Agronomic Performance of Rainfed Barley Genotypes under Different Tillage Systems in Highland Areas of Dryland Conditions
Abstract
:1. Introduction
2. Materials and Methods
3. Results
3.1. Climatic Conditions
3.2. ANOVA and Partition of Variance for Studied Traits
3.3. Impact of Tillage, Location and Year on Agronomic Performance of Barley
3.4. Genotype × Tillage Interaction for Grain Yield and Related Traits
3.5. Mean and Stability Performance of Genotypes
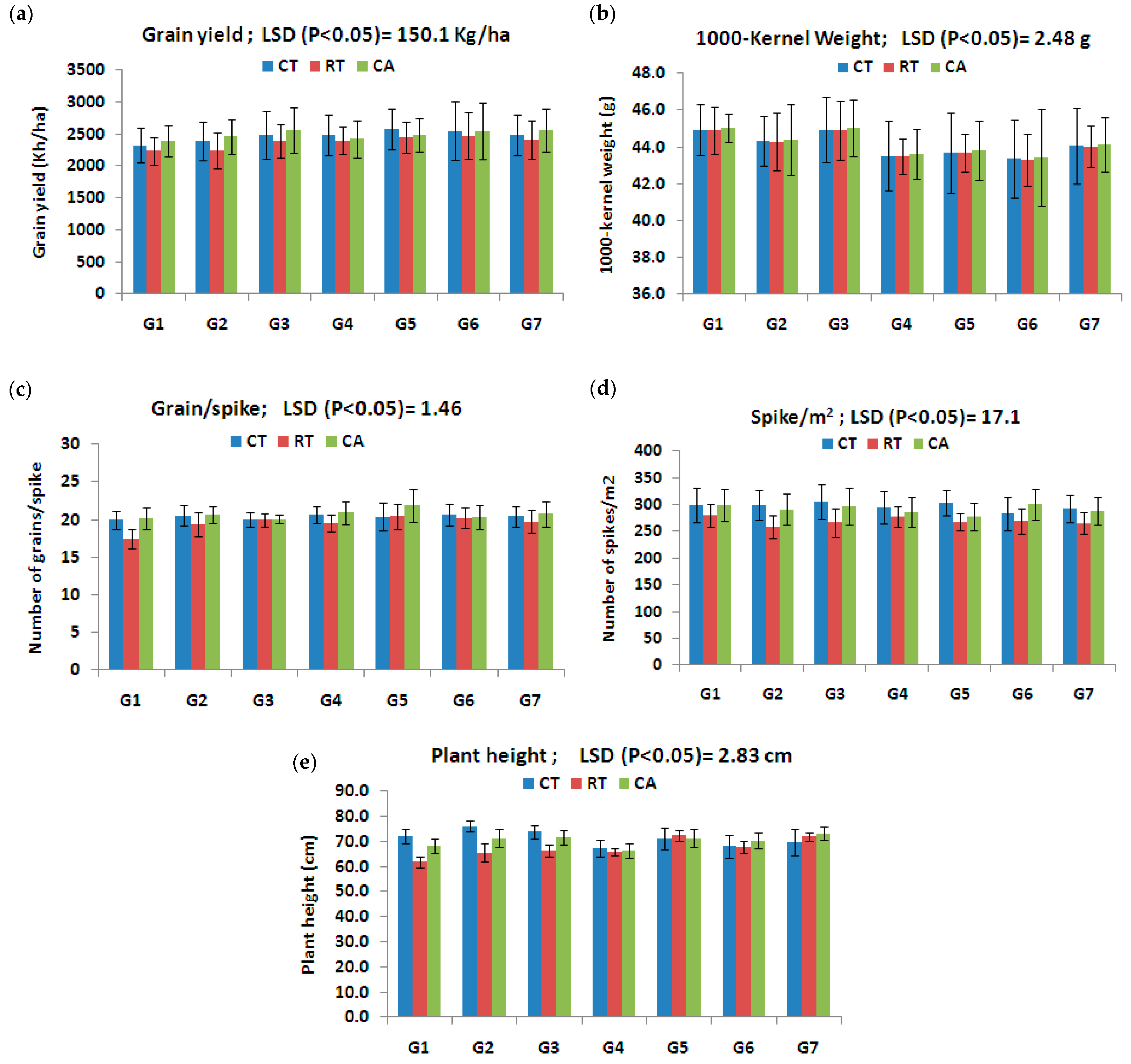
3.6. Genotypic Traits Performance and Characterization
3.7. Relationships among the Studied Traits
4. Discussion
5. Conclusions
Author Contributions
Funding
Data Availability Statement
Acknowledgments
Conflicts of Interest
References
- Dey, A.; Patel, S.; Singh, H.P. An Approach to Understand Conservation Agriculture. In Sustainable Agriculture Systems and Technologies; Wiley: Hoboken, NJ, USA, 2022; pp. 201–223. [Google Scholar]
- Hassan, W.; Li, Y.; Saba, T.; Jabbi, F.; Wang, B.; Cai, A.; Wu, J. Improved and sustainable agroecosystem, food security and environmental resilience through zero tillage with emphasis on soils of temperate and subtropical climate regions: A review. Int. Soil Water Conserv. Res. 2022, in press. [Google Scholar] [CrossRef]
- Anderson, W.K.; Hamza, M.A.; Sharma, D.L.; D’Antuono, M.F.; Hoyle, F.C.; Hill, N.; Shackley, B.J.; Amjad, M.; Zaicou-Kunesch, C. The role of management in yield improvement of the wheat crop—A review with special emphasis on Western Australia. Aust. J. Agric. Res. 2005, 56, 1137. [Google Scholar] [CrossRef]
- Sadras, V.O.; Angus, J.F. Benchmarking water-use efficiency of rainfed wheat in dry environments. Aust. J. Agric. Res. 2006, 57, 847. [Google Scholar] [CrossRef]
- Passioura, J.B.; Angus, J.F. Improving Productivity of Crops in Water-Limited Environments. Adv. Agron. 2010, 106, 37–75. [Google Scholar]
- Richards, R.A.; Hunt, J.R.; Kirkegaard, J.A.; Passioura, J.B. Yield improvement and adaptation of wheat to water-limited environments in Australia—A case study. Crop Pasture Sci. 2014, 65, 676. [Google Scholar] [CrossRef]
- Elkelish, A.; El-Mogy, M.M.; Niedbała, G.; Piekutowska, M.; Atia, M.A.M.; Hamada, M.M.A.; Shahin, M.; Mukherjee, S.; El-Yazied, A.A.; Shebl, M.; et al. Roles of Exogenous α-Lipoic Acid and Cysteine in Mitigation of Drought Stress and Restoration of Grain Quality in Wheat. Plants 2021, 10, 2318. [Google Scholar] [CrossRef]
- Sedri, M.H.; Roohi, E.; Niazian, M.; Niedbała, G. Interactive Effects of Nitrogen and Potassium Fertilizers on Quantitative-Qualitative Traits and Drought Tolerance Indices of Rainfed Wheat Cultivar. Agronomy 2021, 12, 30. [Google Scholar] [CrossRef]
