Effects of Fertilization Regimes on Soil Organic Carbon Fractions and Its Mineralization in Tea Gardens
Abstract
1. Introduction
2. Materials and Methods
2.1. Study Site
2.2. Experimental Design
2.3. Soil Sampling
2.4. Soil Aggregate Fractionation
2.5. Soil Analyses
2.6. Calculations and Statistical Analyses
2.7. Statistical Analysis
3. Results
3.1. Soil Aggregates and Stability
3.2. Soil Carbon Fractions’ Concentrations in Aggregates
3.2.1. Total Organic Carbon
3.2.2. Dissolved Organic Carbon
3.2.3. Resistant Organic Carbon
3.2.4. Easily Oxidized Organic Carbon
3.2.5. Relative Contribution Rate of Organic Carbon Fractions in Aggregates
3.3. Soil Microbial Biomass Carbon and Nitrogen
3.4. Mineralization Characteristics of Soil Aggregates
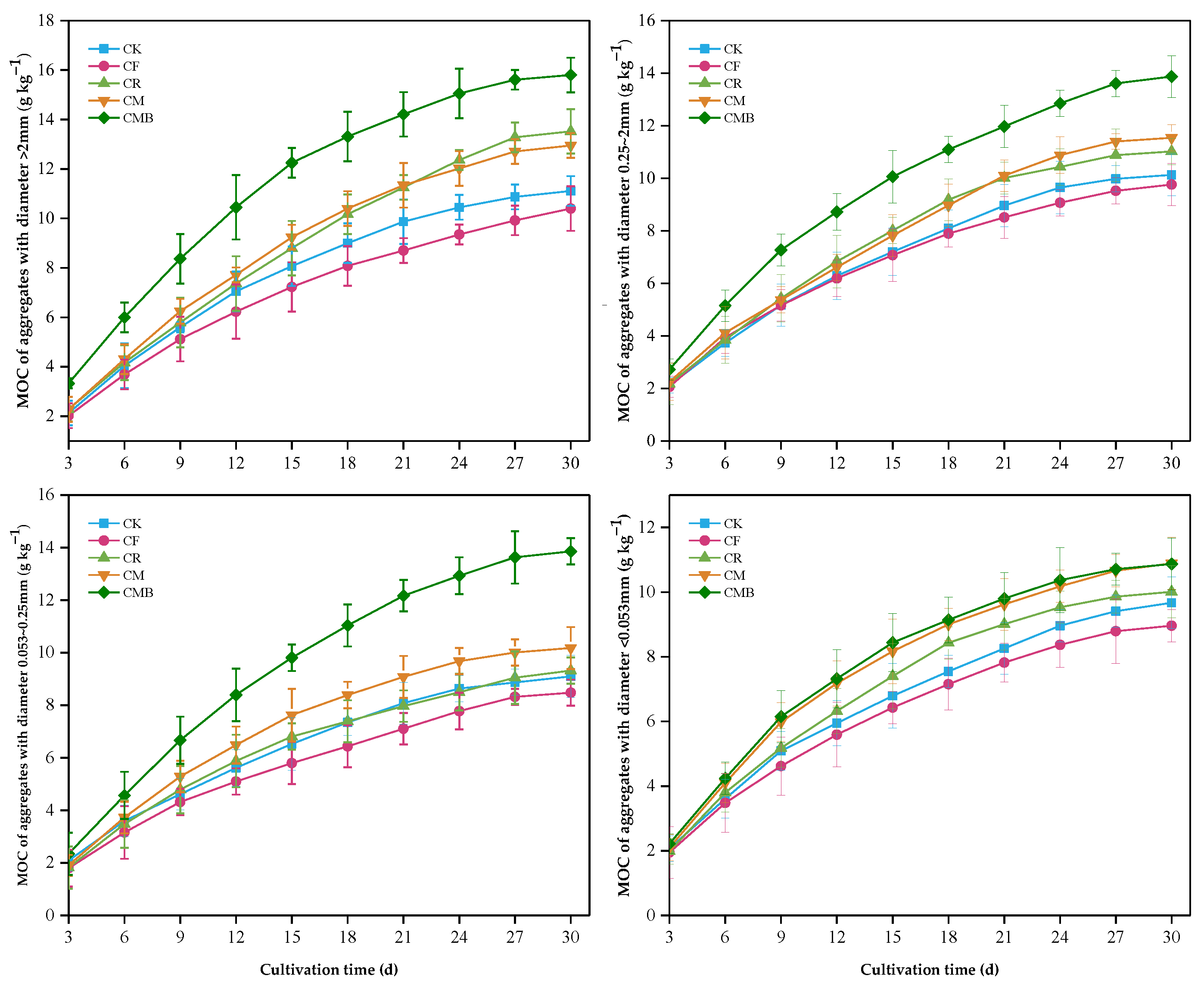
3.4.1. Variation of Cumulative Mineralization of Aggregates
3.4.2. Variation of Cumulative Mineralization of Aggregates with Incubation Time
3.4.3. Mineralization Rate of SOC
3.5. Tea-Yield-Related Indices
4. Discussion
4.1. Soil Aggregates’ Composition and Stability
4.2. Soil Carbon Fractions’ Concentrations in Aggregates
4.3. Soil MBC and MBN
4.4. Mineralization Characteristics of Soil Aggregates
4.5. Tea-Yield-Related Indices
5. Conclusions
Author Contributions
Funding
Institutional Review Board Statement
Informed Consent Statement
Data Availability Statement
Acknowledgments
Conflicts of Interest
References
- Leng, Y.; Tong, J.W.; Huang, P.; Shang, H.G.; Zhou, Z.Y. The development of tea industry in China during the 13th five-year plan period and prospects for the 14th five-year plan period. China Tea 2021, 43, 25–30. [Google Scholar]
- Ni, K.; Shi, Y.Z.; Yi, X.Y.; Zhang, Q.F.; Fang, L.; Ma, L.F.; Ruan, J.Y. Effects of long-term nitrogen application on soil acidification and solution chemistry of a tea plantation in China. Agric. Ecosyst. Environ. 2018, 252, 74–82. [Google Scholar]
- Kamaa, M.; Mburu, H.; Blanchart, E.; Chibole, L.; Chotte, J.-L.; Kibunja, C.; Lesueur, D. Effects of organic and inorganic fertilization on soil bacterial and fungal microbial diversity in the Kabete long-term trial, Kenya. Biol. Fertil. Soils 2011, 47, 315–321. [Google Scholar] [CrossRef]
- Niu, J.F.; Feng, J.X.; Zhang, X.Y. Available phosphorus status and critical threshold for leaching in greenhouse soils influenced by different fertilizer sources. Chin. J. Eco-Agric. 2019, 27, 686–693. [Google Scholar] [CrossRef]
- Li, H.; Wan, Q.; Hu, Z.M.; Li, C.Y.; Liu, H.Y.; Shao, J.J.; Zhang, A.Q.; Ge, J.G.; Yang, Y.Y. Analysis on spatial variation of soil nutrient in major teaproducing regions of Jiangsu province. J. Tea Commun. 2019, 46, 170–176. [Google Scholar]
- Baumann, K.; Marschner, P.; Kuhn, T.K.; Smernik, R.; Baldock, J. Microbial community structure and residue chemistry during decomposition of shoots and roots of young and mature wheat (Triticum aestivum L.) in sand. Eur. J. Soil Sci. 2011, 62, 666–675. [Google Scholar] [CrossRef]
- Lin, B.; Luo, G.H.; Xu, Q.X.; Wang, Q.S.; Guan, X.F. Effects of biogas residue on yield and quality of tea. Fujian J. Agric. Sci. 2010, 25, 90–95. [Google Scholar] [CrossRef]
- Zheng, Y.P.; Wang, S.F.; Zheng, Z.L.; Wang, L.L.; Wang, C.X.; Lu, Z.Q.; Jiang, W.; Zang, H.W.; Zheng, Y.M. Chemical Fertilizer Reduction and High Yield Cultivation Technique for Peanut. Asian Agric. Res. 2019, 10, 87–90. [Google Scholar]
