Effects of Precise K Fertilizer Application on the Yield and Quality of Rice under the Mode of Light, Simple, and High-Efficiency N Fertilizer Application during the Panicle Stage
Abstract
:1. Introduction
2. Materials and Methods
2.1. Plant Materials and Site Description
2.2. Experimental Design
2.3. Sampling and Measurements
2.3.1. Determination of Basic Physical and Chemical Properties of Soil
2.3.2. Grain Yield
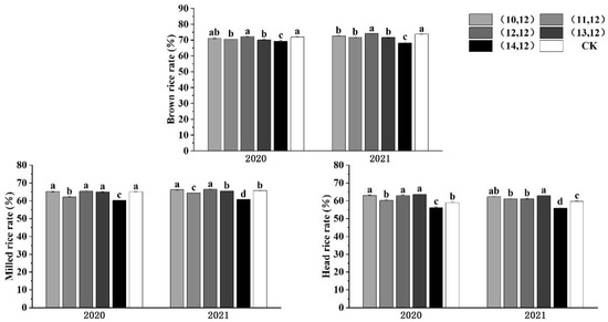
2.3.3. Determination of Milling Quality of Rice Grain
2.3.4. Determination of Amylose and Protein Contents of Rice Grain
2.3.5. Determination of Starch Pasting Viscosity of Rice Grain
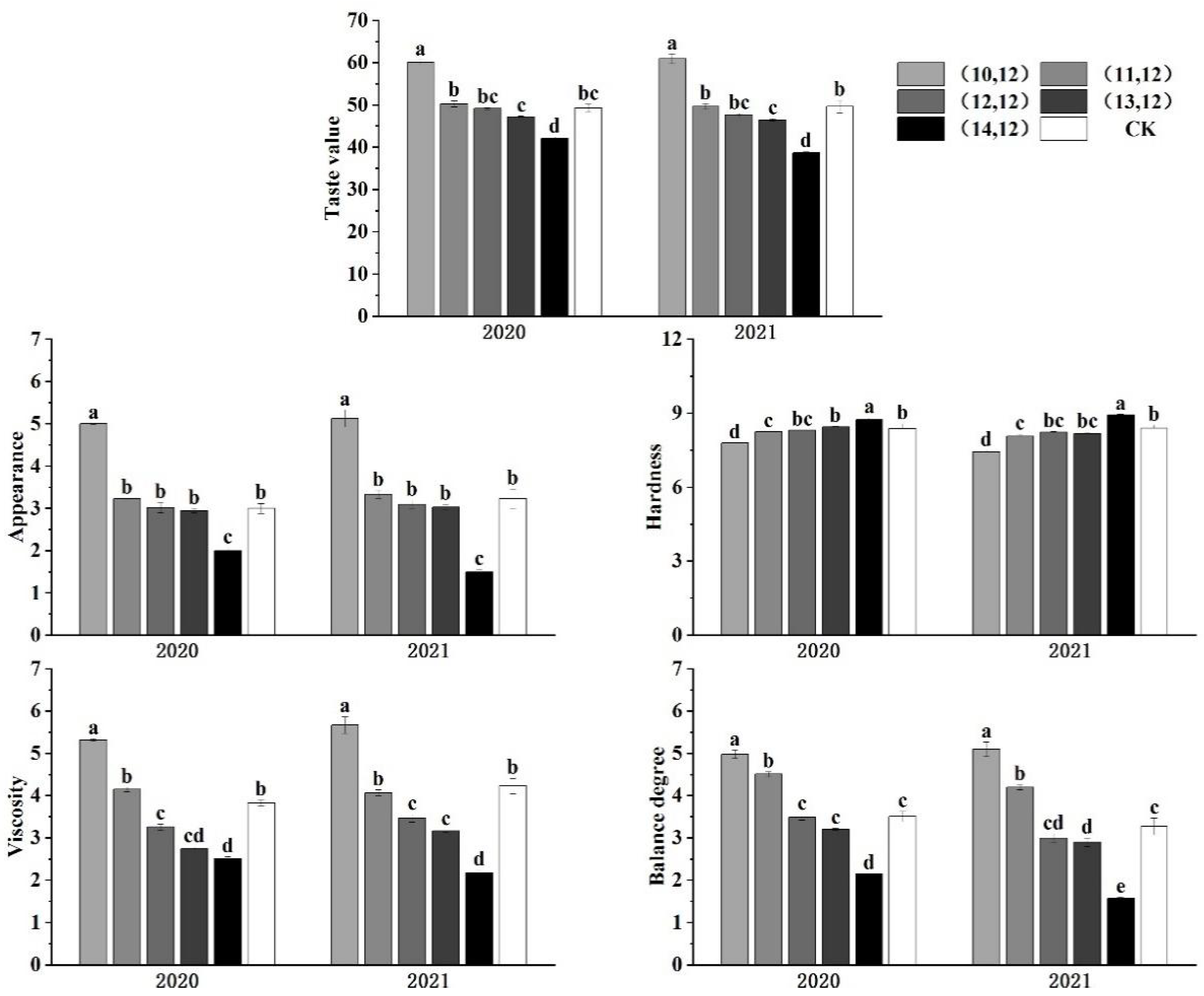
2.3.6. Determination of Taste Quality of Rice Grain
2.4. Statistical Analysis
3. Results
3.1. Grain Yield and Yield Components
3.2. Processing Quality
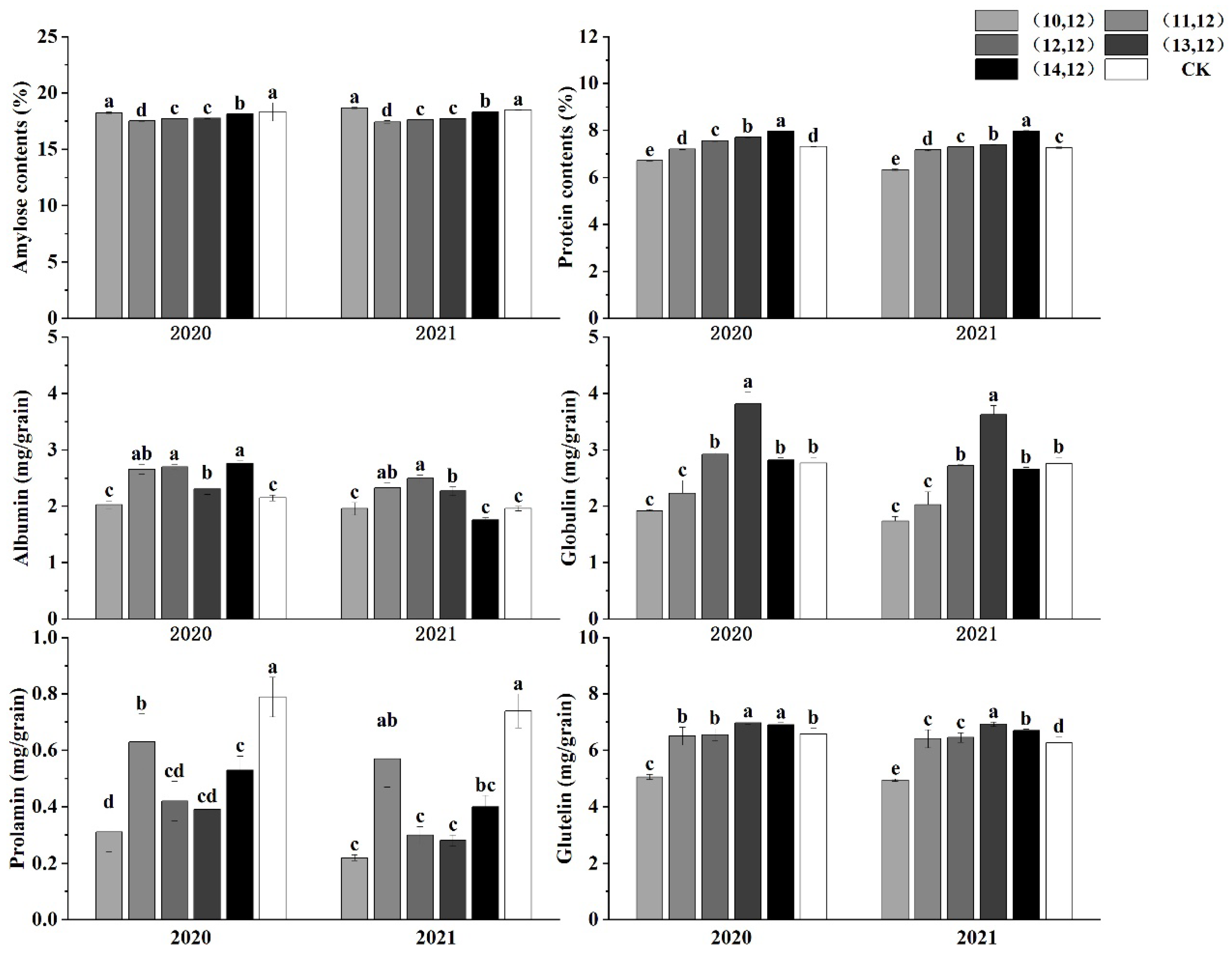
3.3. Nutritional Quality
3.4. RVA Profile Characteristics
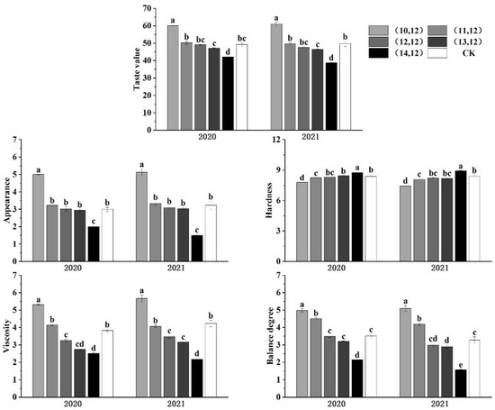
3.5. Cooking Quality
3.6. Correlations between the Traits
4. Discussion
4.1. Effects of the Quantitative Application of N and K Fertilizers at Different Leaf Ages on Yield
4.2. Effects of the Quantitative Application of N and K Fertilizers at Different Leaf Ages on Various Quality Indicators
4.3. Study on the Synergistic Improvement of Yield and Quality by the Quantitative Application of N and K Fertilizers at Different Leaf Ages during the Panicle Stage
Author Contributions
Funding
Conflicts of Interest
References
- Normile, D. Agricultural research. Reinventing rice to feed the world. Science 2008, 321, 5887. [Google Scholar] [CrossRef] [PubMed]
- Li, W.; Younger, P.; Cheng, Y.; Zhang, B.; Zhou, H.; Liu, Q. Addressing the CO2 emissions of the world’s largest coal producer and consumer: Lessons from the Haishiwan Coalfield, China. Energy 2015, 80, 400–413. [Google Scholar] [CrossRef] [Green Version]
- Xin, F.; Xiao, X.; Dong, J.; Zhang, G.; Li, B. Large increases of paddy rice area, gross primary production, and grain production in Northeast China during 2000-2017. Sci. Total Environ. 2019, 711, 135183. [Google Scholar] [CrossRef] [PubMed]
- Gilbert, P. Eutrophication, harmful algae and biodiversity—Challenging paradigms in a world of complex nutrient changes. Mar. Pollut. Bull. 2017, 124, 591–606. [Google Scholar] [CrossRef]
- Wang, Y.; Chen, Y.; Wu, W. Potassium and phosphorus transport and signaling in plants. J. Integr. Plant Biol. 2021, 63, 34–52. [Google Scholar] [CrossRef]
- Ye, T.; Li, Y.; Zhang, J.; Hou, W.; Zhou, W.; Lu, J.; Xing, Y.; Li, X. Nitrogen, phosphorus, and potassium fertilization affects the flowering time of rice (Oryza sativa L.). Glob. Ecol. Conserv. 2019, 20, e00753. [Google Scholar] [CrossRef]
- Armengaud, P.; Breitling, R.; Amtmann, A. The Potassium-Dependent Transcriptome of Arabidopsis Reveals a Prominent Role of Jasmonic Acid in Nutrient Signaling. Plant Physiol. 2004, 1, 2556–2576. [Google Scholar] [CrossRef] [Green Version]
- Kalaji, H.M.; Oukarroum, A.; Alexandrov, V.; Kouzmanova, M.; Brestic, M.; Zivcak, M. Identification of nutrient deficiency in maize and tomato plants by invivo chlorophyll a fluorescence measurements. Plant Physiol Biochem. 2014, 81, 16–25. [Google Scholar] [CrossRef]
- Wang, H.; Lu, Y.; Xu, J.; Liu, X.; Sheng, L. Effects of additives on nitrogen transformation and greenhouse gases emission of co-composting for deer manure and corn straw. Environ. Sci. Pollut. Res. 2021, 28, 13000–13020. [Google Scholar] [CrossRef]
