The Effect of Warming-Amplified Phosphorus Addition on a Peatland’s N2O Emissions
Abstract
:1. Introduction
2. Materials and Methods
2.1. Study Site
2.2. Experimental Design
2.3. Collection and Analysis of N2O
2.4. Environmental Factors
2.5. Water and Soil Sampling
2.6. Determination of Soil Enzyme Activities
2.7. Statistical Analysis
3. Results
3.1. N2O Fluxes
3.2. Abiotic Factors
3.3. Vegetation
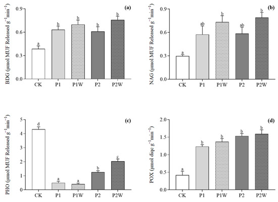
3.4. Enzyme Activities
3.5. PCA and Correlation
4. Discussion
4.1. Phosphorus Addition and Source/Sink Function of N2O
4.2. Source/Sink Function of N2O under P Addition Combined with Warming
5. Conclusions
Supplementary Materials
Author Contributions
Funding
Data Availability Statement
Conflicts of Interest
References
- IPCC. Summary for Policymakers. In Climate Change 2022: Mitigation of Climate Change—Contribution of Working Group III to the Sixth Assessment Report of the Intergovernmental Panel on Climate Change; Shukla, P.R., Skea, J., Slade, R., Al Khourdajie, A., van Diemen, R., McCollum, D., Pathak, M., Some, S., Vyas, P., Fradera, R., et al., Eds.; Cambridge University Press: Cambridge, UK; New York, NY, USA, 2022. [Google Scholar]
- Limpens, J.; Heijmans, M.; Berendse, F. The nitrogen cycle in boreal peatlands. In Boreal Peatland Ecosystem; Wieder, R.K., Vitt, D.H., Eds.; Springer: Berlin/Heidelberg, Germany, 2006; pp. 195–230. [Google Scholar]
- Lund, M.; Christensen, T.; Mastepanov, M.; Lindroth, A.; Ström, L. Effects of N and P fertilization on the greenhouse gas exchange in two northern peatlands with contrasting N deposition rates. Biogeosciences 2009, 6, 2135–2144. [Google Scholar] [CrossRef]
- Gong, Y.; Wu, J. Vegetation composition modulates the interaction of climate warming and elevated nitrogen deposition on nitrous oxide flux in a boreal peatland. Glob. Chang. Biol. 2021, 27, 5588–5598. [Google Scholar] [CrossRef] [PubMed]
- Gong, Y.; Wu, J.; Vogt, J.; Le, T.B. Warming reduces the increase in N2O emission under nitrogen fertilization in a boreal peatland. Sci. Total Environ. 2019, 664, 72–78. [Google Scholar] [CrossRef]
- Lu, F.; Wu, J.; Yi, B.; Xu, Z.; Wang, M.; Sundberg, S.; Bu, Z.-J. Long-term phosphorus addition strongly weakens the carbon sink function of a temperate peatland. Ecosystems 2023, 26, 201–216. [Google Scholar] [CrossRef]
- Li, T.; Bu, Z.; Liu, W.; Zhang, M.; Peng, C.; Zhu, Q.; Shi, S.; Wang, M. Weakening of the ‘enzymatic latch’ mechanism following long-term fertilization in a minerotrophic peatland. Soil Biol. Biochem. 2019, 136, 107528. [Google Scholar] [CrossRef]
- Wu, J.; Lu, Y.; Wang, H.; Li, G. Effects of nitrogen and phosphorus additions on CH4 flux in wet meadow of Qinghai-Tibet Plateau. Sci. Total Environ. 2023, 887, 163448. [Google Scholar] [CrossRef]
- Cui, Q.; Song, C.; Wang, X.; Shi, F.; Yu, X.; Tan, W. Effects of warming on N2O fluxes in a boreal peatland of permafrost region, Northeast China. Sci. Total Environ. 2018, 616, 427–434. [Google Scholar] [CrossRef]
- Gong, Y.; Wu, J.; Vogt, J.; Thuong Ba, L.; Yuan, T. Combination of warming and vegetation composition change strengthens the environmental controls on N2O fluxes in a boreal peatland. Atmosphere 2018, 9, 480. [Google Scholar] [CrossRef]
