Effect of Up-Converting Luminescent Nanoparticles with Increased Quantum Yield Incorporated into the Fluoropolymer Matrix on Solanum lycopersicum Growth
Abstract
1. Introduction
2. Materials and Methods
2.1. Preparation of Photoluminophore Nanoparticles and Investigation of Its Properties
2.2. Plant Material and Growth Conditions
2.3. Chlorophyll Fluorescence (ChlF) Measurement
2.4. Statistical Analysis
3. Results
3.1. Characteristics of Nanosized Fluorophores
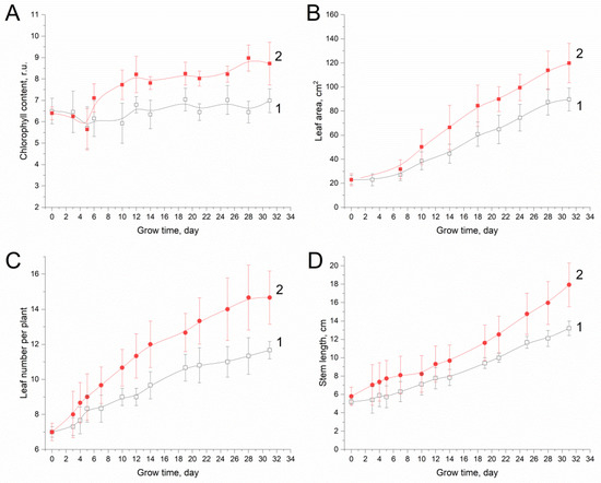
3.2. Influence of Photoconversion Glasses on Plant Grow
4. Discussion
5. Conclusions
Author Contributions
Funding
Institutional Review Board Statement
Informed Consent Statement
Acknowledgments
Conflicts of Interest
References
- Roser, M.; Ritchie, H.; Ortiz-Ospina, E. World Population Growth; Our World in Data: Oxford, UK, 2013. [Google Scholar]
- Hayami, Y.; Ruttan, V.W. Population Growth and Agricultural Productivity. In Technological Prospects and Population Trends; Espenshade, T.J., Stolnitz, G.J., Eds.; Routledge: New York, NY, USA, 2020; pp. 11–69. [Google Scholar]
- Gudkov, S.V.; Andreev, S.N.; Barmina, E.V.; Bunkin, N.; Kartabaeva, B.B.; Nesvat, A.P.; Stepanov, E.V.; Taranda, N.I.; Khramov, R.N.; Glinushkin, A. Effect of visible light on biological objects: Physiological and pathophysiological aspects. Phys. Wave Phenom. 2017, 25, 207–213. [Google Scholar] [CrossRef]
- Cook, R.; Calvin, L. Greenhouse Tomatoes Change the Dynamics of the North American Fresh Tomato Industry; Economic Research Report Number 2, Economic Research Service; US Department of Agriculture: Rome, Italy, 2005. Available online: https://www.ers.usda.gov/webdocs/publications/45465/15309_err2_1_.pdf?v=4201.2 (accessed on 12 December 2021).
