Next Article in Journal
Crop Diversity Management System Commons: Revisiting the Role of Genebanks in the Network of Crop Diversity Actors
Previous Article in Journal
Detection of Epistasis for Seed and Some Phytochemical Traits in Coriander under Different Irrigation Regimes
 
 
Font Type:
Arial Georgia Verdana
Font Size:
Aa Aa Aa
Line Spacing:
Column Width:
Background:
Article

The Effect of the Manure from Sheep Treated with Anthelmintics on Clover (Trifolium pratense)

by
Lenka Langhansová
1,
Martina Navrátilová
2,
Lenka Skálová
2,
Kateřina Moťková
1 and
Radka Podlipná
1,*
1
Czech Academy of Sciences, Institute of Experimental Botany, Rozvojová 263, CZ-16502 Prague, Czech Republic
2
Faculty of Pharmacy, Charles University, Akademika Heyrovského 1203, CZ-50005 Hradec Králové, Czech Republic
*
Author to whom correspondence should be addressed.
Agronomy 2021, 11(9), 1892; https://doi.org/10.3390/agronomy11091892
Submission received: 18 August 2021 / Revised: 3 September 2021 / Accepted: 17 September 2021 / Published: 21 September 2021
(This article belongs to the Section Grassland and Pasture Science)

Abstract

:
The anthelmintics (regularly administered to livestock to control the infections caused by parasitic worms) and their metabolites formed in treated animals are excreted to the environment. This contamination might have a negative influence on non-target organisms including plants. Our previous studies described the uptake, metabolism, and effects of anthelmintics in plants using in vitro models exposed to anthelmintic drugs in solutions. The present study was performed in clover grown in soil fertilized with manure from sheep treated with the recommended dose of albendazole (ABZ), ivermectin (IVM), or monepantel (MOP). The uptake and metabolism of drugs in clover were monitored for six weeks using UHPLC-MS/MS, and several stress markers (proline accumulation, lipid peroxidation, and antioxidant enzymes activities) were evaluated. The results showed that ABZ and MOP were absorbed, metabolized, and translocated to leaves, while IVM was detected only in the roots. No or minimal drug-response was observed in monitored stress markers, and only a temporary increase of several antioxidative enzymes activities was observed. Overall, manure from sheep treated with anthelmintics does not evoke chronic stress in clover, but it can cause the entry of anthelmintics in other organisms and the food-chain.

