Sign in to use this feature.

Years

Between: -

Subjects

remove_circle_outline
remove_circle_outline
remove_circle_outline
remove_circle_outline
remove_circle_outline
remove_circle_outline
remove_circle_outline
remove_circle_outline
remove_circle_outline

Journals

remove_circle_outline
remove_circle_outline
remove_circle_outline
remove_circle_outline
remove_circle_outline
remove_circle_outline
remove_circle_outline
remove_circle_outline
remove_circle_outline
remove_circle_outline
remove_circle_outline
remove_circle_outline
remove_circle_outline
remove_circle_outline
remove_circle_outline
remove_circle_outline
remove_circle_outline
remove_circle_outline
remove_circle_outline
remove_circle_outline
remove_circle_outline
remove_circle_outline
remove_circle_outline
remove_circle_outline
remove_circle_outline
remove_circle_outline
remove_circle_outline
remove_circle_outline
remove_circle_outline
remove_circle_outline
remove_circle_outline
remove_circle_outline
remove_circle_outline

Article Types

Countries / Regions

remove_circle_outline
remove_circle_outline
remove_circle_outline
remove_circle_outline
remove_circle_outline
remove_circle_outline
remove_circle_outline
remove_circle_outline
remove_circle_outline
remove_circle_outline

Search Results (12,351)

Search Parameters:
Keywords = protein component

Order results
Result details
Results per page
Select all
Export citation of selected articles as:
17 pages, 2352 KB  
Article
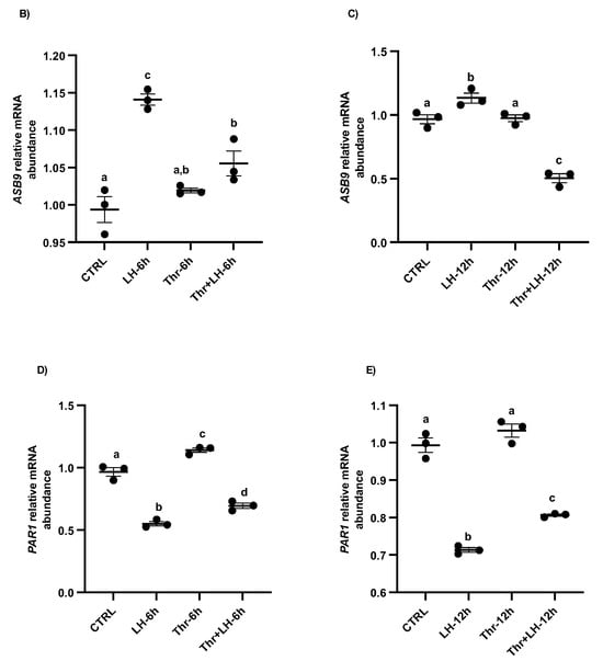
The Negative Role of Ankyrin-Repeat and SOCS-Box Protein 9 in PAR1 Expression and the MAPK Signaling Pathway in Bovine Granulosa Cells
by Daniela Naranjo Gonzalez and Kalidou Ndiaye
Biology 2025, 14(10), 1344; https://doi.org/10.3390/biology14101344 - 1 Oct 2025
Abstract
Ankyrin-repeat and SOCS-box protein 9 (ASB9) is a member of the ASB family of proteins, which act as a substrate recognition component of E3 ubiquitin ligases and regulate various reproductive processes. ASB9 was previously identified as being induced in bovine granulosa cells (GCs) [...] Read more.
Ankyrin-repeat and SOCS-box protein 9 (ASB9) is a member of the ASB family of proteins, which act as a substrate recognition component of E3 ubiquitin ligases and regulate various reproductive processes. ASB9 was previously identified as being induced in bovine granulosa cells (GCs) by LH/hCG, and its binding partners, including protease-activated receptor 1 (PAR1), were reported. The aim of this study was to decipher ASB9’s mechanisms of action in GCs and determine whether ASB9 induction by LH/hCG is necessary for the regulation of PAR1 and the signaling pathways involved in GC function and activity. Cultured GCs were treated with different doses of FSH, LH, and thrombin. RT-qPCR analyses revealed that thrombin increased PAR1 expression, while FSH had no effect on PAR1. Treatment with LH significantly downregulated PAR1, even in the presence of thrombin, possibly via ASB9. The phosphorylation profile of MAPK3/1 in thrombin-treated GCs suggests PAR1-mediated control. ASB9 induction appeared to have a negative effect on the MAPK pathway, although thrombin treatment briefly (within an hour) blocked the negative effect of ASB9 on PAR1. Proliferation assays showed that ASB9 negatively regulated the GC number while increasing apoptosis. These data provide evidence of ASB9’s mode of action and its potent functional effects on PAR1 regulation, GC proliferation, and, potentially, the ovulatory process in bovine species. Full article
(This article belongs to the Section Biochemistry and Molecular Biology)
Show Figures

