Effect of Rice-Straw Biochar Application on the Acquisition of Rhizosphere Phosphorus in Acidified Paddy Soil
Abstract
:1. Introduction
2. Materials and Methods
2.1. Plant Culture and Experimental Design
2.2. Soil Analyses
2.3. Plant Analyses
2.4. Collecting Root Exudates and Measuring Organic Acids
2.5. Gene Expression Analysis by Real-Time Quantitative PCR (RT-qPCR)
2.6. Statistics
3. Results
3.1. Soil Properties
3.2. Plant Growth and P Uptake
3.3. Root Exudation of Organic Acids
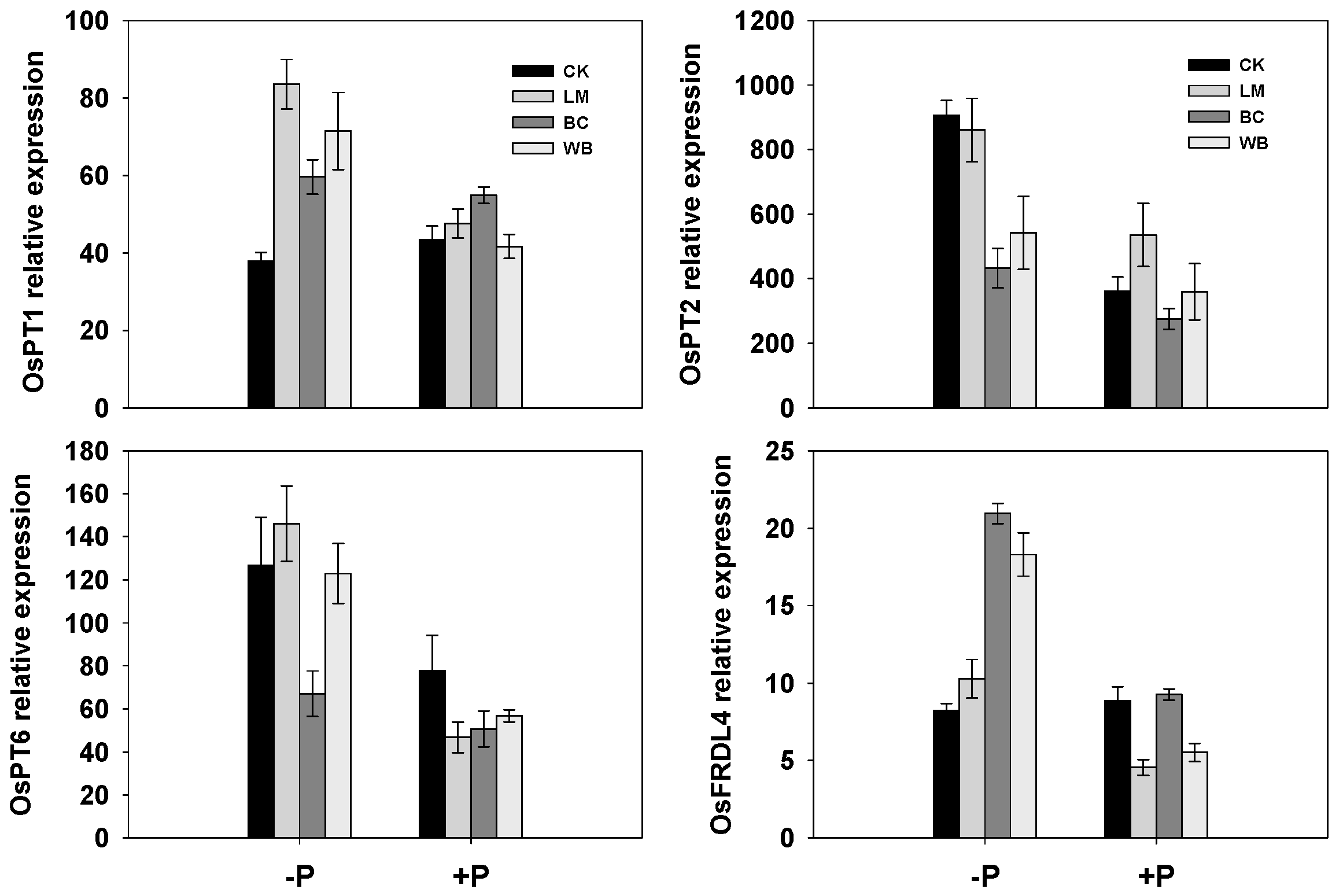
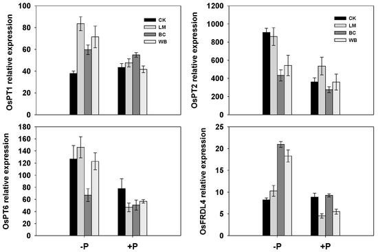
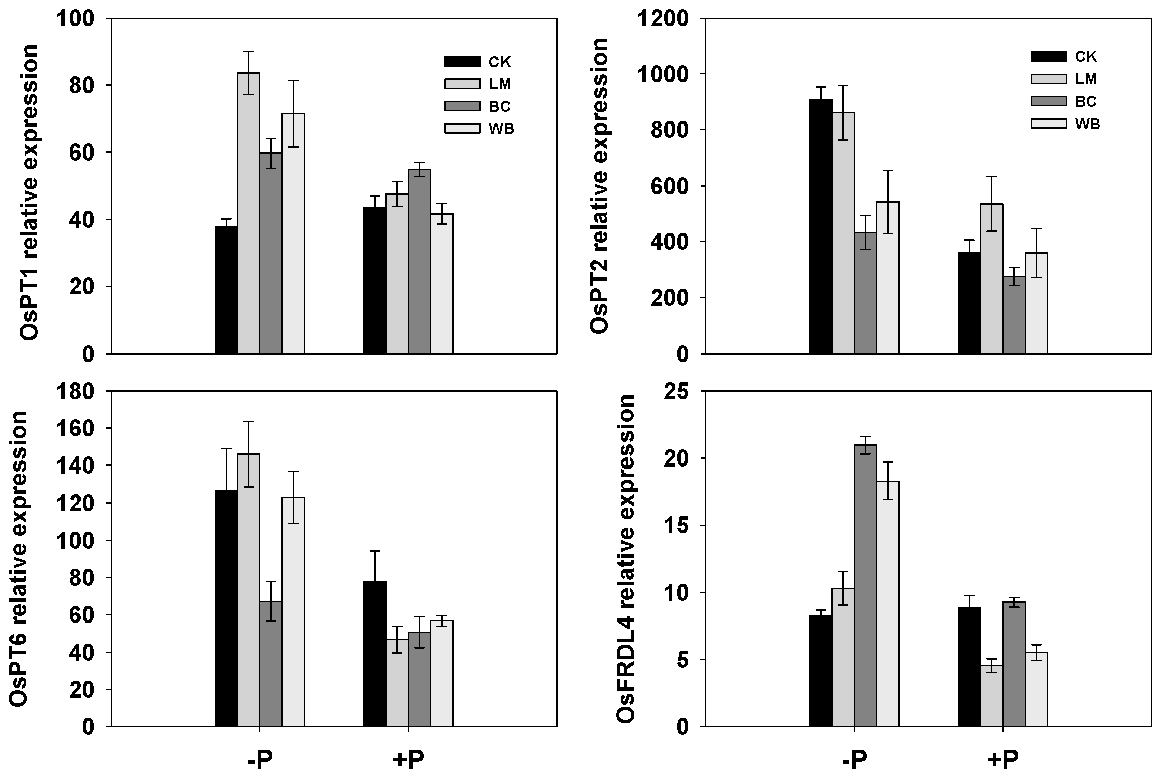
3.4. Expression of the Related Transporter Genes
4. Discussion
5. Conclusions
Author Contributions
Funding
Data Availability Statement
Conflicts of Interest
Abbreviations
| Ca-P | Calcium-bound phosphate |
| Al-P | Aluminum-bound phosphate |
| Fe-P | Iron-bound phosphate |
| Occluded-P | Occluded phosphate |
References
- Cui, L.; Liang, J.; Fu, H.; Zhang, L. The contributions of socioeconomic and natural factors to the acid deposition over China. Chemosphere 2020, 253, 126491. [Google Scholar] [CrossRef] [PubMed]
- Guo, J.H.; Liu, X.; Zhang, Y.; Shen, J.; Han, W.; Zhang, W.; Christie, P.; Goulding, K.W.T.; Vitousek, P.M.; Zhang, F. Significant acidification in major Chinese Croplands. Science 2010, 327, 1008–1010. [Google Scholar] [CrossRef] [PubMed] [Green Version]
- Rahman, Z.A.; Gikonyo, E.W.; Silek, B.; Goh, K.J.; Soltangheisi, A. Evaluation of phosphate rock sources and rate of application on oil palm yield grown on peat soils of Sarawak, Malaysia. J. Agron. 2014, 13, 12–22. [Google Scholar] [CrossRef] [Green Version]
- Cao, D.; Chen, W.; Yang, P.; Lan, Y.; Sun, D. Spatio-temporal variabilities of soil phosphorus pool and phosphorus uptake with maize stover biochar amendment for 5 years of maize. Environ. Sci. Pollut. Res. 2020, 27, 36350–36361. [Google Scholar] [CrossRef] [PubMed]
- Ramaekers, L.; Remans, R.; Rao, I.M.; Blair, M.W.; Vanderleyden, J. Strategies for improving phosphorus acquisition efficiency of crop plants. Field Crops Res. 2010, 117, 169–176. [Google Scholar] [CrossRef]
- Lambers, H.; Shane, M.; Cramer, M.; Pearse, S.E. Root structure and functioning for efficient acquisition of phosphorus: Matching morphological and physiological traits. Ann. Bot. 2006, 98, 693–713. [Google Scholar] [CrossRef] [Green Version]
- Chen, R.; Shen, R.; Gu, P.; Dong, X.; Du, C.; Ma, J. Response of rice (Oryza sativa) with root surface iron plaque under aluminium stress. Ann. Bot. 2006, 98, 389–395. [Google Scholar] [CrossRef]
