Struvite as P Fertilizer on Yield, Nutrient Uptake and Soil Nutrient Status in the Rice–Wheat Rotation System: A Two-Year Field Observation
Abstract
:1. Introduction
2. Materials and Methods
2.1. Experimental Site Description
2.2. Experiment Design and Field Management
2.3. Sampling and Measurements
2.3.1. Crop Measurements
2.3.2. Soil Analysis
2.4. Data Analysis
3. Results and Discussion
3.1. Crop Yield and Aboveground Biomass
3.2. Plant N and P Uptake and Fertilizer Use Efficiency
3.3. Soil Nutrient Status
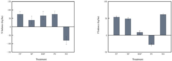
3.4. N and P Apparent Balance
4. Discussion
5. Conclusions
Supplementary Materials
Author Contributions
Funding
Data Availability Statement
Acknowledgments
Conflicts of Interest
References
- Du, J.; Han, T.; Qu, X.; Ma, C.; Liu, K.; Huang, J.; Shen, Z.; Zhang, L.; Liu, L.; Xie, J. Characteristics of Spatial and Temporal Evolution of Phosphorus Fertiliser Bias Productivity of Major Grain Crops in China and Its Driving Factors. J. Plant Nutr. Soil Sci. 2022, 28, 191–204. [Google Scholar]
- Macdonald, G.K.; Bennett, E.M.; Potter, P.A.; Carpenter, R.S.R. Agronomic Phosphorus Imbalances across the World’s Croplands. Proc. Natl. Acad. Sci. USA 2011, 108, 3086–3091. [Google Scholar] [CrossRef]
- Wang, S.; Huai, S.; Ma, C.; Xue, Y.; Xu, M.; Lu, C. Characteristics of Fertility Evolution of Typical Rice Soils in China in the Past 30 Years. J. Plant Nutr. Fertil. 2018, 24, 1416–1424. [Google Scholar]
- Yu, C.; Huang, X.; Chen, H.; Godfray, H.C.J.; Wright, J.S.; Hall, J.W.; Gong, P.; Ni, S.; Qiao, S.; Huang, G.; et al. Managing Nitrogen to Restore Water Quality in China. Nature 2019, 567, 516–520. [Google Scholar] [CrossRef]
- Xi, X.; Sun, B.; Chen, Y.; Yang, X. Study on Critical Values of Crop and Soil Leaching Phosphorus in Small Soil Areas and Recommendations for Phosphorus Application. Soil Fertil. Sci. China 2015, 7, 34–40. [Google Scholar]
- Wang, J.; Lü, G.; Guo, X.; Wang, Y.; Ding, S.; Wang, D. Conservation Tillage and Optimized Fertilization Reduce Winter Runoff Losses of Nitrogen and Phosphorus from Farmland in the Chaohu Lake Region, China. Nutr. Cycl. Agroecosyst. 2015, 101, 93–106. [Google Scholar] [CrossRef]
- Song, T.; Xu, F.; Yuan, W.; Chen, M.; Hu, Q.; Tian, Y.; Zhang, J.; Xu, W. Combining Alternate Wetting and Drying Irrigation with Reduced Phosphorus Fertilizer Application Reduces Water Use and Promotes Phosphorus Use Efficiency without Yield Loss in Rice Plants. Agric. Water Manag. 2019, 223, 105686. [Google Scholar] [CrossRef]
- Wang, Y.; Zhao, X.; Guo, Z.; Jia, Z.; Wang, S.; Ding, K. Response of Soil Microbes to a Reduction in Phosphorus Fertilizer in Rice-Wheat Rotation Paddy Soils with Varying Soil P Levels. Soil Tillage Res. 2018, 181, 127–135. [Google Scholar] [CrossRef]
- Azeem, B.; KuShaari, K.; Man, Z.B.; Basit, A.; Thanh, T.H. Review on Materials & Methods to Produce Controlled Release Coated Urea Fertilizer. J. Control. Release 2014, 181, 11–21. [Google Scholar]
- Doyle, J.D.; Parsons, S.A. Struvite Formation, Control and Recovery. Water Res. 2002, 36, 3925–3940. [Google Scholar] [CrossRef]
