; Lux, H.; Bowles, F.; Catricala, C.; Magill, A.; Ahrens, T.; Morrisseau, S. Soil warming and carbon-cycle feedbacks to the climate system. Science 2002, 298, 2173–2176. [Google Scholar] [CrossRef] [PubMed]
- Kuzyakov, Y. Sources of CO2 efflux from soil and review of partitioning methods. Soil Biol. Biochem. 2006, 38, 425–448. [Google Scholar] [CrossRef]
- Phillips, C.; Nickerson, N.; Risk, D.; Bond, B. Interpreting diel hysteresis between soil respiration and temperature. Glob. Change Biol. 2011, 17, 515–527. [Google Scholar] [CrossRef]
- Guan, C.; Chen, N.; Qiao, L.; Zhao, C. Photosynthesis regulates the diel hysteresis pattern between soil respiration and soil temperature in a steppe grassland. Geoderma 2022, 408, 115561. [Google Scholar] [CrossRef]
- Zhang, Z.; Zhang, L.; Xu, W.; Wang, H.; Wang, J.; Wang, W.; He, J. Several important issues of soil respiration under the background of climate warming. Acta Pratacult. Sin. 2019, 28, 164–173. [Google Scholar]
- Yang, Q.; Tian, D.; Zeng, H.; Niu, S. The main influencing factors and regulation process of soil respiration change under the background of precipitation pattern change. Chin. J. Plant Ecol. 2017, 41, 1239–1250. [Google Scholar]
- Xu, X.; Shi, Z.; Li, D.; Zhou, X.; Sherry, R.; Luo, Y. Plant community structure regulates responses of prairie soil respiration to decadal experimental warming. Glob. Change Biol. 2015, 21, 3846–3853. [Google Scholar] [CrossRef]
- Reynolds, L.; Johnson, B.; Pfeifer-Meister, L.; Bridgham, S. Soil respiration response to climate change in Pacific Northwest prairies is mediated by a regional Mediterranean climate gradient. Glob. Change Biol. 2015, 21, 487–500. [Google Scholar] [CrossRef]
- Borken, W.; Savage, K.; Davidson, E. Effects of experimental drought on soil respiration and radiocarbon efflux from a temperate forest soil. Glob. Change Biol. 2006, 12, 177–193. [Google Scholar] [CrossRef]
- Joos, O.; Heim, H.; Gilgen, A.; Schmid, M.; Siegolf, R.; Buchmann, N. Summer drought reduces total and litter-derived soil CO2 effluxes in temperate grassland-clues from a 13C litter addition experiment. Biogeosciences 2009, 6, 11005–11034. [Google Scholar]
- Savage, K.; Davidson, E. Interannual variation of soil respiration in two New England forests. Glob. Biogeochem. Cycles 2001, 15, 337–350. [Google Scholar] [CrossRef]
- Knorr, W.; Gobron, N.; Scholze, M.; Kaminski, T.; Schnur, R.; Pinty, B. Impact of terrestrial biosphere carbon exchanges on the anomalous CO2 increase in 2002–2003. Geophys. Res. Lett. 2007, 34, L09703. [Google Scholar] [CrossRef]
- Sowerby, A.; Emmett, B.; Tietema, A.; Claus, B. Contrasting effects of repeated summer drought on soil carbon efflux in hydric and mesic heathland soils. Glob. Change Biol. 2008, 14, 2388–2404. [Google Scholar] [CrossRef]
- Illeris, L.; Christensen, T.; Mastepanov, M. Moisture effects on temperature sensitivity of CO2 exchange in a subarctic heath ecosystem. Biogeochemistry 2004, 70, 317–330. [Google Scholar] [CrossRef]
- Patrick, L.; Cable, J.; Potts, D.; Ignace, D.; Barron-Gafford, G.; Griffith, A.; Alpert, H.; Van, G.; Robertson, T.; Huxman, T.; et al. Effects of an increase in summer precipitation on leaf, soil, and ecosystem fluxes of CO2 and H2O in a sotol grassland in Big Bend National Park, Texas. Oecologia 2007, 151, 704–778. [Google Scholar] [CrossRef]
