Red Harvester Ant (Pogonomyrmex barbatus F. Smith; Hymenoptera: Formicidae) Preference for Cover Crop Seeds in South Texas
Abstract
1. Introduction
2. Materials and Methods
2.1. Site Description
2.2. Seed Preference Trials
2.3. Seed Inoculation Trials
2.4. Statistical Analysis
3. Results
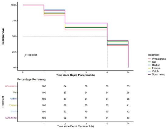
3.1. Seed Preference Trials
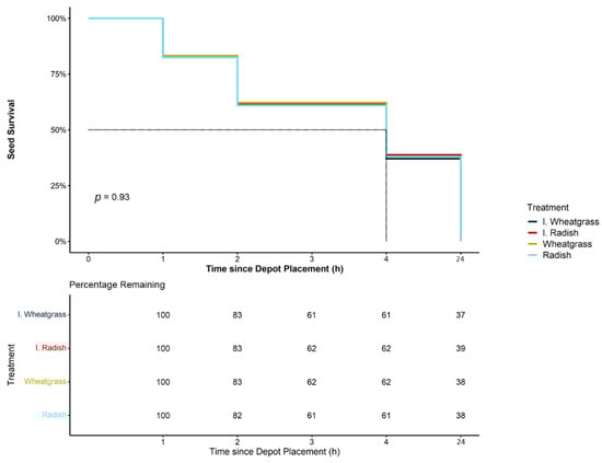
3.2. Seed Inoculum Trial
4. Discussion
Supplementary Materials
Author Contributions
Funding
Data Availability Statement
Acknowledgments
Conflicts of Interest
Appendix A
Depot Cage Construction and Depot Optimization
Appendix B
Optimization of Depot Placement
References
- MacMahon, J.A.; Mull, J.F.; Crist, T.O. Harvester Ants (Pogonomyrmex spp.): Their Community and Ecosystem Influences. Annu. Rev. Ecol. Evol. Syst. 2000, 31, 265–291. [Google Scholar] [CrossRef]
- Uhey, D.A.; Hofstetter, R.W. From Pests to Keystone Species: Ecosystem Influences and Human Perceptions of Harvester Ants (Pogonomyrmex, Veromessor, and Messor spp.). Ann. Entomol. Soc. Am. 2021, 115, 127–140. [Google Scholar] [CrossRef]
- Staubus, W.J.; Boyd, E.S.; Adams, T.A.; Spear, D.M.; Dipman, M.M.; Meyer, W.M. Ant Communities in Native Sage Scrub, Non-Native Grassland, and Suburban Habitats in Los Angeles County, USA: Conservation Implications. J. Insect Conserv. 2015, 19, 669–680. [Google Scholar] [CrossRef]
- Davis, J.M. Management of the Red Harvester Ant Pogonomyrmex barbatus; Texas Nature Trackers; Texas Parks and Wildlife Department: Austin, TX, USA, 2016. Available online: https://tpwd.texas.gov/huntwild/wild/wildlife_diversity/texas_nature_trackers/horned_lizard/documents/harvester_ant_management.pdf (accessed on 18 March 2022).
- Martinez, L.M. Examining the Efficacy of Cover Crops as an Integrated Pest Management Tool in Organic Farms in the Lower Rio Grande Valley. Master’s Thesis, The University of Texas Rio Grande Valley, Edinburg, TX, USA, 2020. [Google Scholar]
- USDA National Agricultural Statistics Service Cropland Data Layer. Available online: https://data.nal.usda.gov/dataset/cropscape-cropland-data-layer (accessed on 18 March 2021).
- Lombardi, J.V.; Perotto-Baldivieso, H.L.; Tewes, M.E. Land Cover Trends in South Texas (1987–2050): Potential Implications for Wild Felids. Remote Sens. 2020, 12, 659. [Google Scholar] [CrossRef]
- AntWeb V.8.75 Texas, United States Ants (Species). Available online: https://www.antweb.org/taxonomicPage.do?rank=species&images=true&adm1Name=Texas&countryName=United%20States (accessed on 18 March 2022).
