Effect of Different Cover Crops on Suppression of the Weed Oxalis pes-caprae L., Soil Nutrient Availability, and the Performance of Table Olive Trees ‘Kalamon’ cv. in Crete, Greece
Abstract
1. Introduction
2. Materials and Methods
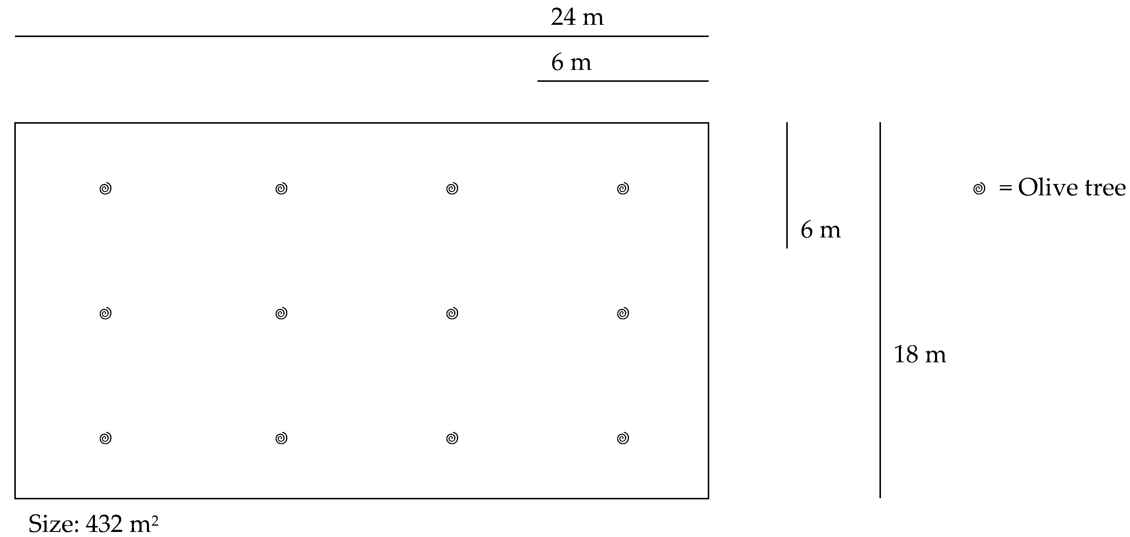
2.1. Experimental Orchard Used
2.2. Experimental Design and Cover Crop Treatments
2.3. Orchard Management
2.4. Leaf Analysis
2.5. Assessment of Cover-Crop and Oxalis Establishment/Density
2.6. Assessment of Nodulation in Legume Plants
2.7. Olive Yield Assessment
2.8. Olive Fruit Fly Sampling and Fruit Infestation Estimation
2.9. Statistical Analyses
3. Results
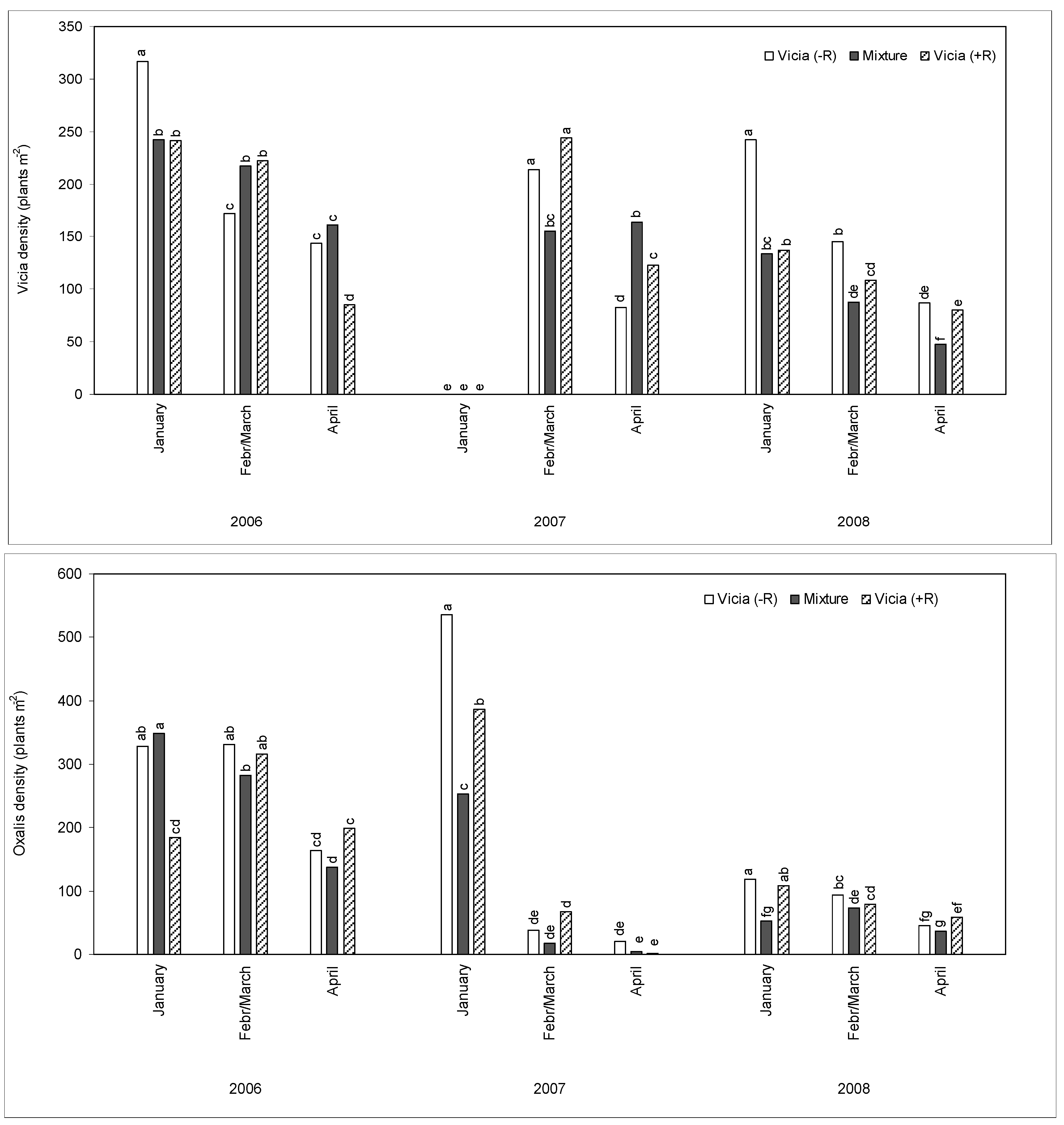
3.1. Effect of Different Cover Crops on Vetch and Oxalis Establishment and Population Density
| Factor | Vicia Density (Plants/m2) | Oxalis Density (Plants/m2) | |
|---|---|---|---|
| Year | 2006 | 200 ± 6 a | 255 ± 8 a |
| 2007 | 109 ± 6 b | 147 ± 12 b | |
| 2008 | 119 ± 4 b | 74 ± 2 c | |
| Months | January | 146 ± 8 b | 258 ± 11 a |
| February/March | 174 ± 5 a | 144 ± 7 b | |
| April | 108 ± 5 c | 74 ± 5 c | |
| Cover crop | V. sativa (−R) | 156 ± 6 a | 186 ± 11 a |
| Mixture | 134 ± 6 b | 134 ± 8 b | |
| V. sativa (+R) | 138 ± 6 b | 156 ± 8 b | |
| ANOVA results (p-values) | |||
| Main effects | |||
| Year (Y) | <0.0001 | <0.0001 | |
| Month (M) | <0.0001 | <0.0001 | |
| Cover crop treatment (T) | 0.001 | <0.0001 | |
| Interactions | |||
| Y × M | <0.0001 | <0.0001 | |
| Y × T | <0.0001 | <0.0001 | |
| M × T | <0.0001 | <0.0001 | |
| Y × M × T | <0.0001 1 | <0.0001 1 | |
3.2. Effect of Using Rhizobium Seed Inoculum on Vetch Establishment and Nodulation
3.3. Effect of Different Cover Crops on Leaf Mineral Concentrations in Olive Leaves
3.4. Effect of Cover Crops on Table Olive Yield and Quality Parameters
4. Discussion
4.1. Effect of Cover Crops on Oxalis Establishment
4.2. Effect of Rhizobium Inoculation on Soil Fertility and Crop Performance
4.3. Effect of Different Cover Crop Treatments on Crop Performance
4.4. Potential for Using a Native Legume Species as Cover Crop
4.5. Study Limitations
5. Conclusions
Supplementary Materials
Author Contributions
Funding
Data Availability Statement
Acknowledgments
Conflicts of Interest
References
- Kabourakis, E. Code of practices for ecological olive production systems. Olivae 1999, 77, 46–55. [Google Scholar]
- Kabourakis, E. Learning processes in designing and disseminating ecological olive production systems in Crete. In Cow Up a Tree: Knowing and Learning for Change in Agriculture; Cerf, M., Gibbon, D., Hubert, B., Jiggins, J., Paine, M., Proost, J., Rolling, N., Eds.; INRA: Paris, France, 2000; pp. 97–111. [Google Scholar]
