Co-Inoculations with Plant Growth-Promoting Bacteria in the Common Bean to Increase Efficiency of NPK Fertilization
Abstract
:1. Introduction
2. Materials and Methods
2.1. Location and Characterization of Experimental Area
2.2. Experimental Design
2.3. Installation of Field Research
2.4. Assessments
2.5. Statistical Analysis
3. Results
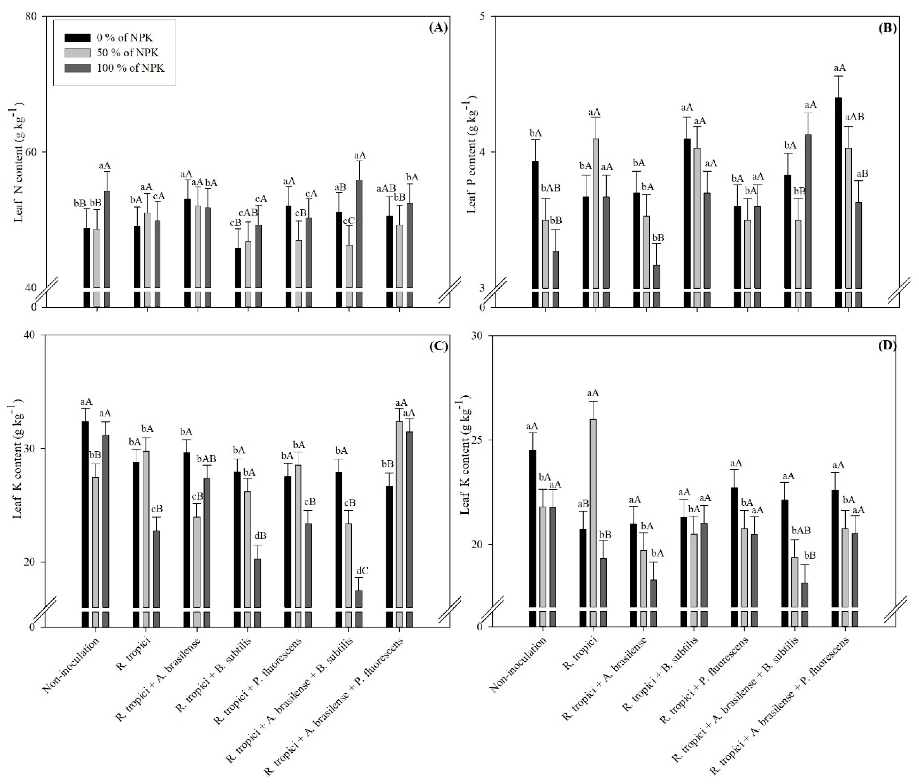
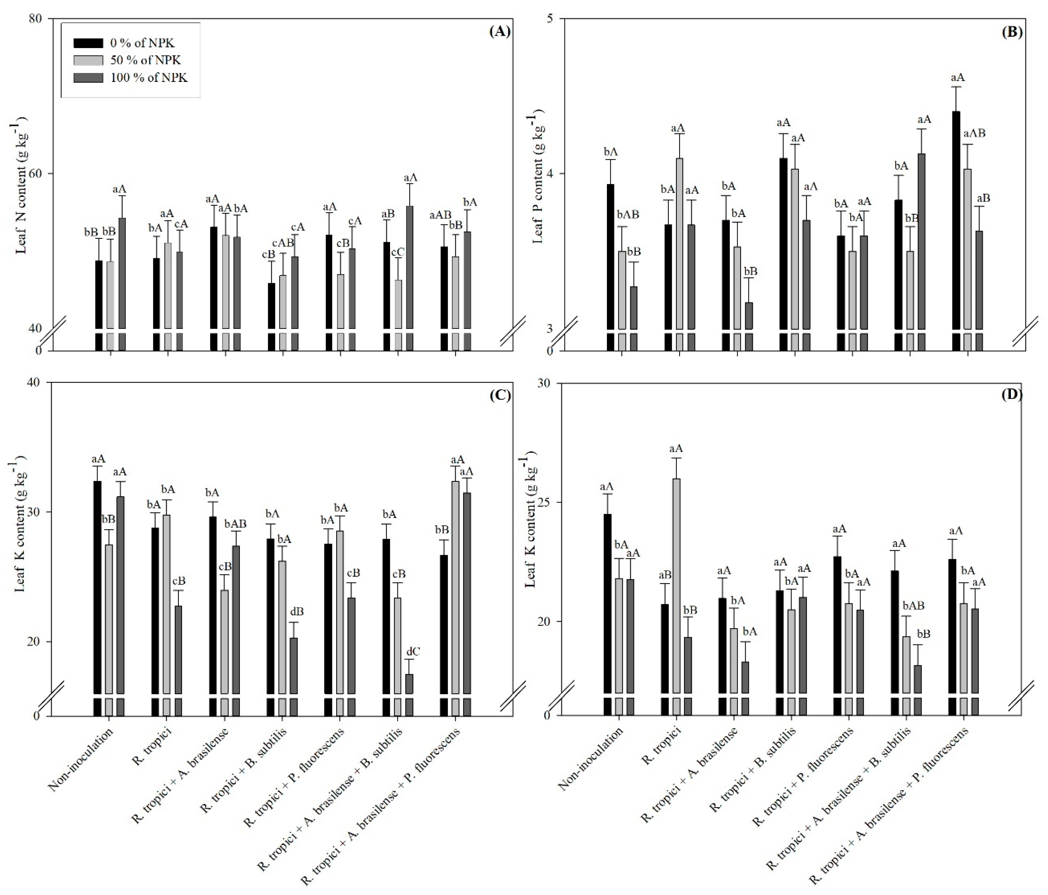
3.1. Effects of Fertilizer Dose Reduction with Inoculation on Leaf N, P and K Concentrations
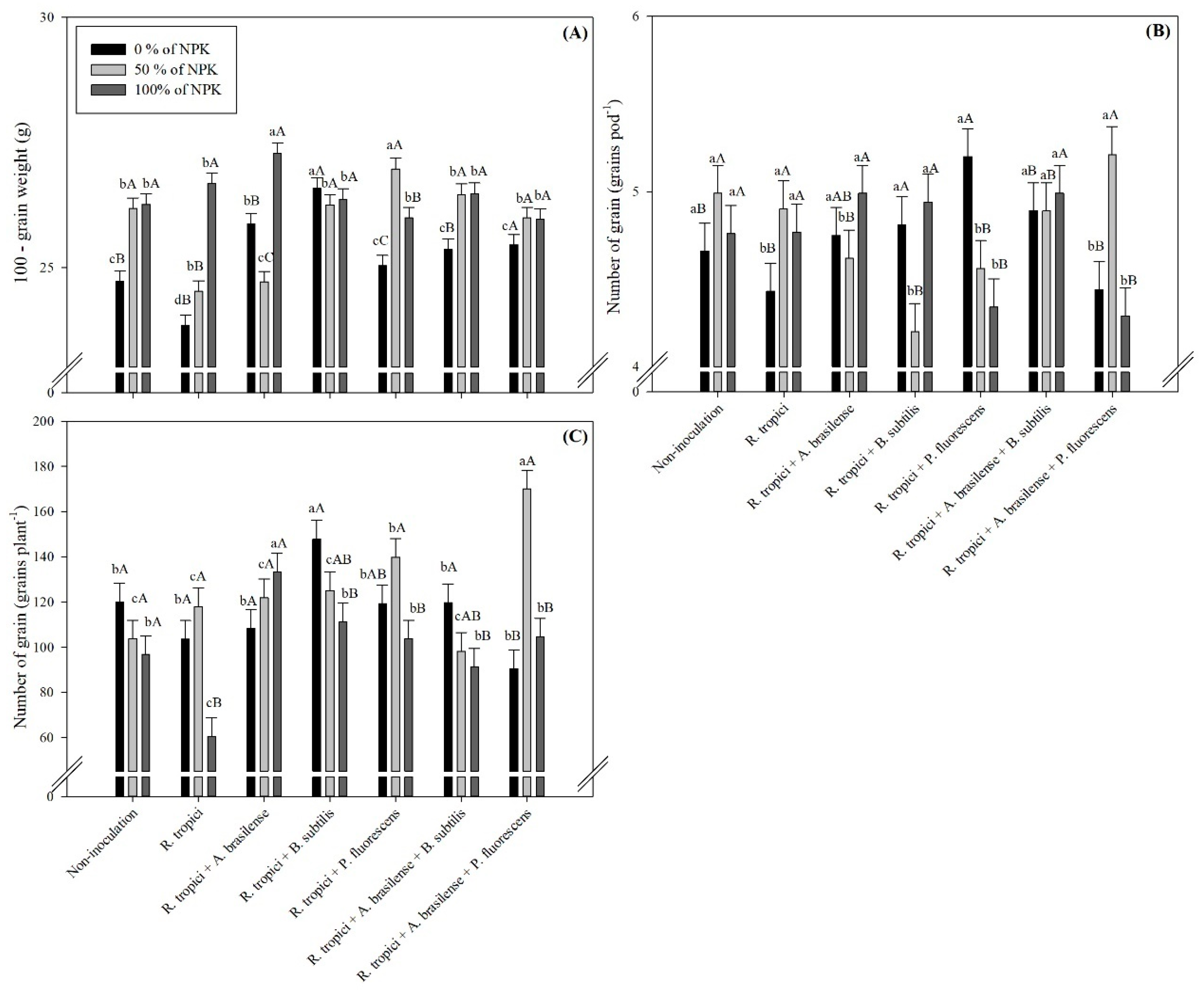
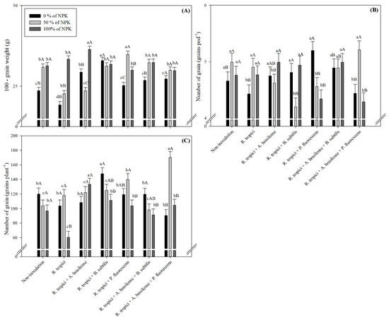
3.2. Effects of Fertilizer Dose Reduction with Inoculation on Yield Components
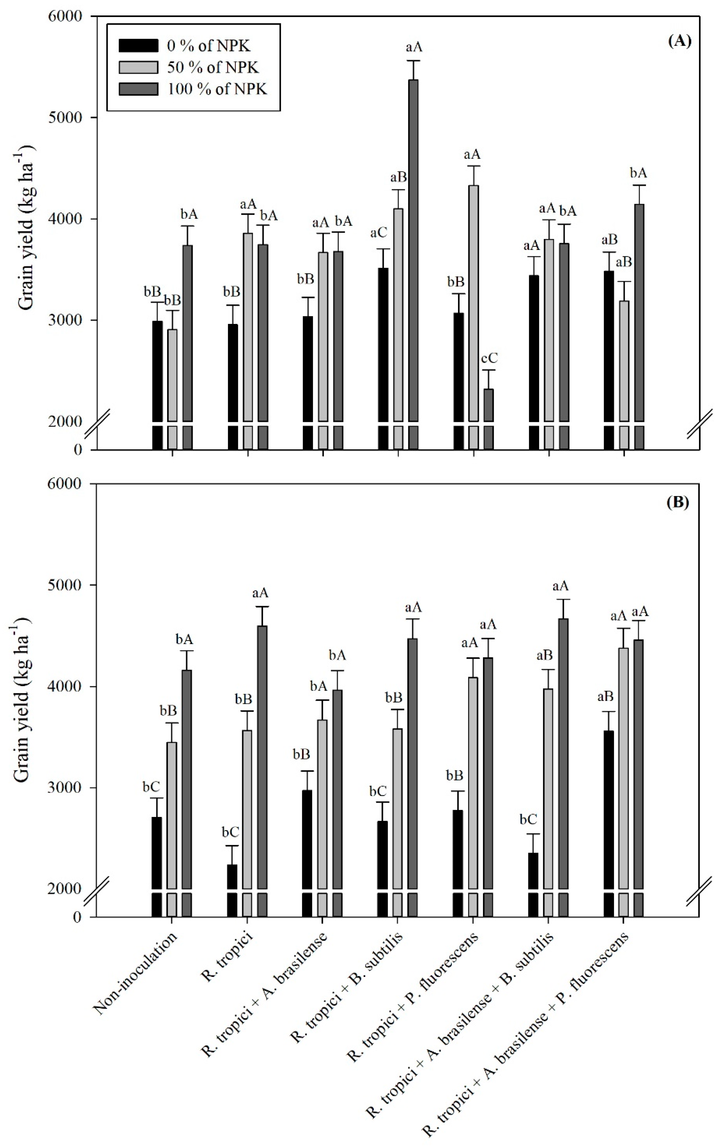
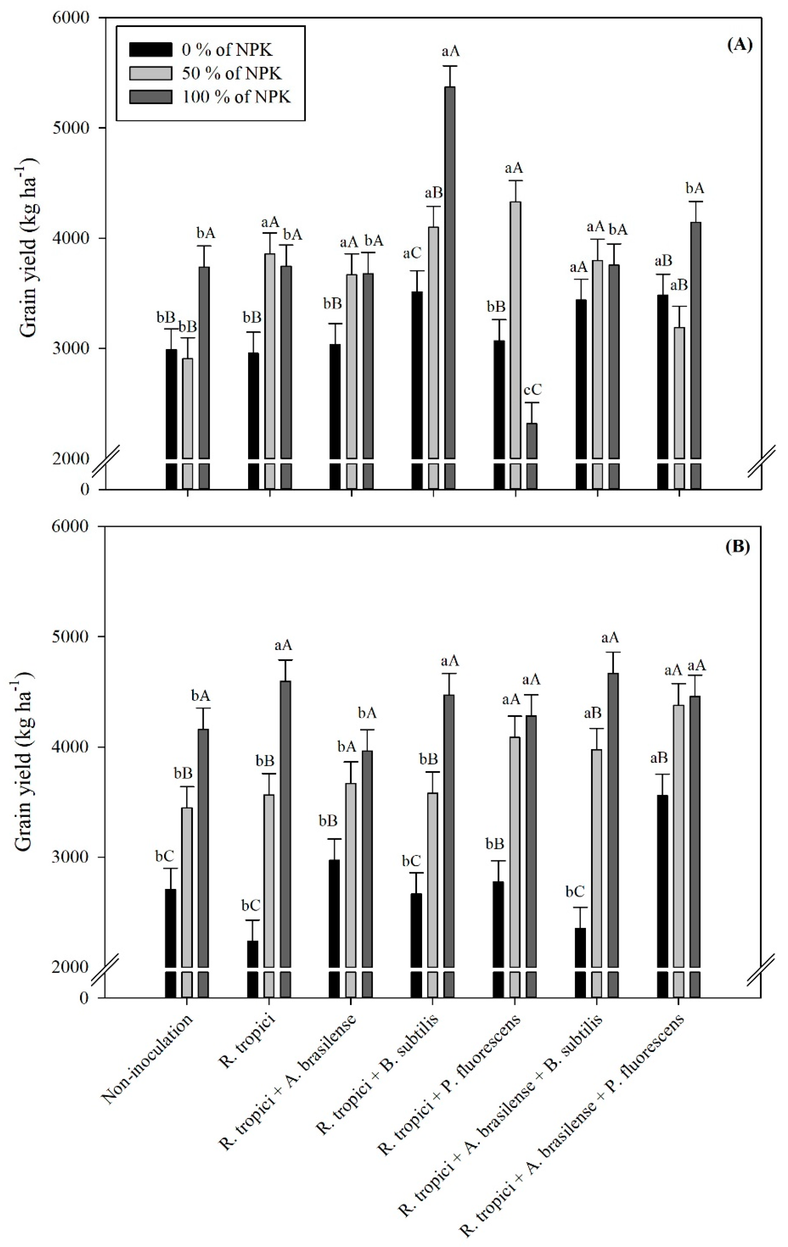
3.3. Effects of Fertilizer Dose Reduction with Inoculation on Grain Yield
3.4. Correlations
4. Discussion
5. Conclusions
Author Contributions
Funding
Data Availability Statement
Acknowledgments
Conflicts of Interest
References
- CONAB—Companhia Nacional de Abastecimento. Bean Crop 2020/2021. Available online: https://www.conab.gov.br/info-agro/safras/graos (accessed on 2 February 2022).
- Rezende, A.A.; Pacheco, M.T.B.; Da Silva, V.S.N.; Ferreira, T.A.P.D.C. Nutritional and protein quality of dry Brazilian beans (Phaseolus vulgaris L.). Food Sci. Technol. 2018, 38, 421–427. [Google Scholar] [CrossRef] [Green Version]
- Karavidas, I.; Ntatsi, G.; Vougeleka, V.; Karkanis, A.; Ntanasi, T.; Saitanis, C.; Agathokleous, E.; Ropokis, A.; Sabatino, L.; Tran, F.; et al. Agronomic Practices to Increase the Yield and Quality of Common Bean (Phaseolus vulgaris L.): A Systematic Review. Agronomy 2022, 12, 271. [Google Scholar] [CrossRef]
- Penn, C.J.; Camberato, J. A Critical Review on Soil Chemical Processes that Control How Soil pH Affects Phosphorus Availability to Plants. Agriculture 2019, 9, 120. [Google Scholar] [CrossRef] [Green Version]