- Traniello, J.F.A. Foraging Strategies of Ants. Annu. Rev. Entomol. 1989, 34, 191–210. [Google Scholar] [CrossRef]
- Taber, S.W. The World of the Harvester Ants, 1st ed.; Texas A&M University Press: College Station, TX, USA, 1998; ISBN 978-0-89096-815-4. [Google Scholar]
- Reed, H.C.; Landolt, P.J. Ants, Wasps, and Bees (Hymenoptera). In Medical and Veterinary Entomology, 3rd ed.; Mullen, G.R., Durden, L.A., Eds.; Academic Press: Cambridge, MA, USA, 2019; pp. 459–488. ISBN 978-0-12-814043-7. [Google Scholar]
- MacKay, W.P. The Biology and Economic Impact of Pogonomyrmex Harvester Ants. In Applied Myrmecology; CRC Press: Boca Raton, FL, USA, 1990; ISBN 978-0-429-04310-9. [Google Scholar]
- MacKay, W.P.; Mackay, E. The Ants of New Mexico (Hymenoptera: Formicidae); Edwin Mellen Press: Lewiston, NY, USA, 2002; ISBN 978-0-773-46884-9. [Google Scholar]
- Torra, J.; Atanackovic, V.; Blanco-Moreno, J.M.; Royo-Esnal, A.; Westerman, P.R. Effect of Patch Size on Seed Removal by Harvester Ants. Weed Res. 2016, 56, 14–21. [Google Scholar] [CrossRef]
- Hill, A.B. Factors Influencing Foraging Trail Organization in the Red Harvester Ant. Bios 1977, 48, 58–69. [Google Scholar]
- Penn, H.J.; Crist, T.O. From Dispersal to Predation: A Global Synthesis of Ant–Seed Interactions. Ecol. Evol. 2018, 8, 9122–9138. [Google Scholar] [CrossRef]
- Crist, T.O.; MacMahon, J.A. Harvester Ant Foraging and Shrub-Steppe Seeds: Interactions of Seed Resources and Seed Use. Ecology 1992, 73, 1768–1779. [Google Scholar] [CrossRef]
- Luna, P.; García-Chávez, J.H.; Dáttilo, W. Complex Foraging Ecology of the Red Harvester Ant and Its Effect on the Soil Seed Bank. Acta Oecol. 2018, 86, 57–65. [Google Scholar] [CrossRef]
- Nicolai, N.; Cook, J.L.; Smeins, F.E. Grassland Composition Affects Season Shifts in Seed Preference by Pogonomyrmex barbatus (Hymenoptera: Myrmicinae) in the Edwards Plateau, Texas. Environ. Entomol. 2007, 36, 433–440. [Google Scholar] [CrossRef] [PubMed][Green Version]
- Baraibar, B.; Carrion, E.; Recasens, J.; Westerman, P.R. Unravelling the Process of Weed Seed Predation: Developing Options for Better Weed Control. Biol. Control 2011, 56, 85–90. [Google Scholar] [CrossRef]
- Baraibar, B.; Westerman, P.R.; Recasens, J. Effects of Tillage and Irrigation in Cereal Fields on Weed Seed Removal by Seed Predators. J. Appl. Ecol. 2009, 46, 380–387. [Google Scholar] [CrossRef]
- Barbercheck, M.E.; Wallace, J. Weed–Insect Interactions in Annual Cropping Systems. Ann. Entomol. Soc. Am. 2021, 114, 276–291. [Google Scholar] [CrossRef]
- Baraibar, B.; Ledesma, R.; Royo-Esnal, A.; Westerman, P.R. Assessing Yield Losses Caused by the Harvester Ant Messor barbarus (L.) in Winter Cereals. Crop Prot. 2011, 30, 1144–1148. [Google Scholar] [CrossRef]
- Minkey, D.M.; Spafford, H. Removal and Burial of Weed Seeds by Ants (Hymenoptera: Formicidae) from the Soil Surface of a Cropped Area in Western Australia. Environ. Entomol. 2016, 45, 1199–1204. [Google Scholar] [CrossRef] [PubMed]
- Borth, P.W.; Tickes, B.R.; Johnson, G.D. A Preliminary Evaluation of Amdro for Control of a Harvester Ant (Pogonomyrmex maricopa Wheeler) in Hard Red Spring Wheat; (Series P-57); College of Agriculture, University of Arizona: Tucson, AZ, USA, 1982; Available online: https://repository.arizona.edu/handle/10150/200406 (accessed on 18 March 2022).