- Bhattacharyya, P.; Das, S.; Adhya, T.K. Root exudates of rice cultivars affect rhizospheric phosphorus dynamics in soils with different phosphorus statuses. Commun. Soil Sci. Plan. 2013, 44, 1643–1658. [Google Scholar] [CrossRef]
- Kengo, Y.; Naoki, Y.; Feng, M.J. An Al-inducible MATE gene is involved in external detoxification of Al in rice. Plant J. 2011, 68, 1061–1069. [Google Scholar]
- Gu, M.; Chen, A.; Sun, S.; Xu, G. Complex regulation of plant phosphate transporters and the gap between molecular mechanisms and practical application: What Is Missing? Mol. Plant 2016, 9, 396–416. [Google Scholar] [CrossRef] [Green Version]
- Nussaume, L.; Kanno, S.; Javot, H.; Marin, E.; Pochon, N.; Ayadi, A.; Nakanishi, T.M.; Thibaud, M.C. Phosphate import in plants: Focus on the PHT1 transporters. Front. Plant Sci. 2011, 2, 83. [Google Scholar] [CrossRef] [PubMed] [Green Version]
- Man, Y.; Wang, B.; Wang, J.; Slany, M.; Yan, H.; Li, P.; El-Naggar, A.; Shaheen, S.M.; Rinklebe, J.; Feng, X. Use of biochar to reduce mercury accumulation in Oryza sativa L: A trial for sustainable management of historically polluted farmlands. Environ. Int. 2021, 153, 106527. [Google Scholar] [CrossRef] [PubMed]
- Mehmood, S.; Ahmed, W.; Alatalo, J.M.; Mahmood, M.; Imtiaz, M.; Ditta, A.; Ali, E.F.; Abdelrahman, H.; Slany, M.; Antoniadis, V.; et al. Herbal plants- and Rice-straw-derived biochars reduced metal mobilization in fishpond sediments and improved their potential as fertilizers. Sci. Total Environ. 2022, 826, 154043. [Google Scholar] [CrossRef] [PubMed]
- Mukherjee, S.; Mavi, M.S.; Singh, J.; Singh, B.P. Rice-residue biochar influences phosphorus availability in soil with contrasting P status. Arch. Agron. Soil Sci. 2020, 66, 778–791. [Google Scholar] [CrossRef]
- De Figueiredo, C.C.; Pinheiro, T.D.; Zacanaro de Oliveira, L.E.; de Araujo, A.S.; Coser, T.R.; Paz-Ferreiro, J. Direct and residual effect of biochar derived from biosolids on soil phosphorus pools: A four-year field assessment. Sci. Total Environ. 2020, 739, 140013. [Google Scholar] [CrossRef]
- Alburquerque, J.A.; Cabello, M.; Avelino, R.; Barron, V.; Campillo, M.C.D.; Torrent, J. Plant growth responses to biochar amendment of Mediterranean soils deficient in iron and phosphorus. J. Soil Sci. Plant Nutr. 2015, 178, 567–575. [Google Scholar] [CrossRef]
- Dai, Z.; Zhang, X.; Tang, C.; Muhammad, N.; Wu, J.; Brookes, P.C.; Xu, J. Potential role of biochars in decreasing soil acidification—A critical review. Sci. Total Environ. 2017, 581, 601–611. [Google Scholar] [CrossRef]
