Exercise, Urban Food Production, Preparation and Consumption: Implications, Benefits and Risks to Grow-Your-Own (GYO) Gardeners
Abstract
:1. Introduction
2. Materials and Methods
2.1. Questionnaire Development
2.2. Study Design and Administration
2.3. Scoring Responses and Data Entry
2.4. Data Analysis
3. Results
3.1. Demographics
3.2. Participation in Gardening Activities
3.3. Trends in Produce Growth and Consumption
3.4. Lifestyle
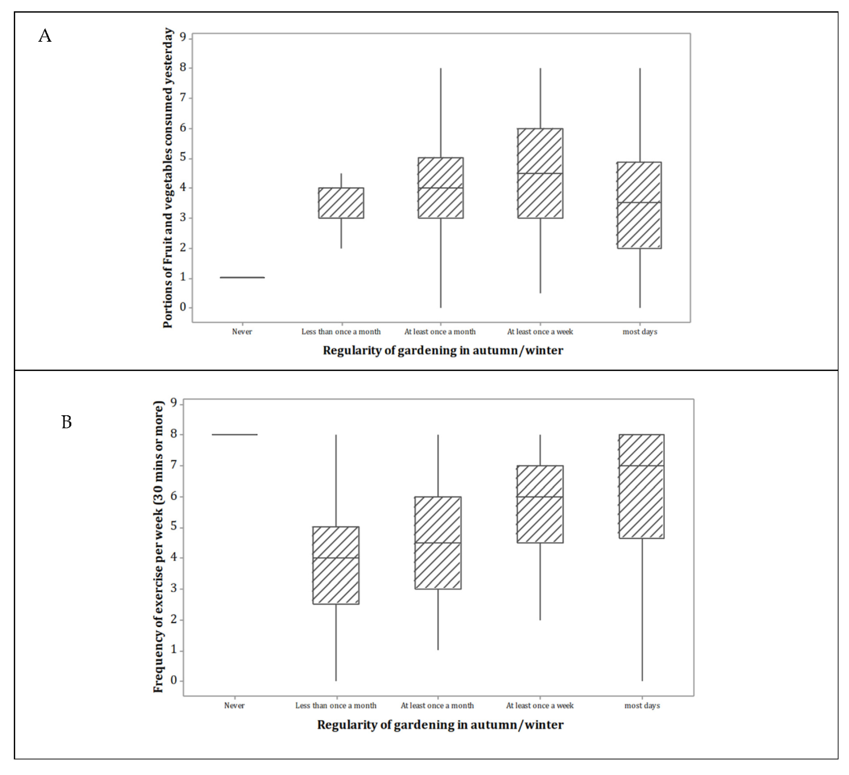
3.4.1. Fruit and Vegetable Consumption
3.4.2. Physical Activity
3.4.3. Body Mass Index (BMI)
3.4.4. Alcohol Consumption and Cigarette Smoking
3.5. Short Form 36 v2 Responses
3.5.1. Physical Component Scores
3.5.2. Mental Component Scores
4. Discussion
4.1. Health Risks
4.2. Health Benefits
5. Conclusions
Supplementary Materials
Author Contributions
Funding
Institutional Review Board Statement
Informed Consent Statement
Acknowledgments
Conflicts of Interest
References
- Brown, K.H.; Jameton, A.L. Public Health Implications of Urban Agriculture. J. Public Health Pol. 2000, 21, 20–39. [Google Scholar] [CrossRef]
- Frumkin, H. Beyond toxicity: Human health and the natural environment. Am. J. Prevent. Med. 2001, 20, 234–240. [Google Scholar] [CrossRef]
- Leake, J.R.; Adam-Bradford, A.; Rigby, J.E. Health benefits of ‘grow your own’ food in urban areas: Implications for contaminated land risk assessment and risk management? Environ. Health 2009, 8, S6. [Google Scholar] [CrossRef] [Green Version]
- Brown, S.L.; Chaney, R.L.; Hettiarachchi, G.M. Lead in Urban Soils: A Real or Perceived Concern for Urban Agriculture? J. Environ. Qual. 2016, 45, 26–36. [Google Scholar] [CrossRef] [Green Version]
- Alaimo, K.; Packnett, E.; Miles, R.A.; Kruger, D.J. Fruit and Vegetable Intake among Urban Community Gardeners. J. Nutr. Educ. Behav. 2008, 40, 94–101. [Google Scholar] [CrossRef]
- Park, S.-A.; Shoemaker, C.A.; Haub, M.D. Physical and psychological health conditions of older adults classified as gardeners or nongardeners. HortScience 2009, 44, 206–210. [Google Scholar] [CrossRef] [Green Version]
- Carney, P.A.; Hamada, J.L.; Rdesinski, R.; Sprager, L.; Nichols, K.R.; Liu, B.Y.; Pelayo, J.; Sanchez, M.A.; Shannon, J. Impact of a Community Gardening Project on Vegetable Intake, Food Security and Family Relationships: A Community-based Participatory Research Study. J. Commun. Health 2011, 37, 874–881. [Google Scholar] [CrossRef] [PubMed] [Green Version]
- Zick, C.D.; Smith, K.R.; Kowaleski-Jones, L.; Uno, C.; Merrill, B.J. Harvesting more than vegetables: The potential weight control benefits of community gardening. Am. J. Public Health 2013, 103, 1110–1115. [Google Scholar] [CrossRef] [PubMed]
- Wood, C.J.; Pretty, J.; Griffin, M. A case–control study of the health and well-being benefits of allotment gardening. J. Public Health 2015, 38, e336–e344. [Google Scholar] [CrossRef] [PubMed]
- Van den Berg, A.; Custers, M.H.G. Gardening Promotes Neuroendocrine and Affective Restoration from Stress. J. Health Psychol. 2011, 16, 3–11. [Google Scholar] [CrossRef] [PubMed]