- Ramankutty, N.; Evan, A.T.; Monfreda, C.; Foley, J.A. Farming the planet: 1. Geographic distribution of global agricultural lands in the year 2000. Glob. Biogeochem. Cycles 2008, 22, 22. [Google Scholar] [CrossRef]
- Vos, R.; Bellu, L.; Stamoulis, K.; Haight, B. The Future of Food and Agriculture–Trends and Challenges; Food and Agriculture Organisation of the United Nations: Rome, Italy, 2017. [Google Scholar]
- Bot, G.; Van De Braak, N.; Challa, H.; Hemming, S.; Rieswijk, T.; Van Straten, G.; Verlodt, I. The solar greenhouse: State of the art in energy saving and sustainable energy supply. Acta Hortic. 2005, 691, 501–508. [Google Scholar] [CrossRef]
- Barbosa, G.L.; Gadelha, F.D.A.; Kublik, N.; Proctor, A.; Reichelm, L.; Weissinger, E.; Wohlleb, G.M.; Halden, R.U. Comparison of Land, Water, and Energy Requirements of Lettuce Grown Using Hydroponic vs. Conventional Agricultural Methods. Int. J. Environ. Res. Public Health 2015, 12, 6879–6891. [Google Scholar] [CrossRef]
- Nadal, A.; Llorach-Massana, P.; Cuerva, E.; López-Capel, E.; Montero, J.I.; Josa, A.; Rieradevall, J.; Royapoor, M. Building-integrated rooftop greenhouses: An energy and environmental assessment in the mediterranean context. Appl. Energy 2017, 187, 338–351. [Google Scholar] [CrossRef]
- Kitai, A. Luminescent Materials and Applications; John Wiley & Sons: Hoboken, NJ, USA, 2008; Volume 25. [Google Scholar]
- Mahata, M.; Hofsäss, H.; Vetter, U.; Thirumalai, J. Luminescence—An Outlook on the Phenomena and Their Applications; Intechopen: London, UK, 2016; pp. 109–131. [Google Scholar]
- Liu, N.; Chen, X.; Sun, X.; Sun, X.; Shi, J. Persistent luminescence nanoparticles for cancer theranostics application. J. Nanobiotechnol. 2021, 19, 1–24. [Google Scholar] [CrossRef]
- Hoffman, A.; Atreya, R.; Rath, T.; Neurath, M.F. Use of Fluorescent Dyes in Endoscopy and Diagnostic Investigation. Visc. Med. 2020, 36, 95–103. [Google Scholar] [CrossRef] [PubMed]
- Hong, G.; Antaris, A.L.; Dai, H. Near-infrared fluorophores for biomedical imaging. Nat. Biomed. Eng. 2017, 1, 1–22. [Google Scholar] [CrossRef]
- Zhao, Y.; Wang, X.; Zhang, Y.; Li, Y.; Yao, X. Optical temperature sensing of up-conversion luminescent materials: Fundamentals and progress. J. Alloy. Compd. 2020, 817, 152691. [Google Scholar] [CrossRef]
- Becidyan, A.N. Luminescent pigments in security applications. Color Res. Appl. 1995, 20, 124–130. [Google Scholar] [CrossRef]
- Schelokov, R. Polysvetanes and polysvetane effect. Her. Russ. Acad. Sci 1986, 10, 50–55. [Google Scholar]
- Palkina, K.; Kuz’mina, N.; Strashnova, S.; Zaitsev, B.; Koval’chukova, O.; Nikitin, S.; Goncharov, O.; Schelokov, R. Synthesis and structure of the 2-Amino-3-Hydroxypyridine complexes with trivalent praseodymium, neodymium, samarium, and europium nitrates: Crystal structure of Tris (2-Amino-3-Hydroxypyridine) trinitratosamarium (III) monohydrate. Rus. J. Inorg. Chem. 2000, 45, 515–520. [Google Scholar]
- Pogreb, R.; Finkelshtein, B.; Shmukler, Y.; Musina, A.; Popov, O.; Stanevsky, O.; Yitzchaik, S.; Gladkikh, A.; Shulzinger, A.; Streltsov, V.; et al. Low-density polyethylene films doped with europium(III) complex: Their properties and applications. Polym. Adv. Technol. 2004, 15, 414–418. [Google Scholar] [CrossRef]