- Hemmat, A.; Eskandari, I. Tillage system effects upon productivity of a dryland winter wheat–chickpea rotation in the northwest region of Iran. Soil Tillage Res. 2004, 78, 69–81. [Google Scholar] [CrossRef]
- Taner, A.; Zafer, R.; Kaya, Y.; Gültekin, İ.; Partigöç, F. The effects of various tillage systems on grain yield, quality parameters and energy indices in winter wheat production under the rainfed conditions. Fresenius Environ. Bull. 2015, 24, 1463–1473. [Google Scholar]
- Herrera, J.M.; Verhulst, N.; Trethowan, R.M.; Stamp, P.; Govaerts, B. Insights into Genotype × Tillage Interaction Effects on the Grain Yield of Wheat and Maize. Crop Sci. 2013, 53, 1845–1859. [Google Scholar] [CrossRef]
- Carranza-Gallego, G.; Guzmán, G.I.; García-Ruíz, R.; González de Molina, M.; Aguilera, E. Contribution of old wheat varieties to climate change mitigation under contrasting managements and rainfed Mediterranean conditions. J. Clean. Prod. 2018, 195, 111–121. [Google Scholar] [CrossRef]
- Devita, P.; Dipaolo, E.; Fecondo, G.; Difonzo, N.; Pisante, M. No-tillage and conventional tillage effects on durum wheat yield, grain quality and soil moisture content in southern Italy. Soil Tillage Res. 2007, 92, 69–78. [Google Scholar] [CrossRef]
- Jat, M.L.; Chakraborty, D.; Ladha, J.K.; Rana, D.S.; Gathala, M.K.; McDonald, A.; Gerard, B. Conservation agriculture for sustainable intensification in South Asia. Nat. Sustain. 2020, 3, 336–343. [Google Scholar] [CrossRef]
- Cavalieri, K.M.V.; da Silva, A.P.; Tormena, C.A.; Leão, T.P.; Dexter, A.R.; Håkansson, I. Long-term effects of no-tillage on dynamic soil physical properties in a Rhodic Ferrasol in Paraná, Brazil. Soil Tillage Res. 2009, 103, 158–164. [Google Scholar] [CrossRef]
- Gathala, M.K.; Laing, A.M.; Tiwari, T.P.; Timsina, J.; Islam, M.S.; Chowdhury, A.K.; Chattopadhyay, C.; Singh, A.K.; Bhatt, B.P.; Shrestha, R.; et al. Enabling smallholder farmers to sustainably improve their food, energy and water nexus while achieving environmental and economic benefits. Renew. Sustain. Energy Rev. 2020, 120, 109645. [Google Scholar] [CrossRef]
- FAO Food and Agriculture Organization of the United Nations (FAO). FAOSTAT Online Statistical Service. 2022. Available online: http://faostat.fao.org (accessed on 20 January 2022).
- IranStat. Agriculture Statistics of Iran for Crops, 1st ed.; Statistical Center of Iran: Tehran, Iran, 2019.