- Qaswar, M.; Huang, J.; Ahmed, W.; Li, D.C.; Liu, S.J.; Zhang, L.; Cai, A.D.; Liu, L.S.; Xu, Y.M.; Gao, J.S. Yield sustainability, soil organic carbon sequestration and nutrients balance under long-term combined application of manure and inorganic fertilizers in acidic paddy soil. Soil Tillage Res. 2020, 198, 104569. [Google Scholar] [CrossRef]
- Wang, H.X.; Xu, J.L.; Liu, X.J.; Zhang, D.; Li, L.W.; Li, W.; Sheng, L.X. Effects of long-term application of organic fertilizer on improving organic matter content and retarding acidity in red soil from China. Soil Tillage Res. 2019, 195, 104382. [Google Scholar] [CrossRef]
- Zhang, P.; Hong, J.P.; Qiao, Z.W.; Li, N. Effects of Different Fertilization Treatments on Biological Activity of Reclaimed Soil. Agric. Sci. Technol. 2016, 17, 140–149. [Google Scholar]
- Francioli, D.; Schulz, E.; Lentendu, G.; Wubet, T.; Buscot, F.; Reitz, T. Mineral vs. organic amendments: Microbial community structure, activity and abundance of agriculturally relevant microbes are driven by long-term fertilization strategies. Front. Microbiol. 2016, 7, 1446. [Google Scholar] [CrossRef] [PubMed]
- Hartmann, M.; Frey, B.; Mayer, J.; Mäder, P.; Widmer, F. Distinct soil microbial diversity under long-term organic and conventional farming. ISME J. 2015, 9, 1177–1194. [Google Scholar] [CrossRef] [PubMed]
- Zhou, M.; Liu, C.Z.; Wang, J.; Meng, Q.F.; Yuan, Y.; Ma, X.F.; Liu, X.B.; Zhu, Y.X.; Ding, G.W.; Zhang, J.Z. Soil aggregates stability and storage of soil organic carbon respond to cropping systems on Black Soils of Northeast China. Sci. Rep. 2020, 10, 265. [Google Scholar] [CrossRef] [PubMed]
- Shi, Z.H.; Yan, F.L.; Li, L.; Li, Z.X.; Cai, C.F. Interrill erosion from disturbed and undisturbed samples in relation to topsoil aggregate stability in red soils from subtropical China. Catena 2010, 81, 240–248. [Google Scholar] [CrossRef]
- Zhao, Z.H.; Zhang, C.Z.; Li, F.; Gao, S.F.; Zhang, J.B. Effect of compost and inorganic fertilizer on organic carbon and activities of carbon cycle enzymes in aggregates of an intensively cultivated Vertisol. PLoS ONE 2020, 15, e0229644. [Google Scholar]
- Xie, H.T.; Li, J.W.; Zhang, B.; Wang, L.F.; Wang, J.K.; He, H.B.; Zhang, X.D. Long-term manure amendments reduced soil aggregate stability via redistribution of the glomalin-related soil protein in macroaggregates. Sci. Rep. 2015, 5, 14687. [Google Scholar] [CrossRef]
- Zhao, J.W.; Zhou, L.R. Combined application of organic and inorganic fertilizers on black soil fertility and maize yield. J. Northeast. Agric. Univ. (Engl. Ed.) 2011, 18, 24–29. [Google Scholar] [CrossRef]
- Wang, S.Q.; Li, T.X.; Zheng, Z.C. Tea plantation age effects on soil aggregate-associated carbon and nitrogen in the hilly region of western Sichuan, China. Soil Tillage Res. 2018, 180, 91–98. [Google Scholar] [CrossRef]
- Neupane, A.; Bulbul, I.; Wang, Z.; Lehman, R.M.; Nafziger, E.; Marzano, S.-Y.L. Long term crop rotation effect on subsequent soybean yield explained by soil and root-associated microbiomes and soil health indicators. Sci. Rep. 2021, 11, 9200. [Google Scholar] [CrossRef]
- Huang, S.J.; Chen, J.P.; Ma, X.P.; Guo, W.T.; Yang, L.; Huang, C.Y. Short-term effects of different fertilization measures on water-stable aggregates and carbon and nitrogen of tea garden soil. EDP Sci. 2020, 199, 00009. [Google Scholar] [CrossRef]
- Xiao, X.J.; Xia, J.G.; Yu, Z.Y.; Ma, D.Y.; Lin, W.B. Effects of biochar of tea residue on soil aggregates and their organic carbon distribution in tea gardens. Soils 2021, 53, 594–601. [Google Scholar] [CrossRef]