- Hemming, S.; Van Os, E.; Hemming, J.; Dieleman, J. The effect of new developed fluorescent greenhouse films on the growth of Fragaria x ananassa ‘Elsanta’. Eur. J. Hortic. Sci. 2006, 71, 145–154. [Google Scholar]
- Ziessel, R.; Diring, S.; Kadjane, P.; Charbonnière, L.; Retailleau, P.; Philouze, C. Highly efficient blue photoexcitation of europium in a bimetallic Pt–Eu complex. Chem. As. J. 2007, 2, 975–982. [Google Scholar] [CrossRef]
- Fitzmorris, B.C.; Pu, Y.-C.; Cooper, J.K.; Lin, Y.-F.; Hsu, Y.-J.; Li, Y.; Zhang, J.Z. Optical Properties and Exciton Dynamics of Alloyed Core/Shell/Shell Cd1–x Zn x Se/ZnSe/ZnS Quantum Dots. ACS Appl. Mater. Interfaces 2013, 5, 2893–2900. [Google Scholar] [CrossRef]
- Nguyen, A.T.; Lin, W.-H.; Lu, Y.-H.; Chiou, Y.-D.; Hsu, Y.-J. First demonstration of rainbow photocatalysts using ternary Cd1-xZnxSe nanorods of varying compositions. Appl. Catal. A Gen. 2014, 476, 140–147. [Google Scholar] [CrossRef]
- Pu, Y.-C.; Chen, W.-T.; Fang, M.-J.; Chen, Y.-L.; Tsai, K.-A.; Lin, W.-H.; Hsu, Y.-J. Au–Cd 1− x Zn x S core–alloyed shell nanocrystals: Boosting the interfacial charge dynamics by adjusting the shell composition. J. Mater. Chem. A 2018, 6, 17503–17513. [Google Scholar] [CrossRef]
- Parrish, C.H., II; Hebert, D.; Jackson, A.; Ramasamy, K.; McDaniel, H.; Giacomelli, G.A.; Bergren, M.R. Optimizing spectral quality with quantum dots to enhance crop yield in controlled environments. Commun. Biol. 2021, 4, 124. [Google Scholar] [CrossRef]
- Simakin, A.V.; Ivanyuk, V.V.; Dorokhov, A.S.; Gudkov, S.V. Photoconversion Fluoropolymer Films for the Cultivation of Agricultural Plants Under Conditions of Insufficient Insolation. Appl. Sci. 2020, 10, 8025. [Google Scholar] [CrossRef]
- Gudkov, S.V.; Simakin, A.V.; Bunkin, N.F.; Shafeev, G.A.; Astashev, M.E.; Glinushkin, A.P.; Grinberg, M.A.; Vodeneev, V.A. Development and application of photoconversion fluoropolymer films for greenhouses located at high or polar latitudes. J. Photochem. Photobiol. B Biol. 2020, 213, 112056. [Google Scholar] [CrossRef] [PubMed]
- Ivanyuk, V.V.; Shkirin, A.V.; Belosludtsev, K.N.; Dubinin, M.V.; Kozlov, V.A.; Bunkin, N.F.; Dorokhov, A.S.; Gudkov, S.V. Influence of Fluoropolymer Film Modified with Nanoscale Photoluminophor on Growth and Development of Plants. Front. Phys. 2020, 8, 616040. [Google Scholar] [CrossRef]
- Ovsyankin, V.; Feofilov, P. Mechanism of summation of electronic excitations in activated crystals. Sov. J. Exp. Theor. Phys. Lett. 1966, 3, 322. [Google Scholar]
- Auzel, F. Quantum counter by energy transfer from Yb3+ to Tm3+ in a mixed tungstate and a germanate glass. CR Acad. Sci. (Paris) 1966, 263, 819–821. [Google Scholar]
- Dieke, G.H.; Crosswhite, H.M. The Spectra of the Doubly and Triply Ionized Rare Earths. Appl. Opt. 1963, 2, 675–686. [Google Scholar] [CrossRef]
- Bloembergen, N. Solid State Infrared Quantum Counters. Phys. Rev. Lett. 1959, 2, 84–85. [Google Scholar] [CrossRef]
- Auzel, F. Upconversion and Anti-Stokes Processes with f and d Ions in Solids. Chem. Rev. 2004, 104, 139–174. [Google Scholar] [CrossRef] [PubMed]
- Ritter, B.; Haida, P.; Krahl, T.; Scholz, G.; Kemnitz, E. Core–shell metal fluoride nanoparticles via fluorolytic sol–gel synthesis–a fast and efficient construction kit. J. Mater. Chem. C 2017, 5, 5444–5450. [Google Scholar] [CrossRef]