- Major, J.; Rondon, M.A.; Molina, D.; Riha, S.J.; Lehmann, J. Maize yield and nutrition during 4 years after biochar application to a Colombian savanna oxisol. Plant Soil 2010, 333, 117–128. [Google Scholar] [CrossRef]
- Borchard, N.; Wolf, A.; Laabs, V.; Aeckersberg, R.; Scherer, H.W.; Moeller, A.; Amelung, W. Physical activation of biochar and its meaning for soil fertility and nutrient leaching—A greenhouse experiment. Soil Use Manag. 2012, 28, 177–184. [Google Scholar] [CrossRef]
- Jeffery, S.; Verheijen, F.G.A.; Velde, M.V.D.; Bastos, A.C. A quantitative review of the effects of biochar application to soils on crop productivity using meta-analysis. Agric. Ecosyst. Environ. 2011, 144, 175–187. [Google Scholar] [CrossRef]
- Atkinson, C.J.; Fitzgerald, J.D.; Hipps, N.A. Potential mechanisms for achieving agricultural benefits from biochar application to temperate soils: A review. Plant Soil 2010, 337, 1–18. [Google Scholar] [CrossRef]
- Yuan, J.H.; Xu, R.K. The amelioration effects of low temperature biochar generated from nine crop residues on an acidic Ultisol. Soil Use Manag. 2015, 27, 110–115. [Google Scholar] [CrossRef]
- Cui, H.; Wang, M.; Fu, M.; Ci, E. Enhancing phosphorus availability in phosphorus-fertilized zones by reducing phosphate adsorbed on ferrihydrite using Rice-straw-derived biochar. J. Soil Sediments 2011, 11, 1135–1141. [Google Scholar] [CrossRef]
- Glaser, B.; Wiedner, K.; Seelig, S.; Schmidt, H.P.; Gerber, H. Biochar organic fertilizers from natural resources as substitute for mineral fertilizers. Agron. Sustain. Dev. 2015, 35, 667–678. [Google Scholar] [CrossRef] [Green Version]
- Si, L.; Xie, Y.; Ma, Q.; Wu, L. The short-term effects of Rice-straw biochar, nitrogen and phosphorus fertilizer on rice yield and soil properties in a cold waterlogged paddy field. Sustainability 2018, 10, 537. [Google Scholar] [CrossRef] [Green Version]
- Enders, A.; Lehmann, J. Comparison of wet-digestion and dry-ashing methods for total elemental analysis of biochar. Commun. Soil Sci. Plan. 2012, 43, 1042–1052. [Google Scholar] [CrossRef]
- Niu, X.; Li, L.; Hao, W.; Song, X.; Lai, S.; Yang, Z.; Zou, D. Effects of phosphine on enzyme activities and available phosphorus in rhizospheric and non-rhizospheric soils through rice seedlings. Plant Soil 2015, 387, 143–151. [Google Scholar] [CrossRef]
- Chang, S.C.; Jackson, M.L. Fractionation of soil phosphorus. Soil Sci. 1957, 84, 133–144. [Google Scholar] [CrossRef]
- Olsen, S.R.; Sommers, L.E. Phosphorus methods of soil analysis. Part 2: Chemical and microbiological properties. Soil Sci. Soc. Am. 1982, 2, 403–430. [Google Scholar]