- de Souza, J.E.B.; de Brito Ferreira, E.P. Improving sustainability of common bean production systems by co-inoculating rhizobia and Azospirilla. Agric. Ecosyst. Environ. 2017, 237, 250–257. [Google Scholar] [CrossRef]
- Wang, J.; Li, R.; Zhang, H.; Wei, G.; Li, Z. Beneficial bacteria activate nutrients and promote wheat growth under conditions of reduced fertilizer application. BMC Microbiol. 2020, 20, 38. [Google Scholar] [CrossRef] [Green Version]
- Teixeira Filho, M.C.M.; Galindo, F.S. Inoculation of bacteria with a focus on biological nitrogen fixation and plant growth-promotion. In Topics in Soil Science; Severiano, E.C., Moraes, M.F., Paula, A.M., Eds.; Sociedade Brasileira de Ciência do Solo (SBCS): Viçosa, Brasil, 2019; Volume 10, pp. 577–648. (In Portuguese) [Google Scholar]
- Galindo, F.S.; Buzetti, S.; Rodrigues, W.L.; Boleta, E.H.M.; Silva, V.M.; Tavanti, R.F.R.; Fernandes, G.C.; Biagini, A.L.C.; Rosa, P.A.L.; Teixeira Filho, M.C.M. Inoculation of Azospirillum brasilense associated with silicon as a liming source to improve nitrogen fertilization in wheat crops. Sci. Rep. 2020, 10, 6160. [Google Scholar] [CrossRef]
- Fukami, J.; Nogueira, M.A.; Araujo, R.S.; Hungria, M. Accessing inoculation methods of maize and wheat with Azospirillum brasilense. AMB Express 2016, 6, 3. [Google Scholar] [CrossRef]
- Steiner, F.; Ferreira, H.C.P.; Zuffo, A.M. Can co-inoculation of Rhizobium tropici and Azospirillum brasilense increase common bean nodulation and grain yield? Semin. Ciências Agrárias. 2019, 40, 81–98. [Google Scholar] [CrossRef] [Green Version]
- Korir, H.; Mungai, N.W.; Thuita, M.; Hamba, Y.; Masso, C.; Tola, Y.H. Co-inoculation Effect of Rhizobia and Plant Growth Promoting Rhizobacteria on Common Bean Growth in a Low Phosphorus Soil. Front. Plant Sci. 2017, 8, 141. [Google Scholar] [CrossRef] [Green Version]
- Ferreira, L.D.V.M.; de Carvalho, F.; Andrade, J.F.C.; Oliveira, D.P.; DE Medeiros, F.H.V.; Moreira, F.M.S. Co-inoculation of selected nodule endophytic rhizobacterial strains with Rhizobium tropici promotes plant growth and controls damping off in common bean. Pedosphere 2020, 30, 98–108. [Google Scholar] [CrossRef]