- Reig, D.S.; Grauel, B.; Konyushkin, V.A.; Nakladov, A.N.; Fedorov, P.P.; Busko, D.; Howard, I.A.; Richards, B.S.; Resch-Genger, U.; Kuznetsov, S.; et al. Upconversion properties of SrF2:Yb3+,Er3+ single crystals. J. Mater. Chem. C 2020, 8, 4093–4101. [Google Scholar] [CrossRef]
- Falin, M.L.; I Gerasimov, K.; A Latypov, V.; Leushin, A.M. Electron paramagnetic resonance and optical spectroscopy of Yb3 ions in SrF2and BaF2; an analysis of distortions of the crystal lattice near Yb3. J. Phys. Condens. Matter 2003, 15, 2833–2847. [Google Scholar] [CrossRef]
- Madirov, E.I.; Konyushkin, V.A.; Nakladov, A.N.; Fedorov, P.P.; Bergfeldt, T.; Busko, D.; Howard, I.A.; Richards, B.S.; Kuznetsov, S.V.; Turshatov, A. An up-conversion luminophore with high quantum yield and brightness based on BaF2:Yb3+,Er3+ single crystals. J. Mater. Chem. C 2021, 9, 3493–3503. [Google Scholar] [CrossRef]
- Würth, C.; Fischer, S.; Grauel, B.; Alivisatos, A.P.; Resch-Genger, U. Quantum Yields, Surface Quenching, and Passivation Efficiency for Ultrasmall Core/Shell Upconverting Nanoparticles. J. Am. Chem. Soc. 2018, 140, 4922–4928. [Google Scholar] [CrossRef] [PubMed]
- Kaiser, M.; Würth, C.; Kraft, M.; Hyppänen, I.; Soukka, T.; Resch-Genger, U. Power-dependent upconversion quantum yield of NaYF4:Yb3+,Er3+ nano- and micrometer-sized particles – Measurements and simulations. Nanoscale 2017, 9, 10051–10058. [Google Scholar] [CrossRef]
- Sukhova, E.; Sukhov, V. Electrical Signals, Plant Tolerance to Actions of Stressors, and Programmed Cell Death: Is Interaction Possible? Plants 2021, 10, 1704. [Google Scholar] [CrossRef]
- Demotes-Mainard, S.; Péron, T.; Corot, A.; Bertheloot, J.; Le Gourrierec, J.; Pelleschi-Travier, S.; Crespel, L.; Morel, P.; Huché-Thélier, L.; Boumaza, R.; et al. Plant responses to red and far-red lights, applications in horticulture. Environ. Exp. Bot. 2016, 121, 4–21. [Google Scholar] [CrossRef]
- Huché-Thélier, L.; Crespel, L.; Le Gourrierec, J.; Morel, P.; Sakr, S.; Leduc, N. Light signaling and plant responses to blue and UV radiations—Perspectives for applications in horticulture. Environ. Exp. Bot. 2016, 121, 22–38. [Google Scholar] [CrossRef]
- McCree, K. The action spectrum, absorptance and quantum yield of photosynthesis in crop plants. Agric. Meteorol. 1971, 9, 191–216. [Google Scholar] [CrossRef]
- Trouwborst, G.; Hogewoning, S.W.; van Kooten, O.; Harbinson, J.; van Ieperen, W. Plasticity of photosynthesis after the ‘red light syndrome’in cucumber. Environ. Exp. Bot. 2016, 121, 75–82. [Google Scholar] [CrossRef]
- Hogewoning, S.; Trouwborst, G.; Maljaars, H.; Poorter, H.; Van Ieperen, W.; Harbinson, J. Blue light dose-responses of leaf photosynthesis, morphology, and chemical composition of Cucumis sativus grown under different combinations of red and blue light. J. Exp. Bot. 2010, 61, 3107–3117. [Google Scholar] [CrossRef]
- Van Ieperen, W.; Savvides, A.; Fanourakis, D. Red and blue light effects during growth on hydraulic and stomatal conductance in leaves of young cucumber plants. In Proceedings of the VII International Symposium on Light in Horticultural Systems 956, Wageningen, The Netherlands, 15–18 October 2012; pp. 223–230. [Google Scholar]