- Yan, W. GGEbiplot—A Windows Application for Graphical Analysis of Multienvironment Trial Data and Other Types of Two-Way Data. Agron. J. 2001, 93, 1111–1118. [Google Scholar] [CrossRef] [Green Version]
- Pacheco, Á.; Vargas, M.; Alvarado, G.; Rodríguez, F.; Crossa, J.; Burgueño, J. GEA-R (Genotype x Environment Analysis with R for Windows), version 4.1; Internatinal Maize and Wheat Improvement Center: Mexico City, Mexico, 2015. [Google Scholar]
- Mohammadi, R. Efficiency of yield-based drought tolerance indices to identify tolerant genotypes in durum wheat. Euphytica 2016, 211, 71–89. [Google Scholar] [CrossRef]
- Mohammadi, R.; Etminan, A.; Shoshtari, L. Agro-Physiological Characterization of Durum Wheat Genotypes under Drought Conditions. Exp. Agric. 2019, 55, 484–499. [Google Scholar] [CrossRef]
- Weisz, R.; Bowman, D.T. Influence of tillage system on soft red winter wheat cultivar selection. J. Prod. Agric. 1999, 12, 415–418. [Google Scholar] [CrossRef]
- Kharub, A.; Chatrath, R.; Shoran, J. Performance of wheat (Triticum aestivum) genotypes in alternate tillage environments. Indian J. Agric. Sci. 2008, 78, 884–886. [Google Scholar]
- Piggin, C.; Haddad, A.; Khalil, Y.; Loss, S.; Pala, M. Effects of tillage and time of sowing on bread wheat, chickpea, barley and lentil grown in rotation in rainfed systems in Syria. Field Crops Res. 2015, 173, 57–67. [Google Scholar] [CrossRef]
- Kumudini, S.; Grabau, L.; Van Sanford, D.; Omielan, J. Analysis of Yield-Formation Processes under No-Till and Conventional Tillage for Soft Red Winter Wheat in the South-Central Region. Agron. J. 2008, 100, 1026–1032. [Google Scholar] [CrossRef]
- Zamir, M.S.I.; Ahmad, A.; Javeed, H.M.R. Comparative performance of various wheat (Triticum aestivum L.) cultivars to different tillage practices under tropical conditions. Afr. J. Agric. Res. 2010, 5, 1799–1803. [Google Scholar]
- Trethowan, R.M.; Reynolds, M.; Sayre, K.; Ortiz-Monasterio, I. Adapting wheat cultivars to resource conserving farming practices and human nutritional needs. Ann. Appl. Biol. 2005, 146, 405–413. [Google Scholar] [CrossRef]
- Małecka, I.; Blecharczyk, A.; Pudełko, J. Response of spring barley and pea to reduced tillage. Fragm. Agron. 2004, 2, 100–114. [Google Scholar]
- Małecka, I.; Blecharczyk, A.; Sawinska, Z.; Dobrzeniecki, T. The effect of various long-term tillage systems on soil properties and spring barley yield. Turk. J. Agric. For. 2012, 36, 217–226. [Google Scholar] [CrossRef]
- Martinrueda, I.; Munozguerra, L.; Yunta, F.; Esteban, E.; Tenorio, J.; Lucena, J. Tillage and crop rotation effects on barley yield and soil nutrients on a Calciortidic Haploxeralf. Soil Tillage Res. 2007, 92, 1–9. [Google Scholar] [CrossRef]