Graphical Abstract

1. Introduction

Veterinary drugs such as anthelmintics represent neglected but risky environmental contaminants. The anthelmintic drugs albendazole (ABZ), ivermectin (IVM), and monepantel (MOP) are regularly administered to livestock to control infections caused by nematodes. The residues of the parent drug, as well as their metabolites, are excreted in faeces or urine and released into the environment. Fields are contaminated by manure, and grasslands or meadows are contaminated directly by excrements of the grazing livestock.
ABZ is metabolized in sheep mostly to ABZ-sulphoxide and ABZ-sulphone [1,2]. The MOP is metabolized to MOP-sulphone, presenting the major metabolite, and 13 other metabolites of MOP were detected in faeces or urine of sheep [2]. Although 16 metabolites of IVM were formed in ovine hepatocytes, the extent of IVM biotransformation is very low as the IVM metabolites present only a small portion when compared to the parent compound [3]. In our previous in vivo study, operating with recommended IVM doses, we found that IVM is released to the environment in very low concentrations. Eight times lower concentration of IVM (Cmax = 0.93 µg·g−1) was detected in ovine excrements [4] compared to ABZ (Cmax = 7.7 µg·g−1) [1].
The residual anthelmintics and their metabolites released to the environment are further absorbed and accumulated by plants and may have a harmful impact. It was also suggested that plants might play an important role in the detoxification of arable land contaminated by these pharmaceutics [5]. After the xenobiotics enter the plants, plants employ a sophisticated detoxification system that comprises biotransformation and transport of xenobiotics [6]. This plant defense system includes several xenobiotic-metabolizing enzymes and the enzymes reducing oxidative stress, such as peroxidases, superoxide dismutase, catalase, and glutathione-cooperating enzymes [7,8,9,10]. Xenobiotic-mediated oxidative stress may be manifested by various changes, including increased lipid peroxidation [11] and/or proline accumulation [12].
Previous reports [13,14,15,16] prove the accumulation and biotransformation of anthelmintics in the roots as well as in the shoots in higher plants. Our previous study detected ABZ-sulfoxide, ABZ-sulfone, converted via S-oxidation, and glucosides formed via the conjugation of ABZ and ABZ-sulfoxide with UDP-glucose, as the main metabolites of ABZ in Campanula rotundifolia [13] and Plantago lanceolata [14]. Regarding the IVM, its biotransformation consists of demethylation and hydroxylation, i.e., only phase I detoxification reactions [6,9] in P. lanceolata with the hydroxylated IVM being the major metabolite [15]. The study in Medicago sativa and P. lanceolata plants revealed that most of the MOP metabolites were formed via two-step S-oxidation, reduction of carbonyl group, nitrile hydrolyses, and their combinations. Further, these metabolites were conjugated with glucose or sulfate [16]. All the above-mentioned studies were performed using the in vitro cultivated plant models exposed to the solutions of parent compounds in higher concentrations in order to detect all metabolites. However, in real conditions, plants meet anthelmintics in much lower concentration and in a mixture of residual parent compounds and their metabolites generated by livestock.
To get closer to real conditions, the present study was designed to test the uptake, accumulation, metabolism, and effects of anthelmintics and their metabolites present in manure from treated sheep using clover (Trifolium pratense), a common fodder plant. We decided to test if the manure from anthelmintic-treated livestock is safe for higher plants with no harmful impact via the increased generation of reactive oxygen species. Moreover, we would like to know what quantity of parent compounds and their metabolites are accumulated from excrements into the plant shoots, since it might have a further negative impact on increasing resistance of helminths infecting the gastrointestinal tract of grazing livestock [17]. Our present study includes three widely available broad-spectrum anthelmintics representing three classes with different structure, mode of action, as well as pharmacokinetic behavior: benzimidazole ABZ, macrocyclic lactone IVM, and amino-acetonitrile derivative MOP. We used clover plants grown in the greenhouse and fertilized with excrements from sheep treated with ABZ, IVM, or MOP. The uptake and biotransformation of anthelmintics and their metabolites by plants were analyzed using UHPLC-MS/MS. To evaluate the potential phytotoxicity of anthelmintics, we monitored parameters, such as changes in proline accumulation, lipid peroxidation, hydrogen peroxide accumulation, and changes in the activity of antioxidative enzymes involved in the plant defense system.

2. Materials and Methods

2.1. Chemicals and Reagents

The ABZ suspension Aldifal was obtained from Mikrochem s.r.o. (Pezinok, Slovakia). The IVM form of an injection, Noromectin (Norbrook Laboratories Ltd., Monaghan, Ireland) was used. MOP solution Zolvix ™ was obtained from Elanco Buenos Aires, Argentina. Nitrazon (Rhizobium mix) was purchased from Farma Žiro, s.r.o. (Nehvizdy, Czech Republic). Chemical standards of mebendazole (MBZ), ABZ, ABZ sulfoxide (ABZ-SO), ABZ sulfone (ABZ-SO2), IVM, doramectin (DOR), and L-proline were supplied by Sigma-Aldrich (Prague, Czech Republic) in analytical standard quality ≥98%. MOP and MOP sulfone (MOP-SO2) were purchased by Toronto Research Chemicals Inc (Toronto, ON, Canada) in analytical standard quality ≥98%. Acetonitrile (ACN) (UHPLC-MS quality) and ethyl acetate (HPLC quality) were purchased from VWR International s.r.o. (Prague, Czech Republic). Bradford reagent and protein standard bovine serum albumin (BSA) were purchased from Bio-Rad s.r.o. (Prague, Czech Republic). Other chemicals, solvents, and reagents, such as hydrogen peroxide, trichloroacetic acid, thiobarbituric acid, malondialdehyde, ethanol, ninhydrin, acetic acid, ethylenediaminetetraacetic acid, polyvinylpyrrolidone K 30, and Triton™ X-100, were obtained from Sigma-Aldrich s.r.o. (Prague, Czech Republic).