- Zhang, B.; Tan, X.; Wang, S.; Chen, M.; Chen, S.; Ren, T.; Xia, J.; Bai, Y.; Han, X. Asymmetric sensitivity of ecosystem carbon and water processes in response to precipitation change in a semi-arid steppe. Funct. Ecol. 2017, 31, 1301–1311. [Google Scholar] [CrossRef]
- Zhou, X.; Zhang, Y. Seasonal pattern of soil respiration and gradual changing effects of nitrogen addition in a soil of the Gurbantunggut Desert, northwestern China. Atmos. Environ. 2014, 85, 187–194. [Google Scholar] [CrossRef]
- Niu, S.; Wu, M.; Han, Y.; Xia, J.; Li, L.; Wan, S. Water-mediated responses of ecosystem carbon fluxes to climatic change in a temperate steppe. New Phytol. 2008, 177, 209–219. [Google Scholar] [CrossRef]
- Gao, X.; Zhao, Q.; Zhao, X.; Wu, P.; Pan, W.; Gao, X.; Sun, M. Temporal and spatial evolution of the standardized precipitation evapotranspiration index (SPEI) in the Loess Plateau under climate change from 2001 to 2050. Sci. Total Environ. 2017, 595, 191–200. [Google Scholar] [CrossRef] [PubMed]
- Li, M. Assessment of Carbon Storage Status and Carbon Sequestration Potential of Ecosystem in Loess Plateau. Master’s Thesis, University of Chinese Academy of Sciences, Beijing, China, 2021. [Google Scholar]
- Wang, Y.; Deng, L.; Wu, G.; Wang, K.; Shangguan, Z. Estimates of carbon storage in grassland ecosystems on the loess plateau. Catena 2018, 164, 23–31. [Google Scholar] [CrossRef]
- Li, Z.; Yang, L.; Wang, G.; Hou, J.; Xin, B.; Liu, G.; Fu, B. The management of soil and water conservation the Loess Plateau of China: Present situations, problems, and counter-solutions. Acta Ecol. Sin. 2019, 39, 7398–7409. [Google Scholar]
- Fang, C.; Ye, J.; Gong, Y.; Pei, J.; Yuan, Z.; Xie, C.; Zhu, Y.; Yu, Y. Seasonal responses of soil respiration to warming and nitrogen addition in a semi-arid alfalfa-pasture of the Loess Plateau, China. Sci. Total Environ. 2017, 590–591, 729–738. [Google Scholar] [CrossRef] [PubMed]
- Wang, X.; Zhong, Z.; Zhu, Y.; Wang, J.; Yang, G.; Ren, C.; Han, X. Effects of Warming and Precipitation Enhancement on Soil Respiration of Abandoned Grassland in Loess Hilly Region. Environ. Sci. 2021, 43, 1657–1667. [Google Scholar]
- Deng, L. Response Mechanism of Ecosystem Carbon Sequestration to Vegetation Restoration in the Loess Plateau. Master’s Thesis, Northwest A&F University, Xianyang, China, 2014. [Google Scholar]
- Huang, Q.; Jiao, F.; Huang, Y.; Li, N.; Wang, B.; Gao, H.; An, S. Response of soil fungal community composition and functions on the alteration of precipitation in the grassland of Loess Plateau. Sci. Total Environ. 2021, 751, 142273. [Google Scholar] [CrossRef] [PubMed]
- Klein, J.; Harte, J.; Zhao, X. Experimental warming causes large and rapidspecies loss, dampened by simulated grazing, on the Tibetan Plateau. Ecol. Lett. 2004, 7, 1170–1179. [Google Scholar] [CrossRef]
- Chen, S.; Huang, Y.; Zou, J.; Shen, Q.; Hu, Z.; Qin, Y.; Chen, H.; Pan, G. Modeling interannual variability of global soil respiration from climate and soil properties. Agric. For. Meteorol. 2010, 150, 590–605. [Google Scholar] [CrossRef]