- Page, K.L.; Dang, Y.P.; Dalal, R.C. The Ability of Conservation Agriculture to Conserve Soil Organic Carbon and the Subsequent Impact on Soil Physical, Chemical, and Biological Properties and Yield. Front. Sustain. Food Syst. 2020, 4, 31. [Google Scholar] [CrossRef] [Green Version]
- Carena, M.J.; Yang, J.; Caffarel, J.C.; Mergoum, M.; Hallauer, A.R. Do different production environments justify separate maize breeding programs? Euphytica 2009, 169, 141–150. [Google Scholar] [CrossRef]
- Honsdorf, N.; Mulvaney, M.J.; Singh, R.P.; Ammar, K.; Burgueño, J.; Govaerts, B.; Verhulst, N. Genotype by tillage interaction and performance progress for bread and durum wheat genotypes on irrigated raised beds. Field Crops Res. 2018, 216, 42–52. [Google Scholar] [CrossRef]
- Angás, P.; Lampurlanés, J.; Cantero-Martínez, C. Tillage and N fertilization: Effects on N dynamics and Barley yield under semiarid Mediterranean conditions. Soil Tillage Res. 2006, 87, 59–71. [Google Scholar] [CrossRef]
- Huang, G.; Chai, Q.; Feng, F.; Yu, A. Effects of Different Tillage Systems on Soil Properties, Root Growth, Grain Yield, and Water Use Efficiency of Winter Wheat (Triticum aestivum L.) in Arid Northwest China. J. Integr. Agric. 2012, 11, 1286–1296. [Google Scholar] [CrossRef]
- Naeem, M.; Mehboob, N.; Farooq, M.; Farooq, S.; Hussain, S.; Ali, H.M.; Hussain, M. Impact of Different Barley-Based Cropping Systems on Soil Physicochemical Properties and Barley Growth under Conventional and Conservation Tillage Systems. Agronomy 2020, 11, 8. [Google Scholar] [CrossRef]
- Soane, B.; Ball, B. Review of management and conduct of long-term tillage studies with special reference to a 25-yr experiment on barley in Scotland. Soil Tillage Res. 1998, 45, 17–37. [Google Scholar] [CrossRef]
- Arshad, M.A.; Gill, K.S. Barley, canola and wheat production under different tillage-fallow-green manure combinations on a clay soil in a cold, semiarid climate. Soil Tillage Res. 1997, 43, 263–275. [Google Scholar] [CrossRef]
- Zahedı, M.B.; Razı, H.; Saed-moucheshı, A. Evaluation of Antioxidant Enzymes, Lipid Peroxidation and Proline Content as Selection Criteria for Grain Yield under Water Deficit Stress in Barley. J. Appl. Biol. Sci. 2016, 10, 71–78. [Google Scholar]
- Saed-Moucheshi, A.; Pessarakli, M.; Mozafari, A.A.; Sohrabi, F.; Moradi, M.; Marvasti, F.B. Screening barley varieties tolerant to drought stress based on tolerant indices. J. Plant Nutr. 2022, 45, 739–750. [Google Scholar] [CrossRef]