- Christian, Z.; Mehmet, S.; Edgar, P. Potassium in agriculture—Status and perspectives. J. Plant Physiol. 2014, 171, 656–669. [Google Scholar] [CrossRef]
- Cheng, F.; Zhong, L.; Wang, F.; Zhang, G. Differences in cooking and eating properties between chalky and translucent parts in rice grains. Food Chem. 2005, 90, 39–46. [Google Scholar] [CrossRef]
- Zhang, Z.; Chu, G.; Liu, L.; Wang, Z.; Wang, X.; Zhang, H.; Yang, J.; Zhang, J. Mid-season nitrogen application strategies for rice varieties differing in panicle size. Field Crops Res. 2013, 150, 9–18. [Google Scholar] [CrossRef]
- Yoshida, H.; Horie, T.; Shiraiwa, T. A model explaining genotypic and environmental variation of rice spikelet number per unit area measured by cross-locational experiments in Asia. Field Crops Res. 2006, 97, 337–343. [Google Scholar] [CrossRef]
- Tan, P.; Anh, T.; Luat, N.; Puckridge, D. Yield trends of a long-term NPK experiment for intensive rice monoculture in the Mekong River Delta of Viet Nam. Field Crops Res. 1995, 42, 101–109. [Google Scholar] [CrossRef]
- Yao, X.; Zhang, Y.; Lu, Z.; Zhou, Y. A bibliometric review of nitrogen research in eutrophic lakes and reservoirs. J. Environ. Sci. 2017, 66, 274–285. [Google Scholar] [CrossRef]
- Zhao, L.; Li, K.; Wang, Q.; Song, X.; Su, H.; Xie, B. Nitrogen Starvation Impacts the Photosynthetic Performance of Porphyridium cruentum as Revealed by Chlorophyll a Fluorescence. Sci. Rep. 2017, 7, 8542. [Google Scholar] [CrossRef]
- Zhang, H.; Wu, G.; Huo, Z.; Xu, K. Precise Postponing Nitrogen Application and Its Mechanism in Rice. Acta Agron. Sin. 2011, 37, 1837–1851. [Google Scholar] [CrossRef]
- Ling, Q.; Zhang, H.; Dai, Q.; Ding, Y.; Wang, S. Study on Precise and Quantitative N Application in Rice. Sci. Agric. Sin. 2005, 38, 2457–2467. [Google Scholar]
- Yin, C.; Zhang, H.; Zhang, Q.; Wei, H.; Dai, Q.; Huo, Z. Preliminary Study on Parameters of Precise and Quantitative Nitrogen Application in Rice Varieties with Different Growth Period Durations. Acta Agron. Sin. 2010, 43, 39–50. (In Chinese) [Google Scholar] [CrossRef]
- Yi, J.; Gao, J.; Zhang, W.; Zhao, Y.Z.; Xin, W. Delayed timing of tillering fertilizer improved grain yield and nitrogen use efficiency in japonica rice. Crop Sci. 2020, 60, 1021–1033. [Google Scholar] [CrossRef]
- Wang, Y.; Yi, J.; Gao, J.; Zhang, L.; Yang, J.; Zhao, Y.; Xin, W.; Zhen, X.; Zhang, W. Effects of precision leaf age fertilization on yield and nitrogen utilization of japonica rice. Crop J. 2020, 46, 102–116. (In Chinese) [Google Scholar] [CrossRef]
- Xin, W.; Zhang, L.; Zhang, W.; Gao, J.; Yi, J.; Zhen, X.; Du, M.; Zhao, Y.; Chen, L. Morphological and Physiological Characteristics of Rice Cultivars with Higher Yield and Nitrogen Use Efficiency at Various Nitrogen Rates. Agronomy 2022, 12, 358. [Google Scholar] [CrossRef]
- Du, M.; Zhang, W.; Gao, J.; Liu, M.; Zhou, Y.; He, D.; Zhao, Y. Improvement of Root Characteristics Due to Nitrogen, Phosphorus, and Potassium Interactions Increases Rice (Oryza sativa L.) Yield and Nitrogen Use Efficiency. Agronomy 2022, 12, 23. [Google Scholar] [CrossRef]
- Hirooka, Y.; Homma, K.; Shiraiwa, T.; Makino, Y.; Liu, T.; Xu, Z. Yield and growth characteristics of erect panicle type rice (Oryza sativa L.) cultivar, Shennong265 under various crop management practices in Western Japan. Plant Prod. Sci. 2018, 21, 1–7. [Google Scholar] [CrossRef] [Green Version]
- Huang, X.; Qian, Q.; Liu, Z.; Sun, H.; He, S.; Luo, D. Natural variation at the DEP1 locus enhances grain yield in rice. Nat. Genet. 2009, 41, 494–497. [Google Scholar] [CrossRef]
