Effects of Phosphate Application Rate on Grain Yield and Nutrition Use of Summer Maize under the Coastal Saline-Alkali Land
Abstract
:1. Introduction
2. Materials and Methods
2.1. Experimental Site
2.2. Experimental Design and Data Collection
2.3. Data Analysis
2.3.1. Total Nitrogen (N), Phosphorus (P), and Potassium (K) Uptake Content of Grain and Straw
2.3.2. Calculation of Nitrogen, Phosphorus, and Potassium Harvest Index
2.4. Determination of Optimum Phosphorus Management Using TOPSIS
- (1)
- Construction of the evaluation indices’ contribution matrix (GY, BY, TN, TP, TK, NPE, PPE and KPE)
- (2)
- Normalization of the original matrix:
- (3)
- Calculating the weighted normalized matrix:
- (4)
- Calculating the Euclidean distance:
- (5)
- Calculating the treatments’ performance scores:
3. Results
3.1. Grain Yield and Biomass Yield
3.2. Nutrient Uptake Content and Partitioning
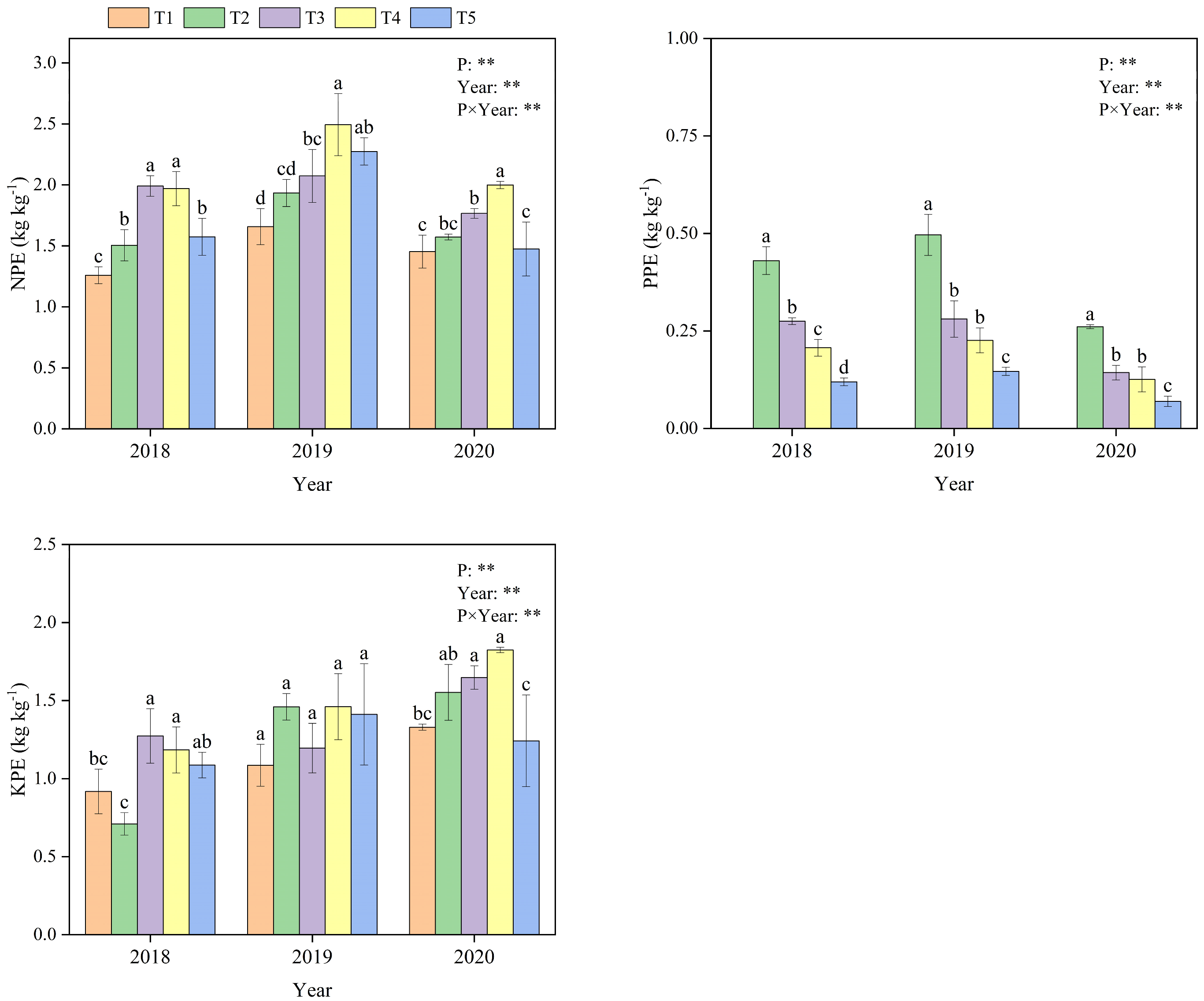
3.3. Nitrogen (Phosphorus, Potassium) Physiological Efficiency (NPE, PPE, and KPE)
3.4. Comprehensive Evaluation of P Application Scheduling
4. Discussion
5. Conclusions
Author Contributions
Funding
Data Availability Statement
Conflicts of Interest
References
- Mukhopadhyay, R.; Sarkar, B.; Jat, H.S.; Sharma, P.C.; Bolan, N.S. Soil salinity under climate change: Challenges for sustainable agriculture and food security. J. Environ. Manag. 2020, 280, 111736. [Google Scholar] [CrossRef] [PubMed]
- Jat Baloch, M.Y.; Zhang, W.; Sultana, T.; Akram, M.; Shoumik, B.A.A.; Khan, M.Z.; Farooq, M.A. Utilization of sewage sludge to manage saline–alkali soil and increase crop production: Is it safe or not? Environ. Technol. Innov. 2023, 32, 103266. [Google Scholar] [CrossRef]
- Xie, H.; Li, J.; Zhang, Y.; Xu, X.; Wang, L.; Ouyang, Z. Evaluation of coastal farming under salinization and optimized fertilization strategies in China. Sci. Total Environ. 2021, 797, 149038. [Google Scholar] [CrossRef] [PubMed]
- Eynard, A.; Lal, R.; Wiebe, K. Crop Response in Salt-Affected Soils. J. Sustain. Agric. 2005, 27, 5–50. [Google Scholar] [CrossRef]
- Bakker, D.; Hamilton, G.; Hetherington, R.; Spann, C. Salinity dynamics and the potential for improvement of waterlogged and saline land in a Mediterranean climate using permanent raised beds. Soil Tillage Res. 2010, 110, 8–24. [Google Scholar] [CrossRef]
- Du, Y.; Liu, X.; Zhang, L.; Zhou, W. Drip irrigation in agricultural saline-alkali land controls soil salinity and improves crop yield: Evidence from a global meta-analysis. Sci. Total Environ. 2023, 880, 163226. [Google Scholar] [CrossRef]
- Feng, G.; Zhang, Z.; Wan, C.; Lu, P.; Bakour, A. Effects of saline water irrigation on soil salinity and yield of summer maize (Zea mays L.) in subsurface drainage system. Agric. Water Manag. 2017, 193, 205–213. [Google Scholar] [CrossRef]
- Song, C.; Song, J.; Wu, Q.; Shen, X.; Hu, Y.; Hu, C.; Li, W.; Wang, Z. Effects of applying river sediment with irrigation water on salinity leaching during wheat-maize rotation in the Yellow River Delta. Agric. Water Manag. 2022, 276, 108032. [Google Scholar] [CrossRef]