- Fischer, K.S.; Fukai, S.; Kumar, A.; Leung, H.; Jongdee, B. Phenotyping rice for adaptation to drought. In Drought Phenotyping in Crops: From Theory to Practice; Monneveux, P., Ribaut, J.M., Eds.; Internatinal Maize and Wheat Improvement Center: Mexico City, Mexico, 2011. [Google Scholar]
- Monneveux, P.; Jing, R.; Misra, S.C. Phenotyping for drought adaptation in wheat using physiological traits. Front. Physiol. 2012, 3, 429. [Google Scholar] [CrossRef] [Green Version]
- Saed-Moucheshi, A.; Sohrabi, F.; Fasihfar, E.; Baniasadi, F.; Riasat, M.; Mozafari, A.A. Superoxide dismutase (SOD) as a selection criterion for triticale grain yield under drought stress: A comprehensive study on genomics and expression profiling, bioinformatics, heritability, and phenotypic variability. BMC Plant Biol. 2021, 21, 148. [Google Scholar] [CrossRef]
- Mohammadi, R.; Sadeghzadeh, B.; Poursiahbidi, M.M.; Ahmadi, M.M. Integrating univariate and multivariate statistical models to investigate genotype × environment interaction in durum wheat. Ann. Appl. Biol. 2021, 178, 450–465. [Google Scholar] [CrossRef]
- Rodriguez, M.; Rau, D.; Papa, R.; Attene, G. Genotype by environment interactions in barley (Hordeum vulgare L.): Different responses of landraces, recombinant inbred lines and varieties to Mediterranean environment. Euphytica 2008, 163, 231–247. [Google Scholar] [CrossRef]
- Subira, J.; Álvaro, F.; García del Moral, L.F.; Royo, C. Breeding effects on the cultivar×environment interaction of durum wheat yield. Eur. J. Agron. 2015, 68, 78–88. [Google Scholar] [CrossRef] [Green Version]
- De la Fuente Cantó, C.; Russell, J.; Hackett, C.A.; Booth, A.; Dancey, S.; George, T.S.; Waugh, R. Genetic dissection of quantitative and qualitative traits using a minimum set of barley Recombinant Chromosome Substitution Lines. BMC Plant Biol. 2018, 18, 340. [Google Scholar] [CrossRef] [PubMed]
- Yan, W.; Kang, M.S.; Ma, B.; Woods, S.; Cornelius, P.L. GGE Biplot vs. AMMI Analysis of Genotype-by-Environment Data. Crop Sci. 2007, 47, 643–653. [Google Scholar] [CrossRef]
- Yihunie, T.A.; Gesesse, C.A. GGE Biplot Analysis of Genotype by Environment Interaction in Field Pea (Pisum sativum L.) Genotypes in Northwestern Ethiopia. J. Crop Sci. Biotechnol. 2018, 21, 67–74. [Google Scholar] [CrossRef]
- Inabangan-Asilo, M.A.; Mallikarjuna Swamy, B.P.; Amparado, A.F.; Descalsota-Empleo, G.I.L.; Arocena, E.C.; Reinke, R. Stability and G × E analysis of zinc-biofortified rice genotypes evaluated in diverse environments. Euphytica 2019, 215, 61. [Google Scholar] [CrossRef] [Green Version]