- Elser, J.J.; Bracken, M.E.S.; Cleland, E.E.; Gruner, D.S.; Harpole, W.S.; Hillebrand, H.; Ngai, J.T.; Seabloom, E.W.; Shurin, J.B.; Smith, J.E. Global analysis of nitrogen and phosphorus limitation of primary producers in freshwater, marine and terrestrial ecosystems. Ecol. Lett. 2007, 10, 1135–1142. [Google Scholar] [CrossRef]
- Du, E.; Terrer, C.; Pellegrini, A.F.A.; Ahlstrom, A.; van Lissa, C.J.; Zhao, X.; Xia, N.; Wu, X.; Jackson, R.B. Global patterns of terrestrial nitrogen and phosphorus limitation. Nat. Geosci. 2020, 13, 221–226. [Google Scholar] [CrossRef]
- Liimatainen, M.; Voigt, C.; Martikainen, P.J.; Hytonen, J.; Regina, K.; Oskarsson, H.; Maljanen, M. Factors controlling nitrous oxide emissions from managed northern peat soils with low carbon to nitrogen ratio. Soil Biol. Biochem. 2018, 122, 186–195. [Google Scholar] [CrossRef]
- Säurich, A.; Tiemeyer, B.; Dettmann, U.; Don, A. How do sand addition, soil moisture and nutrient status influence greenhouse gas fluxes from drained organic soils? Soil Biol. Biochem. 2019, 135, 71–84. [Google Scholar] [CrossRef]
- Vitousek, P.M.; Aber, J.D.; Howarth, R.W.; Likens, G.E.; Matson, P.A.; Schindler, D.W.; Schlesinger, W.H.; Tilman, D. Human alteration of the global nitrogen cycle: Sources and consequences. Ecol. Appl. 1997, 7, 737–750. [Google Scholar] [CrossRef]
- Frolking, S.; Talbot, J.; Jones, M.C.; Treat, C.C.; Kauffman, J.B.; Tuittila, E.-S.; Roulet, N. Peatlands in the Earth’s 21st century climate system. Environ. Rev. 2011, 19, 371–396. [Google Scholar] [CrossRef]
- Li, H.; Zhang, J.; Tian, D.; Liu, Y.; Dong, J. Nitrogen significantly affected N cycling functional gene abundances compared with phosphorus and drought in an alpine meadow. Agronomy 2023, 13, 1041. [Google Scholar] [CrossRef]
- Wang, G.; Liang, Y.; Ren, F.; Yang, X.; Mi, Z.; Gao, Y.; George, T.S.; Zhang, Z. Greenhouse gas emissions from the Tibetan alpine grassland: Effects of nitrogen and phosphorus addition. Sustainability 2018, 10, 4454. [Google Scholar] [CrossRef]
- Sundareshwar, P.; Morris, J.; Koepfler, E.; Fornwalt, B. Phosphorus limitation of coastal ecosystem processes. Science 2003, 299, 563–565. [Google Scholar] [CrossRef]
- Mori, T.; Ohta, S.; Ishizuka, S.; Konda, R.; Wicaksono, A.; Heriyanto, J.; Hardjono, A. Effects of phosphorus addition with and without ammonium, nitrate, or glucose on N2O and NO emissions from soil sampled under Acacia mangium plantation and incubated at 100% of the water-filled pore space. Biol. Fertil. Soils 2013, 49, 13–21. [Google Scholar] [CrossRef]
- Mori, T.; Ohta, S.; Ishizuka, S.; Konda, R.; Wicaksono, A.; Heriyanto, J.; Hardjono, A. Effects of phosphorus addition on N2O and NO emissions from soils of an Acacia mangium plantation. Soil Sci. Plant Nutr. 2010, 56, 782–788. [Google Scholar] [CrossRef]
- Mori, T. The ratio of β-1,4-glucosidase activity to phosphomonoesterase activity remains low in phosphorus-fertilized tropical soils: A meta-analysis. Appl. Soil Ecol. 2022, 180, 104635. [Google Scholar] [CrossRef]