- Rosa, P.A.L.; Mortinho, E.S.; Jalal, A.; Galindo, F.S.; Buzetti, S.; Fernandes, G.C.; Neto, M.B.; Pavinato, P.S.; Filho, M.C.M.T. Inoculation with Growth-Promoting Bacteria Associated with the Reduction of Phosphate Fertilization in Sugarcane. Front. Environ. Sci. 2020, 8, 1–32. [Google Scholar] [CrossRef]
- Rosa, P.A.L.; Galindo, F.S.; Oliveira, C.E.S.; Jalal, A.; Mortinho, E.S.; Fernandes, G.C.; Marega, E.M.R.; Buzetti, S.; Teixeira Filho, M.C.M. Inoculation with plant growth-promoting bacteria to reduce phosphate fertilization requirement and enhance technological quality and yield of sugarcane. Microorganisms 2022, 10, 192. [Google Scholar] [CrossRef] [PubMed]
- Koppen, W. Das geographische system der klimat. In Handbuch der Klimatologie; Köppen, W., Geiger, G., Eds.; Gebrüder Borntraeger: Stuttgart, Germany, 1936; p. 44. [Google Scholar]
- Dos Santos, H.G.; Jacomine, P.T.; Dos Anjos, L.H.C.; De Oliveira, V.A.; Lumbreras, J.F.; Coelho, M.R.; De Almeida, J.A.; de Araujo Filho, J.C.; De Oliveira, J.B.; Cunha, T.J.F. Brazilian soil classification system. In Embrapa Solos-Livro Técnico; Embrapa: Brasília, Brazil, 2018. [Google Scholar]
- Ambrosano, E.J.; Tanaka, R.T.; Mascarenhas, H.A.A.; Raij, B.V.; Quaggio, J.A.; Cantarela, H. Leguminosas e oleaginosas. In Fertilization and Liming Recommendations for the State of São Paulo, 2nd ed.; van Raij, B., Cantarela, H., Quaggio, J.A., Furlani, A.M.C., Eds.; Instituto Agronômico e Fundação IAC: Campinas, Brasil, 1997; Boletim técnico, 100; 285p. (In Portuguese) [Google Scholar]
- Malavolta, E.; Vitti, G.C.; Oliveira, S.A. Evaluation of the Nutritional Status of Plants: Principles and Applications, 2nd ed.; Potafos: Piracicaba, Brazil, 1997; p. 319. (In Portuguese) [Google Scholar]
- Garcia, P.L.; Sermarini, R.A.; Trivelin, P.C.O. Nitrogen fertilization management with blends of controlled-release and conventional urea affects common bean growth and yield during mild winters in Brazil. Agronomy 2020, 10, 1935. [Google Scholar] [CrossRef]