- Murphy, J.; Riley, J.P. A modified single solution method for the determination of phosphate in natural waters. Anal. Chim. Acta 1962, 27, 31–36. [Google Scholar] [CrossRef]
- Neumann, G.; Römheld, V. Root excretion of carboxylic acids and protons in phosphorus-deficient plants. Plant Soil 1999, 211, 121–130. [Google Scholar] [CrossRef]
- Zhang, Y.K.; Zhu, D.F.; Zhang, Y.P.; Chen, H.Z.; Xiang, J.; Lin, X.Q. Low pH-induced changes of antioxidant enzyme and ATPase activities in the roots of rice (Oryza sativa L.) seedlings. PLoS ONE 2015, 10, e0116971. [Google Scholar] [CrossRef] [PubMed] [Green Version]
- Pfaffl, M.W. A new mathematical model for relative quantification in real-time RT–PCR. Nucleic Acids Res. 2001, 29, e45. [Google Scholar] [CrossRef] [PubMed]
- Amin, E.E.A.Z. Phosphorus dynamics and corn growth under applications of corn stalks biochar in a clay soil. Arab. J. Geosci. 2018, 11, 379. [Google Scholar] [CrossRef]
- Abebe, N.; Endalkachew, K.; Mastawesha, M.; Gebermedihin, A. Effect of biochar application on soil properties and nutrient uptake of lettuces (Lactuca sativa) grown in chromium polluted soils. Am. Eurasian J. Agric. Environ. Sci. 2012, 12, 369–376. [Google Scholar]
- Kamran, M.A.; Jiang, J.; Li, J.Y.; Shi, R.Y.; Mehmood, K.; Abdulaha-Al Baquy, M.; Xu, R.K. Amelioration of soil acidity, Olsen-P, and phosphatase activity by manure- and peat-derived biochars in different acidic soils. Arab. J. Geosci. 2018, 11, 272. [Google Scholar] [CrossRef]
- Masulili, A.; Utomo, W.H.; Syechfani, M.S. Rice husk biochar for rice based cropping system in acid soil 1. The characteristics of rice husk biochar and its influence on the properties of acid sulfate soils and rice growth in West Kalimantan, Indonesia. J. Agric. Sci. 2010, 2, 39–47. [Google Scholar] [CrossRef] [Green Version]
- Mehmood, K.; Li, J.Y.; Jiang, J.; Masud, M.M.; Xu, R.K. Effect of low energy-consuming biochars in combination with nitrate fertilizer on soil acidity amelioration and maize growth. J. Soil Sediments 2017, 17, 790–799. [Google Scholar] [CrossRef]
- Zhang, W.; Li, C.; Li, G.; Lin, Q.; Zhao, X.; He, Y.; Liu, Y.; Luo, Z. Biochar alters inorganic phosphorus fractions in tobacco-growing soil. J. Plant Nutr. Soil Sci. 2021, 21, 1689–1699. [Google Scholar] [CrossRef]
- Neumann, G.; Römheld, V. The release of root exudates as affected by the plant physiological status. In The Rhizosphere: Biochemistry and Organic Substances at the Soil-Plant Interface, 2nd ed.; Pinton, R., Varanini, Z., Nannipieri, P., Eds.; CRC Press: Boca Raton, FL, USA, 2007. [Google Scholar]