- Yu, H.; Li, Y.; Oshunsanya, S.; Are, K.; Geng, Y.; Saggar, S.; Liu, W.; Geng, Y.; Saggar, S.; Liu, W. Re-introduction of light grazing reduces soil erosion and soil respiration in a converted grassland on the Loess Plateau, China. Agric. Ecosyst. Environ. 2019, 280, 43–52. [Google Scholar] [CrossRef]
- Wang, R.; Wang, Z.; Sun, Q.; Zhao, M.; Du, L.; Wu, D.; Li, R.; Gao, X.; Guo, S. Effects of crop types and nitrogen fertilization on temperature sensitivity of soil respiration in the semi-arid Loess Plateau. Soil Tillage Res. 2016, 163, 1–9. [Google Scholar] [CrossRef]
- Verlinden, M.; Broeckx, L.; Wei, H.; Ceulemans, R. Soil CO2 efflux in a bioenergy plantation with fast-growing Populus trees—Influence of former land use, inter-row spacing and genotype. Plant Soil 2013, 369, 631–644. [Google Scholar] [CrossRef][Green Version]
- Moyes, A.; Bowling, D. Interannual variation in seasonal drivers of soil respiration in a semi-arid Rocky Mountain meadow. Biogeochemistry 2013, 113, 683–697. [Google Scholar] [CrossRef]
- Motte, L.; Mamadou, O.; Beckers, Y.; Bodson, B.; Heinesch, B.; Aubinet, M. Rotational and continuous grazing does not affect the total net ecosystem exchange of a pasture grazed by cattle but modifies CO2 exchange dynamics. Agric. Ecosyst. Environ. 2018, 253, 157–165. [Google Scholar] [CrossRef]
- Tremblay, S.; D’Orangeville, L.; Lambert, M.; Houle, D. Transplanting boreal soils to a warmer region increases soil heterotrophic respiration as well as its temperature sensitivity. Soil Biol. Biochem. 2018, 116, 203–212. [Google Scholar] [CrossRef]
- Liu, T.; Xu, Z.; Hou, Y.; Zhou, G. Effects of warming and changing precipitation rates on soil respiration over two years in a desert steppe of northern China. Plant Soil 2016, 400, 15–27. [Google Scholar] [CrossRef]
- Liu, Y.; Liu, S.; Wan, S.; Wang, J.; Luan, J.; Wang, H. Differential responses of soil respiration to soil warming and experimental throughfall reduction in a transitional oak forest in central China. Agric. For. Meteorol. 2016, 226–227, 186–198. [Google Scholar] [CrossRef]
- Escolar, C.; Maestre, F.; Rey, A. Biocrusts modulate warming and rainfall exclusion effects on soil respiration in a semi-arid grassland. Soil Biol. Biochem. 2015, 80, 9–17. [Google Scholar] [CrossRef] [PubMed]
- Sing, H. Soil carbon sequestration and rhizospheric microbial population in apricot orchards following plastic film mulching under cold arid region. Int. J. Hortic. 2013, 3, 8. [Google Scholar] [CrossRef]
- Cuello, J.; Hwang, H.; Gutierrez, J.; Kim, S.; Kim, P. Impact of plastic film mulching on increasing greenhouse gas emissions in temperate upland soil during maize cultivation. Appl. Soil Ecol. 2015, 91, 48–57. [Google Scholar] [CrossRef]
- Zhou, L.; Zhou, X.; Shao, J.; Nie, Y.; He, Y.; Jiang, L.; Wu, Z.; Bai, S. Interactive effects of global change factors on soil respiration and its components: A meta-analysis. Glob. Change Biol. 2016, 22, 3157–3169. [Google Scholar] [CrossRef]
- Lu, M.; Zhou, X.; Yang, Q.; Li, H.; Luo, Y.; Fang, C.; Chen, J.; Yang, X.; Li, B. Responses of ecosystem carbon cycle to experimental warming: A meta-analysis. Ecology 2013, 94, 726–738. [Google Scholar] [CrossRef]
- Kardol, P.; Cregger, M.; Campany, C.; Classen, A. Soil ecosystem functioning under climate change: Plant species and community effects. Ecology 2010, 91, 767–781. [Google Scholar] [CrossRef]