- Yu, Y.J.; Ma, J.W.; Lu, R.H.; Wu, Q.F.; Zhu, W.F.; Kong, H.M.; Wang, F. Effect of organic fertilizer on soil characteristics, yield and quality of agricultural products:research progress. Chin. Agric. Sci. Bull. 2020, 36, 64–71. [Google Scholar]
- Cai, Q.Y.; Yang, H.D.; Lin, W.H.; Fan, Z.Z. Effects of non-pollution fertilization on soil physical and chemical properties in tea garden. For. Environ. Sci. 2016, 32, 75–79. [Google Scholar]
- Fu, H.P.; Li, H.; Yin, P.; Mei, H.L.; Li, J.J.; Zhou, P.Q.; Wang, Y.J.; Ma, Q.P.; Jeyaraj, A.; Thangaraj, K. Integrated application of rapeseed cake and green manure enhances soil nutrients and microbial communities in tea garden soil. Sustainability 2021, 13, 2967. [Google Scholar] [CrossRef]
- Song, H.X. Effect of Utilizing Organic Fertilizer on Garden Soil with Tea Tree Growth and Tea Quality; Northwest A&F University: Guangxi, China, 2011. [Google Scholar]
- Shi, Y.C. Ecological Risk of Heavy Metals and Antibiotics in Pig Manure and Slurry Application and its Biological Regulation; South China Agricultural University: Guangzhou, China, 2016. [Google Scholar]
- Qin, L.X. Heavy Metal Pollution and Environmental Risk Assessment of Livestock Manure; Nanjing Agricultural University: Nanjing, China, 2014. [Google Scholar]
- Six, J.; Paustian, K. Aggregate-associated soil organic matter as an ecosystem property and a measurement tool. Soil Biol. Biochem. 2014, 68, A4–A9. [Google Scholar] [CrossRef]
- Sun, X.; Zhang, Y.M.; Zhang, L.J.; Hu, C.S.; Dong, W.X.; Li, X.X.; Wang, Y.Y.; Liu, X.P.; Xing, L.; Han, J. Effects of long-term exogenous organic material addition on the organic carbon composition of soil aggregates in farmlands of North China. Chin. J. Eco-Agric. 2021, 29, 1384–1396. [Google Scholar]
- Huang, X.L. Mechanisms of the Interaction between Poorly Crystalline Iron Oxides and Soil Organic Carbon in a Rice-Wheat Cropping System; Nanjing Agricultural University: Nanjing, China, 2017. [Google Scholar]
- Zhang, X.L.; Chen, C.; Chen, X.M.; Tao, P.C.; Jin, Z.W.; Han, Z.Q. Persistent effects of biochar on soil organic carbon mineralization and resistant carbon pool in upland red soil, China. Environ. Earth Sci. 2018, 77, 177. [Google Scholar] [CrossRef]
- Blair, G.J.; Lefroy, R.D.; Lisle, L. Soil carbon fractions based on their degree of oxidation, and the development of a carbon management index for agricultural systems. Aust. J. Agric. Res. 1995, 46, 1459–1466. [Google Scholar] [CrossRef]
- Jenkinson, D.S.; Powlson, D.S. The effects of biocidal treatments on metabolism in soil—V: A method for measuring soil biomass. Soil Biol. Biochem. 1976, 8, 209–213. [Google Scholar] [CrossRef]
- Munkholm, L.J.; Schjønning, P.; Debosz, K.; Jensen, H.E.; Christensen, B.T. Aggregate strength and mechanical behaviour of a sandy loam soil under long-term fertilization treatments. Eur. J. Soil Sci. 2002, 53, 129–137. [Google Scholar] [CrossRef]
- Haynes, R.J.; Naidu, R. Influence of lime, fertilizer and manure applications on soil organic matter content and soil physical conditions: A review. Nutr. Cycl. Agroecosystems 1998, 51, 123–137. [Google Scholar] [CrossRef]
- Geng, S.P.; Ma, L.F. On soil quality and tea yield/quality affected by fertilizer application. Acta Tea Sin. 2021, 62, 22–29. [Google Scholar]
- Lin, X.J.; Huang, D.F.; Li, W.H.; Wang, L.M.; Wang, F.; Fan, P.; Qiu, X.X. Effect of fertilization regime on tea yield, nutrient accumulation and soil fertility. Chin. J. Eco-Agric. 2012, 20, 151–157. [Google Scholar] [CrossRef]