- Jalal, A.; Galindo, F.S.; Boleta, E.H.M.; Oliveira, C.E.d.S.; Reis, A.R.d.; Nogueira, T.A.R.; Neto, M.J.M.; Mortinho, E.S.; Fernandes, G.C.; Filho, M.T.C.M. Common Bean Yield and Zinc Use Efficiency in Association with Diazotrophic Bacteria Co-Inoculations. Agronomy 2021, 11, 959. [Google Scholar] [CrossRef]
- Reinprecht, Y.; Schram, L.; Marsolais, F.; Smith, T.H.; Hill, B.; Pauls, K.P. Effects of nitrogen application on nitrogen fixation in common bean production. Front. Plant Sci. 2020, 11, 1172. [Google Scholar] [CrossRef]
- Rezende, C.C.; Nascente, A.S.; Silva, M.A.; Frasca, L.L.D.M.; Pires, R.A.C.; de Filippi, M.C.C.; Lanna, A.C.; e Silva, J.F.A. Physiological and agronomic performance of common bean treated with multifunctional microorganisms. Braz. J. Agric. Sci. 2021, 16, 1–9. [Google Scholar] [CrossRef]
- Hayat, R.; Ahmed, I.; Sheirdil, R.A. An Overview of Plant Growth Promoting Rhizobacteria (PGPR) for Sustainable Agriculture. In Crop Production for Agricultural Improvement; Ashraf, M., Öztürk, M., Ahmad, M., Aksoy, A., Eds.; Springer: Dordrecht, The Netherlands, 2012; pp. 557–579. [Google Scholar] [CrossRef]
- Taiz, L.; Zeiger, E.; Moller, I.M.; Murphy, A. Plant physiology and development. Sinauer Assoc. Sunderland 2017, 6, 761. [Google Scholar]
- Mambrin, R.B.; Sausen, D.; Moura, D.; Carvalho, I.R.; Szareski, V.J.; Conte, G.G. Phosphorus partition, phytic acid concentration and grains productivity of beans cultivars as a response to phosphate nutrition. Commun. Plant Sci. 2021, 11, 46–56. [Google Scholar] [CrossRef]
- Oliveira Junior, A.; Castro, C.; Oliveira, F.A.; Jordão, L.T. Soybean Potassium Fertilization: Care in Nutrient Balance; IPNI: Piracicaba, Brazil, 2013; Volume 143, pp. 1–10. (In Portuguese) [Google Scholar]
- Grover, M.; Bodhankar, S.; Sharma, A.; Sharma, P.; Singh, J.; Nain, L. PGPR Mediated Alterations in Root Traits: Way toward Sustainable Crop Production. Front. Sustain. Food Syst. 2021, 4, 287. [Google Scholar] [CrossRef]