- Matias, L.; Castro, J.; Zamora, R. Effect of simulated climate-change on soil respiration in a Mediterranean-type ecosystem: Rainfall and habitat-type are more important than temperature or the soil carbon pool. Ecosystems 2012, 15, 299–310. [Google Scholar] [CrossRef]
- Selsted, M.; Linden, L.; Ibrom, A.; Michelsen, A.; Larsen, K.; Pedersen, J.; Mikkelsen, T.; Pilegaard, K.; Beier, C.; Ambus, P. Soil respiration is stimulated by elevated CO2 and reduced by summer drought: Three years of measurements in a multifactor ecosystem manipulation experiment in a temperate heathland (CLIMAITE). Glob. Change Biol. 2012, 18, 1216–1230. [Google Scholar] [CrossRef]
- Qian, R.; Hao, Y.; Li, L.; Zheng, Z.; Wen, F.; Cui, X.; Wang, Y.; Zhao, T.; Tang, Z.; Du, J.; et al. Joint control of seasonal timing and plant function types on drought responses of soil respiration in a semiarid grassland. Front. Plant Sci. 2022, 13, 974418. [Google Scholar] [CrossRef] [PubMed]
- Rodríguez-Calcerrada, J.; Salomon, R.; Barba, J.; Gordaliza, G.; Curiel Yuste, J.; Magro, C.; Gil, L. Regeneration in the understory of declining overstory trees contributes to soil respiration homeostasis along succession in a sub-Mediterranean Beech forest. Forests 2019, 10, 727. [Google Scholar] [CrossRef]
- Talmon, Y.; Sternberg, M.; Grünzweig, J. Impact of rainfall manipulations and biotic controls on soil respiration in Mediterranean and desert ecosystems along an aridity gradient. Glob. Change Biol. 2011, 17, 1108–1118. [Google Scholar] [CrossRef]
- Schimel, D.; House, J.; Hibbard, K.; Bousquet, P.; Ciais, P.; Peylin, P.; Braswell, B.; Apps, M.; Baker, D.; Bondeau, A.; et al. Recent patterns and mechanisms of carbon exchange by terrestrial ecosystems. Nature 2001, 414, 169–172. [Google Scholar] [CrossRef] [PubMed]
- Davidson, E.; Janssens, I. Temperature sensitivity of soil carbon decomposition and feedbacks to climate change. Nature 2006, 440, 165–173. [Google Scholar] [CrossRef] [PubMed]
- Suseela, V.; Conant, R.; Wallenstein, M.; Dukes, J. Effects of soi moisture on the temperature sensitivity of heterotrophic respiration vary seasonally in an oldfield climate change experiment. Glob. Change Biol. 2012, 18, 336–348. [Google Scholar] [CrossRef]
- Liu, L.; Wang, X.; Lajeunesse, M.; Miao, G.; Piao, S.; Wan, S.; Wu, Y.; Wang, Z.; Yang, S.; Li, P.; et al. A cross-biome synthesis of soil respiration and its determinants under simulated precipitation changes. Glob. Change Biol. 2016, 22, 1394–1405. [Google Scholar] [CrossRef]
- Manzoni, S.; Schimel, J.; Porporato, A. Responses of soil microbial communities to water stress: Results from a meta-analysis. Ecology 2012, 93, 930–938. [Google Scholar] [CrossRef] [PubMed]
- Sampson, D.; Janssens, I.; Curiel Yuste, J.; Ceulemans, R. Basal rates of soil respiration are correlated with photosynthesis in a mixed temperate forest. Glob. Change Biol. 2007, 13, 2008–2017. [Google Scholar] [CrossRef]
- Jassal, R.; Black, T.; Novak, M.; Gaumont-Guay, D.; Nesic, Z. Effect of soil water stress on soil respiration and its temperature sensitivity in an 18-year-old temperate Douglas-fir stand. Glob. Change Biol. 2008, 14, 1305–1318. [Google Scholar] [CrossRef]