- Borth, P.W. Field Evaluation of Several Insecticides on Maricopa Harvester Ant (Hymenoptera: Formicidae) Colony Activity in Fallow Southwestern Arizona Cropland. J. Econ. Entomol. 1986, 79, 1632–1636. [Google Scholar] [CrossRef]
- Barnes, O.L.; Nerney, N.J. The Red Harvester Ant and How to Subdue It; U.S. Department of Agriculture: Washington, DC, USA, 1953.
- Crowell, H.H. Control of the Western Harvester Ant, Pogonomyrmex occidentalis, with Poisoned Baits. J. Econ. Entomol. 1963, 56, 295–298. [Google Scholar] [CrossRef]
- Price, R.; King, E.; Pinkston, K.; Foltz, J. Control of Red Harvester Ant with Drenches, Granules, and Aerosols, 1982. Insectic. Acaric. Tests 1983, 8, 259. [Google Scholar] [CrossRef]
- Wu, H.J. Disk Clearing Behavior of the Red Harvester Ant, Pogonomyrmex barbatus Smith. Bull. Inst. Zool. Acad. Sin. 1990, 29, 153–164. [Google Scholar]
- Bodner, G.; Himmelbauer, M.; Loiskandl, W.; Kaul, H.-P. Improved Evaluation of Cover Crop Species by Growth and Root Factors. Agron. Sustain. Dev. 2010, 30, 455–464. [Google Scholar] [CrossRef]
- Soti, P.; Racelis, A. Cover Crops for Weed Suppression in Organic Vegetable Systems in Semiarid Subtropical Texas. Org. Agric. 2020, 10, 429–436. [Google Scholar] [CrossRef]
- Labrière, N.; Locatelli, B.; Laumonier, Y.; Freycon, V.; Bernoux, M. Soil Erosion in the Humid Tropics: A Systematic Quantitative Review. Agric. Ecosyst. Environ. 2015, 203, 127–139. [Google Scholar] [CrossRef]
- Ryti, R.T.; Case, T.J. Field Experiments on Desert Ants: Testing for Competition Between Colonies. Ecology 1988, 69, 1993–2003. [Google Scholar] [CrossRef]
- Brito-Bersi, T.; Dawes, E.; Martinez, R.; McDonald, A. Seed Preference in a Desert Harvester Ant, Messor Pergandei. Calif. Ecol. Conserv. Res. 2018, 2, 1–6. [Google Scholar] [CrossRef]
- Quintana-Ascencio, P.F.; González-Espinosa, M. Seasonal variation in the diet of Pogonomyrmex barbatus (Hymenoptera: Formicidae) in prickly pears from Central Mexico. Folia Entomol. Mex. 1990, 80, 245–261. [Google Scholar]
- Pirk, G.I.; de Casenave, J.L. Diet and Seed Removal Rates by the Harvester Ants Pogonomyrmex rastratus and Pogonomyrmex pronotalis in the Central Monte Desert, Argentina. Insect. Soc. 2006, 53, 119–125. [Google Scholar] [CrossRef]
- Kasper, S.L. Investigating Limitations to Nitrogen Fixation by Leguminous Cover Crops in South Texas. Master’s Thesis, The University of Texas Rio Grande Valley, Edinburg, TX, USA, 2020. [Google Scholar]
- Kasper, S.; Christoffersen, B.; Soti, P.; Racelis, A. Abiotic and Biotic Limitations to Nodulation by Leguminous Cover Crops in South Texas. Agriculture 2019, 9, 209. [Google Scholar] [CrossRef]
- Knoch, T.R.; Faeth, S.H.; Arnott, D.L. Endophytic Fungi Alter Foraging and Dispersal by Desert Seed-Harvesting Ants. Oecologia 1993, 95, 470–473. [Google Scholar] [CrossRef]
- Pereira, H.; Willeput, R.; Detrain, C. A Fungus Infected Environment Does Not Alter the Behaviour of Foraging Ants. Sci. Rep. 2021, 11, 23573. [Google Scholar] [CrossRef]
- Lash, C.L.; Fordyce, J.A.; Kwit, C. Nest Substrate, More than Ant Activity, Drives Fungal Pathogen Community Dissimilarity in Seed-Dispersing Ant Nests. Oecologia 2020, 194, 649–657. [Google Scholar] [CrossRef] [PubMed]
- Ohkawara, K.; Akino, T. Seed Cleaning Behavior by Tropical Ants and Its Anti-Fungal Effect. J. Ethol. 2005, 23, 93–98. [Google Scholar] [CrossRef]
- Offenberg, J.; Damgaard, C. Ants Suppressing Plant Pathogens: A Review. Oikos 2019, 128, 1691–1703. [Google Scholar] [CrossRef]
- Texas Water Development Board. Water for Texas 2012 State Water Plan: Climate of Texas; Texas Water Development Board: Austin, TX, USA, 2012; pp. 144–155. Available online: https://www.twdb.texas.gov/publications/state_water_plan/2012/2012_SWP.pdf (accessed on 18 March 2022).