- Zhao, L.L.; Zhang, J.; Liu, Y.; Huo, Y.; Li, Z.R.; Yao, Y.C. Development of plant-derived organic fertilizers and their effect on the young pear trees. Sci. Agric. Sin. 2011, 44, 2504–2514. [Google Scholar]
- Xu, S.X.; Dong, X.; Mao, A.X.; Wang, H.; He, W.J.; Sheng, H. Effects of plant-derived organic fertilizer on yield and quality of yellow peach and soil physical and chemical properties in peach orchard. Shanghai Agric. Sci. Technol. 2022, 2, 94–96. [Google Scholar]
- Lu, Y.H.; Gao, Y.J.; Nie, J.; Liao, Y.L.; Zhu, Q.D. Substituting chemical P fertilizer with organic manure: Effects on double-rice yield, phosphorus use efficiency and balance in subtropical China. Sci. Rep. 2021, 11, 8629. [Google Scholar] [CrossRef]
- Mao, T.; Zhao, X.; Qin, J.H. Effects of six organic materials on salinized aquic soil quality and tomato efficiency. Agric. Res. Arid Areas 2021, 39, 125–136. [Google Scholar]
- Rong, Q.L.; Li, R.N.; Huang, S.W.; Zhou, C.H.; Tang, J.W.; Wang, L.Y.; Zhang, Y.C. Characteristics of nutrients and microbial biomass in soil aggregates under different fertilization modes in greenhouse vegetable production. J. Plant Nutr. Fertil. 2019, 25, 1084–1096. [Google Scholar]
- Li, J.; Wu, X.P.; Gebremikael, M.T.; Wu, H.J.; Cai, D.X.; Wang, B.S.; Li, B.G.; Zhang, J.C.; Li, Y.S.; Xi, J.L. Response of soil organic carbon fractions, microbial community composition and carbon mineralization to high-input fertilizer practices under an intensive agricultural system. PLoS ONE 2018, 13, e0195144. [Google Scholar]
- Lu, T.W.; Cai, A.D.; Xu, M.G.; Gang, Q.; Sun, N.; Zhang, W.J. Variation in sequestration of organic carbon associated with differently sized aggregates after organic manure application. J. Agro-Environ. Sci. 2018, 37, 2183–2193. [Google Scholar]
- Dou, X.L.; He, P.; Zhu, P.; Zhou, W. Soil organic carbon dynamics under long-term fertilization in a black soil of China: Evidence from stable C isotopes. Sci. Rep. 2016, 6, 21488. [Google Scholar] [CrossRef] [PubMed]
- Wang, H.H.; Shen, M.X.; Wu, J.X.; Chang, Z.Z.; Lu, C.Y.; Chen, F.S.; Shi, L.L.; Song, H. Effects of organic fertilizer with different fertilizer sources on yield and ammonia uptake and utilization of cabbage. Jiangsu Agric. Sci. 2012, 40, 130–132. [Google Scholar] [CrossRef]
- Zhou, X.G.; Zhang, S.B.; You, C.B. Effects of different factors on pig manure fermentation to produce organic fertilizer. Guangxi J. Anim. Husb. Vet. Med. 2020, 36, 260–261. [Google Scholar]
- Yang, Y.H.; Wu, J.C.; Zhao, S.W.; Han, Q.Y.; Pan, X.Y.; He, F.; Chen, C. Assessment of the responses of soil pore properties to combined soil structure amendments using X-ray computed tomography. Sci. Rep. 2018, 8, 695. [Google Scholar] [CrossRef]
- Zheng, H.B.; Liu, W.R.; Zheng, J.Y.; Luo, Y.; Li, R.P.; Wang, H.; Qi, H. Effect of long-term tillage on soil aggregates and aggregate-associated carbon in black soil of Northeast China. PLoS ONE 2018, 13, e0199523. [Google Scholar] [CrossRef]
- Liu, Z.; Han, J.C.; Sun, Z.H.; Chen, T.Q.; Hou, Y.; Lei, N.; Dong, Q.G.; He, J.; Lu, Y.Z. Long-term effects of different planting patterns on greenhouse soil micromorphological features in the North China Plain. Sci. Rep. 2019, 9, 2200. [Google Scholar] [CrossRef]
- Zhang, Z.Y.; Zhang, X.K.; Mahamood, M.; Zhang, S.Q.; Huang, S.M.; Liang, W.J. Effect of long-term combined application of organic and inorganic fertilizers on soil nematode communities within aggregates. Sci. Rep. 2016, 6, 31118. [Google Scholar] [CrossRef] [PubMed]