- Rey, A.; Pegoraro, E.; Tedeschi, V.; De Parri, I. Annual variation in soil respiration and its components in a coppice oak forest in central Italy. Glob. Change Biol. 2002, 8, 851–866. [Google Scholar] [CrossRef]
- Liu, W.; Zhang, Z.; Wan, S. Predominant role of water in regulating soil and microbial respiration and their responses to climate change in a semiarid grassland. Glob. Change Biol. 2009, 15, 184–195. [Google Scholar] [CrossRef]
- Suseela, V.; Dukes, J. The responses of soil and rhizosphere respiration to simulated climatic changes vary by season. Ecology 2013, 94, 403–413. [Google Scholar] [CrossRef]
- Matías, L.; Hidalgo-Galvez, M.; Cambrollé, J.; Domínguez, M.; Pérez-Ramos, I. How will forecasted warming and drought affect soil respiration in savannah ecosystems? The role of tree canopy and grazing legacy. Agric. For. Meteorol. 2021, 304–305, 108425. [Google Scholar] [CrossRef]
- Fang, C.; Moncrieff, J. The dependence of soil CO2 efflux on temperature. Soil Biol. Biochem. 2001, 33, 155–165. [Google Scholar] [CrossRef]
- Liu, X.; Wan, S.; Su, B.; Hui, D.; Luo, Y. Response of soil CO2 efflux to water manipulation in a tall grass prairie ecosystem. Plant Soil 2002, 240, 213–223. [Google Scholar] [CrossRef]
- Shi, G.; Geng, H.; Wang, Y.; Wnag, Y.; Qi, X. Daily and seasonal dynamics of soil respiration and their environmental controlling factors in Stipa krylovii steppe. Acta Ecol. Sin. 2008, 28, 3408–3416. [Google Scholar]
- Ru, J.; Zhou, Y.; Hui, D.; Zheng, M.; Wan, S. Shifts of growingseason precipitation peaks decrease soil respiration in a semiarid grassland. Glob. Change Biol. 2018, 24, 1001–1011. [Google Scholar] [CrossRef] [PubMed]
- Dong, Y.; Zhang, S.; Qi, Y.; Chen, Z.; Geng, Y. Simultaneous observation and diurnal variation of CO2, N2O, CH4 fluxes in typical grasslands of Inner Mongolia. Chin. Sci. Bull. 2000, 3, 318–322. [Google Scholar]
- Linn, D.; Doran, J. Effect of water-filled pore-space on carbondioxide and nitrous-oxide production in tilled and nontilled soils. Soil Sci. Soc. Am. J. 1984, 8, 1267–1272. [Google Scholar] [CrossRef]
- Zhang, C.; Niu, D.; Hall, S.; Wen, H.; Lia, X.; Fu, H.; Wan, C.; Elser, J. Effects of simulated nitrogen deposition on soil respiration components and their temperature sensitivities in a semiarid grassland. Soil Biol. Biochem. 2014, 75, 113–123. [Google Scholar] [CrossRef]
- Carbone, M.; Still, C.; Ambrose, A.; Dawson, T.; Williams, A.; Boot, C.; Schaeffer, S.; Schimel, J. Seasonal and episodic moisture controls on plant and microbial contributions to soil respiration. Oecologia 2011, 167, 265–278. [Google Scholar] [CrossRef] [PubMed]
- Gomez-Casanovas, N.; Matamala, R.; Cook, D.; Gonzalez-Meler, M. Net ecosystem exchange modifies the relationship between the autotrophic and heterotrophic components of soil respiration. Biol. Fertil. Soils 2012, 55, 275–283. [Google Scholar]
- Sowerby, A.; Emmett, B.; Beier, C.; Tietema, A.; Peñuelas, J.; Estiarte, M.; VanMeeteren, M.; Hughes, S.; Freeman, C. Microbial community changes in heathland soil communities along a geographical gradient: Interaction with climate change manipulations. Soil Biol. Biochem. 2005, 37, 1805–1813. [Google Scholar] [CrossRef]