- Hawkins, J.L.; Thirlaway, K.J.; Backx, K.; Clayton, D.A. Allotment Gardening and Other Leisure Activities for Stress Reduction and Healthy Aging. HortTechnology 2011, 21, 577–585. [Google Scholar] [CrossRef] [Green Version]
- Wakefield, S.; Yeudall, F.; Taron, C.; Reynolds, J.; Skinner, A. Growing urban health: Community gardening in South-East Toronto. Health Promot. Int. 2007, 22, 92–101. [Google Scholar] [CrossRef]
- Steinmetz, K.A.; Potter, J.D. Vegetables, Fruit, and Cancer Prevention: A Review. J. Am. Diet. Assoc. 1996, 96, 1027–1039. [Google Scholar] [CrossRef]
- Kruk, J. Physical activity in the prevention of the most frequent chronic diseases: An analysis of the recent evidence. Asian Pac. J. Cancer Prevent. 2007, 8, 325. [Google Scholar]
- Lozano, R.; Naghavi, M.; Foreman, K.; Lim, S.; Shibuya, K.; Aboyans, V.; Abraham, J.; Adair, T.; Aggarwal, R.; Ahn, S.Y.; et al. Global and regional mortality from 235 causes of death for 20 age groups in 1990 and 2010: A systematic analysis for the Global Burden of Disease Study 2010. Lancet 2012, 380, 2095–2128. [Google Scholar] [CrossRef]
- Zahran, S.; Laidlaw, M.A.S.; McElmurry, S.P.; Filippelli, G.M.; Taylor, M. Linking Source and Effect: Resuspended Soil Lead, Air Lead, and Children’s Blood Lead Levels in Detroit, Michigan. Environ. Sci. Technol. 2013, 47, 2839–2845. [Google Scholar] [CrossRef] [PubMed]
- Liu, Y.; McDermott, S.; Lawson, A.; Marjorie Aelion, C. The relationship between mental retardation and developmental delays in children and the levels of arsenic, mercury and lead in soil samples taken near their mother’s residence during pregnancy. Int. J. Hyg. Environ. Health 2010, 213, 116–123. [Google Scholar] [CrossRef] [Green Version]
- Nawrot, T.S.; Van Hecke, E.; Thijs, L.; Richart, T.; Kuznetsova, T.; Jin, Y.; Vangronsveld, J.; Roles, H.A.; Staessen, J.A. Cadmium-Related Mortality and Long-Term Secular Trends in the Cadmium Body Burden of an Environmentally Exposed Population. Environ. Health Persp. 2008, 116, 1620–1628. [Google Scholar] [CrossRef] [Green Version]
- Nawrot, T.S.; Staessen, J.A.; Roles, H.A.; Munters, E.; Cuypers, A.; Richart, T.; Ruttens, A.; Smeets, K.; Clijsters, H.; Vangronsveld, J. Cadmium exposure in the population: From health risks to strategies of prevention. BioMetals 2010, 23, 769–782. [Google Scholar] [CrossRef] [PubMed] [Green Version]
- Menke, A.; Muntner, P.; Silbergeld, E.K.; Platz, E.A.; Guallar, E. Cadmium Levels in Urine and Mortality among U.S. Adults. Environ. Health Persp. 2009, 117, 190–196. [Google Scholar] [CrossRef]
- Staessen, J.A.; Roles, H.A.; Emelianov, D.; Kuznetsova, T.; Thijs, L.; Vangronsveld, J.; Fagard, R. Environmental exposure to cadmium, forearm bone density, and risk of fractures: Prospective population study. Lancet 1999, 353, 1140–1144. [Google Scholar] [CrossRef]
- Environment Agency. Updated Technical Background to the CLEA Model; Environment Agency: Bristol, UK, 2009.