2.2. Animals, Treatment with Anthelmintics

The faeces were collected from sheep (Texel breed, males, 7–9 months old; farm Dibaq a.s., Helvíkovice, Chzech Republic) 24–48 h after the treatment with anthelmintic drugs in the recommended dosages per body weight (b.w.) and mixed in 1:1 proportion (from two collecting periods). One group of sheep was treated with suspension Aldifal (ABZ, 10 mg·kg−1 b.w.), the second group with Zolvix ™ (MOP 2.5 mg·kg−1 b.w.), and the third group was treated subcutaneously with Noromectin (IVM 0.2 mg·kg−1 b.w.). Faeces samples containing ivermectin were used to determine pharmacokinetics in the faeces of sheep in a previous work described by Vokral et al. [4] and were used for this study. Faeces from untreated lambs/sheep were used as a control. All faeces collected from sheep were stored at −20 °C until applied to plants.

2.3. Preparation of Standards, Working Solutions, Calibration Standards

For calibration curve preparation, the anthelmintics and metabolites were dissolved in the mobile phase as well as in the matrix to avoid matrix effects. For ABZ related compounds, the calibration curves were prepared at eight calibration points with concentrations ranging from 0.002653 to 1.326 µg·mL−1 for ABZ, 0.002813–1.4065 µg·mL−1 for ABZ-SO, and 0.002973–1.4865 µg·mL−1 for ABZ-SO2. For MOP related compounds, the calibration curves were prepared at eight calibration points with concentrations ranging from 0.237 to 1.893 µg·mL−1 for MOP and 0.25269–2.021 µg·mL−1 for MOP-SO2. MBZ (internal standard) was present in each calibration sample in the concentration 1.476 µg·mL−1. The sample preparation procedure used for calibration samples was the same as in Section 2.6. Relevant information regarding IVM is available in the article written by Vokral et al. [4].

2.4. The Extraction of Anthelmintics from Feaces for LC/MS Analysis

Prior to the extraction, the faeces samples needed to be dried in the oven at 30 °C to unify the moisture content. For ABZ, the extraction method was based on the two-step LLE extraction technique. One gram of dry samples of faeces was transferred into 50 mL tubes with 13 mL of water (pH = 10). Then, the internal standard was added (10 µL, 100 µM). The samples were shaken (30 min) in multi-vortexer Multi Reax (Heidolph, Schwabach, Germany). Afterwards, ethyl acetate (27 mL) was added and then shaken (1 h), followed by centrifugation (3000× g; 20 min) in Eppendorf centrifuge 5810 R. The upper organic layer (21 mL) was gradually evaporated to dryness in 5 mL centrifugation tubes in Eppendorf Concentrator plus (Eppendorf, Hamburg, Germany) at 30 °C. The extraction procedure was repeated and both supernatants (42 mL) were pooled in one tube. All samples were stored at −20 °C.
A simple extraction method with acetonitrile was used for the MOP. One gram of dry faeces was transferred into 15 mL tubes with 5 mL of water and IS standard (10 µL, 100 µM) was added. The samples were shaken (30 min) in a multi-vortexer Multi Reax (Heidolph, Schwabach, Germany). Then, acetonitrile (6 mL) was added, again vigorously shaken (30 min), followed by sonication in the water bath (10 min) and with centrifugation (3000× g; 20 min) in Eppendorf centrifuge 5810 R. The upper layer (4.5 mL) was then transferred into 5 mL centrifugation tubes and evaporated to dryness in a vacuum rotary evaporator at 30 °C. The extraction step was repeated once more with fresh acetonitrile. All samples were stored at −20 °C.
The extraction method for IVM is further described in Vokral et al. [4].