- Volakakis, N. Development of Strategies to Improve the Quality and Productivity of Organic and ‘Low Input’ Olive Production Systems in Semi-Arid Mediterranean Regions. Ph.D. Thesis, Newcastle University, Newcastle Upon Tyne, UK, 2010. [Google Scholar]
- Rempelos, L.; Baranski, M.; Wang, J.; Adams, T.N.; Adebusuyi, K.; Beckman, J.J.; Brockbank, C.J.; Douglas, B.S.; Feng, T.; Greenway, J.D.; et al. Integrated Soil and Crop Management in Organic Agriculture: A Logical Framework to Ensure Food Quality and Human Health? Agronomy 2021, 11, 2494. [Google Scholar] [CrossRef]
- Tzouvelekas, V.; Pantzios, C.J.; Fotopoulos, C. Technical efficiency of alternative farming systems: The case of Greek organic and conventional olive-growing farms. Food Policy 2001, 26, 549–569. [Google Scholar] [CrossRef]
- Lopez, C.P.; Requena, J.C. Factors related to the adoption of organic farming in Spanish olive orchards. Span. J. Agric. Res. 2005, 3, 5–16. [Google Scholar] [CrossRef]
- Wilkinson, A.; Wilkinson, J.N.; Shotton, P.; Eyre, M.; Hasanaliyeva, G.; Bilsborrow, P.; Leifert, C.; Rempelos, L. Effect of Clover Sward Management on Nitrogen Fixation and Performance of Following Spring- and Winter Wheat Crops; Results of a 3-Year Pilot Study. Agronomy 2022, 12, 2085. [Google Scholar] [CrossRef]
- Albayrak, S.; Sevimay, C.S.; Cocu, S. Effect of Rhizobium inoculation on forage and seed yield and yield components of common vetch (Vicia sativa L.) under rainfed conditions. Acta Agric. Scand. B Soil Plant Sci. 2006, 56, 235–240. [Google Scholar]
- EU. Council Regulation (EC) No 834/2007 of 28 June 2007 on Organic Production and Labelling of Organic Products and Repealing Regulation (EEC) No 2092/91. Official Journal of European Communities 2007, L 189, 1–22. Available online: https://eur-lex.europa.eu/legal-content/EN/TXT/PDF/?uri=CELEX:32007R0834&from=EN (accessed on 28 April 2022).
- Hodgson, J.G.; Colasanti, R.; Phillipson, P.; Leach, S.; Montgomery, S.; Hunt, R. A simple method for monitoring grassland vegetation. In Grassland Management and Nature Conservation; Haggar, R.J., Peel, S., Eds.; Occasional Symposium of the British Grassland Society: Dunston, UK, 1994; pp. 286–288. [Google Scholar]
- Critchley, C.N.R.; Poulton, S.M.C. A method to optimize precision and scale in grassland monitoring. J. Veg. Sci. 1998, 9, 837–846. [Google Scholar] [CrossRef]