- Nanya, K.; Ishigami, Y.; Hikosaka, S.; Goto, E. Effects of blue and red light on stem elongation and flowering of tomato seedlings. In Proceedings of the VII International Symposium on Light in Horticultural Systems 956, Wageningen, The Netherlands, 15–18 October 2012; pp. 261–266. [Google Scholar]
- Savvides, A.; Fanourakis, D.; van Ieperen, W. Co-ordination of hydraulic and stomatal conductances across light qualities in cucumber leaves. J. Exp. Bot. 2012, 63, 1135–1143. [Google Scholar] [CrossRef]
- Sun, J.; Nishio, J.N.; Vogelmann, T.C. Green Light Drives CO2 Fixation Deep within Leaves. Plant Cell Physiol. 1998, 39, 1020–1026. [Google Scholar] [CrossRef]
- Terashima, I.; Fujita, T.; Inoue, T.; Chow, W.S.; Oguchi, R. Green Light Drives Leaf Photosynthesis More Efficiently than Red Light in Strong White Light: Revisiting the Enigmatic Question of Why Leaves are Green. Plant Cell Physiol. 2009, 50, 684–697. [Google Scholar] [CrossRef] [PubMed]
- Paradiso, R.; Meinen, E.; Snel, J.F.; De Visser, P.; Van Ieperen, W.; Hogewoning, S.W.; Marcelis, L.F. Spectral dependence of photosynthesis and light absorptance in single leaves and canopy in rose. Sci. Hortic. 2011, 127, 548–554. [Google Scholar] [CrossRef]
- Pak, A.M.; Ermakova, J.A.; Kuznetsov, S.V.; Ryabova, A.V.; Pominova, D.V.; Voronov, V.V. Efficient visible range SrF2:Yb:Er- and SrF2:Yb:Tm-based up-conversion luminophores. J. Fluor. Chem. 2017, 194, 16–22. [Google Scholar] [CrossRef]
- Dual-PAM-100 Measuring System for Simultaneous Assessment of P700 and Chlorophyll Fluorescence, Instrument Description and Instructions for Users 2.151/07.06 2. Heinz Walz GmbH. DUAL-PAM_1e.doc. 2006. Available online: https://www.walz.com/files/downloads/manuals/dual-pam-100/Dual-PAM_1e.pdf (accessed on 12 December 2021).
- Korneev, D.Y. Information possibilities of chlorophyll fluorescence induction method. Ky. Altpress 2002. [Google Scholar]
- Campbell, D.; Wu, C.A.; Travers, S.E. Photosynthetic and growth responses of reciprocal hybrids to variation in water and nitrogen availability. Am. J. Bot. 2010, 97, 925–933. [Google Scholar] [CrossRef]
- Savchenko, T.; Yanykin, D.; Khorobrykh, A.; Terentyev, V.; Klimov, V.; Dehesh, K. The hydroperoxide lyase branch of the oxylipin pathway protects against photoinhibition of photosynthesis. Planta 2017, 245, 1179–1192. [Google Scholar] [CrossRef]
- Labbe, C.; Doualan, J.; Camy, P.; Moncorgé, R.; Thuau, M. The 2.8 μm laser properties of Er3+ doped CaF2 crystals. Opt. Commun. 2002, 209, 193–199. [Google Scholar] [CrossRef]
- Camy, P.; Doualan, J.-L.; Benayad, A.; Von Edlinger, M.; Ménard, V.; Moncorgé, R. Comparative spectroscopic and laser properties of Yb 3+-doped CaF 2, SrF 2 and BaF 2 single crystals. Appl. Phys. B 2007, 89, 539–542. [Google Scholar] [CrossRef]
- Xu, J.; Su, L.; Li, H.; Zhang, D.; Wen, L.; Lin, H.; Zhao, G. High quantum fluorescence yield of Er3+ at 1.5μm in an Yb3+, Ce3+-codoped CaF2 crystal. Opt. Mater. 2007, 29, 932–935. [Google Scholar] [CrossRef]
- Druon, F.; Ricaud, S.; Papadopoulos, D.N.; Pellegrina, A.; Camy, P.; Doualan, J.L.; Moncorgé, R.; Courjaud, A.; Mottay, E.; Georges, P. On Yb: CaF 2 and Yb: SrF 2: Review of spectroscopic and thermal properties and their impact on femtosecond and high power laser performance. Opt. Mater. Express 2011, 1, 489–502. [Google Scholar] [CrossRef]