2.5. Plant Material, Growth Conditions/Stress Treatments, and Extraction

The seeds of Trifolium pratense (tetraploid var. Beskyd), purchased from AROS-osiva s.r.o. (Prague, Czech Republic), were sowed using commercial compost Agro Profi from Agro CS a.s. (Říkov, Czech Republic) into pots (15 × 15 × 20 cm) in a greenhouse (air-conditioned to 23 °C, relative humidity 60%). The day light was supplemented with artificial light (sodium discharge lamps, 400 W, an average irradiation of 72 µmol∙m−2 at the plants’ surfaces, and the horizontal differences in irradiation were <20%) to maintain the photoperiod 16/8 h. One week after sowing, the soil was supplemented with nitrazon (Rhizobium mix; Farma Žiro, s.r.o., Nehvizdy, Czech Republic). After three weeks, 9 g of faeces (of treated or untreated sheep) were added into each pot. The faeces were evenly dispersed on the soil surface. The plants cultivated in soil with faeces of untreated sheep were used as a control. Plants were regularly watered with tap water on the top of the substrate in order to allow continuous decomposition of faeces to the substrate and to keep an optimal moisture of 40–60%.
Plant samples (clover shoots) were collected 3, 10, 21, and 42 days after applying the faeces. Shoots were placed immediately into liquid nitrogen and stored under −80 °C until analyses for stress markers. Two independent experiments (cultivations) were performed.
The plant tissue samples (35–50 mg) were homogenized (2 × 40 s; 6 m/s) with ultrapure-water (2.5 mL; pH adjusted with ammonia to 10) using the beads homogenizer FastPrep-24 (MP Biomedicals, Santa Ana, CA, USA). Prior to extraction, proper internal standard DOR or MBZ (100 µM, × 10 µL) were added to the samples. The homogenates were subjected to liquid-liquid extraction (LLE) with ethyl acetate (7.5 mL) as an extraction solvent. Then, the samples were shaken (30 min) in the multi-vortexer Multi Reax (Heidolph, Schwabach, Germany) and centrifugated (3000× g; 15 min) in Eppendorf centrifuge 5810 R (Eppendorf, Germany). The ethyl acetate (5 mL) was transferred into an HPLC vial and evaporated to dryness (30 °C) using Eppendorf Concentrator plus (Eppendorf, Hamburg, Germany). All samples were stored at −20 °C.

2.6. UHPLC-MS/MS Analysis–Instrumental and Operating Conditions

Prior to analyses, the dried samples were reconstituted in ACN (30 µL), vortexed (30 s), and ultra-pure water (70 µL) was then added. The mixture was vortexed (30 s) and sonicated (5 min). The samples were filtered through PTFE syringe filters (4 mm; 0.22 µm) and placed into glass vials with inserts. The standard samples underwent the same procedure. A UHPLC Shimadzu Nexera coupled with Shimadzu LCMS-8030 (Shimadzu, Kyoto, Japan) triple quadrupole mass spectrometer was employed to analyse all the samples. A Zorbax RRHD Eclipse Plus C18 150 mm × 2.1 mm chromatographic column (Agilent Technologies, Waldbronn, Germany), packed with 1.8 µm particles and precolumn Zorbax RRHD Eclipse Plus C18 5 mm × 2.1 mm, was used for all separations. Three different chromatography and mass spectrometry conditions were used because of the different physical-chemical properties of the compounds of interest. For IVM samples, the UHPLC-MS conditions are completely described by Vokral et al. [4]. The chromatographic conditions for ABZ and MOP are described in Section 2.6.1 and Section 2.6.2. The chromatographic conditions for IVM are described completely by Vokral et al. [4].
An internal calibration method was used to determine the amount of the compounds of concern in faeces. This method could not be applied to plant samples because the amount of the compounds was below the quantification limits of the methods. Therefore, a method of semi-quantification based on the response factor was chosen. The response factor is determined as the ratio of the peak area of the sample to the peak area of the internal standard.
Mebendazole (MBZ) was used as an internal standard (IS) for normalization of the peak areas of the compounds to correct errors created in the sample preparation steps. The data were analysed using LabSolution LCMS software ver. 5.93 (Shimadzu, Kyoto, Japan). Biological and chemical blank samples were prepared.