- Uceda, M.; Frías, L. Harvest Dates: Evolution of the Fruit Oil Content, Oil Composition and Oil Quality. In Proceedings of II Seminario Oléicola Internacional; International Olive Council: Córdoba, Spain, 1975; pp. 125–130. [Google Scholar]
- Pinheiro, J.; Bates, D. Mixed-Effects Models in S and S-PLUS; Springer Science & Business Media: New York, NY, USA, 2006. [Google Scholar]
- R Core Team. R: A Language and Environment for Statistical Computing; R Core Team: Vienna, Austria, 2018; Available online: https://www.gbif.org/tool/81287/r-a-language-and-environment-for-statistical-computing (accessed on 28 April 2022).
- Petsikos, C.; Dalias, P.; Troumbis, A.Y. Effects of Oxalis pes-caprae L. invasion in olive groves. Agric. Ecosyst. Environ. 2007, 120, 325–329. [Google Scholar] [CrossRef]
- Damanakis, M.; Markaki, M. Studies on the biology of Oxalis pes-caprae L. under field conditions in Crete, Greece. Zizaniology 1990, 2, 145–154. [Google Scholar]
- Pierce, J.R. The biology of Australian weeds 31 Oxalis pes-caprae L. Plant Prot. Q. 1997, 12, 110–119. [Google Scholar]
- Henry, G.M.; Hoyle, J.A.; Beck, L.L.; Cooper, T.; Montague, T.; McKenney, C. Evaluation of Mulch and Preemergence Herbicide Combinations for Weed Control in High-density Olive (Olea europaea L.) Production. HortScience 2015, 50, 1338–1341. [Google Scholar] [CrossRef]
- Sala, A.; Verdaguer, D.; Vila, M. Sensitivity of the invasive geophyte Oxalis pes-caprae to nutrient availability and competition. Ann. Bot. 2007, 99, 637–645. [Google Scholar] [CrossRef] [PubMed]
- Ross, L.C.; Lambdon, P.W.; Hulme, P.E. Disentangling the roles of climate, propagule pressure and land use on the current and potential elevational distribution of the invasive weed Oxalis pes-caprae L. on Crete. Perspect. Plant Ecol. Evol. Syst. 2008, 10, 251–258. [Google Scholar] [CrossRef]
- Verdaguera, D.; Salab, A.; Vila, M. Effect of environmental factors and bulb mass on the invasive geophyte Oxalis pes-caprae development. Acta Oecol. 2010, 36, 92–99. [Google Scholar] [CrossRef]
- Gedamu, S.A.; Tsegaye, E.A.; Beyene, T.F. Effect of rhizobial inoculants on yield and yield components of faba bean (Vicia fabae L.) on vertisol of Wereillu District, South Wollo, Ethiopia. CABI Agric. Biosci. 2021, 2, 8. [Google Scholar] [CrossRef]
- Grossman, J.; Legume Inoculation for Organic Farming Systems. eOrganic. Factsheet. Available online: https://eorganic.org/node/4439#:~:text=Field%20history%20that%20includes%20a,never%20planted%20to%20the%20host (accessed on 4 July 2022).