- Ma, W.; Su, L.; Xu, X.; Wang, J.; Jiang, D.; Zheng, L.; Fan, X.; Li, C.; Liu, J.; Xu, J. Effect of erbium concentration on spectroscopic properties and 279 μm laser performance of Er:CaF_2 crystals. Opt. Mater. Express 2016, 6, 409–415. [Google Scholar] [CrossRef]
- Kreslavski, V.D.; Los, D.A.; Schmitt, F.-J.; Zharmukhamedov, S.K.; Kuznetsov, V.V.; Allakhverdiev, S.I. The impact of the phytochromes on photosynthetic processes. Biochim. et Biophys. Acta (BBA)-Bioenerg. 2018, 1859, 400–408. [Google Scholar] [CrossRef]
- Cao, K.; Yu, J.; Xu, D.; Ai, K.; Bao, E.; Zou, Z. Exposure to lower red to far-red light ratios improve tomato tolerance to salt stress. BMC Plant Biol. 2018, 18, 92. [Google Scholar] [CrossRef] [PubMed]
- Khramov, R.N.; Kreslavski, V.D.; Svidchenko, E.A.; Surin, N.M.; Kosobryukhov, A.A. Influence of photoluminophore-modified agro textile spunbond on growth and photosynthesis of cabbage and lettuce plants. Opt. Express 2019, 27, 31967–31977. [Google Scholar] [CrossRef] [PubMed]
- Zhang, Z.; Zhao, Z.; Lu, Y.; Wang, D.; Wang, C.; Li, J. One-Step Synthesis of Eu3+-Modified Cellulose Acetate Film and Light Conversion Mechanism. Polymers 2020, 13, 113. [Google Scholar] [CrossRef] [PubMed]
- Wu, W.; Zhang, Z.; Dong, R.; Xie, G.; Zhou, J.; Wu, K.; Zhang, H.; Cai, Q.; Lei, B. Characterization and properties of a Sr2Si5N8:Eu2+-based light-conversion agricultural film. J. Rare Earths 2020, 38, 539–545. [Google Scholar] [CrossRef]
- Kalaji, H.M.; Dąbrowski, P.; Cetner, M.D.; Samborska, I.A.; Łukasik, I.; Brestic, M.; Zivcak, M.; Tomasz, H.; Mojski, J.; Kociel, H.; et al. A comparison between different chlorophyll content meters under nutrient deficiency conditions. J. Plant Nutr. 2017, 40, 1024–1034. [Google Scholar] [CrossRef]
- Novoplansky, A.; Sachs, T.; Cohen, D.; Bar, R.; Bodenheimer, J.; Reisfeld, R. Increasing plant productivity by changing the solar spectrum. Sol. Energy Mater. 1990, 21, 17–23. [Google Scholar] [CrossRef]
- Ke-Li, Z.; Liang-Jie, Y.; Mei-Yun, X.; You-Zu, Y.; Ju-Tang, S. The application of lights-conversed polyethylene film for agriculture. Wuhan Univ. J. Nat. Sci. 2002, 7, 365–367. [Google Scholar] [CrossRef]
- Yoon, H.I.; Kim, J.H.; Park, K.S.; Namgoong, J.W.; Hwang, T.G.; Kim, J.P.; Son, J.E. Quantitative methods for evaluating the conversion performance of spectrum conversion films and testing plant responses under simulated solar conditions. Hortic. Environ. Biotechnol. 2020, 61, 999–1009. [Google Scholar] [CrossRef]
- Yoon, H.; Kang, J.; Kang, W.; Son, J. Subtle changes in solar radiation under a green-to-red conversion film affect the photosynthetic performance and chlorophyll fluorescence of sweet pepper. Photosynthetica 2020, 58, 1107–1115. [Google Scholar] [CrossRef]
- Minich, A.; Minich, I.; Shaitarova, O.; Permyakova, N.; Zelenchukova, N.; Ivanitskiy, A.; Filatov, D.; Ivlev, G. Vital activity of Lactuca sativa and soil microorganisms under fluorescent films. TSPU Bull. 2011, 8, 78–84. Available online: https://vestnik.tspu.edu.ru/files/vestnik/PDF/articles/minich_a._s._78_84_8_110_2011.pdf (accessed on 12 December 2021).