- Sun, H.; Qian, Q.; Wu, K.; Luo, J.; Wang, S. Heterotrimeric G proteins regulate nitrogen-use efficiency in rice. Nat. Genet. 2014, 46, 652–656. [Google Scholar] [CrossRef]
- Bao, S. Soil and Agricultural Chemistry Analysis; China Agriculture Press: Beijing, China, 2000; pp. 33–35, 44–49, 56–58, 81, 105–107. (In Chinese) [Google Scholar]
- Luthe, D. Storage protein accumulation in developing rice (Oryza sativa L.) seeds. Plant Sci. Lett. 1983, 32, 147–158. [Google Scholar] [CrossRef]
- Liu, Z.; Cheng, F.; Cheng, W.; Zhang, G. Positional variations in phytic acid and protein content within a panicle of japonica rice. J. Cereal Sci. 2005, 41, 297–303. [Google Scholar] [CrossRef]
- Champagne, E.; Bett, K.; Vinyard, B.; Mcclung, A.; Barton, F.; Moldenhauer, K. Correlation Between Cooked Rice Texture and Rapid Visco Analyser Measurements. Cereal Chem. 1999, 76, 764–771. [Google Scholar] [CrossRef]
- Cao, X.; Sun, H.; Wang, C.; Ren, X.; Liu, H.; Zhang, Z. Effects of late-stage nitrogen fertilizer application on the starch structure and cooking quality of rice. J. Sci. Food Agric. 2017, 98, 2332–2340. [Google Scholar] [CrossRef]
- Hou, W.; Yan, J.; Jákli, B.; Lu, J.; Ren, T.; Cong, R. Synergistic effects of nitrogen and potassium on quantitative limitations to photosynthesis in rice (Oryza sativa L.). J. Agric. Food Chem. 2018, 66, 5125–5132. [Google Scholar] [CrossRef] [PubMed]
- Fageria, N. Nutrient management for improving low land rice productivity and sustainability. Adv. Agron. 2003, 80, 63–152. [Google Scholar] [CrossRef]
- Srivastava, P.; Srivastava, P.; Singh, U.; Shrivastava, M. Effect of integrated and balanced nutrient application on soil fertility, yield and quality of Basmati rice. Arch. Agron. Soil Sci. 2009, 55, 265–284. [Google Scholar] [CrossRef]
- Sui, B.; Feng, X.; Tian, G.; Hu, X.; Guo, S. Optimizing nitrogen supply increases rice yield and nitrogen use efficiency by regulating yield formation factors. Field Crops Res. 2013, 150, 99–107. [Google Scholar] [CrossRef]
- Yan, S.; Wm, D.; Ls, A.; Ys, A.; Lw, C. Controlled-release fertilizer enhances rice grain yield and N recovery efficiency in continuous non-flooding plastic film mulching cultivation system. Field Crops Res. 2019, 231, 122–129. [Google Scholar] [CrossRef]
- Popp, M.; Slaton, N.; Norsworthy, J.; Dixon, B. Rice yield response to potassium: An economic analysis. Agron. J. 2020, 113, 287–297. [Google Scholar] [CrossRef]
- Mallarino, A.; Webb, J.; Blackmer, A. Soil test values and grain yields during 14 years of potassium fertilization of corn and soybean. J. Prod. Agric. 1991, 4, 560–567. [Google Scholar] [CrossRef]
- Fryer, M.; Slaton, N.; Roberts, T.; Ross, W. Validation of Soil-Test-Based Phosphorus and Potassium Fertilizer Recommendations for Irrigated Soybean. Soil Sci. Soc. Am. J. 2019, 83, 825–837. [Google Scholar] [CrossRef] [Green Version]
- Atapattu, A.; Prasantha, B.; Amaratunga, K.; Marambe, B. Increased rate of potassium fertilizer at the time of heading enhance the quality of direct-seeded rice. Chem. Biol. Technol. Agric. 2018, 5, 1–9. [Google Scholar] [CrossRef]
- Singh, B.; Singh, Y.; Imas, P.; Xie, J. Potassium Nutrition of the Rice–Wheat Cropping System. Adv. Agron. 2003, 81, 203–259. [Google Scholar] [CrossRef]
- Armengaud, P.; Sulpice, R.; Miller, A.; Stitt, M.; Amtmann, A.; Gibon, Y. Multilevel Analysis of Primary Metabolism Provides New Insights into the Role of Potassium Nutrition for Glycolysis and Nitrogen Assimilation in Arabidopsis Roots. Plant Physiol. 2009, 2, 772–785. [Google Scholar] [CrossRef] [Green Version]