2.6.1. ABZ UHPLC-MS Conditions

The analytical column was kept under the temperature of 40 °C. The flow rate was set at 0.4 mL/min, and injection volume at 1 µL. The composition of the mobile phase was water (solvent A) and acetonitrile (solvent B), both with an addition of 0.1% formic acid. The gradient elution conditions were set as follows: 0 min 15% B, 8 min 40% B, 10 min 95% B, and 10–11 min 95% B. Equilibration of the gradient at 15% B was held from 11 to 14.5 min. All measurements were carried out in the positive ion ESI mode, as this mode provides better sensitivity for the studied compounds. The mass spectrometer was operated in selected reaction monitoring (SRM) mode by monitoring three selected ion transitions. The mass spectrometric parameters were determined through direct injection of standard solutions of ABZ, ABZ-SO, ABZ-SO2, and MBZ into the instrument.
The optimum MS parameters of the ion source were: capillary voltage 4.5 kV, heat block temperature 400 °C, DL line temperature 250 °C. The flow rates of dying gas and nebulizing gas were set at 13 L/min and 2.5 L/min, respectively. Argon was used as a collision gas with a pressure value of 230 kPa.

2.6.2. MOP UHPLC-MS Conditions

The analytical column was kept under the temperature 40 °C. The flow rate was set at 0.3 mL/min, and injection volume at 1 µL. The mobile phase consisted of 0.005 mol/L ammonium acetate buffer (solvent A) and acetonitrile (solvent B). The gradient elution conditions were set as follows: 0 min 50% B, 7 min 95% B, 7–8 min 95% B. Equilibration of the gradient at 50% B was held from 8 to 10 min. All measurements were carried out in the negative ion ESI mode because it provides better sensitivity for analytes. The mass spectrometer was operated in SRM mode by monitoring three selected ion transitions. The mass spectrometric parameters were determined through a direct infusion of standard solutions of MOP, MOP-SO2, and MBZ into the instrument.
The optimum MS parameters of the ion source were: capillary voltage 4.5 kV, heat block temperature 400 °C, DL line temperature 250 °C. The flow rates of dying gas and nebulizing gas were set at 8 L/min and 3 L/min, respectively. Argon was used as a collision gas with a pressure value of 230 kPa.

2.7. Hydrogen Peroxide Content

The production of reactive oxygen species (ROS) in clover shoots was evaluated via hydrogen peroxide (H2O2) concentration. The iodometric assay was used to determine H2O2 content [18]. Fresh leaves (1 g) were homogenized and extracted in 10 mL of 0.1% Trichloroacetic acid (TCA). The H2O2 standard solutions were prepared in 0.1% TCA. The extracts were centrifuged (1300× g, 4 °C, 15 min.; Centrifuge Hettich Universal 32R, Tuttlingen, Germany). The supernatant and standard solutions were added to the reaction mixture. Further, the reaction mixture consisting of the supernatant in 1% TCA, 10 mM phosphate buffer, and 1 M KI (1:2:2 v/v; pH 7) was incubated in dark at room temperature for 20 min. Each sample has a duplicate where 1 M KI was replaced with deionized H2O as a reference value to subtract the plant tissue background. After incubation, the absorbance was measured at 350 nm in 96 flat bottom clear UV transparent microplates using a microplate reader (Tecan Infinite 200 PRO, Tecan Austria GmbH, Grödig, Austria). The H2O2 was quantified according to calibration curve (0.5; 1.0; 2.5; 5.0; 10.0; 25.0; and 50.0 nM).

2.8. Lipid Peroxidation

The changes in lipid peroxidation in response to anthelmintic metabolites was measured by estimating malondialdehyde (MDA), a product of lipid peroxidation [19]. The fresh leaves were extracted in 0.1% TCA (as described in Section 2.7). The extracts were centrifuged (1300× g, 4 °C, 20 min.; Centrifuge Hettich Universal 32R, Tuttlingen, Germany) and the supernatant was added to the reaction mixture that consists of 20% TCA with 0.5% Thiobarbituric acid (TBA) in a ratio 4:1 (v/v), then incubated for 30 min at 95 °C on ice. The reference samples were incubated in the reaction mixture without TBA. The samples were cooled down for 5 min, centrifuged (1300× g, 4 °C, 10 min), and the absorbance at 532, 600, and 440 nm was measured in the supernatant using a microplate reader. The MDA was calculated according to the following quotations [20]:
[(Abs 532+TBA) − (Abs 600+TBA) − (Abs 532−TBA − Abs 600−TBA)] = A
[(Abs 440+TBA − Abs 600+TBA) × 0.0571] = B
MDA equivalents (nmol × mL−1) = (A − B)/157,000) × 1,000,000

2.9. Proline Content

The proline accumulation was determined from fresh leaves homogenized in 40% (v/v) ethanol (500 mg FW in 10 mL of 40% EtOH) and incubated overnight [21]. After centrifugation, the supernatants were incubated with 1% ninhydrin (w/v), 60% acetic acid (v/v), and 20% ethanol (v/v), in a water bath at 95 °C for 20 min. The mixture was cooled directly after incubation and the absorbance was measured at 520 nm by a microplate reader (Tecan Infinite 200 PRO, Tecan Austria GmbH, Grödig, Austria). Proline quantification was based on a calibration curve (0.04, 0.1, 0.2, 0.4, and 1.0 mM) with a standard L-Proline.