- National Cooperative Soil Survey Rio Grande Series. Available online: https://soilseries.sc.egov.usda.gov/OSD_Docs/R/RIO_GRANDE.html (accessed on 18 March 2022).
- Texas Parks & Wildlife Department South Texas Plains. Available online: https://tpwd.texas.gov/education/resources/texas-junior-naturalists/regions/south-texas-plains (accessed on 18 March 2022).
- The USDA Forest Service Southwest Plateau and Plains Dry Steppe and Shrub. In Ecological Subregions of the United States; The USDA Forest Service: Washington, DC, USA, 1992. Available online: https://www.fs.fed.us/land/pubs/ecoregions/ecoregions.html (accessed on 18 March 2022).
- UTRGV Office For Sustainability. 2020 Tree Campus USA Report; UTRGV Office for Sustainability: Edinburg, TX, USA, 2021; Available online: https://issuu.com/officeforsustainability/docs/2020_tree_campus_report-_final_5_ (accessed on 18 March 2022).
- Hughes, L.; Westoby, M. Removal Rates of Seeds Adapted for Dispersal by Ants. Ecology 1990, 71, 138–148. [Google Scholar] [CrossRef]
- Thomson, F.J.; Auld, T.D.; Ramp, D.; Kingsford, R.T. A Switch in Keystone Seed-Dispersing Ant Genera between Two Elevations for a Myrmecochorous Plant, Acacia terminalis. PLoS ONE 2016, 11, e0157632. [Google Scholar] [CrossRef]
- Campagnoli, M.L.; Christianini, A.V. Temporal Consistency in Interactions among Birds, Ants, and Plants in a Neotropical Savanna. Oikos 2022, 2022. [Google Scholar] [CrossRef]
- R Core Team. R: A Language and Environment for Statistical Computing; R Foundation for Statistical Computing: Vienna, Austria, 2020. [Google Scholar]
- Therneau, T. A Package for Survival Analysis in R. Available online: https://CRAN.R-project.org/package=survival (accessed on 18 March 2022).
- Therneau, T.M.; Grambsch, P.M. Modeling Survival Data: Extending the Cox Model; Springer: New York, NY, USA, 2000; ISBN 0-387-98784-3. [Google Scholar]
- Johnson, L.L.; Shih, J.H. An Introduction to Survival Analysis. In Principles and Practice of Clinical Research, 2nd ed.; Gallin, J.I., Ognibene, F.P., Eds.; Academic Press: Burlington, NJ, USA, 2007; pp. 273–282. ISBN 978-0-12-369440-9. [Google Scholar]
- Rickert, J. Survival Analysis with R. Available online: https://rviews.rstudio.com/2017/09/25/survival-analysis-with-r/ (accessed on 18 March 2022).