Figure 1

14 pages, 1012 KB  
Article
Productivity and Forage Quality of Alfalfa Response to Potassium Fertilizer: A Field Study in Inner Mongolian Plateau
by Yuntao Wang, Lele Cui, Shenghao Liu, Wenxuan Li, Zhenyi Li, Wenxing Ye and Linqing Yu
Agronomy 2025, 15(10), 2328; https://doi.org/10.3390/agronomy15102328 - 1 Oct 2025
Abstract
The Inner Mongolian Plateau is a critical region for the development of herbivorous animal husbandry in China. However, its harsh climate and poor soil quality have constrained the sustainable growth of the alfalfa industry. This 3-year field study investigated the effects of potassium [...] Read more.
The Inner Mongolian Plateau is a critical region for the development of herbivorous animal husbandry in China. However, its harsh climate and poor soil quality have constrained the sustainable growth of the alfalfa industry. This 3-year field study investigated the effects of potassium (K) fertilizer on the productivity and forage quality of alfalfa (Medicago sativa L. cv. ‘WL168’) in such specific conditions of the region. Five rates of K fertilizer (0 (CK), 100, 200, 300, and 400 kg ha−1 of K2O) were applied in three split applications. Forage harvests occurred three times annually in 2023 and 2024, and yield, yield components, and forage quality were determined. The results showed that the forage yield of alfalfa increased initially and then decreased with the rising K application rates, which paralleled the changes in the plant density, and plant height, especially the mass shoot−1; forage yield was mainly correlated with mass shoot−1. Appropriate K fertilizer improved forage quality, especially in 2024. With increasing application, crude protein (CP) and total digestible nutrients (TDNs) first rose then declined, whereas neutral detergent fiber (NDF) and acid detergent fiber (ADF) decreased steadily, leading to a consistent rise in the relative feeding value (RFV). Comprehensively considering both yield and quality under such condition, a K fertilizer application rate of 273.2 kg ha−1 of K2O is suggested as a reference for this region. Full article
(This article belongs to the Special Issue Fertility Management for Higher Crop Productivity)
Show Figures

Figure 1

24 pages, 19724 KB  
Article
Endothelial Cell Transition: Preliminary Data on Cross-Organ Shift from Brain to Liver
by Alexey Larionov, Luis Filgueira and Christian M. Hammer
Cells 2025, 14(19), 1538; https://doi.org/10.3390/cells14191538 - 1 Oct 2025
Abstract
Background: Endothelial cells (EC), crucial components of the vascular system, are adaptable cells that maintain homeostasis and respond to pathological events through structural and functional plasticity. Hepatocyte growth factor (HGF) is a multifunctional cytokine that has been demonstrated to have protective and [...] Read more.
Background: Endothelial cells (EC), crucial components of the vascular system, are adaptable cells that maintain homeostasis and respond to pathological events through structural and functional plasticity. Hepatocyte growth factor (HGF) is a multifunctional cytokine that has been demonstrated to have protective and disruptive influence on the blood barrier function. In endothelial biology, its role is also poorly characterized. The present study explores the impact of supraphysiological concentrations of HGF on mouse brain endothelial cells (MBECs), scrutinizing how it alters their integrity and morphology. Methods: Two groups of MBECs—control (CTR) and experimental (EXP)—were analyzed at two time points: early passage (p5) and late passage (p41). The EXP-groups (p5 and p41) were treated with HGF at a concentration of 4 µL/mL. Cellular morphology was assessed with brightfield microscopy; protein expression and localization of the tight junction marker (ZO-1) and the endothelial marker (Factor VII related antigen/von Willebrand factor, vWf) were analyzed using Western blotting, immunocytochemistry, and confocal microscopy. Intercellular barrier function was estimated via Transendothelial Electric Resistance (TEER) and Transendothelial Dextran Permeability (TEDP) assays. Results: Microscopical analysis demonstrated a change in the morphology of the MBECs from a longitudinal, spindle-like shape to a rounded, more spheroid, cobblestone-like morphology under high-dose HGF treatment. Western blotting revealed a progressive decrease of ZO-1 expression in the EXP-groups. The expression of vWf did not show significant differences. Qualitative immunocytochemical staining: vWf showed consistent expression across all groups. ZO-1 displayed a punctate, well-defined membrane and cytoplasmic localization pattern in the CTR-groups at p5 and p41. In contrast, the p5 EXP-group demonstrated a shift to a more diffuse cytoplasmic pattern. At p41, the EXP-group displayed a markedly reduced ZO-1 signal with no clear-cut membrane localization. Confocal analysis: ZO-1: punctate membrane-associated localization in CTR-groups at p5 and 41. The EXP-groups at p5 and p41 confirmed the diffuse cytoplasmic ZO-1 distribution. Phalloidin: well-organized actin cytoskeleton in CTR-groups, but rearrangement and stress fiber disorganization in the EXP-groups, especially at p41. The merged images confirmed reduced co-localization of ZO-1 with actin structures. Barrier function: TEER values dropped significantly in HGF-treated cells. TEDP to small and medium molecular weight dextran increased markedly under HGF treatment. Conclusions: Our data demonstrate that supraphysiological doses of HGF in an in vitro MBEC-barrier-like model disrupt TJ organization, leading to morphological changes and functional weakening of the MBEC-barrier-like structure, as shown by uncoupling between ZO-1/F-actin cytoskeleton, reduced TEER, and increased size-selective paracellular permeability (TEDP). Full article
Show Figures