- Park, S.-A.; Lee, K.-S.; Son, K.-C. Determining exercise intensities of gardening tasks as a physical activity using metabolic equivalents in older adults. HortScience 2011, 46, 1706–1710. [Google Scholar] [CrossRef] [Green Version]
- Mulloli, T.P.; Air, V.; Vizard, C.; Singleton, I.; Rimmer, D.; Hartley, P. The legacy of historic land-use in allotment gardens in industrial urban settings: Walker Road allotment in Newcastle Upon Tyne, UK. Land Contam. Reclam. 2004, 12, 239–252. [Google Scholar] [CrossRef]
- Arif, I.A.; Khan, H.; Homaiden, A.A.; Ahmed, A. Determination of Cu, Mn, Hg, Pb, and Zn in the Outer Tissue Washings, Outer Tissues and Inner Tissues of Different Vegetables Using ICP-OES. Pol. J. Environ. Stud. 2011, 20, 835–841. [Google Scholar]
- Saunders, P. Towards Allotments 2000, National Survey of Allotment Gardeners Views in England and Wales; National Society of Allotment and Leisure Gardeners Ltd.: Corby, UK, 1993. [Google Scholar]
- HSCIC. Chapter 7: Fruit and vegetable consumption. In Health Survey England 2013 Vol. 1; The Health and Social Care Information Centre: Leeds, UK, 2013. [Google Scholar]
- HSCIC. Chapter 6: Alcohol consumption. In Health Survey England 2012; The Health and Social Care Information Centre: Leeds, UK, 2012; Volume 1. [Google Scholar]
- HSCIC. Statistics on Smoking: England 2013; The Health and Social Care Information Centre: Leeds, UK, 2013.
- Hollingshead, A.B. Four Factor Index of Social Status. Department of Sociology, Yale University, New Haven, CT, USA. 1975; Unpublished working paper. [Google Scholar]
- IFS Institute for Fiscal Studies. Living Standards, Inequality and Poverty Spreadsheet; Institute of Fiscal Studies: London, UK, 2016. [Google Scholar]
- Van den Berg, A.E.; van Winsum-Westra, M.; de Vries, S.; van Dillen, S.M.E. Allotment gardening and health: A comparative survey among allotment gardeners and their neighbours without an allotment. Environ. Health 2010, 9, 74. [Google Scholar] [CrossRef] [PubMed] [Green Version]
- Wang, D.; MacMillan, T. The Benefits of Gardening for Older Adults: A Systematic Review of the Literature. Activ. Adapt. Aging 2013, 37, 153–181. [Google Scholar]
- Boffetta, P.; Couto, E.; Wichmann, J.; Ferrari, P.; Trichopoulos, D.; Bueno-De-Mesquita, H.B.; Van Duijnhoven, F.J.B.; Büchner, F.L.; Key, T.; Boeing, H.; et al. Fruit and Vegetable Intake and Overall Cancer Risk in the European Prospective Investigation Into Cancer and Nutrition (EPIC). J. Natl. Cancer Inst. 2010, 102, 529–537. [Google Scholar] [CrossRef] [Green Version]
- Ware, J.E.; Kosinski, M. SF-36 Physical & Mental Health Summary Scales: A Manual for Users of Version 1; QualityMetric: Lincoln, RI, USA, 2001. [Google Scholar]
- Baldantoni, D.; Morra, L.; Zaccardelli, M.; Alfani, A. Cadmium accumulation in leaves of leafy vegetables. Ecotox. Environ. Saf. 2016, 123, 89–94. [Google Scholar] [CrossRef]
- HSCIC. Statistics on Obesity, Physical Activity and Diet: England, 2012; The Health and Social Care Information Centre: Leeds, UK, 2012.