- Li, T.; Ge, L.; Huang, J.; Yuan, X.; Peng, C.; Wang, S.; Bu, Z.; Zhu, Q.; Wang, Z.; Liu, W. Contrasting responses of soil exoenzymatic interactions and the dissociated carbon transformation to short-and long-term drainage in a minerotrophic peatland. Geoderma 2020, 377, 114585. [Google Scholar] [CrossRef]
- Mori, T. P fertilization experiments require reinterpretation: Abiotic elevation of available C and N could influence microbial processes in soil. Appl. Soil Ecol. 2023, 189, 104899. [Google Scholar] [CrossRef]
- Spohn, M.; Diakova, K.; Aburto, F.; Doetterl, S.; Borovec, J. Sorption and desorption of organic matter in soils as affected by phosphate. Geoderma 2022, 405, 115377. [Google Scholar] [CrossRef]
- Spohn, M.; Schleuss, P.-M. Addition of inorganic phosphorus to soil leads to desorption of organic compounds and thus to increased soil respiration. Soil Biol. Biochem. 2019, 130, 220–226. [Google Scholar] [CrossRef]
- Chen, J.; Ma, X.; Lu, X.; Xu, H.; Chen, D.; Li, Y.; Zhou, Z.; Li, Y.; Ma, S.; Yakov, K. Long-term phosphorus addition alleviates CO2 and N2O emissions via altering soil microbial functions in secondary rather primary tropical forests. Environ. Pollut. 2023, 323, 121295. [Google Scholar] [CrossRef]
- Ren, Y.; Mao, D.; Wang, Z.; Yu, Z.; Xu, X.; Huang, Y.; Xi, Y.; Luo, L.; Jia, M.; Song, K.; et al. China’s wetland soil organic carbon pool: New estimation on pool size, change, and trajectory. Glob. Chang. Biol. 2023, 29, 6139–6156. [Google Scholar] [CrossRef]
- Bao, T.; Jia, G.; Xu, X. Weakening greenhouse gas sink of pristine wetlands under warming. Nat. Clim. Chang. 2023, 13, 462–469. [Google Scholar] [CrossRef]
- Yi, B.; Lu, F.; Bu, Z.-J. Nitrogen addition turns a temperate peatland from a near-zero source into a strong sink of nitrous oxide. Plant Soil Environ. 2022, 68, 49–58. [Google Scholar] [CrossRef]
- Yan, W.; Zhong, Y.; Shangguan, Z.; Torn, M.S. Response of soil greenhouse gas fluxes to warming: A global meta-analysis of field studies. Geoderma 2022, 419, 115865. [Google Scholar] [CrossRef]
- Teng, C.-Y.; Shen, J.-G.; Wang, Z.; Wang, H.; Li, H.-Y.; Zhang, Z.-J. Effect of simulated climate warming on microbial community and phosphorus forms in wetland soils. Huanjing Kexue 2017, 38, 3000–3009. [Google Scholar] [CrossRef]
- Cao, Z.; Xu, L.; Zong, N.; Zhang, J.; He, N. Impacts of climate warming on soil phosphorus forms and transformation in a Tibetan alpine meadow. J. Soil Sci. Plant Nutr. 2022, 22, 2545–2556. [Google Scholar] [CrossRef]
- Wang, H.; Zhang, Z.; Li, J.; Xu, X. Characteristics of phosphorus cycling between sediment of the wetlands and water under warming in simulated wetland habitat. Wetl. Sci. 2011, 9, 345–354. [Google Scholar]
- Lie, Z.; Zhou, G.; Huang, W.; Kadowaki, K.; Tissue, D.T.; Ya, J.; Penuelas, J.; Sardans, J.; Li, Y.; Liu, S.; et al. Warming drives sustained plant phosphorus demand in a humid tropical forest. Glob. Chang. Biol. 2022, 28, 4085–4096. [Google Scholar] [CrossRef]
- Zhang, M.; Bu, Z.; Jiang, M.; Wang, S.; Liu, S.; Chen, X.; Hao, J.; Liao, W. The development of Hani peatland in the Changbai mountains (NE China) and its response to the variations of the East Asian summer monsoon. Sci. Total Environ. 2019, 692, 818–832. [Google Scholar] [CrossRef] [PubMed]