Figure 1

32 pages, 921 KB  
Review
An Overview of the Microbiological, Nutritional, Sensory and Potential Health Aspects of Tree Nut-Based Beverages
by Tiziana Di Renzo, Antonela G. Garzón, Stefania Nazzaro, Pasquale Marena, Angela Daniela Carboni, Maria Cecilia Puppo, Silvina Rosa Drago and Anna Reale
Beverages 2025, 11(5), 144; https://doi.org/10.3390/beverages11050144 - 1 Oct 2025
Abstract
In recent years, the rise in food allergies and intolerances, combined with the increasing consumer preference for healthier, plant-based alternatives to traditional dairy products, has driven the development of a diverse range of plant-based beverages. Among these, tree nut-based beverages, “ready-to-drink” products made [...] Read more.
In recent years, the rise in food allergies and intolerances, combined with the increasing consumer preference for healthier, plant-based alternatives to traditional dairy products, has driven the development of a diverse range of plant-based beverages. Among these, tree nut-based beverages, “ready-to-drink” products made from nuts such as almonds, hazelnuts, pistachios, walnuts, brazil nut, macadamia, cashew nut, coconut, pine nut, have gained significant popularity. This review offers a comprehensive analysis of the microbiological, nutritional, and sensory properties of tree nut-based beverages, highlighting their ability to deliver essential nutrients such as healthy fats, proteins, fiber, vitamins, and minerals. Additionally, these beverages provide a rich source of bioactive compounds (e.g., antioxidants, polyphenols) that can contribute to health benefits such as reducing oxidative stress, supporting cardiovascular health, and promoting overall well-being. The review also highlights the ability of different species of lactic acid bacteria to enhance flavour profiles and increase the bioavailability of certain bioactive compounds. Nevertheless, further research is essential to optimize the production methods, improve sensory characteristics, and address challenges related to cost, scalability, and consumer acceptance. Continued innovation in this area may position tree nut beverages as a key component of plant-based food models, contributing to the promotion of healthier eating patterns. Full article
(This article belongs to the Special Issue Recent Research in Plant-Based Drinks)
Show Figures

Figure 1

18 pages, 2926 KB  
Article
Pseudomonas sp. UW4 Enhances Drought Resistance in Garlic by Modulating Growth and Physiological Parameters
by Yiwei Yan, Chunqian Guo, Bernard R. Glick and Jie Tian
Horticulturae 2025, 11(10), 1170; https://doi.org/10.3390/horticulturae11101170 - 1 Oct 2025
Abstract
Drought stress is one of the primary abiotic factors negatively affecting garlic growth, development, and yield formation. The application of plant growth-promoting bacteria (PGPB) could enhance plant tolerance to drought stress. The aim of this study was to explore the regulatory effect of [...] Read more.
Drought stress is one of the primary abiotic factors negatively affecting garlic growth, development, and yield formation. The application of plant growth-promoting bacteria (PGPB) could enhance plant tolerance to drought stress. The aim of this study was to explore the regulatory effect of the PGPB Pseudomonas sp. UW4 on growth and physiological indexes of garlic under drought stress. The results revealed that drought stresses significantly reduced total root length, total root surface area, root projection area and total root volume, chlorophyll content, antioxidant enzyme activity and osmolyte content (proline and soluble proteins), and increased relative electrical conductivity and malondialdehyde (MDA) content, all of which could be significantly improved by inoculating the roots with strain UW4. Under drought stress, an increase in total surface area of roots of 87.06% and an increase in root projected area of 40.71% were observed upon inoculation with strain UW4. The a, b, and total content of chlorophyll were increased significantly by 83.63%, 217.33% and 100.02%, respectively. The osmolyte content in leaves significantly increased, and decreased significantly in roots. The content of antioxidants also significantly increased. Moreover, the relative electrical conductivity in leaves and roots was decreased by 23.18% and 41.20%, respectively, upon strain UW4 inoculation. The content of malondialdehyde (MDA) was decreased by 25.23% and 54.08%, respectively, in the presence of strain UW4. The result of principal component analysis (PCA) revealed that the key factors influencing drought tolerance in garlic inoculated with Pseudomonas sp. UW4 could be summarized into two categories: photosynthetic pigments and root growth-related factors, and leaf osmotic adjustment and root antioxidant enzyme-related factors. Based on the result of the Mantel test, it can be inferred that there was a connection between the osmoregulation and antioxidant enzyme systems in the roots and leaves. Based on the D values, the comprehensive evaluation result of drought resistance was that the drought resistance of the garlic inoculated with strain UW4 under drought stress was lower than that of the garlic inoculated with UW4 under normal treatment and higher than that of the garlic under normal treatment. Therefore, Pseudomonas sp. UW4 enhanced the drought resistance of garlic seedlings by improving root phenotype and antioxidant enzyme activity, and increasing the content of shoot chlorophyll. Full article
(This article belongs to the Section Biotic and Abiotic Stress)
Show Figures