| Code | Name | Year of Released | Origin | Growth Habit | Row Type |
|---|---|---|---|---|---|
| G1 | Abidar | 2005 | ICARDA | Facultative | Two |
| G2 | Ansar | 2014 | ICARDA | Facultative | Two |
| G3 | BKF magueione | promising line | Turkey | Facultative | Two |
| G4 | Bulbule | promising line | Turkey | Facultative | Two |
| G5 | Catalhuyuk 2001 | promising line | Turkey | Facultative | Two |
| G6 | Gumharriyet 50 | promising line | Turkey | Facultative | Two |
| G7 | Çumra 2001 | promising line | Turkey | Facultative | Two |
| Environment | Previous Crop | Practice Management | Sowing Date | Soil Properties | Rainfall (mm) | |||||||
|---|---|---|---|---|---|---|---|---|---|---|---|---|
| Cropping Season | Location | Tillage System | Code | Organic Carbon (%) | Potassium (ppm) | Phosphorous (ppm) | Nitrogen (%) | Soil Texture | ||||
| 2018–2019 | Kamyaran | CA 1 | Y1KCA | Chickpea | No-till with residue retained | 27 October 2018 | 0.79 | 363.7 | 7.5 | 0.11 | Clay-Loam | |
| RT 2 | Y1KRT | Chickpea | Chisel plowing with residue retained | 0.78 | 373.3 | 8.3 | 0.1 | Clay-Loam | 869.3 | |||
| CT 3 | Y1KCT | Chickpea | Plowed with moldboard and disked with residue removed | 0.82 | 363.4 | 8.46 | 0.13 | Clay-Loam | ||||
| Hosseinabad | CA | Y1HCA | Chickpea | No-till with residue retained | 0.29 | 210.1 | 1.84 | 0.09 | Clay | 466.5 | ||
| RT | Y1HRT | Chickpea | Chisel plowing with residue retained | 12 October 2018 | 0.48 | 239.1 | 1.52 | 0.09 | Clay | |||
| CT | Y1HCT | Chickpea | Plowed with moldboard and disked with residue removed | 0.35 | 200.8 | 1.28 | 0.1 | Clay | ||||
| 2019–2020 | Kamyaran | CA | Y2KCA | Chickpea | No-till with residue retained | 0.81 | 421.1 | 6.12 | 0.11 | Clay-Loam | ||
| RT | Y2KRT | Chickpea | Chisel plowing with residue retained | 24 October 2019 | 0.78 | 370.1 | 7.3 | 0.11 | Clay-Loam | 467.5 | ||
| CT | Y2KCT | Chickpea | Plowed with moldboard and disked with residue removed | 0.82 | 351.4 | 8.01 | 0.13 | Clay-Loam | ||||
| Hosseinabad | CA | Y2HCA | Chickpea | No-till with residue retained | 0.33 | 305.1 | 2.8 | 0.1 | Clay | |||
| RT | Y2HRT | Chickpea | Chisel plowing with residue retained | 10 October 2019 | 0.5 | 267.7 | 3.04 | 0.1 | Clay | 396.3 | ||
| CT | Y2HCT | Chickpea | Plowed with moldboard and disked with residue removed | 0.35 | 277.8 | 2.24 | 0.1 | Clay | ||||
| Source | df | Grain Yield | 1000-Kernel Weight | Grains/Spike | Spikes/m2 | Plant Height | |||||||
|---|---|---|---|---|---|---|---|---|---|---|---|---|---|
| MS | EMS | MS | %VE | MS | %VE | MS | %VE | MS | %VE | MS | %VE | ||