- Bridger, G.L.; Salutsky, M.L.; Starostka, R.W. Micronutrient Sources, Metal Ammonium Phosphates as Fertilizers. J. Agric. Food Chem. 1962, 10, 181–188. [Google Scholar] [CrossRef]
- Achat, D.L.; Sperandio, M.; Daumer, M.-L.; Santellani, A.-C.; Prud’Homme, L.; Akhtar, M.; Morel, C. Plant-Availability of Phosphorus Recycled from Pig Manures and Dairy Effluents as Assessed by Isotopic Labeling Techniques. Geoderma 2014, 232–234, 24–33. [Google Scholar] [CrossRef]
- Kataki, S.; West, H.; Clarke, M.; Baruah, D.C. Phosphorus Recovery as Struvite: Recent Concerns for Use of Seed, Alternative Mg Source, Nitrogen Conservation and Fertilizer Potential. Resour. Conserv. Recycl. 2016, 107, 142–156. [Google Scholar] [CrossRef]
- Talboys, P.J.; Heppell, J.; Roose, T.; Healey, J.R.; Jones, D.L.; Withers, P.J.A. Struvite: A Slow-Release Fertiliser for Sustainable Phosphorus Management? Plant Soil 2016, 401, 109–123. [Google Scholar] [CrossRef] [PubMed]
- Hertzberger, A.J.; Cusick, R.D.; Margenot, A.J. A Review and Meta-analysis of the Agricultural Potential of Struvite as a Phosphorus Fertilizer. Soil Sci. Soc. Am. J. 2020, 84, 653–671. [Google Scholar] [CrossRef]
- Cassman, K.G.; Peng, S.; Olk, D.C.; Ladha, J.K.; Reichardt, W.; Dobermann, A.; Singh, U. Opportunities for Increased Nitrogen-Use Efficiency from Improved Resource Management in Irrigated Rice Systems. Field Crops Res. 1998, 56, 7–39. [Google Scholar] [CrossRef]
- Massey, M.S.; Davis, J.G.; Ippolito, J.A.; Sheffield, R.E. Effectiveness of Recovered Magnesium Phosphates as Fertilizers in Neutral and Slightly Alkaline Soils. Agron. J. 2009, 101, 323–329. [Google Scholar] [CrossRef]
- 18. Thompson; Bernard, L. Field Evaluation of the Availability for Corn and Soybean of Phosphorus Recovered as Struvite from Corn Fiber Processing for Bioenergy. Ph.D. Thesis, Iowa State University, Ames, IA, USA, 2013.
- Rech, I.; Withers, P.; Jones, D.; Pavinato, P. Solubility, Diffusion and Crop Uptake of Phosphorus in Three Different Struvites. Sustainability 2018, 11, 134. [Google Scholar] [CrossRef]
- Christiansen, N.H.; Sørensen, P.; Labouriau, R.; Christensen, B.T.; Rubæk, G.H. Characterizing Phosphorus Availability in Waste Products by Chemical Extractions and Plant Uptake. J. Plant Nutr. Soil Sci. 2020, 183, 416–428. [Google Scholar] [CrossRef]
- Li, X.Z.; Zhao, Q.L. Recovery of Ammonium-Nitrogen from Landfill Leachate as a Multi-Nutrient Fertilizer. Ecol. Eng. 2003, 20, 171–181. [Google Scholar] [CrossRef]
- Gonzalez Ponce, R.; De Sa, M.E. Evaluation of Struvite as a Fertilizer: A Comparison with Traditional P Sources. Agrochim. Pisa 2007, 51, 301–308. [Google Scholar]
- A Mam Rasul, G. The Role of Magnesium in Increasing of Phosphorus Fertilizer Efficiency and Wheat Yield. Mesop. J. Agric. 2011, 39, 33–39. [Google Scholar] [CrossRef]
- Szymańska, M.; Szara, E.; Wąs, A.; Sosulski, T.; van Pruissen, G.W.P.; Cornelissen, R.L. Struvite—An Innovative Fertilizer from Anaerobic Digestate Produced in a Bio-Refinery. Energies 2019, 12, 296. [Google Scholar] [CrossRef]