- Grossman, J.M.; Schipanski, M.E.; Sooksanguan, T.; Drinkwater, L.E. Diversity of rhizobia nodulating soybean [Glycine max (Vinton)] varies under organic and conventional management. Appl. Soil Ecol. 2011, 50, 14–20. [Google Scholar] [CrossRef]
- Thies, J.E.; Singleton, P.W.; Bohlool, B.B. Influence of the size of indigenous rhizobial populations on establishment and symbiotic performance of introduced rhizobia on field-grown legumes. Appl. Environ. Microbiol. 1991, 57, 19–28. [Google Scholar] [CrossRef]
- Kebede, E. Competency of Rhizobial Inoculation in Sustainable Agricultural Production and Biocontrol of Plant Diseases. Front. Sustain. Food Syst. 2021, 5, 728014. [Google Scholar] [CrossRef]
- Fernández-Escobar, R. Olive nutritional status and tolerance to biotic and abiotic stress. Front. Plant Sci. 2019, 10, 1151. [Google Scholar] [CrossRef]
- Volakakis, N.; Kabourakis, E.; Kiritsakis, A.; Rempelos, L.; Leifert, C. Effect of Production System (Organic versus Conventional) on Olive Fruit and Oil Yields and Oil Quality Parameters in the Messara Valley, Crete, Greece; Results from a 3-Year Farm Survey. Agronomy 2022, 12, 1484. [Google Scholar] [CrossRef]
- Saleem, M.; Khanif, Y.M.; Ishak, F.; Samsuri, A.W.; Hafeez, B. Importance of Boron for Agriculture Productivity: A Review. Int. Res. J. Agric. Sci. Soil Sci. 2011, 1, 293–300. [Google Scholar]
- Brdar-Jokanović, M. Boron Toxicity and Deficiency in Agricultural Plants. Int. J. Mol. Sci. 2020, 21, 1424. [Google Scholar] [CrossRef]
- Economopoulos, A.P.; Haniotakis, G.E.; Michelakis, S. Population studies on the olive fruit fly, Dacus oleae (Gmel.) (Dipt., Tephritidae) in Western Crete. Z. Angew. Entomol. 1982, 93, 463–476. [Google Scholar] [CrossRef]
- Gutiérrez, F.; Arnaud, T.; Albi, M.A. Influence of ecological cultivation on virgin olive oil quality. JAOCS J. Am. Oil Chem. Soc. 1999, 76, 617–621. [Google Scholar] [CrossRef]
- Wagner, L.K.; Spira, T.P. Germination, recruitment and survival in the weedy annual Medicago polymorpha in successive wet and dry years. Am. Midl. Nat. 1994, 131, 98–108. [Google Scholar] [CrossRef]
- del Pozo, A.; Ovalle, C.; Aronson, J.; Avendano, J. Ecotypic differentiation in Medicago polymorpha L. along an environmental gradient in central Chile. I. Phenology, biomass production and reproductive patterns. Plant Ecol. 2002, 159, 119–130. [Google Scholar] [CrossRef]
- del Pozo, A.; Ovalle, C.; Aronson, J.; Avendano, J. Ecotypic differentiation in Medicago polymorpha L. along an environmental gradient in central Chile. II. Winter growth as related to phenology and temperature regime. Plant Ecol. 2002, 160, 53–59. [Google Scholar] [CrossRef]