- Srivastava, P.K.; Gupta, M.; Shikha; Singh, N.; Tewari, S.K. Amelioration of sodic soil for wheat cultivation using bioaugmented organic soil amendment. Land Degrad. Dev. 2016, 27, 1245–1254. [Google Scholar] [CrossRef]
- Waldrip, H.M.; He, Z.; Erich, M.S. Effects of poultry manure amendment on phosphorus uptake by ryegrass, soil phosphorus fractions and phosphatase activity. Biol. Fert. Soils 2011, 47, 407–418. [Google Scholar] [CrossRef]
- Xu, G.; Shao, H.; Zhang, Y.; Junna, S. Nonadditive effects of biochar amendments on soil phosphorus fractions in two contrasting soils. Land Degrad. Dev. 2018, 29, 2720–2727. [Google Scholar] [CrossRef]
- Ch’ng, H.Y.; Ahmed, O.H.; Majid, N.M.A. Biochar and compost influence the phosphorus availability, nutrients uptake, and growth of maize (Zea mays L.) in tropical acid soil. Pak. J. Agric. Sci. 2014, 51, 797–806. [Google Scholar]
- Chathurika, J.A.S.; Kumaragamage, D.; Zvomuya, F.; Akinremi, O.O.; Flaten, D.N.; Indraratne, S.P.; Dandeniya, W.S. Woodchip biochar with or without synthetic fertilizers affects soil properties and available phosphorus in two alkaline, chernozemic soils. Can. J. Soil Sci. 2016, 96, 472–484. [Google Scholar] [CrossRef]
- Shen, J.; Zhang, F. Phosphorus dynamics: From soil to plant. Plant Physiol. 2011, 156, 997–1005. [Google Scholar] [CrossRef] [Green Version]
- Bornø, M.L.; Eduah, J.O.; Mueller-Stoever, D.S.; Liu, F. Effect of different biochars on phosphorus (P) dynamics in the rhizosphere of Zea mays L. (maize). Plant Soil 2018, 431, 257–272. [Google Scholar] [CrossRef]
- Hong, C.; Lu, S. Does biochar affect the availability and chemical fractionation of phosphate in soils? Environ. Sci. Pollut. Res. 2018, 25, 8725–8734. [Google Scholar] [CrossRef] [PubMed]
- Xing, X.; Ding, S.; Liu, L.; Chen, M.; Yan, W.; Zhao, L.; Zhang, C. Direct evidence for the enhanced acquisition of phosphorus in the rhizosphere of aquatic plants: A case study on Vallisneria natans. Sci. Total Environ. 2018, 616, 386–396. [Google Scholar] [CrossRef] [PubMed]
- Li, Y.F.; Luo, A.C.; Wei, X.H.; Yao, X.G. Genotypic variation of rice in phosphorus acquisition from iron phosphate: Contributions of root morphology and phosphorus uptake kinetics. Russ. J. Plant Physiol. 2007, 54, 230–236. [Google Scholar] [CrossRef]
- Pearse, S.J. Why does the musketeer approach to phosphorus acquisition from sparingly soluble forms fail: All for one, but not one for all? Plant Soil 2011, 348, 81–83. [Google Scholar] [CrossRef]