- Wang, Q.; Zhen, R.; Ding, Y.; Ji, Z.; Huang, P. Effects of potassium fertilizer application rates on plant potassium accumulation and grain quality of japonica rice. Sci. Agric. Sin. 2004, 37, 1444–1450. (In Chinese) [Google Scholar]
- Bahmaniar, M.; Ranjbar, G. Response of rice (Oryza sativa L.) cooking quality properties to nitrogen and potassium application. Pak. J. Biol. Sci. 2007, 10, 1880–1884. [Google Scholar] [CrossRef]
- Balindong, J.; Ward, R.; Liu, L.; Rose, T.; Pallas, L.; Ovenden, B.; Waters, D. Rice grain protein composition influences instrumental measures of rice cooking and eating quality. J. Cereal Sci. 2018, 79, 35–42. [Google Scholar] [CrossRef] [Green Version]
- Umemoto, T.; Aoki, N.; Lin, H.; Nakamura, Y.; Maruyama, S. Natural variation in rice starch synthase IIa affects enzyme and starch properties. Funct. Plant Biol. 2004, 31, 671–684. [Google Scholar] [CrossRef]
- Waters, D.; Fitzgerald, M.; Henry, R. Gelatinization temperature of rice explained by polymorphisms in starch synthase. Plant Biotechnol. J. 2006, 4, 115–122. [Google Scholar] [CrossRef]
- Noda, T.; Nishiba, Y.; Sato, T.; Suda, I. Properties of starches from several low-amylose rice cultivars. Cereal Chem. 2003, 80, 193–197. [Google Scholar] [CrossRef]
- Lyon, B.; Champagne, E.; Vinyard, B.; Windham, W.; Barton, F.; Webb, B. Effects of degree of milling, drying condition, and final moisture content on sensory texture of cooked rice. Cereal Chem. 1999, 76, 56–62. [Google Scholar] [CrossRef]
- Baxter, G.; Zhao, J.; Blanchard, C. Albumin Significantly Affects Pasting and Textural Characteristics of Rice Flour. Cereal Chem. 2010, 87, 250–255. [Google Scholar] [CrossRef]
- Zhou, Z.; Robards, K.; Helliwell, S.; Blanchard, C. Effect of storage temperature on rice thermal properties. Food Res. Int. 2010, 43, 709–715. [Google Scholar] [CrossRef]
- Bharali, A.; Baruah, K. Effects of integrated nutrient management on sucrose phosphate synthase enzyme activity and grain quality traits in rice. Physiol. Mol. Biol. Plants 2020, 28, 383–389. [Google Scholar] [CrossRef]
- Müller, A.; Coradi, P.; Nunes, M.; Grohs, M.; Bressiani, J.; Teodoro, P.; Flores, E. Effects of cultivars and fertilization levels on the quality of rice milling: A diagnosis using near-infrared spectroscopy, X-ray diffraction, and scanning electron microscopy. Food Res. Int. 2021, 147, 110524. [Google Scholar] [CrossRef]
- Ahmad, I.; Mian, A.; Maathuis, F. Overexpression of the rice AKT1 potassium channel affects potassium nutrition and rice drought tolerance. J. Exp. Bot. 2016, 67, 2689–2698. [Google Scholar] [CrossRef] [Green Version]
- Wu, Y.; Hu, Y.; Xu, G. Interactive effects of potassium and sodium on root growth and expression of K/Na transporter genes in rice. Plant Growth Regul. 2009, 57, 271–280. [Google Scholar] [CrossRef]
- Yang, T.; Zhang, S.; Hu, Y.; Wu, F.; Hu, Q.; Chen, G. The Role of a Potassium Transporter OsHAK5 in Potassium Acquisition and Transport from Roots to Shoots in Rice at Low Potassium Supply Levels. Plant Physiol. 2014, 166, 945–959. [Google Scholar] [CrossRef] [Green Version]











| K Treatment | N Treatment | Basal Fertilizer (kg ha−1) | Tillering Fertilizer (kg ha−1) | Panicle Fertilizer (kg ha−1) | Application Time | |||
|---|---|---|---|---|---|---|---|---|
| N | P | K | N | N | K | |||
| K1 | N0 | 81.00 | 112.50 | 56.25 | 54.00 | 0 | 39.38 | Basel fertilizer was applied one day before transplanting. Tillering fertilizer was applied on 9th-leaf. Panicle N fertilizer was applied on 12th-leaf. Panicle K fertilizer was applied on 10th-leaf, 11th-leaf, 12th-leaf, 13th-leaf, or 14th-leaf, respectively, and only once. |