Figure 1

15 pages, 397 KB  
Article
Association of Habitual Diet Quality and Nutrient Intake with Cognitive Performance in Community-Dwelling Older Adults: A Cross-Sectional Study
by Samitinjaya Dhakal, Nirajan Ghimire and Sophia Bass
Nutrients 2025, 17(19), 3139; https://doi.org/10.3390/nu17193139 - 30 Sep 2025
Abstract
Objectives: The rapid aging of the U.S. population has raised concerns about age-related cognitive decline and Alzheimer’s disease. Therefore, we aimed to characterize diet quality, nutrient intake, and to examine the associations between specific dietary components and cognitive performance in older adults. Design: [...] Read more.
Objectives: The rapid aging of the U.S. population has raised concerns about age-related cognitive decline and Alzheimer’s disease. Therefore, we aimed to characterize diet quality, nutrient intake, and to examine the associations between specific dietary components and cognitive performance in older adults. Design: Cross-sectional observational study. Setting: Community-based recruitment. Participants: Data from 72 community-dwelling adults aged 65 years and older was analyzed. Measurements: Cognitive performance was assessed using subtests from the Consortium to Establish a Registry for Alzheimer’s Disease (CERAD) battery, evaluating episodic memory (Word List Memory/Recall/Recognition), visuospatial skills (Constructional Praxis), and executive function (Verbal Fluency). A composite cognitive score was calculated from memory and visuospatial subtests. Habitual dietary intake was evaluated using structured 24-h recalls to calculate nutrient intake and the Healthy Eating Index score, supplemented by the Short HEI questionnaire. Demographics, health history, depressive symptoms (Patient Health Questionnaire-9), and sleep quality (Pittsburgh Sleep Quality Index) were also collected. Results: Participants demonstrated suboptimal diet quality (mean HEI score 62.9 ± 10.69; recommended >80), with only 9.7% meeting fiber recommendations, 11% meeting calcium or vitamin A recommendations, and 1.4% meeting vitamin D requirements. In bivariate comparisons, higher cognitive performance was observed in younger participants (75.5 vs. 79.5 years; p < 0.01) and females (78% vs. 50%; p = 0.024). Regression models identified significant positive associations between cognitive scores and intakes of dietary fiber (p = 0.007), unsaturated fats (mono- and polyunsaturated; p = 0.012–0.033), protein (p = 0.018), carotenoids (α-carotene, p = 0.001; β-carotene, p = 0.026; lutein + zeaxanthin, p = 0.016), vitamins A (p = 0.044) and E (p = 0.034), and minerals including magnesium (p = 0.006), potassium (p = 0.004), copper (p = 0.008), zinc (p = 0.024), and calcium (p = 0.035). Refined grain intake was inversely associated with cognition (p = 0.011). Conclusions: In this population, dietary components like fiber and micronutrients were positively associated with better cognitive function, and the overall nutrient intake shortfalls observed highlight the need for targeted dietary interventions to support healthy brain aging. Therefore, this work advances our understanding by highlighting potential modifiable nutritional targets for clinical trials focused on delaying or preventing cognitive decline. Full article
(This article belongs to the Special Issue Nutritional Status in Community-Dwelling Older Adults)
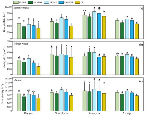
21 pages, 2625 KB  
Article
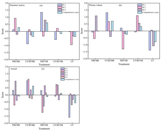
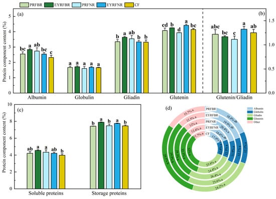
Effects of Ridge and Furrow Planting Patterns on Crop Yield and Grain Quality in Dryland Maize–Wheat Double Cropping System
by Qihui Zhou, Ming Huang, Chuan Hu, Aohan Liu, Shiyan Dong, Kaiming Ren, Wenzhong Tian, Junhong Li, Fang Li, Guozhan Fu, Jinzhi Wu and Youjun Li
Plants 2025, 14(19), 3030; https://doi.org/10.3390/plants14193030 - 30 Sep 2025
Abstract
Ridge and furrow planting is a prevalent drought-resistant cultivation technique in dryland regions. Notably, the effects of this technology on crop grain yield and quality in dryland maize–wheat double-cropping systems remain limited. This study utilized a long-term positioning experiment initiated in 2004, which [...] Read more.
Ridge and furrow planting is a prevalent drought-resistant cultivation technique in dryland regions. Notably, the effects of this technology on crop grain yield and quality in dryland maize–wheat double-cropping systems remain limited. This study utilized a long-term positioning experiment initiated in 2004, which included five treatments: a permanent ridge and furrow with a border ridge of 133 cm row space (PRFBR); a ridge and furrow created each year with a border ridge of 133 cm row space (EYRFBR); a permanent ridge with a normal ridge of 100 cm row space (PRFNR); a ridge and furrow created each year with a normal ridge of 100 cm row space (EYRFNR), and a conventional flat planting pattern according to the local farmer (CF). The crop grain yield in 2015–2021, as well as the protein and phosphorus (P) and potassium (K) content in maize and wheat grains, and the protein components in winter wheat grains in 2020–2021 were investigated. The results showed that, compared to CF, all four ridge and furrow planting patterns significantly enhanced crop yield in dry and normal years, and the effects varied depending on crop species, with increases of 45.3–97.8% for wheat and 11.0–33.8% increases annually in dry years; and 24.5–51.6% increases for maize and 12.2–37.5% increases annually in the normal years. EYRFBR treatment increased wheat grain P and K content by 24.3% and 13.7%, as well as increasing the total protein, albumin, gliadin, soluble protein, and storage protein content by 9.7%, 22.3%, 9.6%, 14.5%, and 5.6%, whereas PRFNR reduced the glutenin content and glutenin/gliadin ratio in winter wheat grains by 5.1% and 10.9%, respectively. The yield achieved with a permanent ridge and furrow (PRF) surpassed that achieved when the ridge and furrow was created anew each year (EYRF), yet the normal ridge width (NR) outperformed the border ridge width (BR). However, the P, K, protein, and protein component content in wheat grains under EYRF was superior to that under PRF. Comprehensive evaluations through principal component analysis (PCA) and TOPSIS analysis consistently demonstrated that the EYRFBR treatment delivered optimal performance in yield and quality for winter and annual, while PRFNR achieved superior yield for summer maize. Consequently, in dryland maize–wheat double-cropping systems, an EYRFBR planting pattern should be recommended for high-yield and high-quality wheat production; however, the PRFNR planting pattern is more suitable for summer maize production. Full article
(This article belongs to the Special Issue Nutrient Management for Crop Production and Quality)
Show Figures