- Rahman, M.M.; Liu, Y.; Kwag, J.-H.; Ra, C. Recovery of Struvite from Animal Wastewater and Its Nutrient Leaching Loss in Soil. J. Hazard. Mater. 2011, 186, 2026–2030. [Google Scholar] [CrossRef] [PubMed]
- Ahmed, S.; Klassen, T.N.; Keyes, S.; Daly, M.; Jones, D.L.; Mavrogordato, M.; Sinclair, I.; Roose, T. Imaging the Interaction of Roots and Phosphate Fertiliser Granules Using 4D X-Ray Tomography. Plant Soil 2016, 401, 125–134. [Google Scholar] [CrossRef]
- Lu, R. Soil Phosphorus Levels and Water Body Environmental Protection. Phosphate Compd. Fertil. 2003, 18, 3. [Google Scholar]
- Yu, X.; Keitel, C.; Dijkstra, F.A. Global Analysis of Phosphorus Fertilizer Use Efficiency in Cereal Crops. Glob. Food Secur. 2021, 29, 100545. [Google Scholar] [CrossRef]
- Wang, Y.; Yuan, J.; Chen, H.; Chen, G.; Zhao, H.; Xu, L.; Zhao, X.; Wang, S. Soil Phosphorus Pool Evolution and Environmental Risk Prediction of Paddy Soil in the Taihu Lake Region. Acta Pedol. Sin. 2022, 59, 10. [Google Scholar] [CrossRef]
- Wang, Y.; Zhao, X.; Wang, L.; Zhao, P.-H.; Zhu, W.-B.; Wang, S.-Q. Phosphorus Fertilization to the Wheat-Growing Season Only in a Rice–Wheat Rotation in the Taihu Lake Region of China. Field Crops Res. 2016, 198, 32–39. [Google Scholar] [CrossRef]
- Gu, C.; Zhou, Q.; Cusick, R.D.; Margenot, A.J. Evaluating Agronomic Soil Phosphorus Tests for Soils Amended with Struvite. Geoderma 2021, 399, 115093. [Google Scholar] [CrossRef]
- Gong, H.; Meng, F.; Wang, G.; Hartmann, T.E.; Feng, G.; Wu, J.; Jiao, X.; Zhang, F. Toward the Sustainable Use of Mineral Phosphorus Fertilizers for Crop Production in China: From Primary Resource Demand to Final Agricultural Use. Sci. Total Environ. 2022, 804, 150183. [Google Scholar] [CrossRef] [PubMed]
- Simpson, R.J.; Oberson, A.; Culvenor, R.A.; Ryan, M.H.; Veneklaas, E.J.; Lambers, H.; Lynch, J.P.; Ryan, P.R.; Delhaize, E.; Smith, F.A.; et al. Strategies and Agronomic Interventions to Improve the Phosphorus-Use Efficiency of Farming Systems. Plant Soil 2011, 349, 89–120. [Google Scholar] [CrossRef]
- Forrest, A.L.; Fattah, K.P.; Mavinic, D.S.; Koch, F.A. Optimizing Struvite Production for Phosphate Recovery in WWTP. J. Environ. Eng. 2008, 134, 395–402. [Google Scholar] [CrossRef]
- Uysal, A.; Yilmazel, Y.D.; Demirer, G.N. The Determination of Fertilizer Quality of the Formed Struvite from Effluent of a Sewage Sludge Anaerobic Digester. J. Hazard. Mater. 2010, 181, 248–254. [Google Scholar] [CrossRef]
- Latifian, M.; Liu, J.; Mattiasson, B. Struvite-Based Fertilizer and Its Physical and Chemical Properties. Environ. Technol. 2012, 33, 2691–2697. [Google Scholar] [CrossRef]
- Antonini, S.; Arias, M.A.; Eichert, T.; Clemens, J. Greenhouse Evaluation and Environmental Impact Assessment of Different Urine-Derived Struvite Fertilizers as Phosphorus Sources for Plants. Chemosphere 2012, 89, 1202–1210. [Google Scholar] [CrossRef]





| Treatment | N (kg/ha) (Rice/Wheat Seasons) | P2O5 (kg/ha) | |
|---|---|---|---|
| Rice Season | Wheat Season | ||
| FP | 240 | 70 | 96 |
| SP | 240 | 70 | 96 |
| RSP | 240 | 35 | 48 |
| P0 | 240 | 0 | 0 |
| N0 | 0 | 70 | 96 |
| Component | Test Results | |