| N1 | 81.00 | 112.50 | 56.25 | 54.00 | 72.00 | 39.38 | ||
| N2 | 81.00 | 112.50 | 56.25 | 54.00 | 90.00 | 39.38 | ||
| N3 | 81.00 | 112.50 | 56.25 | 54.00 | 108.00 | 39.38 | ||
| K2 | N0 | 81.00 | 112.50 | 56.25 | 54.00 | 0 | 47.81 | |
| N1 | 81.00 | 112.50 | 56.25 | 54.00 | 72.00 | 47.81 | ||
| N2 | 81.00 | 112.50 | 56.25 | 54.00 | 90.00 | 47.81 | ||
| N3 | 81.00 | 112.50 | 56.25 | 54.00 | 108.00 | 47.81 | ||
| K3 | N0 | 81.00 | 112.50 | 56.25 | 54.00 | 0 | 56.25 | |
| N1 | 81.00 | 112.50 | 56.25 | 54.00 | 72.00 | 56.25 | ||
| N2 | 81.00 | 112.50 | 56.25 | 54.00 | 90.00 | 56.25 | ||
| N3 | 81.00 | 112.50 | 56.25 | 54.00 | 108.00 | 56.25 | ||
| K4 | N0 | 81.00 | 112.50 | 56.25 | 54.00 | 0 | 64.69 | |
| N1 | 81.00 | 112.50 | 56.25 | 54.00 | 72.00 | 64.69 | ||
| N2 | 81.00 | 112.50 | 56.25 | 54.00 | 90.00 | 64.69 | ||
| N3 | 81.00 | 112.50 | 56.25 | 54.00 | 108.00 | 64.69 | ||
| K5 | N0 | 81.00 | 112.50 | 56.25 | 54.00 | 0 | 73.13 | |
| N1 | 81.00 | 112.50 | 56.25 | 54.00 | 72.00 | 73.13 | ||
| N2 | 81.00 | 112.50 | 56.25 | 54.00 | 90.00 | 73.13 | ||
| N3 | 81.00 | 112.50 | 56.25 | 54.00 | 108.00 | 73.13 | ||
| CK | 81.00 | 112.50 | 56.25 | 54.00 | 90.00 | 56.25 | Basal fertilizer was applied one day before transplanting. Tiller fertilizer was applied 7 days after transplanting. Panicle fertilizer was applied 60 days after transplanting. | |
| Year | Treatment | NO. of Panicle per Plant | NO. of Grains per Panicle | Seed-Setting Rate (%) | 1000-Grain Weight (g) | Grain Yield (g∙m−2) |
|---|---|---|---|---|---|---|
| 2020 | K1N1 | 12.53 b | 155.83 a | 93.84 a | 23.12 a | 840.71 b |
| K1N2 | 13.47 ab | 152.55 a | 94.34 a | 23.60 a | 929.47 b | |
| K1N3 | 14.60 a | 157.34 a | 93.49 a | 23.65 a | 1087.32 a | |
| K2N1 | 12.87 b | 149.71 b | 94.47 a | 24.23 a | 958.99 b | |
| K2N2 | 13.9 ab | 156.67 ab | 93.07 a | 24.22 a | 1097.98 a | |
| K2N3 | 14.47 a | 165.59 a | 93.36 a | 24.30 a | 1151.49 a | |
| K3N1 | 15.73 a | 178.96 a | 91.91 a | 23.70 a | 1080.56 a | |
| K3N2 | 14.13 b | 173.01 a | 93.54 a | 24.06 a | 1080.56 a | |
| K3N3 | 13.93 b | 168.88 a | 95.53 a | 23.69 a | 1009.22 a | |
| K4N1 | 16.07 a | 156.71 a | 93.58 b | 24.38 a | 1089.37 a | |
| K4N2 | 14.60 b | 155.49 ab | 94.30 ab | 24.38 a | 973.14 b | |
| K4N3 | 14.07 b | 152.74 b | 95.45 a | 24.09 a | 924.55 b | |
| K5N1 | 13.13 a | 136.44 a | 95.47 a | 25.41 a | 1038.74 a | |
| K5N2 | 13.00 a | 134.43 ab | 96.94 a | 25.98 a | 982.36 ab | |
| K5N3 | 11.87 a | 125.47 b | 96.16 a | 25.58 a | 894.21 b | |
| 2021 | K1N1 | 11.73 b | 152.13 a | 94.12 a | 24.07 a | 914.51 a |
| K1N2 | 12.52 ab | 153.12 a | 94.03 a | 24.32 a | 939.31 a | |
| K1N3 | 13.46 a | 155.27 a | 93.78 a | 24.62 a | 945.05 a | |
| K2N1 | 11.92 b | 150.27 b | 94.75 a | 24.72 a | 965.76 b | |
| K2N2 | 12.91 ab | 153.41 ab | 94.42 a | 24.75 a | 1009.01 ab | |
| K2N3 | 13.88 a | 159.57 a | 94.07 a | 24.73 a | 1064.98 a | |
| K3N1 | 15.01 ab | 160.23 a | 93.21 b | 24.31 a | 1040.17 a | |
| K3N2 | 13.92 b | 160.52 a | 94.33 a | 24.26 a | 1022.54 a | |
| K3N3 | 12.73 b | 163.22 a | 94.36 a | 24.25 a | 998.56 a | |
| K4N1 | 15.32 a | 150.23 a | 94.37 c | 24.00 a | 925.99 a | |
| K4N2 | 14.09 b | 154.16 a | 94.89 b | 24.78 a | 877.40 b | |
| K4N3 | 13.93 b | 150.36 a | 95.41 a | 24.89 a | 867.77 b | |
| K5N1 | 12.42 a | 140.17 a | 96.31 b | 25.78 a | 954.07 a | |
| K5N2 | 12.27 a | 137.24 ab | 96.48 ab | 25.72 a | 911.23 a | |
| K5N3 | 12.00 a | 124.25 b | 97.00 a | 25.99 a | 925.78 a | |