| Year (Y) | M1 | M1/M4 | 1 | 3004 | 0.01 | 825.1 * | 10.3 | 2294.5 ** | 37.9 | 504,377.3 ** | 24.7 | 247.0 | 0.8 |
| Location (L) | M2 | M2/M3 | 1 | 12,745,803 | 4.62 | 448.0 | 5.6 | 454.4 | 7.5 | 7535.3 | 0.4 | 5280.0 | 16.8 |
| Y × L | M3 | M3/M4 | 1 | 175,717,400 ** | 63.69 | 1666.3 ** | 20.8 | 41.6 | 0.7 | 888,339.1 ** | 43.5 | 8337.5 ** | 26.6 |
| R/(LY) | M4 | 8 | 3,783,966 | 10.97 | 78.8 | 7.9 | 29.8 | 3.9 | 14,993.5 | 5.9 | 116.8 | 3 | |
| Tillage (T) | M5 | (M5 + M8)/(M6 + M7) | 2 | 338,582 | 0.25 | 24.9 | 0.6 | 30.1 | 1 | 18,224.6 | 1.8 | 335.6 | 2.1 |
| Y × T | M6 | M6/M9 | 2 | 807,004 ** | 0.59 | 22.3 ** | 0.6 | 20.8 | 0.7 | 27,892.4 ** | 2.7 | 431.8 ** | 2.8 |
| L × T | M7 | M7/M9 | 2 | 1,195,754 ** | 0.87 | 235.4 ** | 5.9 | 19.3 | 0.6 | 1563.6 | 0.2 | 228.4 ** | 1.5 |
| Y × L × T | M8 | M8/M9 | 2 | 573,718 ** | 0.42 | 244.9 ** | 6.1 | 11 | 0.4 | 517.2 | 0.1 | 353.8 ** | 2.3 |
| Error | M9 | 16 | 79,253 | 0.46 | 2.0 | 0.4 | 9.2 | 2.4 | 979.1 | 0.8 | 11.8 | 0.6 | |
| Genotype (G) | M10 | (M10 + M17)/(M14 + M15) | 6 | 731,939 ** | 1.59 | 49.5 | 3.7 | 51.2 ** | 5.1 | 4460.5 * | 1.3 | 434.9 ** | 8.3 |
| Y × G | M11 | M11/M17 | 6 | 1,264,133 * | 2.75 | 15.5 | 1.2 | 62.1 ** | 6.2 | 6771.2 ** | 2 | 281.9 | 5.4 * |
| L × G | M12 | M12/M16 | 6 | 594,006 ** | 1.29 | 32.7 | 2.4 | 4.7 | 0.5 | 4301.6 * | 1.3 | 172.4 ** | 3.3 |
| Y × L × G | M13 | M13/M17 | 6 | 756,989 ** | 1.65 | 104.4 * | 7.8 | 22.3 * | 2.2 | 8482.0 ** | 2.5 | 132 | 2.5 |
| T × G | M14 | M14/M17 | 12 | 45,932 | 0.2 | 21.4 | 3.2 | 11.0 | 2.2 | 1556 | 0.9 | 90.1 | 3.4 |
| Y × T × G | M15 | M15/M17 | 12 | 68,067 | 0.3 | 24.3 | 3.6 | 8.6 | 1.7 | 927.3 | 0.5 | 67.6 | 2.6 |
| L × T × G | M16 | M16/M17 | 12 | 191,470 | 0.83 | 20.6 | 3.1 | 8.1 | 1.6 | 1582.6 | 0.9 | 70.7 | 2.7 |
| Y × L × T × G | M17 | M17/M18 | 12 | 85,829 | 0.37 | 23.4 ** | 3.5 | 8.1 | 1.6 | 1104.1 | 0.6 | 91.3 ** | 3.5 |
| Error | M18 | 144 | 175,451 | 9.16 | 7.4 | 13.3 | 10 | 23.9 | 1401.2 | 9.9 | 26 | 11.9 ** | |
| Total | 251 | 100 | 100 | 100 | 100 | 100 | |||||||
| CV% | 17.1 | 6.4 | 15.7 | 13.1 | 7.3 | ||||||||
| Cropping Season | Location | Tillage | Traits | Location Mean Yield | ||||
|---|---|---|---|---|---|---|---|---|
| Mean Yield | TKW | Grains/Spike | Spikes/m2 | PLH | ||||
| 2018–2019 | Hosseinabad | CA | 1412 d | 36.6 bc | 16 f | 288 d | 59.1 f | 1387 |
| RT | 1428 d | 39.3 abc | 15 f | 246 e | 58.6 f | |||
| CT | 1322 d | 35.0 c | 15 f | 296 cd | 58.3 f | |||
| Kamyaran | CA | 3651 a | 46.2 a | 20 e | 400 a | 82.1 b | 3507 | |
| RT | 3098 b | 39.4 abc | 17 f | 340 b | 70.0 cde | |||