- Taylor, G.B. Incidence and measurement of autumn seed softening within Medicago polymorpha L. Aust. J. Agric. Res. 1996, 47, 575–586. [Google Scholar] [CrossRef]
- Larbi, A.; Gargouri, K.; Ayadi, M.; Dhiab, A.; Msallem, M. Effect of foliar boron application on growth, reproduction, and oil quality of olive trees conducted under high density planting system. J. Plant Nutr. 2011, 34, 2083–2094. [Google Scholar] [CrossRef]
- Zipori, I.; Erel, R.; Yermiyahu, U.; Ben-Gal, A.; Dag, A. Sustainable Management of Olive Orchard Nutrition: A Review. Agriculture 2020, 10, 11. [Google Scholar] [CrossRef]





| Fertilisation | |||||
|---|---|---|---|---|---|
| Cover Crop | Seed Rates (kg/ha) | 2005/2006 | 2006/2007 | 2007/2008 | |
| Sheep Manure (m3/ha) | Agrobiosol (kg/Plot) | Patentkali (kg/Plot) | Sheep Manure (m3/ha) | ||
| 1 Vetch (−R) | 150 | 10 | 24 | 12 | 10 |
| 2 Mixture | 200 | 10 | 24 | 12 | 10 |
| Vetch | 120 | ||||
| Peas | 50 | ||||
| Barley | 30 | ||||
| 3 Vetch (+R) | 150 | 10 | 48 | 12 | 20 |
| 4 Medicago | 160 | 10 | 24 | 12 | 10 |
| Factor | Total Number of Plants/m2 | Total Number of Nodules/Plant | Mean Size of Nodules (mm) | Proportion of Active Nodules (%) | Total Number of Active Nodules/m2 |
|---|---|---|---|---|---|
| Year | |||||
| 2006 | 101 ± 18 | 37 ± 2 b | 1.7 ± 0.2 b | 69 ± 12 | 2379 ± 341 ab |
| 2007 | 103 ± 16 | 50 ± 3 a | 1.1 ± 0.1 c | 66 ± 8 | 3019 ± 294 a |
| 2008 | 84 ± 6 | 43 ± 4 ab | 2.0 ± 0.1 a | 54 ± 6 | 1944 ± 269 b |
| Rhizobium Seed Treatment | |||||
| With | 92 ± 12 | 44 ± 4 | 1.6 ± 0.1 | 63 ± 8 | 2397 ± 290 |
| Without | 98 ± 12 | 43 ± 2 | 1.6 ± 0.2 | 62 ± 6 | 2510 ± 265 |
| ANOVA Results (p-values) | |||||
| Main Effects | |||||
| Year (Y) | NS | 0.0488 | <0.0001 | NS | T |
| Rhizobium seed treatment (R) | NS | NS | NS | NS | NS |
| 2-Way Interactions | |||||
| Y × R | NS | NS | NS | NS | NS |
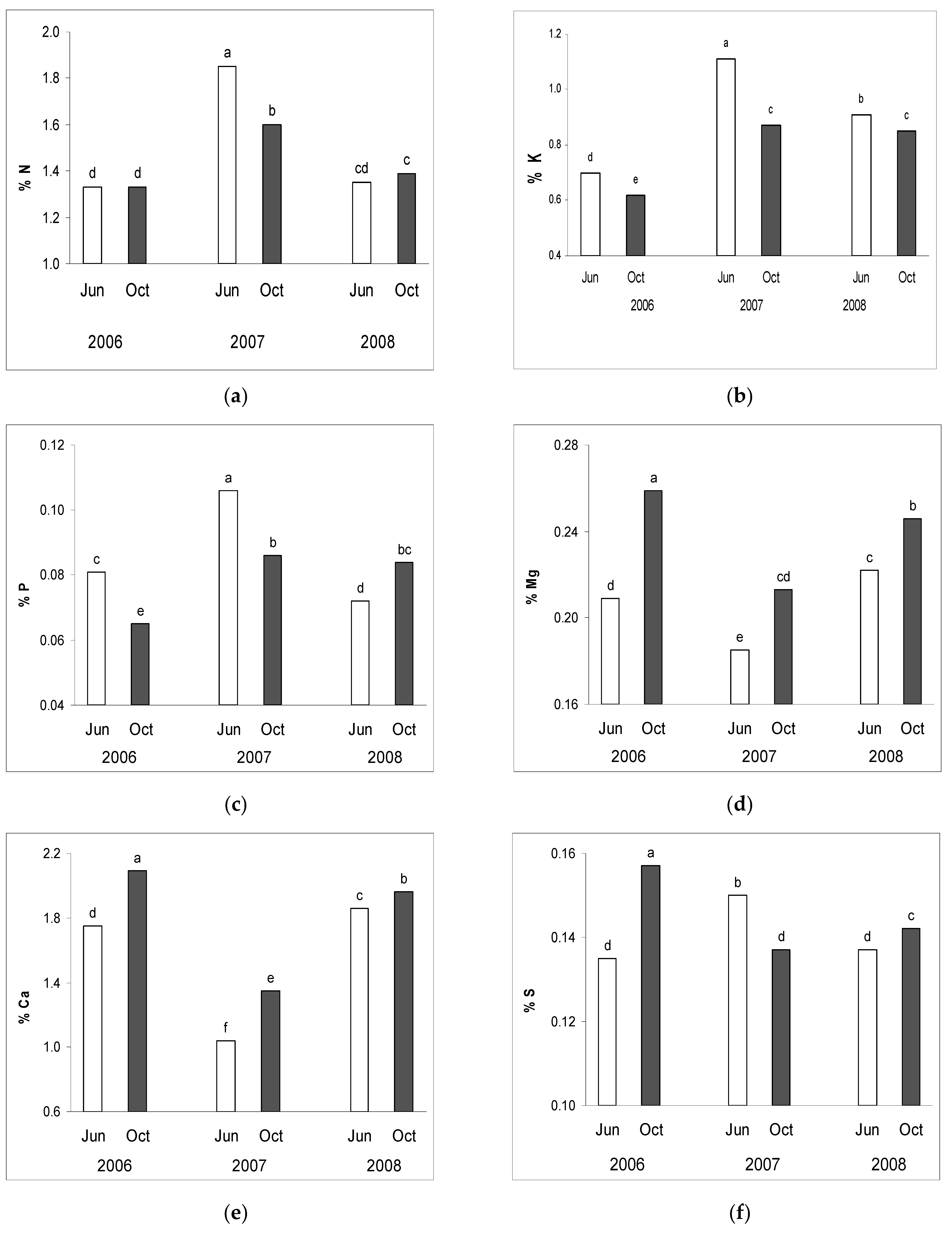
| Factor | N (%) | NO3 (%) | K (%) | P (%) | Mg (%) | Ca (%) | S (%) | Na (%) | |
|---|---|---|---|---|---|---|---|---|---|
| Year | 2006 | 1.33 b (± 0.02) | 0.096 b (±0.004) | 0.66 c (±0.01) | 0.073 b (±0.002) | 0.234 a (±0.007) | 1.92 a (±0.04) | 0.146 a (±0.003) | 0.0088 a (±0.0005) |
| 2007 | 1.72 a (±0.03) | 0.111 a (±0.003) | 0.99 a (±0.02) | 0.096 a (±0.002) | 0.199 b (±0.003) | 1.20 b (±0.03) | 0.143 ab (±0.002) | 0.0076 b (±0.0003) | |
| 2008 | 1.37 b (±0.01) | 0.106 a (±0.003) | 0.88 b (±0.01) | 0.078 b (±0.002) | 0.234 a (±0.004) | 1.91 a (±0.03) | 0.140 b (±0.002) | 0.0070 b (±0.0002) | |