- Regelink, I.C.; Stoof, C.R.; Rousseva, S.; Weng, L.; Lair, G.J.; Kram, P.; Nikolaidis, N.P.; Kercheva, M.; Banwart, S.; Comans, R.N. Linkages between aggregate formation, porosity and soil chemical properties. Geoderma 2015, 247, 24–37. [Google Scholar] [CrossRef]
- Xu, Z.J.; Liu, G.S.; Yu, J.D.; Liu, W.P. Effects of acid rain on aggregate and its Cemedins of red soil by simulated experiments. J. Soil Water Conserv. 2002, 16, 9–11. [Google Scholar] [CrossRef]
- Zhang, J.F.; Liu, J.X.; Zhang, Z.L.; Yang, S.J.; Shi, S.Y. Effects of combined application of flyash, phosphate rock and chicken manure on acidic soil restoration in apple orchard and apple yield and quality. Shandong Agric. Sci. 2017, 49, 82–85. [Google Scholar] [CrossRef]
- Wang, L.M.; Fan, P.; Luo, T.; Li, F.L.; Wang, H.P.; Zhang, Q.; Huang, D.F. Impacts of different fertilization treatments on soil carbon fractions and tea yields in yellow-red soil of tea plantations. J. Subtrop. Resour. Environ. 2018, 13, 45–50. [Google Scholar] [CrossRef]
- He, Y.T.; Zhang, W.J.; Xu, M.G.; Tong, X.G.; Sun, F.X.; Wang, J.Z.; Huang, S.M.; Zhu, P.; He, X.H. Long-term combined chemical and manure fertilizations increase soil organic carbon and total nitrogen in aggregate fractions at three typical cropland soils in China. Sci. Total Environ. 2015, 532, 635–644. [Google Scholar] [CrossRef] [PubMed]
- Luan, H.A.; Gao, W.; Huang, S.W.; Tang, J.W.; Li, M.Y.; Zhang, H.Z.; Chen, X.P.; Masiliūnas, D. Substitution of manure for chemical fertilizer affects soil microbial community diversity, structure and function in greenhouse vegetable production systems. PLoS ONE 2020, 15, e0214041. [Google Scholar] [CrossRef] [PubMed]
- Li, H.; Feng, W.T.; He, X.H.; Zhu, P.; Gao, H.J.; Sun, N.; Xu, M.G. Chemical fertilizers could be completely replaced by manure to maintain high maize yield and soil organic carbon when SOC reaches a threshold in the Northeast China Plain. J. Integr. Agric. 2017, 16, 937–946. [Google Scholar] [CrossRef]
- Zhang, W.J.; Xu, M.G.; Wang, X.J.; Huang, Q.H.; Nie, J.; Li, Z.Z.; Li, S.L.; Hwang, S.W.; Lee, K.B. Effects of organic amendments on soil carbon sequestration in paddy fields of subtropical China. J. Soils Sediments 2012, 12, 457–470. [Google Scholar] [CrossRef]
- Li, N.; Wu, J.G.; Xia, H.F. Study on humic acids of the soil applied with corn plant residue by Fourier transform infrared spectroscopy. J. Plant Nutr. Fertil. 2007, 5, 974–978. [Google Scholar]
- Guo, Y.J.; Qiu, H.Z.; Zhang, Y.J.; Zhang, J.B.; Wang, Y.L.; Zhang, C.H.; Kwadwo, A.D. Effects of four fertilization regimes on soil organic carbon fractions and carbon pool management index of potato farmland. Chin. J. Soil Sci. 2021, 52, 912–919. [Google Scholar] [CrossRef]
- Kou, Z.R.; Zhou, X.B.; Xu, C.; Xie, D.T. Effects of combination application of organic and inorganic fertilizers on organic carbon fractions in Tobacco-planting yellow soil. Soils 2020, 52, 195–201. [Google Scholar] [CrossRef]
- Korai, P.K.; Xia, X.; Liu, X.Y.; Bian, R.J.; Omondi, M.O.; Nahayo, A.; Pan, G.X. Extractable pool of biochar controls on crop productivity rather than greenhouse gas emission from a rice paddy under rice-wheat rotation. Sci. Rep. 2018, 8, 802. [Google Scholar] [CrossRef]
- Bi, Q.F.; Chen, Q.H.; Yang, X.R.; Li, H.; Zheng, B.X.; Zhou, W.W.; Liu, X.X.; Dai, P.B.; Li, K.J.; Lin, X.Y. Effects of combined application of nitrogen fertilizer and biochar on the nitrification and ammonia oxidizers in an intensive vegetable soil. AMB Express 2017, 7, 198. [Google Scholar] [CrossRef] [PubMed]