- Zhang, Q.; Zak, J. Effects of water and nitrogen amendment on soil microbial biomass and fine root production in a semi-arid environment in West Texas. Soil Biol. Biochem. 1998, 30, 39–45. [Google Scholar] [CrossRef]
- Rochette, P.; Flanagan, L. Quantifying rhizosphere respiration in a corn crop under field conditions. Soil Sci. Soc. Am. J. 1997, 61, 466–474. [Google Scholar] [CrossRef]
- Hanson, P.; Edwards, N.; Garten, C.; Andrews, J. Separating root and soil microbial contributions to soil respiration: A review of methods and observations. Biogeochemistry 2000, 48, 115–146. [Google Scholar] [CrossRef]
- Domínguez, M.; Gutiérrez, E.; González-Domínguez, B.; Román, M.; Ávila, J.; Ramo, C.; Gonzalez, J.; García, L. Impacts of protected colonial birds on soil microbial communities: When protection leads to degradation. Soil Biol. Biochem. 2017, 105, 59–70. [Google Scholar] [CrossRef]
- Koncz, P.; Balogh, J.; Papp, M.; Hidy, D.; Pinter, K.; Foti, S.; Klumpp, K.; Nagy, Z. Higher soil respiration under mowing than under grazing explained by biomass differences. Nutr. Cycl. Agroecosyst. 2015, 103, 201–215. [Google Scholar] [CrossRef]
- Hao, Y.; Zhou, C.; Liu, W.; Li, L.; Kang, X.; Jiang, L.; Cui, X.; Wang, Y.; Zhou, X.; Xu, C. Aboveground net primary productivity and carbon balance remain stable under extreme precipitation events in a semiarid steppe ecosystem. Agric. For. Meteorol. 2017, 240–241, 1–9. [Google Scholar] [CrossRef]










Disclaimer/Publisher’s Note: The statements, opinions and data contained in all publications are solely those of the individual author(s) and contributor(s) and not of MDPI and/or the editor(s). MDPI and/or the editor(s) disclaim responsibility for any injury to people or property resulting from any ideas, methods, instructions or products referred to in the content. |
© 2023 by the authors. Licensee MDPI, Basel, Switzerland. This article is an open access article distributed under the terms and conditions of the Creative Commons Attribution (CC BY) license (https://creativecommons.org/licenses/by/4.0/).
Share and Cite
Li, J.; Zhang, J.; Ma, T.; Lv, W.; Shen, Y.; Yang, Q.; Wang, X.; Wang, R.; Xiang, Q.; Lv, L.; et al. Responses of Soil Respiration to the Interactive Effects of Warming and Drought in Alfalfa Grassland on the Loess Plateau. Agronomy 2023, 13, 2992. https://doi.org/10.3390/agronomy13122992
Li J, Zhang J, Ma T, Lv W, Shen Y, Yang Q, Wang X, Wang R, Xiang Q, Lv L, et al. Responses of Soil Respiration to the Interactive Effects of Warming and Drought in Alfalfa Grassland on the Loess Plateau. Agronomy. 2023; 13(12):2992. https://doi.org/10.3390/agronomy13122992
Chicago/Turabian StyleLi, Jiaxuan, Jingui Zhang, Tao Ma, Wenqiang Lv, Yuying Shen, Qian Yang, Xianzhi Wang, Ruobing Wang, Qian Xiang, Long Lv, and et al. 2023. "Responses of Soil Respiration to the Interactive Effects of Warming and Drought in Alfalfa Grassland on the Loess Plateau" Agronomy 13, no. 12: 2992. https://doi.org/10.3390/agronomy13122992
APA StyleLi, J., Zhang, J., Ma, T., Lv, W., Shen, Y., Yang, Q., Wang, X., Wang, R., Xiang, Q., Lv, L., Zhang, J., & Ma, J. (2023). Responses of Soil Respiration to the Interactive Effects of Warming and Drought in Alfalfa Grassland on the Loess Plateau. Agronomy, 13(12), 2992. https://doi.org/10.3390/agronomy13122992