| Cover crop treatment | V. sativa (−R) | 1.46 (±0.04) | 0.103 (±0.003) | 0.81 (±0.03) | 0.081 (±0.003) | 0.222 (±0.007) | 1.70 (±0.09) | 0.144 (±0.002) | 0.0080 (±0.0003) |
| Mixture | 1.47 (±0.04) | 0.102 (±0.004) | 0.85 (±0.03) | 0.081 (±0.003) | 0.223 (±0.005) | 1.66 (±0.08) | 0.141 (±0.003) | 0.0082 (±0.0006) | |
| V. sativa (+R) | 1.49 (±0.05) | 0.104 (±0.004) | 0.84 (±0.04) | 0.083 (±0.003) | 0.223 (±0.008) | 1.71 (±0.09) | 0.145 (±0.002) | 0.0076 (±0.0004) | |
| Medicago | 1.47 (±0.04) | 0.108 (±0.004) | 0.86 (±0.03) | 0.085 (±0.003) | 0.222 (±0.007) | 1.64 (±0.07) | 0.142 (±0.002) | 0.0074 (±0.0005) | |
| Sampling date | June | 1.51 (±0.04) | 0.112 (±0.003) | 0.91 (±0.03) | 0.086 (±0.002) | 0.205 (±0.003) | 1.55 (±0.06) | 0.141 (±0.002) | 0.0078 (±0.0003) |
| October | 1.44 (±0.02) | 0.097 (±0.002) | 0.78 (±0.02) | 0.079 (±0.002) | 0.239 (±0.005) | 1.80 (±0.05) | 0.145 (±0.002) | 0.0079 (±0.0003) | |
| ANOVA results (p-values) | |||||||||
| Main effects | |||||||||
| Year (Y) | <0.0001 | 0.0015 | <0.0001 | <0.0001 | <0.0001 | <0.0001 | 0.0015 | 0.0058 | |
| Cover crop treatment (C) | NS | NS | NS | T | NS | NS | NS | NS | |
| Sampling date (D) | <0.0001 | <0.0001 | <0.0001 | <0.0001 | <0.0001 | <0.0001 | 0.0015 | NS | |
| Interactions | NS | ||||||||
| Y × C | NS | NS | NS | NS | NS | NS | T | NS | |
| Y × D | <0.0001 1 | NS | <0.0001 1 | <0.0001 1 | 0.0318 1 | 0.0015 1 | <0.0001 1 | NS | |
| C × D | NS | NS | NS | NS | NS | NS | NS | NS | |
| Y × C × D | NS | NS | NS | NS | NS | NS | NS | NS | |
| Factors | Fe (mg kg−1) | Mn (mg kg−1) | Zn (mg kg−1) | Cu (mg kg−1) | B (mg kg−1) | Mo (mg kg−1) | |
|---|---|---|---|---|---|---|---|
| Year | 2006 | 131 ± 4 b | 49.6 ± 3.0 b | 15.4 ± 0.4 a | 3.6 ± 0.1 b | 17.6 ± 0.3 b | 0.285 ± 0.009 a |
| 2007 | 81 ± 3 c | 35.3 ± 1.8 c | 15.6 ± 0.5 a | 4.6 ± 0.2 b | 19.9 ± 0.5 a | 0.186 ± 0.007 b | |
| 2008 | 158 ± 4 a | 59.6 ± 2.6 a | 13.8 ± 0.3 b | 3.1 ± 2.5 a | 17.3 ± 0.3 b | 0.160 ± 0.007 c | |
| Cover crop | V. sativa (−R) | 127 ± 7 | 48.3 ± 3.7 | 15.0 ± 0.6 | 13.2 ± 3.2 | 17.1 ± 0.4 b | 0.209 ± 0.015 ab |
| Mixture | 123 ± 8 | 48.9 ± 3.4 | 15.3 ± 0.6 | 11.9 ± 2. | 18.7 ± 0.5 a | 0.185 ± 0.012 b | |
| V. sativa (+R) | 122 ± 7 | 47.5 ± 3.6 | 14.2 ± 0.4 | 13.6 ± 3.3 | 18.1 ± 0.4 ab | 0.221 ± 0.016 ab | |
| Medicago | 120 ± 8 | 48.0 ± 3.5 | 15.3 ± 0.5 | 13.5 ± 3.3 | 19.2 ± 0.5 a | 0.226 ± 0.013 a | |
| Sampling date | June | 131 ± 5 | 46.0 ± 2.5 | 15.6 ± 0.4 | 17.5 ± 2.8 | 19.0 ± 0.4 | 0.218 ± 0.010 |
| October | 115 ± 5 | 50.4 ± 2.4 | 14.3 ± 0.3 | 8.6 ± 1.1 | 17.6 ± 0.3 | 0.203 ± 0.010 | |