Figure 1

10 pages, 686 KB  
Article
Agronomic Performance of Cowpea Cultivars During the Second Cropping Season in Southwest Minas Gerais, Brazil
by Antônio Augusto Nogueira Franco, Ricardo Shigueru Okumura, Letícia Priscilla Arantes, Franciane Diniz Cogo, Samy Pimenta, Daiane de Cinque Mariano, Abner José de Carvalho, Ana Carolina Petri Gonçalves and Marcos Vinicius Bohrer Monteiro Siqueira
Agriculture 2025, 15(19), 2055; https://doi.org/10.3390/agriculture15192055 - 30 Sep 2025
Abstract
The cowpea (Vigna unguiculata (L.) Walp.) is well adapted to high temperatures, water deficits and low fertility soils, being widely cultivated in regions less favorable to common beans. Its grains are rich in proteins, vitamins and minerals, representing an important food source [...] Read more.
The cowpea (Vigna unguiculata (L.) Walp.) is well adapted to high temperatures, water deficits and low fertility soils, being widely cultivated in regions less favorable to common beans. Its grains are rich in proteins, vitamins and minerals, representing an important food source and a promising alternative for producing protein at low cost, in a short space of time, given the precocity of its cycle. However, in the state of Minas Gerais there is only a recommendation for one cowpea cultivar, the Poços de Caldas cultivar. In addition to being quite old, it is no longer found in crop production fields. Our objective was to provide local farmers with new cultivar options that exhibit high yield potential, appropriate plant architecture for mechanized cultivation, and superior grain health and quality. The experiments were conducted in Passos city, Brazil, during the second cropping season of the 2021, 2022, and 2023 years. Ten commercial cowpea cultivars were assessed in a randomized block design with five replications, considering morphophysiological traits and phytotechnical yield components. Treatment effects were analyzed using the Scott-Knott test, a statistical method that compares treatments and identifies significant differences among them. The thousand-seed weight and grain index showed a positive correlation with grain yield. The least productive cultivars had the longest pods and, consequently, the highest number of grains per pod. The 2022 and 2023 years provided the most favorable morphophysiological conditions for cowpea cultivation, which significantly enhanced productivity. Among the tested cultivars, BRS Xique-Xique, BRS Novaera, BRS Tumucumaque, and BRS Pajeú were the most suitable for a second cropping season cultivation in the Southwest region of Minas Gerais, while BRS Marataoã, BRS Itaim, and BRS Rouxinol were the least. We emphasize the need for further studies to support the establishment and expansion of cowpea cultivation in this region. Full article
(This article belongs to the Section Crop Production)
Show Figures

Figure 1

15 pages, 1567 KB  
Article
Porphyromonas gingivalis Lysate Induces TLR-2/4-Dependent NF-κB Activation and Inflammatory Damage in the Human Placental Barrier
by Sebastián Araneda-Rojas, Christian Castillo, Ana Liempi, Alejandro Fernández-Moya, Jesús Guerrero-Muñoz, Sebastián Alfaro, Christian Gallardo, Rocío Arregui, Anilei Hoare, Maria Alejandra Gleisner, Marcela Hernández and Ulrike Kemmerling
Int. J. Mol. Sci. 2025, 26(19), 9558; https://doi.org/10.3390/ijms26199558 - 30 Sep 2025
Abstract
Periodontitis has been associated with adverse pregnancy outcomes, but the effect of oral pathogens on placental tissue and local immunity remains unclear. In this study, we investigated the response of human placental explants (HPEs) to lysates of Porphyromonas (P.) gingivalis, a keystone [...] Read more.
Periodontitis has been associated with adverse pregnancy outcomes, but the effect of oral pathogens on placental tissue and local immunity remains unclear. In this study, we investigated the response of human placental explants (HPEs) to lysates of Porphyromonas (P.) gingivalis, a keystone periodontal pathogen. Exposure to P. gingivalis induced significant histological damage and extracellular matrix degradation in placental tissue. The lysate activated the canonical NF-κB pathway, as demonstrated by increased phosphorylation of IκBα, particularly in the trophoblast. This activation was predominantly mediated by Toll-like receptor 2 (TLR-2), with partial contribution from TLR-4. Notably, TLR-2 protein levels decreased upon stimulation, while soluble (s) TLR-2 was markedly elevated in culture supernatants, suggesting receptor cleavage as a regulatory mechanism. P. gingivalis also triggered a robust proinflammatory cytokine secretion, including IL-1β, IL-6, IL-8, and TNF-α, with variable dependence on TLR-2 and TLR-4 signaling. These findings reveal that P. gingivalis components elicit a complex innate immune response in the placenta, driven by TLR-mediated NF-κB activation and modulated by sTLR-2. This study provides mechanistic insight into how periodontitis may contribute to placental inflammation and highlights potential pathways linking maternal oral health to pregnancy complications. Full article
(This article belongs to the Section Molecular Immunology)
Show Figures