- Therneau, T.M.; Grambsch, P.M. Modeling Survival Data: Extending the Cox Model, 2000th ed.; Springer: Berlin/Heidelberg, Germany, 2010; ISBN 978-1-4419-3161-0. [Google Scholar]
- Crist, T.O.; MacMahon, J.A. Foraging Patterns of Pogonomyrmex occidentalis (Hymenoptera: Formicidae) in a Shrub–Steppe Ecosystem: The Roles of Temperature, Trunk Trails, and Seed Resources. Environ. Entomol. 1991, 20, 265–275. [Google Scholar] [CrossRef]
- Goel, S.; Singh, H.D.; Raina, S.N. Cenchrus. In Wild Crop Relatives: Genomic and Breeding Resources: Millets and Grasses; Kole, C., Ed.; Springer: Berlin/Heidelberg, Germany, 2011; pp. 31–52. ISBN 978-3-642-14255-0. [Google Scholar]
- Shaw, R.B. Guide to Texas Grasses; Texas A&M University Press: College Station, TX, USA, 2012; ISBN 978-1-603-44186-5. [Google Scholar]
- Cope, T.; Gray, A.J. Grasses of the British Isles. In Grasses of the British Isles; Botanical Society of Britain & Ireland: Durham, UK, 2009; ISBN 978-0-9011-5842-0. [Google Scholar]
- Sellers, B.; Smith, H.; Ferrell, J.A. Identification and Control of Southern Sandbur (Cenchrus echinatus L.) in Hayfields; University of Florida, Institute of Food and Agricultural Sciences Extension: Gainesville, FL, USA, 2019; Available online: https://edis.ifas.ufl.edu/pdf/AG/AG37300.pdf (accessed on 18 March 2022).
- Friedman, D.A.; Greene, M.J.; Gordon, D.M. The Physiology of Forager Hydration and Variation among Harvester Ant (Pogonomyrmex barbatus) Colonies in Collective Foraging Behavior. Sci. Rep. 2019, 9, 5126. [Google Scholar] [CrossRef]
- Guzmán-Mendoza, R.; Castaño-Meneses, G.; Zavala-Hurtado, J.A. Foraging Activity and Trophic Spectrum of Red Ant Pogonomyrmex barbatus Smith, 1858, in Productivity-Contrasted Microenvironments. Psyche 2012, 2012, e942737. [Google Scholar]
- Gordon, D.M.; Dektar, K.N.; Pinter-Wollman, N. Harvester Ant Colony Variation in Foraging Activity and Response to Humidity. PLoS ONE 2013, 8, e63363. [Google Scholar] [CrossRef]
- Pol, R.; de Casenave, J.L. Activity Patterns of Harvester Ants Pogonomyrmex pronotalis and Pogonomyrmex rastratus in the Central Monte Desert, Argentina. J. Insect Behav. 2004, 17, 647–661. [Google Scholar] [CrossRef]
- Flitters, N.E. Observations on the Effect of Hurricane “Carla” on Insect Activity. Int. J. Biometeorol. 1963, 6, 85–90. [Google Scholar] [CrossRef]
- Sujimoto, F.R.; Costa, C.M.; Zitelli, C.H.L.; Bento, J.M.S. Foraging Activity of Leaf-Cutter Ants Is Affected by Barometric Pressure. Ethology 2020, 126, 290–296. [Google Scholar] [CrossRef]
- Crist, T.O.; Friese, C.F. The Impact of Fungi on Soil Seeds: Implications for Plants and Granivores in a Semiarid Shrub-Steppe. Ecology 1993, 74, 2231–2239. [Google Scholar] [CrossRef]
- Wagner, D.; Brown, M.J.F.; Gordon, D.M. Harvester Ant Nests, Soil Biota and Soil Chemistry. Oecologia 1997, 112, 232–236. [Google Scholar] [CrossRef]
- Boulton, A.M.; Jaffee, B.A.; Scow, K.M. Effects of a Common Harvester Ant (Messor andrei) on Richness and Abundance of Soil Biota. Appl. Soil Ecol. 2003, 23, 257–265. [Google Scholar] [CrossRef]
- Ginzburg, O.; Whitford, W.G.; Steinberger, Y. Effects of Harvester Ant (Messor spp.) Activity on Soil Properties and Microbial Communities in a Negev Desert Ecosystem. Biol. Fertil. Soils 2008, 45, 165–173. [Google Scholar] [CrossRef]