| CT | 3772 a | 47.7 a | 20 de | 413 a | 84.9 a | |||
| 2019–2020 | Hosseinabad | CA | 3031 b | 45.5 ab | 23 abc | 300 cd | 71.8 cd | 3050 |
| RT | 3134 b | 45.3 ab | 22 bcd | 313 c | 71.7 cd | |||
| CT | 2986 b | 45.3 ab | 22 cd | 305 cd | 72.1 c | |||
| Kamyaran | CA | 1863 c | 42.9 abc | 24 a | 177 f | 68.4 de | 1830 | |
| RT | 1824 c | 42.8 abc | 24 ab | 178 f | 70.4 cde | |||
| CT | 1804 c | 42.8 abc | 24 ab | 174 f | 69.6 de | |||
| Mean | Total | 2444 | 42.3 | 20 | 286 | 69.6 | ||
| CA | 2489 | 42.5 | 20.7 | 291.4 | 70.3 | |||
| RT | 2371 | 41.7 | 19.5 | 269.2 | 67.4 | |||
| CT | 2471 | 42.7 | 20.4 | 297.1 | 71.2 | |||
| LSD (p < 0.05) | 184.2 | 10.24 | 1.988 | 20.47 | 2.52 | |||
| Traits | Grain Yield | 1000-Kernel Weight | Grains/Spike | Spikes/m2 | Plant Height |
|---|---|---|---|---|---|
| Grain yield | −1.00 ** | 0.723 | −0.888 ** | 0.523 | |
| 1000-kernel weight | 0.034 | −0.900 ** | −0.102 | 0.165 | |
| Grains/spike | 0.214 | 0.042 | −1.00 ** | 0.775 ** | |
| Spikes/m2 | 0.110 | −0.266 | −0.873 ** | −1.00 ** | |
| Plant height | −0.002 | 0.904 | 0.376 | −0.495 |
Publisher’s Note: MDPI stays neutral with regard to jurisdictional claims in published maps and institutional affiliations. |
© 2022 by the authors. Licensee MDPI, Basel, Switzerland. This article is an open access article distributed under the terms and conditions of the Creative Commons Attribution (CC BY) license (https://creativecommons.org/licenses/by/4.0/).
Share and Cite
Roohi, E.; Mohammadi, R.; Niane, A.A.; Niazian, M.; Niedbała, G. Agronomic Performance of Rainfed Barley Genotypes under Different Tillage Systems in Highland Areas of Dryland Conditions. Agronomy 2022, 12, 1070. https://doi.org/10.3390/agronomy12051070
Roohi E, Mohammadi R, Niane AA, Niazian M, Niedbała G. Agronomic Performance of Rainfed Barley Genotypes under Different Tillage Systems in Highland Areas of Dryland Conditions. Agronomy. 2022; 12(5):1070. https://doi.org/10.3390/agronomy12051070
Chicago/Turabian StyleRoohi, Ebrahim, Reza Mohammadi, Abdoul Aziz Niane, Mohsen Niazian, and Gniewko Niedbała. 2022. "Agronomic Performance of Rainfed Barley Genotypes under Different Tillage Systems in Highland Areas of Dryland Conditions" Agronomy 12, no. 5: 1070. https://doi.org/10.3390/agronomy12051070
APA StyleRoohi, E., Mohammadi, R., Niane, A. A., Niazian, M., & Niedbała, G. (2022). Agronomic Performance of Rainfed Barley Genotypes under Different Tillage Systems in Highland Areas of Dryland Conditions. Agronomy, 12(5), 1070. https://doi.org/10.3390/agronomy12051070