- Liu, S.; Zhang, Q.; Li, Z.; Tian, C.; Qiao, Y.; Du, K.; Cheng, H.; Chen, G.; Li, X.; Li, F. Soil Salinity Weakening and Soil Quality Enhancement after Long-Term Reclamation of Different Croplands in the Yellow River Delta. Sustainability 2023, 15, 1173. [Google Scholar] [CrossRef]
- He, K.; Xu, Y.; He, G.; Zhao, X.; Wang, C.; Li, S.; Zhou, G.; Hu, R. Combined application of acidic biochar and fertilizer synergistically enhances Miscanthus productivity in coastal saline-alkaline soil. Sci. Total Environ. 2023, 893, 164811. [Google Scholar] [CrossRef]
- El-Syed, N.M.M.; Helmy, A.M.; Fouda, S.E.E.; Nabil, M.M.; Abdullah, T.A.; Alhag, S.K.; Al-Shuraym, L.A.; Al Syaad, K.M.; Ayyoub, A.; Mahmood, M.; et al. Biochar with Organic and Inorganic Fertilizers Improves Defenses, Nitrogen Use Efficiency, and Yield of Maize Plants Subjected to Water Deficit in an Alkaline Soil. Sustainability 2023, 15, 12223. [Google Scholar] [CrossRef]
- Ma, C.; Xiao, Y.; Puig-Bargués, J.; Shukla, M.K.; Tang, X.; Hou, P.; Li, Y. Using phosphate fertilizer to reduce emitter clogging of drip fertigation systems with high salinity water. J. Environ. Manag. 2020, 263, 110366. [Google Scholar] [CrossRef] [PubMed]
- Fertahi, S.; Pistocchi, C.; Daudin, G.; Amjoud, M.; Oukarroum, A.; Zeroual, Y.; Barakat, A.; Bertrand, I. Experimental dissolution of biopolymer-coated phosphorus fertilizers applied to a soil surface: Impact on soil pH and P dynamics. Ann. Agric. Sci. 2022, 67, 189–195. [Google Scholar] [CrossRef]
- Cao, N.; Wang, J.; Pang, J.; Hu, W.; Bai, H.; Zhou, Z.; Meng, Y.; Wang, Y. Straw retention coupled with mineral phosphorus fertilizer for reducing phosphorus fertilizer input and improving cotton yield in coastal saline soils. Field Crops Res. 2021, 274, 108309. [Google Scholar] [CrossRef]
- Qiu, R.; Du, T.; Kang, S. Root length density distribution and associated soil water dynamics for tomato plants under furrow irrigation in a solar greenhouse. J. Arid. Land 2017, 9, 637–650. [Google Scholar] [CrossRef]
- Singh, L.; Coronejo, S.; Pruthi, R.; Chapagain, S.; Subudhi, P.K. Integration of QTL Mapping and Whole Genome Sequencing Identifies Candidate Genes for Alkalinity Tolerance in Rice (Oryza sativa). Int. J. Mol. Sci. 2023, 23, 11791. [Google Scholar] [CrossRef]
- Yu, C.; Wang, G.; Zhang, H.; Chen, H.; Ma, Q. Biochar and Nitrification Inhibitor (Dicyandiamide) Combination Had a Double-Win Effect on Saline-Alkali Soil Improvement and Soybean Production in the Yellow River Delta, China. Agronomy 2022, 12, 3154. [Google Scholar] [CrossRef]
- MacDonald, G.K.; Bennett, E.M.; Potter, P.A.; Ramankutty, N. Agronomic phosphorus imbalances across the world’s croplands. Proc. Natl. Acad. Sci. USA 2011, 108, 3086–3091. [Google Scholar] [CrossRef]