2.10. Enzyme Extraction and Antioxidative Enzyme Activity Assays

Plant samples (1 g FW) were homogenized in 10 mL of chilled 50 mM Potassium phosphate buffer (pH 7.0), supplemented with 0.1 mM Ethylenediaminetetraacetic acid, 1% Polyvinylpyrrolidone K 30, and 0.5% Triton X-100, at 4 °C. The extracts were centrifuged, and the supernatant was used for determining the activities of enzymes involved in antioxidant defense machinery, protecting the plants against oxidative stress damages [22]. The protein content was determined using a Bradford reagent [23] and BSA as a protein standard (125–1000 µg × mL−1).
The activity of guaiacol peroxidase (POX) and catalase (CAT) was assayed according to Hasanuzzaman et al. [24]. Ascorbate peroxidase (APX) was assayed as described by Nakano and Asada [25]. Glutathione S-transferase (GST), using 1-Chloro-2,4-dinitrobenzene as substrate, was assayed according to Hossain et al. [26]. Glutathione reductase (GR) was assayed according to Bonilla et al. [27] and Carlberg and Mannervik [28]. The activity was calculated in mM min−1 mg−1 of protein and expressed in percent comparing to control (plants cultivated with the manure of untreated sheep). Superoxide dismutase (SOD) was determined according to El-Shabrawi et al. [29], with the activity calculated in U mg−1 of protein and expressed in percent comparing to control.

2.11. Statistical Analysis

All analyses were performed out of samples from three individual plants in each treatment and in each experiment (the whole experiment was repeated twice). The samples were measured at least in triplicate with 3–5 technical replicates according to a particular assay. Results were expressed as an arithmetic mean ± SD (n = 3) indicated with error bars in charts. Data were analyzed by STATISTICA software (StatSoft, TIBCO Software Inc.), subjected to t-test to determine the statistical difference of each particular treatment individually in comparison to control at p ≤ 0.01 or p ≤ 0.05 according to the data set. For the UHPLC-MS/MS analysis, all samples were prepared in triplicate, with the data presented as an arithmetic mean ± SD (n = 3).

3. Results

3.1. Hydrogen Peroxide Accumulation and Lipid Peroxidation in Response to Anthelmintics and Their Metabolites

The generation of reactive oxygen species (ROS) as a result of abiotic stress in plants was evaluated via the quantification of hydrogen peroxide (H2O2) in clover shoots. Peroxidation of membrane lipids was evaluated via the determination of the content of malondialdehyde (MDA), a final product of the peroxidation of unsaturated fatty acids in phospholipids [11]. No manure from anthelmintics-treated sheep caused a generation of H2O2 or elevation of lipid peroxidation in clover shoots (Figure 1). We observed a rather slight decrease of lipid peroxidation in response to IVM-containing manure (shortly after application).

3.2. Proline Accumulation

The accumulation of proline in response to anthelmintics and their metabolites was evaluated and only a moderate upregulation (p = 0.024) after long exposure of MOP was observed (Figure 2).