- Guimaraes, P.R.; Cogni, R. Seed Cleaning of Cupania vernalis (Sapindaceae) by Ants: Edge Effect in a Highland Forest in South-East Brazil. J. Trop. Ecol. 2002, 18, 303–307. [Google Scholar] [CrossRef][Green Version]
- Hoenigsberger, M.; Pretzer, C.; Rahimi, M.J.; Kopchinskiy, A.G.; Parich, A.; Laciny, A.; Metscher, B.; Chan, C.M.; Lim, L.B.L.; Salim, K.A.; et al. Strong Antimicrobial and Low Insecticidal Activity of Mandibular Gland Reservoir Content in Bornean “Exploding Ants” Colobopsis Explodens Laciny & Zettel, 2018 (Hymenoptera: Formicidae). Myrmecol. News 2020, 30, 201–212. [Google Scholar]
- Rugg, S.M. Multifunctionality of Cover Crops on Organic Vegetable Farms in South Texas. Master’s Thesis, The University of Texas Rio Grande Valley, Edinburg, TX, USA, 2016. [Google Scholar]
- Soti, P.G.; Rugg, S.; Racelis, A. Potential of Cover Crops in Promoting Mycorrhizal Diversity and Soil Quality in Organic Farms. J. Agric. Sci. 2016, 8, 42–47. [Google Scholar] [CrossRef]
- Gordon, D.M. The Dynamics of the Daily Round of the Harvester Ant Colony (Pogonomyrmex barbatus). Anim. Behav. 1986, 34, 1402–1419. [Google Scholar] [CrossRef]







| Vetch | Oat | Sunn Hemp | Wheatgrass | Radish | |
|---|---|---|---|---|---|
| Oat | 0.003 | ||||
| Sunn hemp | 0.733 | <0.001 | |||
| Wheatgrass | <0.001 | 0.149 | <0.001 | ||
| Radish | 0.011 | 0.664 | 0.003 | 0.068 | |
| Fescue | 0.190 | 0.121 | 0.115 | 0.003 | 0.230 |
| Cover Crop | Coef | SE | Z | P |
|---|---|---|---|---|
| Vetch | 0.000 | 0.040 | −0.040 | 0.970 |
| Oat | 0.000 | 0.040 | −0.080 | 0.930 |
| Sunn hemp | 0.000 | 0.040 | −0.110 | 0.910 |
| Radish | 0.010 | 0.040 | 0.150 | 0.880 |
| Fescue | −0.170 | 0.040 | −4.130 | 0.000 |
| Cover Crop | Coef | SE | Z | P |
|---|---|---|---|---|
| Inoculated Wheatgrass | 0.010 | 0.040 | 0.260 | 0.750 |
| Inoculated Radish | −0.010 | 0.040 | 0.680 | 0.820 |
| Radish | 0.000 | 0.040 | 0.410 | 0.930 |
Publisher’s Note: MDPI stays neutral with regard to jurisdictional claims in published maps and institutional affiliations. |
© 2022 by the authors. Licensee MDPI, Basel, Switzerland. This article is an open access article distributed under the terms and conditions of the Creative Commons Attribution (CC BY) license (https://creativecommons.org/licenses/by/4.0/).
Share and Cite
Elliott-Vidaurri, L.V.; Rivera, D.; Noval, A.; Choudhury, R.A.; Penn, H.J. Red Harvester Ant (Pogonomyrmex barbatus F. Smith; Hymenoptera: Formicidae) Preference for Cover Crop Seeds in South Texas. Agronomy 2022, 12, 1099. https://doi.org/10.3390/agronomy12051099
Elliott-Vidaurri LV, Rivera D, Noval A, Choudhury RA, Penn HJ. Red Harvester Ant (Pogonomyrmex barbatus F. Smith; Hymenoptera: Formicidae) Preference for Cover Crop Seeds in South Texas. Agronomy. 2022; 12(5):1099. https://doi.org/10.3390/agronomy12051099
Chicago/Turabian StyleElliott-Vidaurri, Lilly Victoria, Daniela Rivera, Adrian Noval, Robin A. Choudhury, and Hannah J. Penn. 2022. "Red Harvester Ant (Pogonomyrmex barbatus F. Smith; Hymenoptera: Formicidae) Preference for Cover Crop Seeds in South Texas" Agronomy 12, no. 5: 1099. https://doi.org/10.3390/agronomy12051099
APA StyleElliott-Vidaurri, L. V., Rivera, D., Noval, A., Choudhury, R. A., & Penn, H. J. (2022). Red Harvester Ant (Pogonomyrmex barbatus F. Smith; Hymenoptera: Formicidae) Preference for Cover Crop Seeds in South Texas. Agronomy, 12(5), 1099. https://doi.org/10.3390/agronomy12051099