- Yin, H.J.; Zhao, W.Q.; Li, T.; Chen, X.Y.; Liu, Q. Balancing straw returning and chemical fertilizers in China: Role of straw nutrient resources. Renew. Sustain. Energy Rev. 2018, 81, 2695–2702. [Google Scholar] [CrossRef]
- Wang, H.; Ren, H.; Han, K.; He, Q.; Zhang, L.; Zhao, Y.; Liu, Y.; Zhang, J.; Zhao, B.; Ren, B.; et al. Sustainable improvement strategies for summer maize yield, nitrogen use efficiency and greenhouse gas emission intensity in the North China Plain. Eur. J. Agron. 2023, 143, 126712. [Google Scholar] [CrossRef]
- Xu, M.-Z.; Wang, Y.-H.; Nie, C.-E.; Song, G.-P.; Xin, S.-N.; Lu, Y.-L.; Bai, Y.-L.; Zhang, Y.-J.; Wang, L. Identifying the Critical Phosphorus Balance for Optimizing Phosphorus Input and Regulating Soil Phosphorus Effectiveness in a Typical Winter Wheat-Summer Maize Rotation System in North China. J. Inter. Agric. 2023; in press. [Google Scholar]
- Chen, X.; Yan, X.; Wang, M.; Cai, Y.; Weng, X.; Su, D.; Guo, J.; Wang, W.; Hou, Y.; Ye, D.; et al. Long-term excessive phosphorus fertilization alters soil phosphorus fractions in the acidic soil of pomelo orchards. Soil Tillage Res. 2022, 215, 105214. [Google Scholar] [CrossRef]
- Kim, G.W.; Lim, J.Y.; Islam Bhuiyan, M.S.; Das, S.; Khan, M.I.; Kim, P.J. Investigating the arable land that is the main contributor to global warming between paddy and upland vegetable crops under excessive nitrogen fertilization. J. Clean. Prod. 2022, 346, 131197. [Google Scholar] [CrossRef]
- Yan, S.; Wu, Y.; Fan, J.; Zhang, F.; Zheng, J.; Qiang, S.; Guo, J.; Xiang, Y.; Zou, H.; Wu, L. Dynamic change and accumulation of grain macronutrient (N, P and K) concentrations in winter wheat under different drip fertigation regimes. Field Crops Res. 2020, 250, 107767. [Google Scholar] [CrossRef]
- Halder, D.; Panda, R.K.; Srivastava, R.K.; Kheroar, S. Evaluation of the CROPGRO-Peanut model in simulating appropriate sowing date and phosphorus fertilizer application rate for peanut in a subtropical region of eastern India. Crop J. 2017, 5, 317–325. [Google Scholar] [CrossRef]
- Xi, J.; Yang, X.; Geng, J.; Lang, Y. Effects of phosphorus application on phosphorus uptake and yield of maize on saline soil Soils Fertil. Sci. China 2022, 7, 58–63. [Google Scholar]
- Mazeed, A.; Maurya, P.; Kumar, D.; Prakash, O.; Suryavanshi, P. Enhancing productivity, quality, and economics of rose scented geranium (Pelargonium graveolens L.) through a novel integrated approach to phosphorus application. Ind. Crops Prod. 2023, 204, 117293. [Google Scholar] [CrossRef]
- Ullah, I. Response of Common Buckwheat to Nitrogen and Phophorus Fertilization. Sarhad J. Agric. 2012, 28, 171–178. [Google Scholar]
- Zhang, Y.; Xie, D.; Ni, J.; Zeng, X. Optimizing phosphate fertilizer application to reduce nutrient loss in a mustard (Brassica juncea var. tumida)-maize (Zea mays L.) rotation system in Three Gorges Reservoir area. Soil Tillage Res. 2019, 190, 78–85. [Google Scholar] [CrossRef]