- Steiner, F.; Zuffo, A.M.; Oliveira, C.E.S.; Ardon, H.J.V.; Sousa, T.O.; Aguilera, J.G. Can potassium fertilization alleviate the adverse effects of drought stress on soybean plants? Rev. Em Agronegócio E Meio Ambiente 2022, 15, 1–17. [Google Scholar] [CrossRef]
- Meena, V.S.; Maurya, B.R.; Verma, J.P.; Aeron, A.; Kumar, A.; Kim, K.; Bajpai, V.K. Potassium solubilizing rhizobacteria (KSR): Isolation, identification, and K-release dynamics from waste mica. Ecol. Eng. 2015, 81, 340–347. [Google Scholar] [CrossRef]
- Schossler, J.H.; Meert, L.; Rizzardi, D.A.; Michalovicz, L. Componentes de rendimento e produtividade do feijoeiro comum submetido à inoculação e co-inoculação com estirpes de Rhizobium tropici E Azospirillum brasilense. Sci. Agrar. 2016, 17, 10–15. [Google Scholar] [CrossRef] [Green Version]
- Yadegari, M. Inoculation of bean (Phaseolus vulgaris) seeds with Rizobium phaseoli and plant growth promoting rhizobacteria. Adv. Environ. Biol. 2014, 8, 419–424. [Google Scholar]
- Chibeba, A.M.; Guimarães, M.D.F.; Brito, O.R.; Nogueira, M.A.; Araujo, R.S.; Hungria, M. Co-Inoculation of Soybean with Bradyrhizobium and Azospirillum Promotes Early Nodulation. Embrapa Soja-Artig. Em Periódico Indexado (ALICE) 2015, 6, 1641–1649. [Google Scholar] [CrossRef] [Green Version]
- Dardanelli, M.; Rodríguez-Navarro, D.N.; Megías-Guijo, M.; Okon, Y. Influencia de la coinoculación Azospirillum-rizobios sobre el crecimiento y la fijación de nitrógeno de leguminosas de interés agronómico. In Azospirillum sp.: Cell Physiology, Plant Interactions and Agronomic Research in Argentina; Asociación Argentina de Microbiologia: Buenos Aires, Argentina, 2008; pp. 141–152. (In Portuguese) [Google Scholar]
- Jalal, A.; Azeem, K.; Filho, M.C.M.T.; Khan, A. Enhancing Soil Properties and Maize Yield through Organic and Inorganic Nitrogen and Diazotrophic Bacteria. In Sustainable Crop Production; IntechOpen: London, UK, 2020; pp. 165–178. [Google Scholar] [CrossRef]