- Schettini, E.; De Salvador, F.R.; Scarascia-Mugnozza, G.; Vox, G. Radiometric properties of photoselective and photoluminescent greenhouse plastic films and their effects on peach and cherry tree growth. J. Hortic. Sci. Biotechnol. 2011, 86, 79–83. [Google Scholar] [CrossRef]
- Nishimura, Y.; Wada, E.; Fukumoto, Y.; Aruga, H.; Shimoi, Y. The effect of spectrum conversion covering film on cucumber in soilless culture. In Proceedings of the VII International Symposium on Light in Horticultural Systems 956, Wageningen, The Netherlands, 15–18 October 2012; pp. 481–487. [Google Scholar]
- Sánchez-Lanuza, M.B.; Menéndez-Velázquez, A.; Peñas-Sanjuan, A.; Navas-Martos, F.J.; Lillo-Bravo, I.; Delgado-Sánchez, J.-M. Advanced Photonic Thin Films for Solar Irradiation Tuneability Oriented to Greenhouse Applications. Materials 2021, 14, 2357. [Google Scholar] [CrossRef]
- Hamada, K.; Shimasaki, K.; Ogata, T.; Nishimura, Y.; Nakamura, K.; Oyama-Egawa, H.; Yoshida, K. Effects of Spectral Composition Conversion Film and Plant Growth Regulators on Proliferation of Cymbidium Protocorm Like Body (PLB) Cultured In Vitro. Environ. Control. Biol. 2010, 48, 127–132. [Google Scholar] [CrossRef][Green Version]
- Liu, X.; Chang, T.; Guo, S.; Xu, Z.; Li, J. Effect of different light quality of LED on growth and photosynthetic character in cherry tomato seedling. In Proceedings of the VI International Symposium on Light in Horticulture 907, Tsukuba, Japan, 15–19 November 2009; pp. 325–330. [Google Scholar]
- Edser, C. Auto applications drive commercialization of nanocomposites. Plast. Addit. Compd. 2002, 4, 30–33. [Google Scholar] [CrossRef]
- Rodríguez, R.; Bañón, S.; Franco, J.; Fernández, J.; Salmerón, A.; Espí, E.; González, A. Strawberry and cucumber cultivation under fluorescent photoselective plastic films cover. In Proceedings of the VI International Symposium on Protected Cultivation in Mild Winter Climate: Product and Process Innovation 614, Ragusa-Sicily, Italy, 5–8 March 2002; pp. 407–413. [Google Scholar]
- De Salvador, F.; Scarascia-Mugnozza, G.; Vox, G.; Schettini, E.; Mastrorilli, M.; Jaoudé, M.B. Innovative photoselective and photoluminescent plastic films for protected cultivation. Acta Hortic. 2008, 801, 115–122. [Google Scholar] [CrossRef]
- Hidaka, K.; Yoshida, K.; Shimasaki, K.; Murakami, K.; Yasutake, D.; Kitano, M. Spectrum Conversion Film for Regulation of Plant Growth. J. Fac. Agric. Kyushu Univ. 2008, 53, 549–552. [Google Scholar] [CrossRef]
- Yoon, H.I.; Kang, J.H.; Kim, D.; Son, J.E. Seedling Quality and Photosynthetic Characteristic of Vegetables Grown Under a Spectrum Conversion Film. J. Bio-Environ. Control 2021, 30, 110–117. [Google Scholar] [CrossRef]
- Yongcheng, C.; Li, T.; Yang, Q.; Zhang, Y.; Zou, J.; Bian, Z.; Wen, X. UVA Radiation Is Beneficial for Yield and Quality of Indoor Cultivated Lettuce. Front. Plant Sci. 2019, 10, 1563. [Google Scholar] [CrossRef]
- Minich, A.S.; Minich, I.B.; Zelen’Chukova, N.S.; Karnachuk, R.A.; Golovatskaya, I.F.; Efimova, M.V.; Raida, V.S. The role of low intensity red luminescent radiation in the control of Arabidopsis thaliana morphogenesis and hormonal balance. Russ. J. Plant Physiol. 2006, 53, 762–767. [Google Scholar] [CrossRef]