- Li, H.; Liu, H.; Gong, X.; Li, S.; Pang, J.; Chen, Z.; Sun, J. Optimizing irrigation and nitrogen management strategy to trade off yield, crop water productivity, nitrogen use efficiency and fruit quality of greenhouse grown tomato. Agric. Water Manag. 2021, 245, 106570. [Google Scholar] [CrossRef]
- Abubakar, S.A.; Hamani, A.K.M.; Chen, J.; Sun, W.; Wang, G.; Gao, Y.; Duan, A. Optimizing N-fertigation scheduling maintains yield and mitigates global warming potential of winter wheat field in North China Plain. J. Clean. Prod. 2022, 357, 131906. [Google Scholar] [CrossRef]
- Huang, C.; Zhang, W.; Wang, H.; Gao, Y.; Ma, S.; Qin, A.; Liu, Z.; Zhao, B.; Ning, D.; Zheng, H.; et al. Effects of water deficit at different stages on growth and ear quality of waxy maize. Agric. Water Manag. 2022, 266, 107603. [Google Scholar] [CrossRef]
- Yan, F.; Liu, X.; Bai, W.; Fan, J.; Zhang, F.; Xiang, Y.; Hou, X.; Pei, S.; Dai, Y.; Zeng, H.; et al. Multi-objective optimization of water and nitrogen regimes for drip-fertigated sugar beet in a desert climate. Field Crops Res. 2022, 288, 108703. [Google Scholar] [CrossRef]
- Hou, X.; Fan, J.; Hu, W.; Zhang, F.; Yan, F.; Xiao, C.; Li, Y.; Cheng, H. Optimal irrigation amount and nitrogen rate improved seed cotton yield while maintaining fiber quality of drip-fertigated cotton in northwest China. Ind. Crops Prod. 2021, 170, 113710. [Google Scholar] [CrossRef]
- Zhang, G.; Wang, C.; Yang, H.; Zhou, Z.; Zhang, Y.; Zhao, L. Experimental Research on Improving the Salt Tolerance of Plants in Coastal Saline Soil-A Case Study of Huanghua City in Hebei Province of China. Nat. Environ. Pollut. Technol. 2018, 17, 459–468. [Google Scholar]
- Bremner, J.M. Use of an ammonia electrode for determination of ammonium in Kjeldahl analysis of soils. Commun. Soil Sci. Plant Anal. 1972, 3, 159–165. [Google Scholar] [CrossRef]
- Byrt, C.S.; Munns, R.; Gilliham, R.A.B.M.; Wege, S. Root cell wall solutions for crop plants in saline soils. Plant Sci. 2018, 269, 47–55. [Google Scholar] [CrossRef]
- Talbi Zribi, O.; Abdelly, C.; Debez, A. Interactive effects of salinity and phosphorus availability on growth, water relations, nutritional status and photosynthetic activity of barley (Hordeum vulgare L.). Plant Biol. 2011, 13, 872–880. [Google Scholar] [CrossRef]
- Liu, Z.; Shang, H.; Han, F.; Zhang, M.; Li, Q.; Zhou, W. Improvement of nitrogen and phosphorus availability by Pseudoalteromonas sp. during salt-washing in saline-alkali soil. Appl. Soil Ecol. 2021, 168, 104117. [Google Scholar] [CrossRef]
- Loudari, A.; Mayane, A.; Naciri, R.; Zeroual, Y.; Colinet, G.; Oukarroum, A. Root morphological and anatomical responses to increasing phosphorus concentration of wheat plants grown under salinity. Plant Stress 2022, 6, 100121. [Google Scholar] [CrossRef]
- Orozco-Mosqueda, M.d.C.; Glick, B.R.; Santoyo, G. ACC deaminase in plant growth-promoting bacteria (PGPB): An efficient mechanism to counter salt stress in crops. Microbiol. Res. 2020, 235, 126439. [Google Scholar] [CrossRef]