- Pignatello, J.J. Adsorption of dissolved organic compounds by black carbon. In Molecular Environmental Soil Science; Springer: Berlin/Heidelberg, Germany, 2013; pp. 359–385. [Google Scholar]
- Kimetu, J.M.; Lehmann, J. Stability and stabilisation of biochar and green manure in soil with different organic carbon contents. Soil Res. 2010, 48, 577–585. [Google Scholar] [CrossRef]
- Hernandez-Soriano, M.C.; Kerré, B.; Kopittke, P.M.; Horemans, B.; Smolders, E. Biochar affects carbon composition and stability in soil: A combined spectroscopy-microscopy study. Sci. Rep. 2016, 6, 25127. [Google Scholar] [CrossRef] [PubMed]
- Imbufe, A.U.; Patti, A.F.; Burrow, D.; Surapaneni, A.; Jackson, W.R.; Milner, A.D. Effects of potassium humate on aggregate stability of two soils from Victoria, Australia. Geoderma 2005, 125, 321–330. [Google Scholar] [CrossRef]
- Wang, X.J.; Jia, Z.K.; Liang, L.Y.; Han, Q.; Ding, R.X.; Yang, B.P.; Cui, R.M. Effects of organic manure application on dry land soil organic matter and water stable aggregates. Yingyong Shengtai Xuebao 2012, 23, 159–165. [Google Scholar]
- Liu, X.; Guo, K.; Huang, L.; Ji, Z.; Jiang, H.; Li, H.; Zhang, J. Responses of absolute and specific enzyme activity to consecutive application of composted sewage sludge in a Fluventic Ustochrept. PLoS ONE 2017, 12, e0177796. [Google Scholar] [CrossRef]
- An, S.-S.; Mentler, A.; Acosta-Martínez, V.; Blum, W. Soil microbial parameters and stability of soil aggregate fractions under different grassland communities on the Loess Plateau, China. Biologia 2009, 64, 424–427. [Google Scholar] [CrossRef]
- Bittman, S.; Forge, T.A.; Kowalenko, C.G. Responses of the bacterial and fungal biomass in a grassland soil to multi-year applications of dairy manure slurry and fertilizer. Soil Biol. Biochem. 2005, 37, 613–623. [Google Scholar] [CrossRef]
- Fan, J.; Xiao, J.; Liu, D.; Ye, G.; Luo, J.; Houlbrooke, D.; Laurenson, S.; Yan, J.; Chen, L.; Tian, J.; et al. Effect of application of dairy manure, effluent and inorganic fertilizer on nitrogen leaching in clayey fluvo-aquic soil: A lysimeter study. Sci. Total Environ. 2017, 592, 206–214. [Google Scholar] [CrossRef]
- Zhang, J.B.; Zhu, T.B.; Cai, Z.C.; Qin, S.W.; Müller, C. Effects of long-term repeated mineral and organic fertilizer applications on soil nitrogen transformations. Eur. J. Soil Sci. 2012, 63, 75–85. [Google Scholar] [CrossRef]
- Cheng, H.D.; Hong, L.; Niu, J.; Zhu, Q.D.; Nie, X.; Cao, W.D.; Gao, Y.J.; Liao, Y.L. Effects of reducing chemical fertilizer combined with Chinese milk vetch on soil carbon and nitrogen in paddy fields. J. Agro-Environ. Sci. 2020, 39, 1259–1270. [Google Scholar]
- Jia, W.; Zhou, H.P.; Jie, W.Y.; Guan, C.L.; Gao, C.H.; Shi, Y.Q. Effects of long-term inorganic fertilizer combined with organic manure on microbial biomass C, N and enzyme activity in cinnamon soil. J. Plant Nutr. Fertil. 2008, 14, 700–705. [Google Scholar]
- Schlesinger, W.H.; Andrews, J.A. Soil respiration and the global carbon cycle. Biogeochemistry 2000, 48, 7–20. [Google Scholar] [CrossRef]
- An, S.H.; Li, Y.; Wang, X.L.; Duan, J.J.; Zhang, Y.R.; Jiang, T.M. Effects of long-term organic fertilizer application on organic carbon mineralization in dry land of yellow soil with different grain sizes. Guizhou Agric. Sci. 2019, 47, 47–51. [Google Scholar]
- Zhang, Y.M.; Hu, C.S.; Chen, S.Y.; Wang, Y.Y.; Li, X.X.; Dong, W.X.; Liu, X.P.; Pei, L.; Zhang, H. Effects of tillage and straw returning method on the distribution of carbon and nitrogen in soil aggregates. Chin. J. Eco-Agric. 2021, 29, 1558–1570. [Google Scholar] [CrossRef]