- Abiven, S.; Hund, A.; Martinsen, V.; Cornelissen, G. Biochar amendment increases maize root surface areas and branching: A shovelomics study in Zambia. Plant Soil 2015, 395, 45–55. [Google Scholar] [CrossRef] [Green Version]
- Sun, S.; Gu, M.; Cao, Y.; Huang, X.; Zhang, X.; Ai, P.; Zhao, J.; Fan, X.; Xu, G.A. Constitutive expressed phosphate transporter, OsPht1;1, modulates phosphate uptake and translocation in phosphate-replete rice. Plant Physiol. 2012, 159, 1571–1581. [Google Scholar] [CrossRef] [PubMed] [Green Version]
- Ai, P.; Sun, S.; Zhao, J.; Fan, X.; Xin, W.; Guo, Q.; Yu, L.; Shen, Q.; Wu, P.; Miller, A.J.; et al. Two rice phosphate transporters, OsPht1;2 and OsPht1;6, have different functions and kinetic properties in uptake and translocation. Plant J. 2009, 57, 798–809. [Google Scholar] [CrossRef] [PubMed]
- Seo, H.M.; Jung, Y.; Song, S.; Kim, Y.; Kwon, T.; Kim, D.H.; Jeung, S.J.; Yi, Y.B.; Yi, G.; Nam, M.H. Increased expression of OsPT1, a high-affinity phosphate transporter, enhances phosphate acquisition in rice. Biotechnol. Lett. 2008, 30, 1833–1838. [Google Scholar] [CrossRef] [PubMed]
- Hoffland, E.; Wei, C.; Wissuwa, M. Organic anion exudation by lowland rice (Oryza sativa L.) at zinc and phosphorus deficiency. Plant Soil 2006, 283, 155–162. [Google Scholar] [CrossRef]
- Koyama, H.; Kawamura, A.; Kihara, T.; Hara, T.; Takita, E.; Shibata, D. Overexpression of mitochondrial citrate synthase in Arabidopsis thaliana improved growth on a phosphorus-limited soil. Plant Cell Physiol. 2000, 41, 1030–1037. [Google Scholar] [CrossRef]
- Tesfaye, M.; Temple, S.J.; Allan, D.L.; Vance, C.P.; Samac, D.A. Overexpression of malate dehydrogenase in transgenic alfalfa enhances organic acid synthesis and confers tolerance to aluminum. Plant Physiol. 2001, 127, 1836–1844. [Google Scholar] [CrossRef]



| Gene Name | GenBank Accession Number | Primer Sequence (5′-3′) (Forward/Reverse) |
|---|---|---|
| OsPT1 | AY569607.1 | 5′tttcacgctgattctgatgg3′ |
| 5′tcctcttgttcgcgtactcc3′ | ||
| OsPT2 | AY569608 | 5′cacctactactggcgcatga3′ |
| 5′catgaactgccgtgagaaga3′ | ||
| OsPT6 | AF536966.1 | 5′cttcttcttcgccaacttcg3′ |
| 5′ggtacaggaacccgaaggat3′ | ||
| OsFRDL4 | AB608020.1 | 5′gtcatcagcaccatccacag3′ |
| 5′gcgacgagagaagaaccaag3′ |
| pH | Available P (mg kg−1) | Exchangeable Al (mg kg−1) | |||||
|---|---|---|---|---|---|---|---|
| Treatment | Rhizosphere | Bulk | Rhizosphere | Bulk | Rhizosphere | Bulk | |
| CK | 4.18 ± 0.01 b | 4.59 ± 0.01 bc | 8.35 ± 0.17 c | 8.43 ± 0.28 c | 171 ± 5.88 a | 118±11.36 a | |
| −P | LM | 4.34 ± 0.06 a | 4.72 ± 0.03 a | 8.98 ± 0.12 c | 9.55 ± 0.03 b | 92 ± 4.18 b | 53 ± 6.18 b |
| BC | 4.38 ± 0.01 a | 4.61 ± 0.02 b | 11.86 ± 0.31 a | 13.37 ± 0.37 a | 80 ± 4.13 b | 51 ± 2.82 b | |