|---|---|---|
| Composition (%) | P2O5 | 26.4 |
| N | 5.0 | |
| Mg | 12.0 | |
| Ca | 0.065 | |
| K2O | 0.21 | |
| Heavy metals (mg/kg) | As | undetected |
| Hg | undetected | |
| Pb | 0.12 | |
| Cd | undetected | |
| Cr | 1.7 |
| Crop Season | Treatment | Plant N Content (g/kg) | Plant P Content (g/kg) | Total N Uptake (kg/ha) | Total P Uptake (kg/ha) |
|---|---|---|---|---|---|
| 2020 rice | FP | 19.97 ab | 4.53 a | 177.1 (19.1) ab | 40.1 (4.2) ab |
| SP | 22.12 a | 4.81 a | 206.3 (13.7) a | 45.1 (3.6) a | |
| RSP | 21.07 a | 4.77 a | 197.5 (42.0) a | 44.4 (7.6) a | |
| P0 | 19.88 ab | 4.40 a | 177.9 (1.9) ab | 36.9 (5.7) ab | |
| N0 | 16.18 b | 4.20 a | 91.3 (11.5) b | 27.8 (4.5) b | |
| 2020 wheat | FP | 21.99 a | 3.39 a | 145.9 (10.6) ab | 20.1 (3.6) b |
| SP | 25.84 a | 3.19 a | 230.7 (40.7) a | 29.4 (3.5) a | |
| RSP | 18.88 a | 3.64 a | 140.4 (18.8) ab | 25.3 (6.9) ab | |
| P0 | 25.35 a | 2.65 b | 143.5 (32.3) ab | 18.1 (2.1) b | |
| N0 | 21.94 a | 3.45 a | 65.4 (53.4) b | 21.1 (4.4) ab | |
| 2021 rice | FP | 19.09 a | 3.46 a | 178.0 (19.8) a | 34.2 (2.2) a |
| SP | 19.98 a | 3.78 a | 192.1 (20.7) a | 36.8 (2.2) a | |
| RSP | 18.89 a | 3.51 a | 188.2 (26.5) a | 33.3 (4.0) a | |
| P0 | 19.35 a | 3.19 a | 180.7 (27.8) a | 29.2 (4.1) ab | |
| N0 | 14.25 b | 3.39 a | 102.0 (11.6) b | 24.2 (1.9) b | |
| 2021 wheat | FP | 21.12 a | 4.00 a | 164.3 (20.0) a | 25.9 (2.7) a |
| SP | 21.02 a | 3.56 a | 172.3 (20.4) a | 29.7 (4.9) a | |
| RSP | 21.15 a | 4.31 a | 169.6 (11.3) a | 30.8 (1.8) a | |
| P0 | 19.88 a | 3.34 ab | 158.4 (13.2) a | 24.5 (3.0) a | |
| N0 | 21.73 a | 2.99 b | 67.1 (16.7) c | 12.5 (3.0) b | |
| All seasons | FP | 20.54 a | 3.84 a | 166.3 (12.9) b | 30.1 (7.6) ab |
| SP | 22.24 a | 3.84 a | 200.4 (21.3) a | 35.2 (6.4) a | |
| RSP | 20.00 a | 4.06 a | 173.9 (21.8) ab | 33.5 (6.9) a | |
| P0 | 21.12 a | 3.39 b | 165.2 (15.1) b | 27.2 (6.9) ab | |
| N0 | 18.52 b | 3.50 ab | 81.5 (15.7) c | 21.4 (5.6) b |
| pH | Organic C (g/kg) | TN (g/kg) | Available K (mg/kg) | Exchangeable Ca (cmol/Kg) | Exchangeable Mg (cmol/Kg) | ||
|---|---|---|---|---|---|---|---|
| 2020 rice | FP | 6.27 (0.11) a | 23.53 (2.19) b | 1.57 (0.09) b | 70.27 (8.23) b | 17.98 (1.60) a | 3.79 (0.13) a |
| SP | 6.25 (0.14) a | 29.38 (1.43) a | 1.97 (0.03) a | 82.71 (11.98) ab | 17.04 (0.58) a | 3.76 (0.15) a | |
| RSP | 6.17 (0.31) a | 30.89 (4.13) a | 2.05 (0.34) a | 69.03 (3.80) b | 17.25 (0.61) a | 3.69 (0.09) a | |
| P0 | 6.03 (0.16) a | 31.87 (4.20) a | 2.02 (0.19) a | 76.99 (3.92) b | 17.64 (1.33) a | 3.50 (0.32) a | |
| N0 | 6.38 (0.13) a | 28.02 (3.14) a | 1.91 (0.17) a | 99.13 (12.84) a | 17.41 (0.20) a | 3.65 (0.12) a | |
| 2020 wheat | FP | 6.33 (0.14) a | 17.28 (1.20) b | 1.11 (0.07) a | 74.33 (5.31) a | 17.85 (1.21) a | 3.87 (0.21) a |
| SP | 6.28 (0.01) a | 20.47 (2.78) ab | 1.29 (0.14) a | 86.33 (6.65) a | 18.7 (0.19) a | 4.27 (0.34) a | |
| RSP | 6.33 (0.06) a | 22.19 (3.56) a | 1.36 (0.19) a | 84.33 (8.26) a | 18.70 (2.17) a | 3.95 (0.27) a | |
| P0 | 6.37 (0.18) a | 21.89 (2.90) a | 1.34 (0.13) a | 86.67 (2.05) a | 17.31 (1.07) a | 3.76 (0.17) a | |