- Marulanda, A.; Barea, J.M.; Azcón, R. Stimulation of Plant Growth and Drought Tolerance by Native Microorganisms (AM Fungi and Bacteria) from Dry Environments: Mechanisms Related to Bacterial Effectiveness. J. Plant Growth Regul. 2009, 28, 115–124. [Google Scholar] [CrossRef]
- Jursinic, P. Effects of hydroxylamine and silicomolybdate on the decay in delayed light emission in the 6–100 μs range after a single 10 ns flash in pea thylakoids. Photosynth. Res. 1982, 3, 161–177. [Google Scholar] [CrossRef] [PubMed]
- Tognetti, R.; Minotta, G.; Pinzauti, S.; Michelozzi, M.; Borghetti, M. Acclimation to changing light conditions of long-term shade-grown beech (Fagus sylvatica L.) seedlings of different geographic origins. Trees 1998, 12, 326–333. [Google Scholar] [CrossRef]
- Kyle, D.J.; Ohad, I.; Arntzen, C.J. Membrane protein damage and repair: Selective loss of a quinone-protein function in chloroplast membranes. Proc. Natl. Acad. Sci. USA 1984, 81, 4070–4074. [Google Scholar] [CrossRef] [PubMed]
- Ohad, I.; Kyle, D.J.; Arntzen, C.J. Membrane protein damage and repair: Removal and replacement of inactivated 32-kilodalton polypeptides in chloroplast membranes. J. Cell Biol. 1984, 99, 481–485. [Google Scholar] [CrossRef]




| Glass Coating Type | k(pi), s−1 × 10−5 ± se | |
|---|---|---|
| 1 mM Lincomycin | Without Lincomycin | |
| Common film | 6.88 ± 0.69 a | 0 |
| Photoconversion film | 8.29 ± 0.54 b | 0 |
Publisher’s Note: MDPI stays neutral with regard to jurisdictional claims in published maps and institutional affiliations. |
© 2022 by the authors. Licensee MDPI, Basel, Switzerland. This article is an open access article distributed under the terms and conditions of the Creative Commons Attribution (CC BY) license (https://creativecommons.org/licenses/by/4.0/).
Share and Cite
Yanykin, D.V.; Burmistrov, D.E.; Simakin, A.V.; Ermakova, J.A.; Gudkov, S.V. Effect of Up-Converting Luminescent Nanoparticles with Increased Quantum Yield Incorporated into the Fluoropolymer Matrix on Solanum lycopersicum Growth. Agronomy 2022, 12, 108. https://doi.org/10.3390/agronomy12010108
Yanykin DV, Burmistrov DE, Simakin AV, Ermakova JA, Gudkov SV. Effect of Up-Converting Luminescent Nanoparticles with Increased Quantum Yield Incorporated into the Fluoropolymer Matrix on Solanum lycopersicum Growth. Agronomy. 2022; 12(1):108. https://doi.org/10.3390/agronomy12010108
Chicago/Turabian StyleYanykin, Denis V., Dmitriy E. Burmistrov, Alexander V. Simakin, Julia A. Ermakova, and Sergey V. Gudkov. 2022. "Effect of Up-Converting Luminescent Nanoparticles with Increased Quantum Yield Incorporated into the Fluoropolymer Matrix on Solanum lycopersicum Growth" Agronomy 12, no. 1: 108. https://doi.org/10.3390/agronomy12010108
APA StyleYanykin, D. V., Burmistrov, D. E., Simakin, A. V., Ermakova, J. A., & Gudkov, S. V. (2022). Effect of Up-Converting Luminescent Nanoparticles with Increased Quantum Yield Incorporated into the Fluoropolymer Matrix on Solanum lycopersicum Growth. Agronomy, 12(1), 108. https://doi.org/10.3390/agronomy12010108