- Cruz, C.D.; Regazzi, A.J.; Carneiro, P.C.S. Biometric Models Applied to Genetic Improvement; UFV: Viçosa, Brazil, 2012. [Google Scholar]





| NPK Doses (%) | Leaf N Concentration (g kg−1) | Leaf P Concentration (g kg−1) | Leaf K Concentration (g kg−1) | |||
|---|---|---|---|---|---|---|
| 2019 | 2020 | 2019 | 2020 | 2019 | 2020 | |
| 0 | 50.10 b | 45.51 | 6.29 | 3.89 a | 28.68 a | 22.14 a |
| 50 | 48.74 c | 44.16 | 6.34 | 3.74 ab | 27.38 a | 21.27 a |
| 100 | 51.99 a | 44.23 | 6.21 | 3.60 b | 24.85 b | 19.94 b |
| LSD (%) | 1.08 | 1.63 | 0.32 | 0.20 | 1.54 | 1.13 |
| Inoculation | ||||||
| Non-Inoculation | 50.59 b | 44.38 | 6.42 | 3.57 b | 30.33 a | 22.69 a |
| R. tropici | 49.99 b | 43.56 | 6.20 | 3.81 a | 27.10 b | 22.02 a |
| R. tropici + A. brasilense | 52.31 a | 43.38 | 6.37 | 3.47 b | 26.98 b | 19.66 b |
| R. tropici+ B. subtilis | 47.33 c | 45.67 | 5.99 | 3.94 a | 24.81 c | 20.93 a |
| R. tropici + P. fluorescens | 49.80 b | 45.47 | 6.33 | 3.57 b | 26.48 b | 21.32 a |
| R. tropici + A. brasilense + B. subtilis | 51.12 b | 45.19 | 6.10 | 3.82 a | 22.92 c | 19.89 b |
| R. tropici + A. brasilense+ P. fluorescens | 50.79 b | 44.80 | 6.56 | 4.02 a | 30.17 a | 21.30 a |
| F-Test | ||||||
| NPK Doses (D) | 27.14 ** | 2.57 ns | 0.51 ns | 6.34 ** | 19.02 ** | 11.49 ** |
| Co-Inoculation (C) | 10.37 ** | 1.55 ns | 1.88 ns | 5.58 ** | 15.31 ** | 4.71 ** |
| D × C | 6.96 ** | 1.97 ns | 0.99 ns | 2.74 ** | 7.44 ** | 3.36 ** |
| General Mean | 50.28 | 44.63 | 6.82 | 3.74 | 26.97 | 21.12 |
| Standard Error | 0.31 | 0.47 | 0.09 | 0.06 | 0.44 | 0.33 |
| CV (%) | 2.85 | 4.88 | 6.82 | 7.17 | 7.59 | 7.09 |
| NPK Doses (%) | 100-Grain Weight (g) | Pods per Plant | Grains per Pod | Grains per Plant | ||||
|---|---|---|---|---|---|---|---|---|
| 2019 | 2020 | 2019 | 2020 | 2019 | 2020 | 2019 | 2020 | |
| 0 | 25.26 c | 25.61 b | 23.79 | 20.61 b | 4.74 | 4.96 | 115.6 a | 101.5 b |
| 50 | 25.87 b | 26.47 a | 25.36 | 26.50 a | 4.69 | 4.85 | 125.2 a | 125.3 a |