Graphical abstract

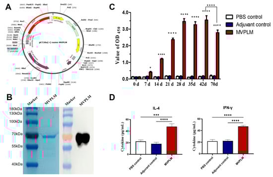
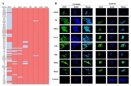
21 pages, 8013 KB  
Article
Immunoproteomic Screening of Candidate Antigens for the Preliminary Development of a Novel Multi-Component and Multi-Epitope Vaccine Against Streptococcus suis Infection
by Yue Zhang, Caiying Li, Yutong Feng, Qibing Gu, Jinwang Hu, Yuhang Li, Lu Xia and Shaopo Zu
Vaccines 2025, 13(10), 1020; https://doi.org/10.3390/vaccines13101020 - 30 Sep 2025
Abstract
Background/Objectives: Streptococcus suis (SS), an important zoonotic pathogen, has caused significant economic losses to the global pig industry. Existing commercial vaccines for SS mainly provide effective protection against a single serotype. Due to the existence of many serotypes and their robust immune [...] Read more.
Background/Objectives: Streptococcus suis (SS), an important zoonotic pathogen, has caused significant economic losses to the global pig industry. Existing commercial vaccines for SS mainly provide effective protection against a single serotype. Due to the existence of many serotypes and their robust immune evasion capabilities, the development of multi-component subunit vaccines or multi-epitope vaccines that provide effective cross-protection against different strains of SS is a key focus of current research. Methods: We applied two-dimensional electrophoresis (2-DE) and immunoblotting to screen for candidate immunogens among the immunogenic cell wall proteins of SS. BALB/c mice were immunized intradermally with a multi-component, multi-epitope vaccine. The vaccine’s safety and immunogenicity were assessed via clinical monitoring, antibody titer detection, cytokine assays, and survival curve analyses. Results: In this study, eight immunogenic cell wall proteins (GH25, Pk, PdhA, Ldh, ExoA, Pgk, MalX, and Dnak) were successfully identified using MALDI-TOF-MS, all of which could induce high IgG antibody titers. Based on the conservation and immunoprotection demonstrated by these eight protective antigenic proteins, PdhA, Ldh, and MalX were screened to construct a multi-component subunit vaccine as a candidate vaccine for providing cross-protection against SS isolates of multiple serotypes. Challenge studies showed that mice immunized with the multi-component subunit vaccine (PdhA, Ldh, and MalX) were protected against challenges with the SS2 virulent strain ZY05719 (62.5% protection) and the SSChz virulent strain CZ130302 (75% protection). Subsequently, we utilized immunoinformatics techniques to design a novel multi-epitope vaccine (MVPLM) derived from the immunogenic proteins PdhA, Ldh, and MalX. However, challenge tests revealed that the MVPLM offered limited protection against SS. Conclusions: These data demonstrate that a multi-component subunit vaccine composed of PdhA, Ldh, and MalX proteins shows promise as a candidate universal vaccine against multiple SS serotypes. Full article
(This article belongs to the Special Issue Vaccines for Porcine Viruses)
Show Figures