| WB | 4.16 ± 0.02 b | 4.52 ± 0.01 c | 10.58 ± 0.26 b | 10.37 ± 0.06 b | 168 ± 10.53 a | 121 ± 4.05 a | |
| CK | 4.29 ± 0.04 b | 4.55 ± 0.04 b | 27.54 ± 1.39 b | 31.87 ± 0.42 b | 156 ± 3.42 a | 120 ± 5.68 a | |
| +P | LM | 4.60 ± 0.02 a | 4.85 ± 0.01 a | 28.22 ± 1.95 b | 32.39 ± 1.71 b | 59 ± 5.26 c | 53 ± 5.59 b |
| BC | 4.58 ± 0.09 a | 4.80 ± 0.11 a | 33.49 ± 1.39 a | 41.99 ± 2.25 a | 84 ± 7.27 b | 61 ± 7.04 b | |
| WB | 4.27 ± 0.05 b | 4.55 ± 0.01 b | 33.49 ± 1.40 ab | 36.17 ± 0.83 b | 149 ± 7.62 a | 124 ± 2.05 a | |
| Al-P % of Total P | Fe-P % of Total P | Ca-P % of Total P | Occluded P % of Total P | ||||||
|---|---|---|---|---|---|---|---|---|---|
| Treatment | Rhizosphere | Bulk | Rhizosphere | Bulk | Rhizosphere | Bulk | Rhizosphere | Bulk | |
| CK | 3.50 ± 1.3 | 6.64 ± 4.3 | 42.79 ± 13.9 | 40.15 ± 11.6 | 5.01 ± 2.6 | 4.26 ± 1.6 | 48.69 ± 25.3 | 48.93 ± 22.9 | |
| −P | LM | 4.71 ± 2.8 | 9.62 ± 3.3 | 47.43 ± 15.6 | 46.91 ± 22.1 | 7.13 ± 3.4 | 6.64 ± 3.1 | 40.71 ± 15.8 | 36.82 ± 25.5 |
| BC | 7.71 ± 4.3 | 13.25 ± 6.4 | 43.57 ± 11.4 | 42.66 ± 21.9 | 7.27 ± 4.8 | 7.13 ± 2.6 | 41.43 ± 15.3 | 36.95 ± 14.8 | |
| WB | 7.27 ± 2.5 | 10.62 ± 4.1 | 47.58 ± 15.11 | 46.04 ± 1.5 | 6.74 ± 2.5 | 7.01 ± 1.8 | 38.39 ± 14.4 | 36.32 ± 16.1 | |
| CK | 7.72 ± 4.3 | 12.11 ± 5.1 | 49.05 ± 12.25 | 45.26 ± 18.9 | 5.02 ± 3.4 | 4.96 ± 1.2 | 38.21 ± 17.2 | 37.66 ± 16.9 | |
| +P | LM | 7.95 ± 3.2 | 13.12 ± 7.9 | 49.27 ± 23.8 | 45.16 ± 22.7 | 6.34 ± 2.3 | 5.67 ± 3.1 | 36.42 ± 13.5 | 36.03 ± 13.6 |
| BC | 9.56 ± 4.3 | 16.52 ± 7.5 | 47.28 ± 13.7 | 42.33 ± 13.8 | 6.99 ± 2.8 | 6.96 ± 2.5 | 36.14 ± 14.2 | 34.19 ± 12.6 | |
| WB | 7.85 ± 3.1 | 14.09 ± 4.1 | 48.65 ± 24.1 | 44.24 ± 17.1 | 6.06 ± 3.4 | 6.08 ± 2.3 | 37.43 ± 14.0 | 35.57 ± 10.8 | |
| Al-P (mg kg−1) | Fe-P (mg kg−1) | Ca-P (mg kg−1) | Occluded P (mg kg−1) | ||||||
|---|---|---|---|---|---|---|---|---|---|
| Treatment | Rhizosphere | Bulk | Rhizosphere | Bulk | Rhizosphere | Bulk | Rhizosphere | Bulk | |
| CK | 15 ± 0.61 b | 29 ± 4.58 d | 180 ± 8.89 a | 176 ± 1.24 a | 21 ± 1.36 b | 18 ± 1.69 b | 204 ± 12.01 a | 215 ± 3.11 a | |
| −P | LM | 18 ± 1.21 b | 36 ± 5.27 c | 181 ± 0.30 a | 175 ± 0.33 a | 27 ± 0.74 a | 24 ± 1.67 a | 155 ± 3.09 b | 137 ± 8.81 b |
| BC | 32 ± 2.47 a | 53 ± 5.50 a | 183 ± 1.57 a | 170 ± 0.24 b | 30 ± 2.41 a | 28 ± 0.74 a | 174 ± 7.28 ab | 147 ± 6.05 b | |
| WB | 28 ± 0.18 a | 41 ± 4.39 b | 184 ± 13.73 a | 177 ± 0.07 a | 26 ± 1.17 a | 26 ± 1.17 a | 149 ± 11.78 b | 139 ± 8.51 b | |
| CK | 35 ± 0.41 b | 56 ± 3.73 b | 224 ± 3.45 a | 207 ± 1.59 a | 23 ± 0.54 c | 22 ± 0.30 c | 175 ± 10.94 a | 172 ± 12.03 a | |