| ANOVA results (p-values) | |||||||
| Main effects | |||||||
| Year (Y) | <0.0001 | <0.0001 | <0.0001 | <0.0001 | <0.0001 | <0.0001 | |
| Cover crop treat (C) | NS | NS | T | NS | 0.0002 | 0.0011 | |
| Sampling date (D) | <0.0001 | 0.0024 | 0.0004 | <0.0001 | 0.0001 | 0.0490 | |
| Interactions | |||||||
| Y × C | NS | NS | T | NS | NS | NS | |
| Y × D | NS | NS | <0.0001 | <0.0001 | <0.0001 | NS | |
| C × D | NS | NS | NS | NS | NS | NS | |
| Y × C × D | NS | NS | 0.0178 | NS | NS | NS | |
| Factor | Yields (kg tree−1) | Weight of 100 Fruits (g) | Weight of 100 Stones (g) | Pulp/Stone Ratio | Maturity Index | |
|---|---|---|---|---|---|---|
| Cover Crop | V. sativa (−R) | 38.2 ± 3.7 | 422 ± 24 1 | 51.2 ± 1.9 | 7.4 ± 0.6 | 4.7 ± 0.2 1 |
| Mixture | 45.2 ± 6.4 | 422 ± 26 1 | 51.4 ± 1.1 | 7.2 ± 0.5 | 4.8 ± 0.3 1 | |
| V. sativa (+R) | 44.3 ± 4.1 | 385 ± 21 1 | 48.8 ± 1.4 | 7.1 ± 0.6 | 4.4 ± 0.2 1 | |
| Medicago | 50.2 ± 4.4 | 397 ± 27 1 | 51.1 ± 0.9 | 6.8 ± 0.6 | 4.4 ± 0.2 1 | |
| Growing Season | 2005/2006 | 55.1 ± 2.9 | 327 ± 7 | 53.1 ± 0.7 | 5.2 ± 0.1 | 3.9 ± 0.1 |
| 2007/2008 | 34.3 ± 2.9 | 483 ± 21 | 48.2 ± 1.0 | 9.1 ± 0.2 | 5.2 ± 0.1 | |
| ANOVA results (p-values) | ||||||
| Main effects | ||||||
| Cover crop treatment (C) | NS | 0.0304 1 | NS | NS | 0.0443 1 | |
| Growing season (S) | <0.0001 | <0.0001 | <0.0001 | <0.0001 | <0.0001 | |
| Interaction | ||||||
| C × S | NS | 0.0118 1 | 0.0042 2 | NS | NS | |
| Growing Season | Cover Crop Treatment | Weight of 100 Fruits (g) | Weight of 100 Stones (g) |
|---|---|---|---|
| 2005/2006 | V. sativa (−R) | 350 ± 12 a | 56.2 ± 1.9 a |
| Mixture | 337 ± 17 a | 51.8 ± 1.0 b | |
| V. sativa (+R) | 327 ± 11 ab | 53.3 ± 0.7 ab | |
| Medicago | 295 ± 6 b | 51.5 ± 1.1 b | |
| 2007/2008 | V. sativa (−R) | 484 ± 28 a | 46.8 ± 2.3 ab |
| Mixture | 507 ± 24 a | 51.1 ± 2.1 a | |
| V. sativa (+R) | 443 ± 27 b | 44.2 ± 1.5 b | |
| Medicago | 499 ± 8 a | 50.8 ± 1.5 a |
| Factor | Olive Fruit Length (mm) | Olive Fruit Width (mm) | Olive Fruit Size (mm2) | |
|---|---|---|---|---|
| Cover crop treatment | V. sativa (−R) | 24.41 ± 0.05 b | 16.67 ± 0.02 a | 410 ± 1 b |
| Mixture | 24.77 ± 0.03 a | 16.65 ± 0.03 a | 415 ± 1 b | |
| V. sativa (+R) | 24.20 ± 0.03 c | 16.17 ± 0.07 b | 393 ± 2 d | |
| Medicago | 24.47 ± 0.03 b | 16.25 ± 0.03 b | 401 ± 1 c | |
| Growing season | 2005/2006 | 24.37 ± 0.02 | 15.26 ± 0.02 | 375 ± 1 |
| 2007/2008 | 24.55 ± 0.03 | 17.56 ± 0.03 | 434 ± 1 | |
| ANOVA results (p-values) | ||||
| Main effects | ||||