| N0 | 6.29 (0.03) a | 19.30 (1.49) ab | 1.28 (0.15) a | 88.67 (10.40) a | 18.89 (0.49) a | 3.93 (0.05) a | |
| 2021 rice | FP | 6.17 (0.06) a | 21.24 (0.46) a | 1.57 (0.09) a | 77.94 (1.72) a | 17.86 (0.98) a | 3.36 (0.19) a |
| SP | 6.20 (0.02) a | 20.38 (0.71) a | 1.97 (0.03) a | 83.38 (2.30) a | 17.43 (0.43) a | 3.65 (0.09) a | |
| RSP | 5.98 (0.16) a | 20.89 (1.07) a | 2.05 (0.34) a | 80.8 (4.45) a | 17.49 (0.85) a | 3.58 (0.15) a | |
| P0 | 6.11 (0.11) a | 20.75 (0.80) a | 2.02 (0.19) a | 78.92 (2.68) a | 17.38 (0.29) a | 3.27 (0.13) a | |
| N0 | 6.31 (0.10) a | 20.69 (0.25) a | 1.91 (0.17) a | 79.13 (1.34) a | 17.12 (0.24) a | 3.52 (0.19) a | |
| 2021 wheat | FP | 6.22 (0.08) a | 18.95 (0.40) a | 1.31 (0.07) a | 78.67 (0.94) a | 18.41 (0.93) a | 3.78 (0.06) a |
| SP | 6.28 (0.01) a | 20.14 (1.15) a | 1.32 (0.10) a | 83.00 (5.35) a | 18.59 (0.07) a | 3.97 (0.04) a | |
| RSP | 6.32 (0.06) a | 21.19 (1.21) a | 1.26 (0.05) a | 81.00 (3.56) a | 18.27 (1.06) a | 4.01 (0.15) a | |
| P0 | 6.24 (0.06) a | 19.89 (0.77) a | 1.34 (0.06) a | 86.67 (2.05) a | 17.59 (0.72) a | 3.80 (0.06) a | |
| N0 | 6.30 (0.03) a | 19.63 (1.11) a | 1.26 (0.05) a | 82.00 (5.72) a | 18.91 (0.42) a | 3.92 (0.05) a |
Disclaimer/Publisher’s Note: The statements, opinions and data contained in all publications are solely those of the individual author(s) and contributor(s) and not of MDPI and/or the editor(s). MDPI and/or the editor(s) disclaim responsibility for any injury to people or property resulting from any ideas, methods, instructions or products referred to in the content. |
© 2023 by the authors. Licensee MDPI, Basel, Switzerland. This article is an open access article distributed under the terms and conditions of the Creative Commons Attribution (CC BY) license (https://creativecommons.org/licenses/by/4.0/).
Share and Cite
Wang, J.; Xue, L.; Hou, P.; Hao, T.; Xue, L.; Zhang, X.; Sun, T.; Lobanov, S.; Yang, L. Struvite as P Fertilizer on Yield, Nutrient Uptake and Soil Nutrient Status in the Rice–Wheat Rotation System: A Two-Year Field Observation. Agronomy 2023, 13, 2948. https://doi.org/10.3390/agronomy13122948
Wang J, Xue L, Hou P, Hao T, Xue L, Zhang X, Sun T, Lobanov S, Yang L. Struvite as P Fertilizer on Yield, Nutrient Uptake and Soil Nutrient Status in the Rice–Wheat Rotation System: A Two-Year Field Observation. Agronomy. 2023; 13(12):2948. https://doi.org/10.3390/agronomy13122948
Chicago/Turabian StyleWang, Jizheng, Lihong Xue, Pengfu Hou, Tianjia Hao, Lixiang Xue, Xi Zhang, Tianyi Sun, Sergey Lobanov, and Linzhang Yang. 2023. "Struvite as P Fertilizer on Yield, Nutrient Uptake and Soil Nutrient Status in the Rice–Wheat Rotation System: A Two-Year Field Observation" Agronomy 13, no. 12: 2948. https://doi.org/10.3390/agronomy13122948
APA StyleWang, J., Xue, L., Hou, P., Hao, T., Xue, L., Zhang, X., Sun, T., Lobanov, S., & Yang, L. (2023). Struvite as P Fertilizer on Yield, Nutrient Uptake and Soil Nutrient Status in the Rice–Wheat Rotation System: A Two-Year Field Observation. Agronomy, 13(12), 2948. https://doi.org/10.3390/agronomy13122948