Figure 1

16 pages, 2117 KB  
Article
Potential Therapeutic Effects of Oolong Tea Phytochemicals on NLRP3 Inflammasome Assembly and Oxidative Stress
by Ming-Shyan Wang, Szu-Nian Yang, Yi-Ping Chang, Chi-Sheng Wu, Hung-Chi Yang and Jia-Feng Chang
Nutrients 2025, 17(19), 3106; https://doi.org/10.3390/nu17193106 - 30 Sep 2025
Abstract
Background/Objectives: Tea, the world’s second most consumed beverage after water, contains diverse phytochemicals that have garnered growing interest for their potential ability to modulate inflammasome activation. This study examined the antioxidant and anti-inflammatory properties of oolong tea (OLT) extracts, with a specific focus [...] Read more.
Background/Objectives: Tea, the world’s second most consumed beverage after water, contains diverse phytochemicals that have garnered growing interest for their potential ability to modulate inflammasome activation. This study examined the antioxidant and anti-inflammatory properties of oolong tea (OLT) extracts, with a specific focus on their regulatory effects on NLRP3 inflammasome assembly—a critical mediator in chronic inflammatory diseases. Methods: OLT extracts were prepared from the Jin-Xuan cultivar with quantification for bioactive components (total phenolics, flavonoids, condensed tannins, and proanthocyanidins). J774A.1 murine macrophages were primed with LPS and stimulated with ATP to induce inflammasome activation. Therapeutic potentials of OLT extracts were assessed by measuring cytokine secretion, expression of NLRP3 inflammasome-related proteins (NLRP3, ASC, Caspase-1, and IL-1β), inflammasome complex formation, and ROS generation via biochemical assays, immunoblotting, and fluorescence microscopy. Results: OLT extracts, particularly at 100 µg/mL, markedly suppressed both the priming and activation phases of NLRP3 inflammasome formation. OLT treatment reduced IL-1β secretion by more than 50%, attenuated ASC oligomerization and speck formation, inhibited caspase-1 cleavage, and lowered intracellular ROS levels by approximately 50%. Conclusions: These findings suggest that OLT extracts exert potent anti-NLRP3 inflammasome activity and offer immunomodulation potential in preventing inflammation-related diseases such as infections, cancer, and neurodegenerative disorders. Further in vivo investigations, followed by clinical applications and epidemiological studies, are warranted to validate these preventive effects in human populations. Full article
(This article belongs to the Section Nutrition and Metabolism)
Show Figures

Figure 1

18 pages, 1541 KB  
Review
Antimicrobial and Anti-Inflammatory Bioactive Peptides: Their Role in Potential Therapeutic Applications for Periodontitis—A Narrative Review
by Federica Tonolo, Renata Cristina Lima Silva, Mary Bortoluzzi, Raquel Mantuaneli Scarel-Caminaga and Fabio Vianello
Nutrients 2025, 17(19), 3105; https://doi.org/10.3390/nu17193105 - 30 Sep 2025
Abstract
Bioactive peptides have garnered increasing interest in recent years due to their potential applications in the medical field, for example, as promising adjuvant therapeutic agents to modulate the host immune response and counteract microbial dysbiosis in chronic pathologies. Primarily derived from protein hydrolysates [...] Read more.
Bioactive peptides have garnered increasing interest in recent years due to their potential applications in the medical field, for example, as promising adjuvant therapeutic agents to modulate the host immune response and counteract microbial dysbiosis in chronic pathologies. Primarily derived from protein hydrolysates of food waste, these components exhibit beneficial properties, such as anti-inflammatory, antimicrobial, antioxidant, and antidiabetic effects. This narrative review focuses on bioactive peptides with antimicrobial and anti-inflammatory properties, highlighting their mechanisms of action, sources, and therapeutic potential in the context of chronic conditions, particularly periodontal disease, especially when comorbidities are present (i.e., type 2 diabetes mellitus). The mechanisms of action and sources, as well as preclinical and clinical studies evaluating bioactive peptides efficacy, are discussed. Further research is warranted to establish their clinical viability and integration into conventional therapeutic strategies. Full article
(This article belongs to the Section Nutritional Immunology)
Show Figures

Figure 1

17 pages, 1743 KB  
Article
Inhibition of Muscle-Specific Protein Kinase (MuSK) Releases Organophosphate-Aged Acetylcholinesterase (AChE) from C2C12 Cells
by Monica Moncada-Restrepo, Sarah Eysoldt, Jeronimo Medina, Valentina Di Guida and Jeremy W. Chambers
Toxics 2025, 13(10), 829; https://doi.org/10.3390/toxics13100829 - 29 Sep 2025
Abstract
Mechanistically, OPs inhibit acetylcholinesterase (AChE), an enzyme that terminates cholinergic transmission, triggering a sustained activation of acetylcholine receptors. A component of the treatment for OP intoxication is oximes as AChE reactivators. However, oximes may not be efficacious and could worsen OP effects. Further, [...] Read more.
Mechanistically, OPs inhibit acetylcholinesterase (AChE), an enzyme that terminates cholinergic transmission, triggering a sustained activation of acetylcholine receptors. A component of the treatment for OP intoxication is oximes as AChE reactivators. However, oximes may not be efficacious and could worsen OP effects. Further, dealkylation of the AChE-OP adducts prevents oxime reactivation. Therefore, other approaches are needed to rescue AChE activity. We propose that replacing aged extracellular AChE with active intracellular enzymes may be an effective approach. Thus, molecular screening was used to identify small molecules that could displace aged AChE. C2C12 myoblasts were treated with 20 μM of diisopropylfluorophosphate (DFP) for one hour, followed by a drug panel. AChE activity and surface abundance were measured after 6 h. From the chemical screen, a promising hit, Pz-1 (a tyrosine kinase inhibitor), was identified, which decreased surface AChE on DFP-exposed C2C12 myoblasts in a dose-dependent manner without impacting viability. Additionally, AChE presence and activity were recovered after washing and supplementing the media with 100 nM of acetylcholine. Biochemically, Pz-1 inhibits muscle-specific protein kinase (MuSK), a kinase that interacts with AChE. These results suggest that altering MuSK activity may disrupt protein–protein interactions, destabilizing AChE, which may lead to the discovery of new countermeasures for OP exposures. Full article
(This article belongs to the Section Neurotoxicity)
Show Figures