- Stubberfield, J. The Health Benefits and Risks of Growing-Your-Own Produce in an Urban Environment. Ph.D. Thesis, Environmental Science, University of Nottingham, Nottingham, UK, 2017. [Google Scholar]
- Clemens, S. Toxic metal accumulation, responses to exposure and mechanisms of tolerance in plants. Biochimie 2006, 88, 1707–1719. [Google Scholar] [CrossRef]
- McLaughlin, M.J.; Smolders, E.; Degryse, F.; Rietra, R. Uptake of metals from soil into vegetables. In Dealing with Contaminated Sites; Swartjes, F., Ed.; Springer: Berlin, Germany, 2011; pp. 325–367. [Google Scholar]
- Hough, R.L.; Breward, N.; Young, S.D.; Crout, N.M.J.; Tye, A.M.; Moir, A.M.; Thornton, I. Assessing potential risk of heavy metal exposure from consumption of home-produced vegetables by urban populations. Environ. Health Persp. 2004, 112, 215–221. [Google Scholar] [CrossRef] [Green Version]
- Yang, J.; Guo, H.; Ma, Y.; Wang, L.; Wei, D.; Hua, L. Genotypic variations in the accumulation of Cd exhibited by different vegetables. J. Environ. Sci. 2010, 22, 1246–1252. [Google Scholar] [CrossRef]
- Alexander, P.D.; Alloway, B.J.; Dourado, A.M. Genotypic variations in the accumulation of Cd, Cu, Pb and Zn exhibited by six commonly grown vegetables. Environ. Pollut. 2006, 144, 736–745. [Google Scholar] [CrossRef]
- Intawongse, M.; Dean, J.R. Uptake of heavy metals by vegetable plants grown on contaminated soil and their bioavailability in the human gastrointestinal tract. Food Addit. Contam. 2006, 23, 36–48. [Google Scholar] [CrossRef] [Green Version]
- Clark, H.F.; Hausladen, D.M.; Brabander, D.J. Urban gardens: Lead exposure, recontamination mechanisms, and implications for remediation design. Environ. Res. 2008, 107, 312–319. [Google Scholar] [CrossRef]
- Canfield, R.L.; Henderson Jr, C.R.; Cory-Slechta, D.A.; Cox, C.; Jusko, T.A.; Lanphear, B.P. Intellectual impairment in children with blood lead concentrations below 10 μg per deciliter. N. Engl. J. Med. 2003, 348, 1517–1526. [Google Scholar] [CrossRef] [Green Version]
- Minh, N.D.; Hough, R.L.; Nyberg, Y.; Vinh, N.C.; Khai, N.M.; Oborn, I. Assessing dietary exposure to cadmium in a metal recycling community in Vietnam: Age and gender aspects. Sci. Total Environ. 2012, 416, 164–171. [Google Scholar] [CrossRef] [PubMed]
- Swartjes, F.A. Insight into the variation in calculated human exposure to soil contaminants using seven different European models. Integ. Environ. Assess. Man. 2007, 3, 322–332. [Google Scholar] [CrossRef]
- Bingham, S.A.; Gill, C.; Welch, A.; Day, K.; Cassidy, A.; Khaw, K.T.; Sneyd, M.J.; Key, T.J.A.; Roe, L.; Day, N.E. Comparison of dietary assessment methods in nutritional epidemiology: Weighed records v. 24 h recalls, food-frequency questionnaires and estimated-diet records. Br. J. Nutr. 1994, 72, 619. [Google Scholar] [CrossRef] [Green Version]