| +P | LM | 36 ± 1.67 b | 60 ± 0.37 b | 223 ± 0.81 a | 207 ± 1.83 a | 28 ± 1.34 ab | 26 ± 0.44 bc | 165 ± 2.03 a | 165 ± 1.43 a |
| BC | 44 ± 2.10 a | 79 ± 5.42 a | 215 ± 5.95 a | 203 ± 1.66 a | 31 ± 1.19 a | 33 ± 1.76 a | 164 ± 6.71 a | 164 ± 3.13 a | |
| WB | 36 ± 3.28 b | 65 ± 4.22 b | 223 ± 8.59 a | 204 ± 2.85 a | 27 ± 0.74 b | 28 ± 1.36 b | 171 ± 8.37 a | 164 ± 1.82 a | |
| Treatment | Shoot Dry Weight (g pot−1) | Root Dry Weight (g pot−1) | Root Length (m) | Root Surface Area (cm−2) | |
|---|---|---|---|---|---|
| CK | 12.34 ± 0.44 b | 2.74 ± 0.13 b | 352 ± 21 b | 3419 ± 58 b | |
| −P | LM | 13.24 ± 0.49 b | 2.62 ± 0.11 b | 368 ± 20 b | 3537 ± 128 b |
| BC | 16.84 ± 0.95 a | 3.86 ± 0.24 a | 514 ± 55 a | 4837 ± 295 a | |
| WB | 13.64 ± 0.56 b | 2.97 ± 0.17 b | 366 ± 40 b | 3734 ± 226 b | |
| CK | 16.91 ± 0.33 b | 3.21 ± 0.15 c | 361 ± 30 b | 3546 ± 106 b | |
| +P | LM | 19.48 ± 0.74 ab | 4.03 ± 0.32 b | 404 ± 46 b | 4222 ± 346 b |
| B | 20.76 ± 1.62 a | 4.65 ± 0.21 ab | 555 ± 57 a | 5358 ± 318 a | |
| WB | 20.26 ± 0.58 a | 4.73 ± 0.12 a | 544 ± 49 a | 5318 ± 138 a |
Publisher’s Note: MDPI stays neutral with regard to jurisdictional claims in published maps and institutional affiliations. |
© 2022 by the authors. Licensee MDPI, Basel, Switzerland. This article is an open access article distributed under the terms and conditions of the Creative Commons Attribution (CC BY) license (https://creativecommons.org/licenses/by/4.0/).
Share and Cite
Zhang, Y.; Chen, H.; Xiang, J.; Xiong, J.; Wang, Y.; Wang, Z.; Zhang, Y. Effect of Rice-Straw Biochar Application on the Acquisition of Rhizosphere Phosphorus in Acidified Paddy Soil. Agronomy 2022, 12, 1556. https://doi.org/10.3390/agronomy12071556
Zhang Y, Chen H, Xiang J, Xiong J, Wang Y, Wang Z, Zhang Y. Effect of Rice-Straw Biochar Application on the Acquisition of Rhizosphere Phosphorus in Acidified Paddy Soil. Agronomy. 2022; 12(7):1556. https://doi.org/10.3390/agronomy12071556
Chicago/Turabian StyleZhang, Yikai, Huizhe Chen, Jing Xiang, Jiahuan Xiong, Yaliang Wang, Zhigang Wang, and Yuping Zhang. 2022. "Effect of Rice-Straw Biochar Application on the Acquisition of Rhizosphere Phosphorus in Acidified Paddy Soil" Agronomy 12, no. 7: 1556. https://doi.org/10.3390/agronomy12071556
APA StyleZhang, Y., Chen, H., Xiang, J., Xiong, J., Wang, Y., Wang, Z., & Zhang, Y. (2022). Effect of Rice-Straw Biochar Application on the Acquisition of Rhizosphere Phosphorus in Acidified Paddy Soil. Agronomy, 12(7), 1556. https://doi.org/10.3390/agronomy12071556