| F-value | K | ** | ** | ** | ** | ** |
| N | ** | ns | ns | ns | ns | |
| Y | * | * | ns | ns | * | |
| K × N | ns | ** | ** | ns | * | |
| N × Y | ns | ns | ns | ns | ns | |
| K × Y | ns | * | ns | ns | ns | |
| K × N × Y | ns | ns | ns | ns | ns |
| Year | Treatment | Brown Rice Rate (%) | Milled Rice Rate (%) | Head Rice Rate (%) |
|---|---|---|---|---|
| 2020 | K1N1 | 67.67 b | 60.57 b | 56.82 b |
| K1N2 | 68.25 b | 61.26 ab | 57.17 b | |
| K1N3 | 69.96 a | 62.00 a | 59.40 a | |
| K2N1 | 68.65 b | 61.25 b | 57.50 b | |
| K2N2 | 70.00 ab | 63.01 ab | 60.15 a | |
| K2N3 | 71.02 a | 64.60 a | 62.00 a | |
| K3N1 | 71.54 a | 64.23 a | 61.09 a | |
| K3N2 | 71.32 a | 64.11 a | 60.32 a | |
| K3N3 | 70.02 b | 63.92 a | 59.62 b | |
| K4N1 | 70.23 a | 64.15 a | 61.01 a | |
| K4N2 | 68.39 b | 63.08 a | 59.25 ab | |
| K4N3 | 66.57 b | 62.52 a | 57.56 b | |
| K5N1 | 68.32 a | 63.10 a | 59.95 a | |
| K5N2 | 66.40 a | 61.00 ab | 54.52 b | |
| K5N3 | 64.63 b | 60.03 b | 53.97 b | |
| 2021 | K1N1 | 68.66 b | 62.63 b | 57.37 b |
| K1N2 | 70.14 b | 64.56 ab | 59.17 b | |
| K1N3 | 72.30 a | 65.94 a | 61.40 a | |
| K2N1 | 69.31 b | 63.27 b | 58.45 b | |
| K2N2 | 70.40 ab | 64.01 ab | 61.15 a | |
| K2N3 | 71.92 a | 66.60 a | 62.40 a | |
| K3N1 | 72.64 a | 66.19 a | 62.13 a | |
| K3N2 | 72.31 a | 65.92 a | 61.09 ab | |
| K3N3 | 69.41 b | 65.73 a | 59.43 b | |
| K4N1 | 72.41 a | 65.45 a | 62.06 a | |
| K4N2 | 70.39 b | 64.18 a | 60.35 ab | |
| K4N3 | 69.33 b | 63.74 a | 59.56 b | |
| K5N1 | 70.54 a | 64.10 a | 60.95 a | |
| K5N2 | 70.18 a | 61.87 ab | 56.60 b | |
| K5N3 | 67.53 b | 60.21 b | 54.77 b | |
| F-value | K | * | ** | ** |
| N | ns | ns | ns | |
| Y | ** | ** | ** | |
| K × N | ** | * | ** | |
| N × Y | ns | ns | ns | |
| K × Y | * | * | ns | |
| K × N × Y | ns | ns | ns |
| Year | Treatment | Amylose Contents (%) | Protein Contents (%) | Albumin (mg/grain) | Globulin (mg/grain) | Prolamin (mg/grain) | Glutelin (mg/grain) |
|---|---|---|---|---|---|---|---|
| 2020 | K1N1 | 18.20 a | 7.10 b | 2.17 c | 1.50 b | 0.40 c | 6.60a |
| K1N2 | 18.35 a | 7.16 ab | 2.65 b | 1.72 b | 0.72 b | 7.11a | |
| K1N3 | 18.48 a | 7.31 a | 2.95 a | 2.23 a | 1.05 a | 7.11a | |
| K2N1 | 17.90 b | 7.23 a | 2.25 b | 1.94 c | 0.25 c | 5.95c | |
| K2N2 | 18.13 a | 7.29 a | 2.30 b | 2.36 b | 0.31 b | 6.50b | |
| K2N3 | 18.23 a | 7.32 a | 2.61 a | 2.71 a | 0.90 a | 7.00 a | |
| K3N1 | 17.33 b | 6.75 b | 1.85 c | 2.12 b | 0.15 b | 5.58 b | |
| K3N2 | 17.60 a | 6.85 ab | 2.17 b | 2.56 a | 0.32 a | 6.29 a | |
| K3N3 | 17.70 a | 7.01 a | 2.50 a | 2.73 a | 0.52 a | 6.76 a | |
| K4N1 | 18.10 b | 7.15 a | 2.06 c | 2.46 b | 0.28 b | 6.75 a | |
| K4N2 | 18.52 a | 7.19 a | 2.42 b | 2.87 b | 0.47 a | 6.89 a | |
| K4N3 | 18.78 a | 7.25 a | 3.10 a | 3.12 a | 0.60 a | 6.99 a | |
| K5N1 | 18.57 b | 7.10 b | 2.30 c | 2.59 c | 0.43 c | 6.68 b | |
| K5N2 | 18.78 a | 7.25 b | 2.71 b | 3.41 b | 0.79 b | 6.89 b | |
| K5N3 | 18.90 a | 7.57 a | 3.25 a | 4.00 a | 1.12 a | 7.61 a | |
| 2021 | K1N1 | 17.73 a | 6.97 b | 2.11 c | 1.56 b | 0.42 c | 6.63 a |
| K1N2 | 17.90 a | 7.03 ab | 2.72 b | 1.75 b | 0.65 b | 7.08 a | |
| K1N3 | 18.00 a | 7.20 a | 3.01 a | 2.36 a | 1.11 a | 7.10 a | |
| K2N1 | 17.47 b | 7.03 a | 2.20 b | 1.98 c | 0.20 c | 5.93 c | |
| K2N2 | 18.00 a | 7.13 a | 2.31 b | 2.35 b | 0.37 b | 6.52 b | |
| K2N3 | 18.07 a | 7.17 a | 2.66 a | 2.75 a | 0.89 a | 7.13 a | |
| K3N1 | 17.13 b | 6.70 b | 1.88 c | 2.08 b | 0.14 b | 5.62 b | |
| K3N2 | 17.80 a | 6.83 b | 2.16 b | 2.57 a | 0.35 a | 6.29 a | |
| K3N3 | 17.90 a | 7.03 a | 2.52 a | 2.69 a | 0.51 a | 6.78 a | |