- Barros, N.L.F.; Marques, D.N.; Tadaiesky, L.B.A.; de Souza, C.R.B. Halophytes and other molecular strategies for the generation of salt-tolerant crops. Plant Physiol. Biochem. 2021, 162, 581–591. [Google Scholar] [CrossRef] [PubMed]
- Sun, Q.; Zhang, P.; Zhao, Z.; Sun, X.; Liu, X.; Zhang, H.; Jiang, W. Maize Genotypes Sensitive and Tolerant to Low Phosphorus Levels Exhibit Different Transcriptome Profiles under Talaromyces purpurogenus Symbiosis and Low-Phosphorous Stress. Int. J. Mol. Sci. 2023, 24, 1511941. [Google Scholar] [CrossRef] [PubMed]
- Jiang, W.; Liu, X.; Wang, X.; Yang, L.; Yin, Y. Improving Phosphorus Use Efficiency and Optimizing Phosphorus Application Rates for Maize in the Northeast Plain of China for Sustainable Agriculture. Sustainability 2019, 11, 4799. [Google Scholar] [CrossRef]
- Zhang, Y.; Wei, W.; Gao, W.; Cui, H.; Xu, X.; Jiang, W.; Liu, S. Content Patterns of Maize Endogenous Hormones and Grain Yield Influenced by Field Phosphorus Application. Agronomy 2023, 13, 1911. [Google Scholar] [CrossRef]
- Chen, X.; Ren, H.; Zhang, J.; Zhao, B.; Ren, B.; Wan, Y.; Liu, P. Deep Phosphorus Fertilizer Placement Increases Maize Productivity by Improving Root-shoot Coordination and Photosynthetic Performance. Soil Tillage Res. 2023, 235, 105915. [Google Scholar] [CrossRef]
- Graciano, C.; Guiamét, J.J.; Goya, J.F. Impact of nitrogen and phosphorus fertilization on drought responses in Eucalyptus grandis seedlings. For. Ecol. Manag. 2005, 212, 40–49. [Google Scholar] [CrossRef]
- Yan, J.; Ren, T.; Wang, K.; Li, H.; Li, X.; Cong, R.; Lu, J. Improved crop yield and phosphorus uptake through the optimization of phosphorus fertilizer rates in an oilseed rape-rice cropping system. Field Crops Res. 2022, 286, 108614. [Google Scholar] [CrossRef]
- Liu, J.; Si, Z.; Wu, L.; Shen, X.; Gao, Y.; Duan, A. High-low seedbed cultivation drives the efficient utilization of key production resources and the improvement of wheat productivity in the North China Plain. Agric. Water Manag. 2023, 285, 108357. [Google Scholar] [CrossRef]
- Roberts, T.L.; Johnston, A.E. Phosphorus use efficiency and management in agriculture. Resour. Conserv. Recycl. 2015, 105, 275–281. [Google Scholar] [CrossRef]
- Goyette, J.O.; Botrel, M.; Billen, G.; Garnier, J.; Maranger, R. Agriculture specialization influence on nutrient use efficiency and fluxes in the St. Lawrence Basin over the 20th century. Sci. Total Environ. 2023, 856, 159018. [Google Scholar] [CrossRef]
- Duan, Y.-H.; Shi, X.-J.; Li, S.-L.; Sun, X.-F.; He, X.-H. Nitrogen Use Efficiency as Affected by Phosphorus and Potassium in Long-Term Rice and Wheat Experiments. J. Integr. Agric. 2014, 13, 588–596. [Google Scholar] [CrossRef]
- Nachimuthu, G.; Schwenke, G.; Baird, J.; McPherson, A.; Mercer, C.; Sargent, B.; Hundt, A.; Macdonald, B. Cotton yield response to fertilizer phosphorus under a range of nitrogen management tactics. Agric. Ecosyst. Environ. 2022, 1, 214–219. [Google Scholar] [CrossRef]