Graphical abstract

16 pages, 545 KB  
Review
Shared Immunopathogenic Mechanisms in Chronic Spontaneous Urticaria, Vitiligo, and Hashimoto’s Thyroiditis: The Role of Oxidative Stress and Vitamin D
by Rossella Casella, Federica Li Pomi, Francesco Borgia, Eustachio Nettis and Sebastiano Gangemi
Life 2025, 15(10), 1535; https://doi.org/10.3390/life15101535 - 29 Sep 2025
Abstract
Introduction: Chronic spontaneous urticaria (CSU), vitiligo, and Hashimoto’s thyroiditis (HT) frequently co-occur in the same patients, suggesting a shared autoimmune pathogenesis. These conditions are increasingly recognized as components of polyautoimmunity, with overlapping clinical, immunological, and pathogenetic features. Among the proposed common mechanisms, vitamin [...] Read more.
Introduction: Chronic spontaneous urticaria (CSU), vitiligo, and Hashimoto’s thyroiditis (HT) frequently co-occur in the same patients, suggesting a shared autoimmune pathogenesis. These conditions are increasingly recognized as components of polyautoimmunity, with overlapping clinical, immunological, and pathogenetic features. Among the proposed common mechanisms, vitamin D deficiency and oxidative stress (OS) have emerged as key contributors. We aimed to explore the shared immunopathogenic pathways linking these conditions, with a focus on the interplay between vitamin D status and redox imbalance. Methods: An extensive narrative review of the current literature regarding the associations among CSU, vitiligo, and HT, focusing on the role of vitamin D status, OS, and nitrosative stress, and shared immunological pathways was conducted. Discussion: Vitamin D deficiency was consistently observed across all three conditions and is associated with increased disease activity and poorer clinical outcomes. Several polymorphisms in the vitamin D receptor (VDR) and binding protein genes correlate with disease susceptibility. OS and nitrosative stress markers, such as malondialdehyde (MDA) and nitric oxide (NO) metabolites, are elevated in patients with CSU, vitiligo, and HT, and are linked to tissue-specific immune activation, apoptosis, and loss of self-tolerance. Evidence suggests that vitamin D and antioxidant supplementation may provide clinical benefit. In vitiligo, narrowband ultraviolet B (NB-UVB) phototherapy not only promotes repigmentation through melanocyte stimulation but also reduces ROS production and modulates local immune responses. Conclusions: The coexistence of CSU, vitiligo, and HT reflects a broader systemic autoimmune tendency, with vitamin D deficiency and redox imbalance serving as potential unifying mechanisms. Routine assessment of vitamin D levels and OS parameters may enhance diagnostic precision and inform therapeutic strategies. Antioxidant-based interventions represent promising avenues in the integrated management of autoimmune skin and endocrine disorders. Full article
(This article belongs to the Special Issue Innovative Approaches in Dermatological Therapies and Diagnostics)
Show Figures

Figure 1

15 pages, 2754 KB  
Article
Extracellular Polymeric Substances Protect Chlorella sp. Against the Cadmium Stress
by Fangyuan Liu, Xingye Han, Zhengyang Wang, Xuefeng Zhao, Yibo Zhang and Hongmei Ge
Ecologies 2025, 6(4), 65; https://doi.org/10.3390/ecologies6040065 - 29 Sep 2025
Abstract
Extracellular polymeric substances (EPS) are secreted by microalgae and contribute to protecting cells from damage induced by cadmium (Cd) exposure. However, the response mechanism of Chlorella sp. to Cd(II) stress as well as associated changes in the chemical properties (including functional groups and [...] Read more.
Extracellular polymeric substances (EPS) are secreted by microalgae and contribute to protecting cells from damage induced by cadmium (Cd) exposure. However, the response mechanism of Chlorella sp. to Cd(II) stress as well as associated changes in the chemical properties (including functional groups and composition) of soluble EPS (SL-EPS), loosely bound EPS (LB-EPS), and tightly bound EPS (TB- EPS) in this microalga, remain unclear. This study aimed to investigate the role of EPS in enabling Chlorella sp. to resist Cd(II) stress. The results demonstrated that Cd(II) stress resulted in a significant inhibition of algal, chlorophyll a (Chl a) contents, and maximum photochemical quantum yield (Fv/Fm) of Chlorella sp., with 7 d EC30 of 6 mg/L. Nevertheless, Cd(II) exposure significantly increased both superoxide dismutase (SOD) activity and EPS content. Fourier transform infrared (FTIR) spectroscopic analysis revealed that differences existed in the functional groups involved in Cd(II) binding across algal cell density, SL-EPS, LB-EPS, and TB-EPS. The carboxyl group was identified as the most prominent functional group and were found to play a crucial role in the adsorption of Cd(II). Additionally, Tryptophan-like protein substance in EPS may be the main component binding with Cd(II) in Chlorella sp. This study indicated that Chlorella sp. resisted Cd(II) stress by increasing SOD activity and EPS content, with protein-like substance containing tryptophan proteins in EPS which could also contribute to protection against Cd stress. Full article
Show Figures

Figure 1

Back to TopTop