- Guo, Z.; Wang, X.L.; Duan, J.J.; Jiao, K.Q.; Sun, S.S.; Duan, Y.H.; Zhang, Y.R.; Li, Y.; Jiang, T.M. Long-term fertilization and mineralization of soil organic carbon in paddy soil from yellow earth. Acta Pedol. Sin. 2018, 55, 225–235. [Google Scholar]
- Luo, Y.; Durenkamp, M.; De Nobili, M.; Lin, Q.; Brookes, P. Short term soil priming effects and the mineralisation of biochar following its incorporation to soils of different pH. Soil Biol. Biochem. 2011, 43, 2304–2314. [Google Scholar] [CrossRef]
- Steiner, C.; Glaser, B.; Geraldes Teixeira, W.; Lehmann, J.; Blum, W.E.; Zech, W. Nitrogen retention and plant uptake on a highly weathered central Amazonian Ferralsol amended with compost and charcoal. J. Plant Nutr. Soil Sci. 2008, 171, 893–899. [Google Scholar] [CrossRef]
- Wang, C.; Zheng, M.M.; Song, W.F.; Wen, S.L.; Wang, B.R.; Zhu, C.Q.; Shen, R.F. Impact of 25 years of inorganic fertilization on diazotrophic abundance and community structure in an acidic soil in southern China. Soil Biol. Biochem. 2017, 113, 240–249. [Google Scholar] [CrossRef]
- Huang, P.; Zhang, J.B.; Xin, X.L.; Zhu, A.N.; Zhuang, C.Z.; ZHU, Q.G.; Yang, S.; Wu, S.J. Proton accumulation accelerated by heavy chemical nitrogen fertilization and its long-term impact on acidifying rate in a typical arable soil in the Huang-Huai-Hai Plain. J. Integr. Agric. 2015, 14, 148–157. [Google Scholar] [CrossRef]
- Zhang, K.; Sun, Y.M.; Wan, Y.J.; Li, X.F.; Wu, L.; Lin, Y.J.; Wang, Y.G.; Ye, C. Effects of combined application of organic manure and chemical fertilizer on tea yield and quality, and soil fertility in Jiangxi province. Acta Agric. Jiangxi 2017, 29, 57–61. [Google Scholar] [CrossRef]




| Manure | pH | C (%) | N (%) | C/N | P2O5 (%) | K2O (%) | MgO (%) |
|---|---|---|---|---|---|---|---|
| Rapeseed cake | 5.41 | 43.2 | 6.30 | 6.85 | 2.53 | 0.98 | 0.85 |
| Chicken manure | 8.03 | 8.66 | 0.91 | 9.56 | 1.41 | 1.90 | 1.70 |
| Biochar | 10.5 | 51.3 | 1.09 | 47.06 |
| Treatments | Water-Stable Soil Aggregates of Different Sizes | |||
|---|---|---|---|---|
| >2 | 0.25~2 | 0.053~0.25 | <0.053 | |
| (mm) | (mm) | (mm) | (mm) | |
| CK | 54.66 ± 9.83 ab | 23.49 ± 5.54 b | 10.51 ± 5.6 ab | 11.34 ± 0.92 ab |
| CF | 22.80 ± 10.38 b | 44.46 ± 6.93 a | 19.15 ± 3.59 ab | 13.59 ± 1.55 ab |
| CR | 75.41 ± 7.49 a | 12.55 ± 5.36 b | 3.28 ± 1.67 b | 8.76 ± 0.94 b |
| CM | 37.56 ± 3.80 b | 31.87 ± 1.14 ab | 16.99 ± 2.09 a | 13.58 ± 0.98 ab |
| CMB | 42.46 ± 7.14 b | 29.99 ± 3.52 ab | 16.53 ± 2.55 a | 11.02 ± 2.11 a |
| Treatment | MWD | GMD | R0.25 | D |
|---|---|---|---|---|
| (mm) | (mm) | (%) | ||
| CK | 1.92 ± 0.231 ab | 1.06 ± 0.195 ab | 76.21 ± 5.157 ab | 2.12 ± 0.226 ab |
| CF | 1.54 ± 0.238 b | 0.85 ± 0.204 ab | 74.38 ± 5.088 ab | 2.49 ± 0.192 a |
| CR | 2.16 ± 0.163 a | 1.35 ± 0.187 a | 84.96 ± 2.288 a | 1.91 ± 0.234 b |
| CM | 1.44 ± 0.100 b | 0.66 ± 0.067 b | 67.92 ± 2.891 b | 2.56 ± 0.055 a |
| CMB | 1.50 ± 0.174 b | 0.72 ± 0.145 b | 69.20 ± 4.048 b | 2.50 ± 0.126 a |
| Item | Treatments | Aggregates’ Size | |||
|---|---|---|---|---|---|
| >2 | 0.25~2 | 0.053~0.25 | <0.053 | ||
| (mm) | (mm) | (mm) | (mm) | ||
| TOC g kg−1 | CK | 23.13 ± 0.38 c | 35.30 ± 2.57 b | 14.70 ±0.53 cd | 12.20 ± 0.49 d |
| CF | 13.13 ± 0.27 d | 17.00 ± 1.10 c | 10.70 ± 0.79 d | 12.73 ± 0.64 d | |
| CR | 38.97 ± 2.44 b | 22.13 ± 0.58 c | 19.03 ± 0.30 c | 17.87 ± 0.78 d | |