| 100 | 26.43 a | 25.88 b | 23.18 | 24.89 a | 4.73 | 5.22 | 100.2 b | 128.8 a |
| LSD (%) | 0.27 | 0.50 | 4.06 | 3.18 | 0.06 | 0.69 | 10.61 | 20.23 |
| Inoculation | ||||||||
| Non-Inoculation | 25.72 c | 26.00 | 23.25 | 20.83 | 4.80 | 6.65 a | 106.8 b | 136.2 |
| R. tropici | 26.01 b | 26.51 | 22.75 | 25.50 | 4.70 | 4.79 b | 93.9 b | 121.3 |
| R. tropici + A. brasilense | 25.95 c | 25.93 | 23.83 | 24.08 | 4.79 | 5.41 b | 121.2 a | 127.7 |
| R. tropici+ B. subtilis | 26.40 a | 25.35 | 26.17 | 25.75 | 4.65 | 4.75 b | 128.0 a | 120.4 |
| R. tropici + P. fluorescens | 25.99 b | 25.88 | 25.17 | 24.25 | 4.70 | 4.49 b | 120.9 a | 108.5 |
| R. tropici + A. brasilense + B. subtilis | 26.10 b | 26.19 | 23.17 | 24.92 | 4.74 | 4.56 b | 103.0 b | 114.0 |
| R. tropici + A. brasilense+ P. fluorescens | 25.80 c | 26.06 | 24.42 | 22.67 | 4.65 | 4.42 b | 121.7 a | 101.5 |
| F-Test | ||||||||
| NPK Doses (D) | 53.97 ** | 8.97 ** | 0.89 ns | 10.58 ** | 0.19 ns | 0.85 ns | 16.43 ** | 6.23 ** |
| Co-Inoculation (C) | 12.60 ** | 2.48 ns | 0.45 ns | 1.46 ns | 0.42 ns | 6.48 ** | 6.82 ** | 1.65 ns |
| D × C | 13.97 ** | 1.35 ns | 1.51 ns | 1.20 ns | 5.06 ** | 1.54 ns | 6.77 ** | 1.46 ns |
| General Mean | 25.85 | 25.99 | 24.11 | 24.00 | 4.72 | 5.01 | 113.35 | 118.55 |
| Standard Error | 0.08 | 1.15 | 1.19 | 0.94 | 0.06 | 0.20 | 3.12 | 5.95 |
| CV (%) | 1.63 | 2.98 | 26.21 | 20.65 | 7.05 | 21.55 | 14.52 | 26.56 |
| NPK Doses (%) | Grain Yield (kg ha−1) | |
|---|---|---|
| 2019 | 2020 | |
| 0 | 3212 b | 2751 c |
| 50 | 3693 a | 3813 b |
| 100 | 3822 a | 4370 a |
| LSD (%) | 246.52 | 248.70 |
| Inoculation | ||
| Non-Inoculation | 3527 b | 3435 b |
| R. tropici | 3203 c | 3464 b |
| R. tropici + A. brasilense | 3461 b | 3534 b |
| R. tropici + B. subtilis | 4329 a | 3571 b |
| R. tropici + P. fluorescens | 3240 c | 3712 b |
| R. tropici + A. brasilense + B. subtilis | 3665 b | 3664 b |
| R. tropici + A. brasilense + P. fluorescens | 3605 b | 4131 a |
| F-Test | ||
| NPK Doses (D) | 19.67 ** | 126.44 ** |
| Co-Inoculation (C) | 11.44 ** | 4.47 ** |