| K4N1 | 17.80 b | 7.07 a | 2.02 c | 2.44 b | 0.26 b | 6.75 a | |
| K4N2 | 18.23 a | 7.13 a | 2.50 b | 2.66 b | 0.46 a | 6.45 a | |
| K4N3 | 18.40 a | 7.17 a | 3.60 a | 3.04 a | 0.59 a | 6.86 a | |
| K5N1 | 18.07 b | 7.13 b | 2.40 c | 2.57 c | 0.41 c | 6.71 b | |
| K5N2 | 18.37 a | 7.27 b | 2.81 b | 3.37 b | 0.72 b | 6.89 b | |
| K5N3 | 18.40 a | 7.60 a | 3.34 a | 3.96 a | 1.09 a | 7.62 a | |
| F-value | K | ** | ** | ** | ** | ** | ** |
| N | ** | ** | ** | ** | ** | ** | |
| Y | ** | ** | ns | ns | ns | ns | |
| K × N | ns | * | ** | * | ** | ** | |
| N × Y | ns | ns | ns | * | ns | ns | |
| K × Y | ns | * | ns | ns | ns | ns | |
| K × N × Y | ns | * | ns | ns | ns | ns |
| Year | Treatment | Peak Viscosity (cP) | Hot Paste Viscosity (cP) | Cool Paste Viscosity (cP) | Breakdown Viscosity (cP) | Setback Viscosity (cP) |
|---|---|---|---|---|---|---|
| 2020 | K1N1 | 2741.70 a | 2232.70 a | 3351.10 a | 509.00 a | 599.40 b |
| K1N2 | 2704.50 ab | 2145.20 a | 3307.70 a | 502.30 a | 603.20 ab | |
| K1N3 | 2600.90 b | 2106.60 a | 3249.30 b | 500.30 a | 648.40 a | |
| K2N1 | 2842.50 a | 2213.20 a | 3502.80 a | 629.30 a | 660.30 a | |
| K2N2 | 2800.50 ab | 2183.00 a | 3442.20 ab | 617.50 ab | 671.70 a | |
| K2N3 | 2701.50 b | 2127.40 a | 3304.80 a | 574.10 b | 703.30 a | |
| K3N1 | 2800.80 a | 2202.70 a | 3402.10 a | 648.10 a | 601.30 a | |
| K3N2 | 2782.10 a | 2152.20 a | 3357.50 a | 639.90 a | 605.40 a | |
| K3N3 | 2724.20 a | 2124.90 a | 3332.60 a | 599.30 b | 638.40 a | |
| K4N1 | 2824.40 a | 2222.10 a | 3498.40 a | 602.30 a | 674.00 b | |
| K4N2 | 2801.20 ab | 2200.70 a | 3461.30 a | 600.50 a | 680.10 b | |
| K4N3 | 2713.30 b | 2109.30 a | 3439.70 a | 613.00 a | 726.40 a | |
| K5N1 | 2871.40 a | 2249.70 a | 3509.60 a | 621.70 a | 638.20 b | |
| K5N2 | 2853.30 a | 2212.50 a | 3462.20 ab | 621.80 a | 638.90 b | |
| K5N3 | 2702.30 b | 2106.30 a | 3430.50 b | 596.00 b | 728.20 a | |
| 2021 | K1N1 | 2836.10 a | 2251.80 a | 3499.60 a | 594.80 a | 645.50 a |
| K1N2 | 2761.30 ab | 2166.50 ab | 3470.70 ab | 584.30 a | 663.50 a | |
| K1N3 | 2622.90 b | 2057.80 b | 3323.10 b | 565.10 a | 709.40 a | |
| K2N1 | 2902.50 a | 2137.00 a | 3586.80 a | 642.80 a | 660.70 a | |
| K2N2 | 2828.50 ab | 2183.00 a | 3489.20 ab | 581.50 b | 684.30 a | |
| K2N3 | 2718.50 b | 2256.30 a | 3364.00 b | 572.20 b | 700.20 a | |
| K3N1 | 2834.80 a | 2244.90 a | 3481.40 a | 636.50 a | 646.60 a | |
| K3N2 | 2805.40 a | 2168.90 a | 3479.40 a | 589.90 ab | 661.10 a | |
| K3N3 | 2734.30 a | 2156.90 a | 3395.40 a | 577.40 b | 674.00 a | |
| K4N1 | 2866.80 a | 2236.30 a | 3512.90 a | 613.60 a | 650.80 b | |
| K4N2 | 2816.10 ab | 2211.70 a | 3541.80 a | 604.40 a | 712.20 ab | |
| K4N3 | 2690.30 b | 2123.30 a | 3402.50 a | 567.00 a | 725.70 a | |
| K5N1 | 2893.00 a | 2270.70 a | 3537.70 a | 622.30 a | 644.70 b | |
| K5N2 | 2871.20 a | 2262.50 a | 3554.20 a | 608.70 a | 683.00 ab | |
| K5N3 | 2752.00 a | 2166.30 a | 3470.50 a | 585.70 a | 718.50 a | |
| F-value | K | ns | ns | ns | ns | ns |
| N | ** | * | ** | ** | * | |
| Y | * | * | * | ns | * | |
| K × N | ns | * | ns | ns | ns | |
| N × Y | ns | ns | ns | ns | * | |
| K × Y | ns | ns | ns | * | * | |
| K × N × Y | ns | ns | ns | * | * |
| Year | Treatment | Appearance | Hardness | Viscosity | Balance Degree | Taste Value |
|---|---|---|---|---|---|---|
| 2020 | K1N1 | 3.50 a | 7.82 a | 3.92 a | 3.32 a | 49.13 a |
| K1N2 | 3.21 a | 7.93 a | 3.52 b | 3.22 ab | 47.62 ab | |
| K1N3 | 3.21 a | 8.01 a | 3.32 b | 3.18 b | 46.22 b | |
| K2N1 | 3.72 a | 7.72 b | 4.11 a | 3.69 a | 50.25 a | |