| CM | 51.90 ± 2.21 a | 51.43 ± 2.72 a | 26.60 ± 1.60 b | 24.37 ± 0.64 c | |
| CMB | 52.90 ± 1.76 a | 55.63 ± 2.35 a | 32.60 ± 1.88 a | 30.17 ± 2.49 c | |
| DOC mg kg−1 | CK | 109.42 ± 1.71 d | 96.17 ± 0.44 d | 63.76 ± 0.54 c | 82.08 ± 0.09 d |
| CF | 127.91 ± 2.21 c | 115.74 ± 5.46 c | 94.82 ± 5.39 b | 90.93 ± 0.86 cd | |
| CR | 175.73 ± 2.56 b | 124.13 ± 4.13 c | 125.73 ± 2.38 a | 103.86 ± 4.99 c | |
| CM | 168.41 ± 5.19 b | 155.60 ± 2.86 b | 116.66 ± 4.43 a | 144.02 ± 2.70 b | |
| CMB | 206.88 ± 2.85 a | 182.79 ± 1.59 a | 130.60 ± 0.65 a | 164.77 ± 3.11 a | |
| ROC g kg−1 | CK | 18.37 ± 0.74 c | 28.63 ± 0.33 c | 12.03 ± 0.38 cd | 10.70 ± 0.36 d |
| CF | 11.00 ± 0.38 d | 13.87 ± 0.58 a | 9.47 ± 0.69 d | 10.97 ± 0.33 d | |
| CR | 35.83 ± 2.07 b | 20.20 ± 0.40 a | 13.63 ± 1.41 c | 13.50 ± 0.70 c | |
| CM | 36.40 ± 1.04 b | 29.77 ± 1.67 c | 17.90 ± 0.20 b | 17.80 ± 0.70 b | |
| CMB | 43.40 ± 0.70 a | 38.53 ± 2.60 b | 26.30 ± 0.67 a | 32.00 ± 0.10 a | |
| EOC g kg−1 | CK | 4.56 ± 0.69 bc | 3.68 ± 0.35 bc | 2.45 ± 0.13 b | 1.77 ± 0.30 c |
| CF | 3.94 ± 0.47 c | 2.65 ± 0.36 c | 1.64 ± 0.17 b | 1.27 ± 0.16 c | |
| CR | 7.54 ± 0.38 ab | 4.43 ± 0.54 b | 2.79 ± 0.28 b | 2.07 ± 0.14 bc | |
| CM | 8.30 ± 1.09 a | 5.13 ± 0.32 b | 4.47 ± 0.14 a | 3.01 ± 0.27 ab | |
| CMB | 10.26 ± 0.18 a | 8.69 ± 0.29 a | 4.39 ± 0.59 a | 3.74 ± 0.15 a | |
| Treatment | MBC (mg kg−1) | MBN (mg kg−1) | MBC/MBN |
|---|---|---|---|
| CK | 112.22 ± 3.85 d | 33.73 ± 3.99 c | 3.40 ± 0.32 bc |
| CF | 171.56 ± 21.14 c | 39.13 ± 1.89 c | 4.45 ± 0.73 ab |
| CR | 278.90 ± 10.21 a | 55.30 ± 0.89 b | 5.04 ± 0.11 a |
| CM | 218.48 ± 4.82 b | 69.50 ± 3.54 a | 3.16 ± 0.15 c |
| CMB | 134.33 ± 5.20 d | 60.11 ± 3.24 ab | 2.25 ± 0.19 d |
| Treatment | Bud Density (A m−2) | 100-Bud Weight DW (g) | Tea Yield DW (kg hm−2) |
|---|---|---|---|
| CK | 408.75 ± 31.13 b | 15.18 ± 0.20 ab | 110.56 ± 5.62 bc |
| CF | 443.13 ± 30.08 b | 12.64 ± 0.28 c | 94.72 ± 7.04 c |
| CR | 683.33 ± 58.82 a | 15.69 ± 0.80 a | 135.83 ± 3.33 a |
| CM | 416.88 ± 17.40 b | 14.64 ± 0.59 ab | 107.50 ± 8.22 bc |
| CMB | 470.63 ± 38.46 b | 15.18 ± 0.31 ab | 119.17 ± 2.55 ab |
Publisher’s Note: MDPI stays neutral with regard to jurisdictional claims in published maps and institutional affiliations. |
© 2022 by the authors. Licensee MDPI, Basel, Switzerland. This article is an open access article distributed under the terms and conditions of the Creative Commons Attribution (CC BY) license (https://creativecommons.org/licenses/by/4.0/).
Share and Cite
Li, G.; Li, H.; Yi, X.; Hu, Z.; Ni, K.; Ruan, J.; Yang, Y. Effects of Fertilization Regimes on Soil Organic Carbon Fractions and Its Mineralization in Tea Gardens. Agronomy 2022, 12, 2522. https://doi.org/10.3390/agronomy12102522
Li G, Li H, Yi X, Hu Z, Ni K, Ruan J, Yang Y. Effects of Fertilization Regimes on Soil Organic Carbon Fractions and Its Mineralization in Tea Gardens. Agronomy. 2022; 12(10):2522. https://doi.org/10.3390/agronomy12102522
Chicago/Turabian StyleLi, Guifei, Huan Li, Xiaoyun Yi, Zhenmin Hu, Kang Ni, Jianyun Ruan, and Yiyang Yang. 2022. "Effects of Fertilization Regimes on Soil Organic Carbon Fractions and Its Mineralization in Tea Gardens" Agronomy 12, no. 10: 2522. https://doi.org/10.3390/agronomy12102522
APA StyleLi, G., Li, H., Yi, X., Hu, Z., Ni, K., Ruan, J., & Yang, Y. (2022). Effects of Fertilization Regimes on Soil Organic Carbon Fractions and Its Mineralization in Tea Gardens. Agronomy, 12(10), 2522. https://doi.org/10.3390/agronomy12102522