| Produce Group | Consumption (Average Portions/Year) | Consumption (Average g fw/Week) |
|---|---|---|
| Flower | 16 ± 19 | 24 ± 29 |
| Fruit | 124 ± 107 | 369 ± 164 |
| Leaf | 131 ± 74 | 201 ± 114 |
| Root | 137 ± 71 | 209 ± 110 |
| Tuber | 66 ± 33 | 102 ± 51 |
| Other | 1 ± 7 | 2 ± 10 |
| Total | 627 ± 230 | 960 ± 353 |
| PCS | MCS | |||||||||
|---|---|---|---|---|---|---|---|---|---|---|
| Gender | Age | n | Gardening Survey | Ware (2001) [35] | Statistical Difference | Gardening Survey | Ware (2001) [35] | Statistical Difference | ||
| mean | SD | mean | p value | mean | SD | mean | p value | |||
| Male | 35–44 | 3 | 49.86 | 4.81 | 51.97 | 0.527 | 44.11 | 5.79 | 50.80 | 0.183 |
| 45–54 | 10 | 56.32 | 6.04 | 50.90 | 0.019 | 49.24 | 7.05 | 49.93 | 0.764 | |
| 55–64 | 11 | 53.23 | 5.90 | 48.05 | 0.015 | 52.58 | 8.14 | 52.48 | 0.967 | |
| 65+ | 30 | 47.85 | 9.84 | 43.51 | 0.022 | 56.18 | 4.70 | 51.48 | <0.001 | |
| Female | 18–34 | 2 | 56.46 | 4.07 | 53.10 | 0.451 | 48.76 | 5.46 | 46.66 | 0.683 |
| 35–44 | 6 | 44.46 | 10.82 | 51.65 | 0.164 | 49.64 | 9.25 | 48.44 | 0.764 | |
| 45–54 | 12 | 53.49 | 7.99 | 47.90 | 0.034 | 51.59 | 7.33 | 50.69 | 0.679 | |
| 55–64 | 19 | 54.37 | 4.76 | 47.51 | <0.001 | 53.11 | 6.29 | 51.79 | 0.372 | |
| 65+ | 15 | 53.24 | 6.05 | 42.17 | <0.001 | 55.10 | 4.85 | 53.02 | 0.119 | |
| All | 52.0 | 8.2 | (50) | - | 52.3 | 7.8 | (50) | - | ||
Publisher’s Note: MDPI stays neutral with regard to jurisdictional claims in published maps and institutional affiliations. |
© 2022 by the authors. Licensee MDPI, Basel, Switzerland. This article is an open access article distributed under the terms and conditions of the Creative Commons Attribution (CC BY) license (https://creativecommons.org/licenses/by/4.0/).
Share and Cite
Stubberfield, J.; Troldborg, M.; Ander, L.; Crout, N.; Young, S.D.; Hough, R.L. Exercise, Urban Food Production, Preparation and Consumption: Implications, Benefits and Risks to Grow-Your-Own (GYO) Gardeners. Agronomy 2022, 12, 181. https://doi.org/10.3390/agronomy12010181
Stubberfield J, Troldborg M, Ander L, Crout N, Young SD, Hough RL. Exercise, Urban Food Production, Preparation and Consumption: Implications, Benefits and Risks to Grow-Your-Own (GYO) Gardeners. Agronomy. 2022; 12(1):181. https://doi.org/10.3390/agronomy12010181
Chicago/Turabian StyleStubberfield, Jonathan, Mads Troldborg, Louise Ander, Neil Crout, Scott D. Young, and Rupert L. Hough. 2022. "Exercise, Urban Food Production, Preparation and Consumption: Implications, Benefits and Risks to Grow-Your-Own (GYO) Gardeners" Agronomy 12, no. 1: 181. https://doi.org/10.3390/agronomy12010181
APA StyleStubberfield, J., Troldborg, M., Ander, L., Crout, N., Young, S. D., & Hough, R. L. (2022). Exercise, Urban Food Production, Preparation and Consumption: Implications, Benefits and Risks to Grow-Your-Own (GYO) Gardeners. Agronomy, 12(1), 181. https://doi.org/10.3390/agronomy12010181