- Bu, Z.-J.; Rydin, H.; Chen, X. Direct and interaction-mediated effects of environmental changes on peatland bryophytes. Oecologia 2011, 166, 555–563. [Google Scholar] [CrossRef] [PubMed]
- Liu, C.; Bu, Z.; Ma, J.; Yuan, M.; Feng, L.; Liu, S. Comparative study on the response of deciduous and evergreen shrubs to nitrogen and phosphorus input in Hani Peatland of Changbai Mountains. Chin. J. Ecol. 2015, 34, 2711–2719. [Google Scholar] [CrossRef]
- Kuijper, B.; Pen, I.; Weissing, F.J. A guide to sexual selection theory. Annu. Rev. Ecol. Evol. Syst. 2012, 43, 287–311. [Google Scholar] [CrossRef]
- Freeman, C.; Liska, G.; Ostle, N.J.; Jones, S.; Lock, M. The use of fluorogenic substrates for measuring enzyme activity in peatlands. Plant Soil 1995, 175, 147–152. [Google Scholar] [CrossRef]
- Shackle, V.; Freeman, C.; Reynolds, B. Carbon supply and the regulation of enzyme activity in constructed wetlands. Soil Biol. Biochem. 2000, 32, 1935–1940. [Google Scholar] [CrossRef]
- Freeman, C.; Ostle, N.J.; Fenner, N.; Kang, H. A regulatory role for phenol oxidase during decomposition in peatlands. Soil Biol. Biochem. 2004, 36, 1663–1667. [Google Scholar] [CrossRef]
- Freeman, C.; Ostle, N.; Kang, H. An enzymic ’latch’ on a global carbon store. Nature 2001, 409, 149. [Google Scholar] [CrossRef]
- Saiya-Cork, K.R.; Sinsabaugh, R.L.; Zak, D.R. The effects of long term nitrogen deposition on extracellular enzyme activity in an Acer saccharum forest soil. Soil Biol. Biochem. 2002, 34, 1309–1315. [Google Scholar] [CrossRef]
- R Core Team. R: A Language and Environment for Statistical Computing; R Foundation for Statistical Computing: Vienna, Austria, 2019. [Google Scholar]
- Camenzind, T.; Homeier, J.; Dietrich, K.; Hempel, S.; Hertel, D.; Krohn, A.; Leuschner, C.; Oelmann, Y.; Olsson, P.A.; Suarez, J.P.; et al. Opposing effects of nitrogen versus phosphorus additions on mycorrhizal fungal abundance along an elevational gradient in tropical montane forests. Soil Biol. Biochem. 2016, 94, 37–47. [Google Scholar] [CrossRef]
- Camenzind, T.; Haettenschwiler, S.; Treseder, K.K.; Lehmann, A.; Rillig, M.C. Nutrient limitation of soil microbial processes in tropical forests. Ecol. Monogr. 2018, 88, 4–21. [Google Scholar] [CrossRef]
- Mehnaz, K.R.; Corneo, P.E.; Keitel, C.; Dijkstra, F.A. Carbon and phosphorus addition effects on microbial carbon use efficiency, soil organic matter priming, gross nitrogen mineralization and nitrous oxide emission from soil. Soil Biol. Biochem. 2019, 134, 175–186. [Google Scholar] [CrossRef]
- Baral, B.R.; Kuyper, T.W.; Van Groenigen, J.W. Liebig’s law of the minimum applied to a greenhouse gas: Alleviation of P-limitation reduces soil N2O emission. Plant Soil 2014, 374, 539–548. [Google Scholar] [CrossRef]
- Allison, S.D.; Weintraub, M.N.; Gartner, T.B.; Waldrop, M.P. Evolutionary-Economic Principles as Regulators of Soil Enzyme Production and Ecosystem Function. In Soil Enzymology; Shukla, G., Varma, A., Eds.; Springer: Berlin/Heidelberg, Germany, 2011; pp. 229–243. [Google Scholar]
- Kang, H.J.; Freeman, C.; Park, S.S.; Chun, J. N-Acetylglucosaminidase activities in wetlands: A global survey. Hydrobiologia 2005, 532, 103–110. [Google Scholar] [CrossRef]