- Mai, W.; Xue, X.; Feng, G.; Yang, R.; Tian, C. Can optimization of phosphorus input lead to high productivity and high phosphorus use efficiency of cotton through maximization of root/mycorrhizal efficiency in phosphorus acquisition? Field Crops Res. 2018, 216, 100–108. [Google Scholar] [CrossRef]
- Sonmez, O.; Turan, V.; Kaya, C. The effects of sulfur, cattle, and poultry manure addition on soil phosphorus. Turk J. Agric. 2016, 40, 536–541. [Google Scholar] [CrossRef]
- Wu, L.; Zhang, S.; Chen, M.; Liu, J.; Ding, X. A sustainable option: Biochar addition can improve soil phosphorus retention and rice yield in a saline–alkaline soil Environ. Technol. Innov. 2021, 24, 102070. [Google Scholar] [CrossRef]
- Hu, J.; Zhang, S.; Yang, S.; Zhou, J.; Jiang, Z.; Qi, S.; Xu, Y. Effects of Irrigation and Fertilization Management on Yield and Quality of Rice and the Establishment of a Quality Evaluation System. Agronomy 2023, 13, 2034. [Google Scholar] [CrossRef]
- Liu, Y.; Zhou, Y.; Zhang, X.; Cao, N.; Li, B.; Liang, J.; Yang, Q. Effects of Combined Application of Biological Agent and Fertilizer on Fungal Community Structure in Rhizosphere Soil of Panax notoginseng. Agronomy 2023, 13, 2093. [Google Scholar] [CrossRef]







Disclaimer/Publisher’s Note: The statements, opinions and data contained in all publications are solely those of the individual author(s) and contributor(s) and not of MDPI and/or the editor(s). MDPI and/or the editor(s) disclaim responsibility for any injury to people or property resulting from any ideas, methods, instructions or products referred to in the content. |
© 2023 by the authors. Licensee MDPI, Basel, Switzerland. This article is an open access article distributed under the terms and conditions of the Creative Commons Attribution (CC BY) license (https://creativecommons.org/licenses/by/4.0/).
Share and Cite
Ma, C.; Yuan, H.; Shi, N.; Sun, Z.; Liu, S.; Wang, X.; Li, B.; Li, S.; Liu, Z. Effects of Phosphate Application Rate on Grain Yield and Nutrition Use of Summer Maize under the Coastal Saline-Alkali Land. Agronomy 2023, 13, 2668. https://doi.org/10.3390/agronomy13112668
Ma C, Yuan H, Shi N, Sun Z, Liu S, Wang X, Li B, Li S, Liu Z. Effects of Phosphate Application Rate on Grain Yield and Nutrition Use of Summer Maize under the Coastal Saline-Alkali Land. Agronomy. 2023; 13(11):2668. https://doi.org/10.3390/agronomy13112668
Chicago/Turabian StyleMa, Changjian, Huabin Yuan, Ning Shi, Zeqiang Sun, Shenglin Liu, Xuejun Wang, Bowen Li, Shuang Li, and Zhaohui Liu. 2023. "Effects of Phosphate Application Rate on Grain Yield and Nutrition Use of Summer Maize under the Coastal Saline-Alkali Land" Agronomy 13, no. 11: 2668. https://doi.org/10.3390/agronomy13112668
APA StyleMa, C., Yuan, H., Shi, N., Sun, Z., Liu, S., Wang, X., Li, B., Li, S., & Liu, Z. (2023). Effects of Phosphate Application Rate on Grain Yield and Nutrition Use of Summer Maize under the Coastal Saline-Alkali Land. Agronomy, 13(11), 2668. https://doi.org/10.3390/agronomy13112668