| Cover crop treatment (C) | <0.0001 | <0.0001 | <0.0001 | |
| Growing season (S) | <0.0001 | <0.0001 | <0.0001 | |
| Interactions | ||||
| C × S | <0.0001 | <0.0001 | <0.0001 | |
| Growing Season | Cover Crop Treatment | Olive Fruit Length (mm) | Olive Fruit Width (mm) | Olive Fruit Size (mm) |
|---|---|---|---|---|
| V. sativa (−R) | 24.66 ± 0.04 a | 15.55 ± 0.03 a | 386 ± 1 a | |
| 2005/06 | Mixture | 24.73 ± 0.04 a | 15.58 ± 0.04 a | 388 ± 1 a |
| V. sativa (+R) | 24.34 ± 0.04 b | 15.14 ± 0.03 b | 371 ± 1 b | |
| Medicago | 23.79 ± 0.04 c | 14.79 ± 0.03 c | 354 ± 1 c | |
| 2007/08 | V. sativa (−R) | 24.19 ± 0.08 c | 17.65 ± 0.03 a | 430 ± 2 c |
| Mixture | 24.81 ± 0.04 b | 17.72 ± 0.03 a | 441 ± 1 b | |
| V. sativa (+R) | 24.07 ± 0.04 c | 17.19 ± 0.13 b | 415 ± 3 d | |
| Medicago | 25.14 ± 0.04 a | 17.71 ± 0.03 a | 447 ± 1 a |
Publisher’s Note: MDPI stays neutral with regard to jurisdictional claims in published maps and institutional affiliations. |
© 2022 by the authors. Licensee MDPI, Basel, Switzerland. This article is an open access article distributed under the terms and conditions of the Creative Commons Attribution (CC BY) license (https://creativecommons.org/licenses/by/4.0/).
Share and Cite
Volakakis, N.; Kabourakis, E.M.; Rempelos, L.; Kiritsakis, A.; Leifert, C. Effect of Different Cover Crops on Suppression of the Weed Oxalis pes-caprae L., Soil Nutrient Availability, and the Performance of Table Olive Trees ‘Kalamon’ cv. in Crete, Greece. Agronomy 2022, 12, 2523. https://doi.org/10.3390/agronomy12102523
Volakakis N, Kabourakis EM, Rempelos L, Kiritsakis A, Leifert C. Effect of Different Cover Crops on Suppression of the Weed Oxalis pes-caprae L., Soil Nutrient Availability, and the Performance of Table Olive Trees ‘Kalamon’ cv. in Crete, Greece. Agronomy. 2022; 12(10):2523. https://doi.org/10.3390/agronomy12102523
Chicago/Turabian StyleVolakakis, Nikolaos, Emmanouil M. Kabourakis, Leonidas Rempelos, Apostolos Kiritsakis, and Carlo Leifert. 2022. "Effect of Different Cover Crops on Suppression of the Weed Oxalis pes-caprae L., Soil Nutrient Availability, and the Performance of Table Olive Trees ‘Kalamon’ cv. in Crete, Greece" Agronomy 12, no. 10: 2523. https://doi.org/10.3390/agronomy12102523
APA StyleVolakakis, N., Kabourakis, E. M., Rempelos, L., Kiritsakis, A., & Leifert, C. (2022). Effect of Different Cover Crops on Suppression of the Weed Oxalis pes-caprae L., Soil Nutrient Availability, and the Performance of Table Olive Trees ‘Kalamon’ cv. in Crete, Greece. Agronomy, 12(10), 2523. https://doi.org/10.3390/agronomy12102523