- Li, J.; Li, Z.; Wang, F.; Zou, B.; Chen, Y.; Zhao, J.; Mo, Q.; Li, Y.; Li, X.; Xia, H. Effects of nitrogen and phosphorus addition on soil microbial community in a secondary tropical forest of China. Biol. Fertil. Soils 2015, 51, 207–215. [Google Scholar] [CrossRef]
- Liu, L.; Gundersen, P.; Zhang, T.; Mo, J. Effects of phosphorus addition on soil microbial biomass and community composition in three forest types in tropical China. Soil Biol. Biochem. 2012, 44, 31–38. [Google Scholar] [CrossRef]
- Sinsabaugh, R.L.; Lauber, C.L.; Weintraub, M.N.; Ahmed, B.; Allison, S.D.; Crenshaw, C.; Contosta, A.R.; Cusack, D.; Frey, S.; Gallo, M.E.; et al. Stoichiometry of soil enzyme activity at global scale. Ecol. Lett. 2008, 11, 1252–1264. [Google Scholar] [CrossRef]
- Prescott, C.E.; Chappell, H.N.; Vesterdal, L. Nitrogen turnover in forest floors of coastal Douglas-fir at sites differing in soil nitrogen capital. Ecology 2000, 81, 1878–1886. [Google Scholar] [CrossRef]
- Yao, Z.; Yan, G.; Ma, L.; Wang, Y.; Zhang, H.; Zheng, X.; Wang, R.; Liu, C.; Wang, Y.; Zhu, B.; et al. Soil C/N ratio is the dominant control of annual N2O fluxes from organic soils of natural and semi-natural ecosystems. Agric. For. Meteorol. 2022, 327, 109198. [Google Scholar] [CrossRef]
- Wassen, M.J.; Veterink, H.; Deswart, E. Nutrient concentrations in mire vegetation as a measure of nutrient limitation in mire ecosystems. J. Veg. Sci. 1995, 6, 5–16. [Google Scholar] [CrossRef]
- Chapuis-Lardy, L.; Wrage, N.; Metay, A.; Chotte, J.L.; Bernoux, M. Soils, a sink for N2O? A review. Glob. Chang. Biol. 2007, 13, 1–17. [Google Scholar] [CrossRef]
- Ward, S.E.; Ostle, N.J.; Oakley, S.; Quirk, H.; Henrys, P.A.; Bardgett, R.D. Warming effects on greenhouse gas fluxes in peatlands are modulated by vegetation composition. Ecol. Lett. 2013, 16, 1285–1293. [Google Scholar] [CrossRef] [PubMed]
- Buchen, C.; Roobroeck, D.; Augustin, J.; Behrendt, U.; Boeckx, P.; Ulrich, A. High N2O consumption potential of weakly disturbed fen mires with dissimilar denitrifier community structure. Soil Biol. Biochem. 2019, 130, 63–72. [Google Scholar] [CrossRef]
- Liu, H.; Zheng, X.; Li, Y.; Yu, J.; Ding, H.; Sveen, T.R.; Zhang, Y. Soil moisture determines nitrous oxide emission and uptake. Sci. Total Environ. 2022, 822, 153566. [Google Scholar] [CrossRef]
- Hu, J.; Inglett, K.S.; Wright, A.L.; Reddy, K.R. Nitrous oxide production and reduction in seasonally-flooded cultivated peatland soils. Soil Sci. Soc. Am. J. 2016, 80, 783–793. [Google Scholar] [CrossRef]
- Anderson, F.C.; Clough, T.J.; Condron, L.M.; Richards, K.G.; Rousset, C. Nitrous oxide responses to long-term phosphorus application on pasture soil. N. Z. J. Agric. Res. 2023, 66, 171–188. [Google Scholar] [CrossRef]
- O’Neill, R.M.; Girkin, N.T.; Krol, D.J.; Wall, D.P.; Brennan, F.P.; Lanigan, G.J.; Renou-Wilson, F.; Muller, C.; Richards, K.G. The effect of carbon availability on N2O emissions is moderated by soil phosphorus. Soil Biol. Biochem. 2020, 142, 107726. [Google Scholar] [CrossRef]