| K2N2 | 3.41 ab | 7.91 a | 3.96 ab | 3.53 ab | 49.13 ab | |
| K2N3 | 3.20 b | 8.03 a | 3.72 b | 3.24 b | 48.25 b | |
| K3N1 | 3.42 a | 7.81 b | 4.02 a | 3.41 a | 49.23 a | |
| K3N2 | 3.44 a | 8.02 ab | 3.72 b | 3.22 ab | 47.14 b | |
| K3N3 | 2.96 b | 8.17 a | 3.53 b | 3.01 b | 47.25 b | |
| K4N1 | 3.62 a | 7.61 c | 4.12 a | 3.32 a | 51.12 a | |
| K4N2 | 3.07 b | 8.03 b | 3.45 b | 3.17 a | 49.31 b | |
| K4N3 | 2.71 c | 8.32 a | 3.02 c | 2.71 b | 47.11 c | |
| K5N1 | 3.52 a | 7.71 b | 3.86 a | 3.41 a | 50.92 a | |
| K5N2 | 2.72 b | 8.03 a | 3.21 b | 2.82 b | 47.22 b | |
| K5N3 | 2.42 b | 8.25 a | 2.66 c | 2.51 c | 44.22 c | |
| 2021 | K1N1 | 3.61 a | 8.01 a | 4.03 a | 3.52 a | 50.90 a |
| K1N2 | 3.30 a | 8.15 a | 3.62 b | 3.15 b | 50.65 a | |
| K1N3 | 3.32 a | 8.19 a | 3.59 b | 3.18 ab | 48.70 a | |
| K2N1 | 3.77 a | 8.00 b | 4.29 a | 3.73 a | 52.15 a | |
| K2N2 | 3.55 ab | 8.02 b | 3.88 b | 3.23 b | 48.75 b | |
| K2N3 | 3.24 b | 8.23 a | 3.79 b | 3.43 ab | 50.00 ab | |
| K3N1 | 3.51 a | 8.08 b | 4.06 a | 3.51 a | 50.65 a | |
| K3N2 | 3.50 a | 8.17 b | 3.50 b | 2.89 b | 46.95 b | |
| K3N3 | 2.92 b | 8.38 a | 3.77 ab | 3.26 a | 49.25 a | |
| K4N1 | 3.81 a | 7.90 c | 4.23 a | 3.77 a | 52.40 a | |
| K4N2 | 3.31 b | 8.15 b | 3.54 b | 3.16 b | 48.65 b | |
| K4N3 | 2.59 c | 8.55 a | 3.09 c | 2.54 c | 44.30 c | |
| K5N1 | 3.65 a | 7.97 b | 3.96 a | 3.57 a | 51.20 a | |
| K5N2 | 2.92 b | 8.33 a | 3.13 b | 2.75 b | 46.40 b | |
| K5N3 | 2.58 b | 8.51 a | 2.79 c | 2.41 b | 43.85 c | |
| F-value | K | ** | ** | ** | ** | ** |
| N | ** | ** | ** | ** | ** | |
| Y | ns | ns | * | ns | ns | |
| K × N | ** | ** | ** | ** | ** | |
| N × Y | ns | ns | ns | ns | ns | |
| K × Y | ns | ns | ns | ns | ns | |
| K × N × Y | ns | ns | * | ns | ns |
Publisher’s Note: MDPI stays neutral with regard to jurisdictional claims in published maps and institutional affiliations. |
© 2022 by the authors. Licensee MDPI, Basel, Switzerland. This article is an open access article distributed under the terms and conditions of the Creative Commons Attribution (CC BY) license (https://creativecommons.org/licenses/by/4.0/).
Share and Cite
Chen, L.; Zhang, W.; Gao, J.; Liu, Y.; Wang, X.; Liu, Y.; Feng, Y.; Zhao, Y.; Xin, W. Effects of Precise K Fertilizer Application on the Yield and Quality of Rice under the Mode of Light, Simple, and High-Efficiency N Fertilizer Application during the Panicle Stage. Agronomy 2022, 12, 1681. https://doi.org/10.3390/agronomy12071681
Chen L, Zhang W, Gao J, Liu Y, Wang X, Liu Y, Feng Y, Zhao Y, Xin W. Effects of Precise K Fertilizer Application on the Yield and Quality of Rice under the Mode of Light, Simple, and High-Efficiency N Fertilizer Application during the Panicle Stage. Agronomy. 2022; 12(7):1681. https://doi.org/10.3390/agronomy12071681
Chicago/Turabian StyleChen, Liqiang, Wenzhong Zhang, Jiping Gao, Yuzhuo Liu, Xue Wang, Yuqi Liu, Yingying Feng, Yanze Zhao, and Wei Xin. 2022. "Effects of Precise K Fertilizer Application on the Yield and Quality of Rice under the Mode of Light, Simple, and High-Efficiency N Fertilizer Application during the Panicle Stage" Agronomy 12, no. 7: 1681. https://doi.org/10.3390/agronomy12071681
APA StyleChen, L., Zhang, W., Gao, J., Liu, Y., Wang, X., Liu, Y., Feng, Y., Zhao, Y., & Xin, W. (2022). Effects of Precise K Fertilizer Application on the Yield and Quality of Rice under the Mode of Light, Simple, and High-Efficiency N Fertilizer Application during the Panicle Stage. Agronomy, 12(7), 1681. https://doi.org/10.3390/agronomy12071681