| D × C | 9.39 ** | 2.67 ** |
| General means | 3575 | 3644 |
| Standard error | 72.51 | 76.16 |
| CV (%) | 10.73 | 10.63 |
Publisher’s Note: MDPI stays neutral with regard to jurisdictional claims in published maps and institutional affiliations. |
© 2022 by the authors. Licensee MDPI, Basel, Switzerland. This article is an open access article distributed under the terms and conditions of the Creative Commons Attribution (CC BY) license (https://creativecommons.org/licenses/by/4.0/).
Share and Cite
Mortinho, E.S.; Jalal, A.; da Silva Oliveira, C.E.; Fernandes, G.C.; Pereira, N.C.M.; Rosa, P.A.L.; do Nascimento, V.; de Sá, M.E.; Teixeira Filho, M.C.M. Co-Inoculations with Plant Growth-Promoting Bacteria in the Common Bean to Increase Efficiency of NPK Fertilization. Agronomy 2022, 12, 1325. https://doi.org/10.3390/agronomy12061325
Mortinho ES, Jalal A, da Silva Oliveira CE, Fernandes GC, Pereira NCM, Rosa PAL, do Nascimento V, de Sá ME, Teixeira Filho MCM. Co-Inoculations with Plant Growth-Promoting Bacteria in the Common Bean to Increase Efficiency of NPK Fertilization. Agronomy. 2022; 12(6):1325. https://doi.org/10.3390/agronomy12061325
Chicago/Turabian StyleMortinho, Emariane Satin, Arshad Jalal, Carlos Eduardo da Silva Oliveira, Guilherme Carlos Fernandes, Nathália Cristina Marchiori Pereira, Poliana Aparecida Leonel Rosa, Vagner do Nascimento, Marco Eustáquio de Sá, and Marcelo Carvalho Minhoto Teixeira Filho. 2022. "Co-Inoculations with Plant Growth-Promoting Bacteria in the Common Bean to Increase Efficiency of NPK Fertilization" Agronomy 12, no. 6: 1325. https://doi.org/10.3390/agronomy12061325
APA StyleMortinho, E. S., Jalal, A., da Silva Oliveira, C. E., Fernandes, G. C., Pereira, N. C. M., Rosa, P. A. L., do Nascimento, V., de Sá, M. E., & Teixeira Filho, M. C. M. (2022). Co-Inoculations with Plant Growth-Promoting Bacteria in the Common Bean to Increase Efficiency of NPK Fertilization. Agronomy, 12(6), 1325. https://doi.org/10.3390/agronomy12061325