- Wang, G.; Yu, X.; Bao, K.; Xing, W.; Gao, C.; Lin, Q.; Lu, X. Effect of fire on phosphorus forms in Sphagnum moss and peat soils of ombrotrophic bogs. Chemosphere 2015, 119, 1329–1334. [Google Scholar] [CrossRef] [PubMed]
- Boot, C.M.; Hall, E.K.; Denef, K.; Baron, J.S. Long-term reactive nitrogen loading alters soil carbon and microbial community properties in a subalpine forest ecosystem. Soil Biol. Biochem. 2016, 92, 211–220. [Google Scholar] [CrossRef]
- Zeng, W.J.; Wang, W. Combination of nitrogen and phosphorus fertilization enhance ecosystem carbon sequestration in a nitrogen-limited temperate plantation of Northern China. For. Ecol. Manag. 2015, 341, 59–66. [Google Scholar] [CrossRef]






| Treatment | Dynamic Fluxes | Cumulative Fluxes | ||||
|---|---|---|---|---|---|---|
| df | F | P | df | F | P | |
| Warming | 1 | 0.181 | 0.674 | 1 | 3.456 | 0.082 |
| P addition | 2 | 0.003 | 0.997 | 2 | 0.453 | 0.718 |
| Warming × P addition | 2 | 7.658 | 0.010 ** | 2 | 2.603 | 0.121 |
| Parameter | Warming | P Addition | Warming × P Addition | |||
|---|---|---|---|---|---|---|
| F | P | F | P | F | P | |
| Tsoil, 5 cm | 1.748 | 0.206 | 0.325 | 0.727 | 0.178 | 0.679 |
| Tsoil, 20 cm | 5.396 | 0.034 * | 0.3558 | 0.704 | 2.645 | 0.124 |
| WTD | 4.515 | 0.050 * | 8.386 | 0.003 ** | 5.671 | 0.031 ** |
| DOC | 0.052 | 0.822 | 26.020 | 0.000 ** | 1.834 | 0.196 |
| pH | 0.140 | 0.713 | 2.219 | 0.143 | 1.266 | 0.278 |
| TN | 6.763 | 0.020 * | 1.621 | 0.230 | 0.394 | 0.539 |
| TC | 1.899 | 0.188 | 1.707 | 0.367 | 3.248 | 0.091 |
| TP | 19.812 | 0.000 ** | 17.754 | 0.000 ** | 1.759 | 0.205 |
| N:P | 11.052 | 0.005 ** | 18.979 | 0.000 ** | 0.356 | 0.560 |
| C:N | 5.396 | 0.034 * | 2.256 | 0.139 | 0.056 | 0.816 |
Disclaimer/Publisher’s Note: The statements, opinions and data contained in all publications are solely those of the individual author(s) and contributor(s) and not of MDPI and/or the editor(s). MDPI and/or the editor(s) disclaim responsibility for any injury to people or property resulting from any ideas, methods, instructions or products referred to in the content. |
© 2023 by the authors. Licensee MDPI, Basel, Switzerland. This article is an open access article distributed under the terms and conditions of the Creative Commons Attribution (CC BY) license (https://creativecommons.org/licenses/by/4.0/).
Share and Cite
Yi, B.; Lu, F.; Chen, X.; Zhang, J.; Ma, J.-X.; Chang, A.; Bu, Z.-J. The Effect of Warming-Amplified Phosphorus Addition on a Peatland’s N2O Emissions. Agronomy 2023, 13, 2947. https://doi.org/10.3390/agronomy13122947
Yi B, Lu F, Chen X, Zhang J, Ma J-X, Chang A, Bu Z-J. The Effect of Warming-Amplified Phosphorus Addition on a Peatland’s N2O Emissions. Agronomy. 2023; 13(12):2947. https://doi.org/10.3390/agronomy13122947
Chicago/Turabian StyleYi, Boli, Fan Lu, Xu Chen, Jiaqi Zhang, Jun-Xiao Ma, An Chang, and Zhao-Jun Bu. 2023. "The Effect of Warming-Amplified Phosphorus Addition on a Peatland’s N2O Emissions" Agronomy 13, no. 12: 2947. https://doi.org/10.3390/agronomy13122947
APA StyleYi, B., Lu, F., Chen, X., Zhang, J., Ma, J.-X., Chang, A., & Bu, Z.-J. (2023). The Effect of Warming-Amplified Phosphorus Addition on a Peatland’s N2O Emissions. Agronomy, 13(12), 2947. https://doi.org/10.3390/agronomy13122947