3.3. Antioxidative Enzymes Activities

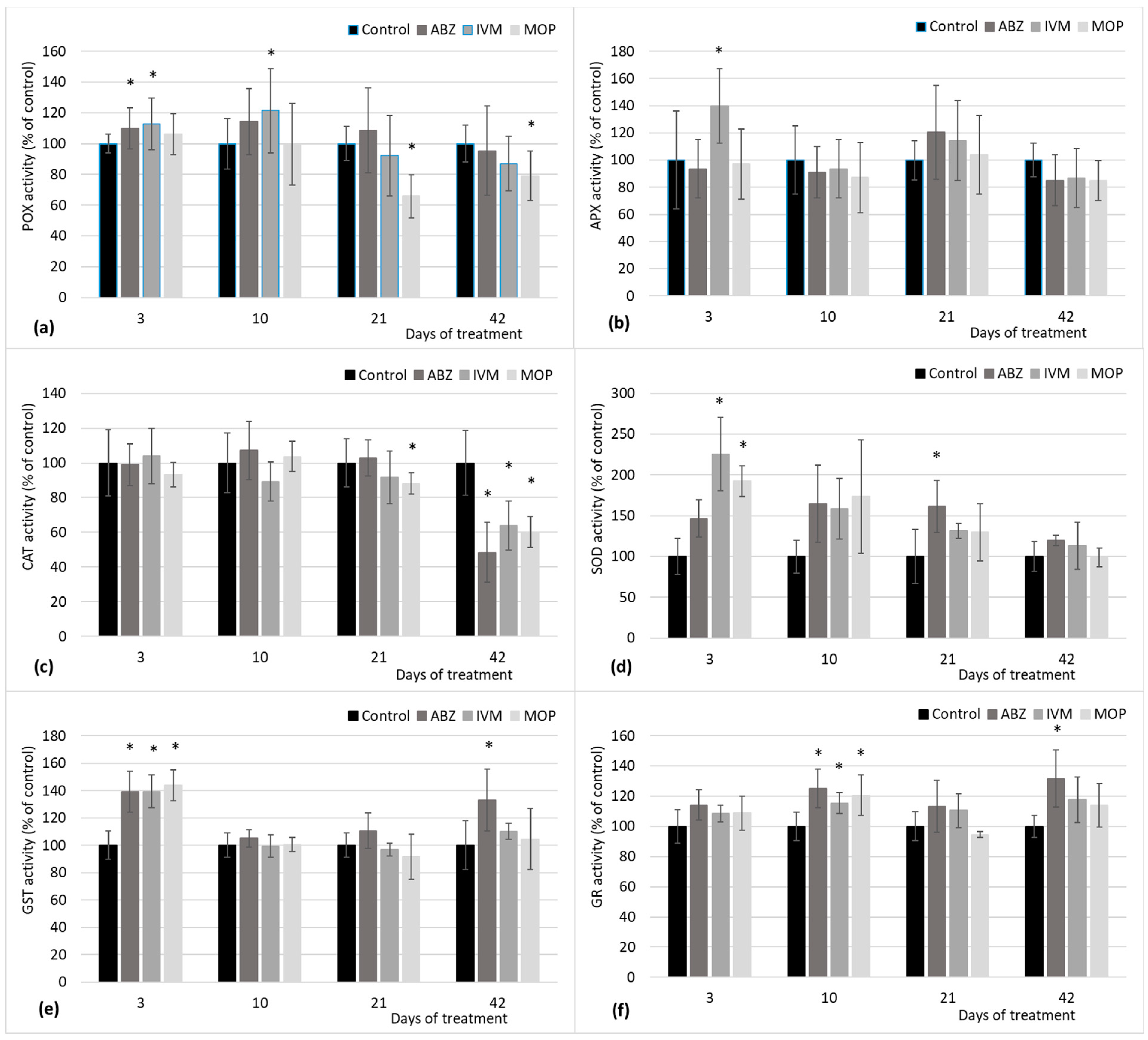
The activity of the antioxidant defense system, comprising several enzymes, was evaluated via the determination of the activity of guaiacol peroxidase (POX), ascorbate peroxidase (APX), catalase (CAT), superoxide dismutase (SOD), glutathione S-transferase (GST), and glutathione reductase (GR).
The activity of POX ranged between 0.92 and 1.88 mmol∙min−1∙mg−1 of protein during the whole cultivation period in all treatments including control. The activity of APX reached values around 9 mmol∙min−1∙mg−1 of protein at the beginning after application of faeces and decreased to 5 mmol∙min−1∙mg−1 of protein 42 days after faeces application on average for all treatments including control. The activity of CAT ranged between 1000 and 2700 mmol∙min−1∙mg−1 of protein during the whole cultivation period in all treatments including control. The activity of SOD increased from 5 U∙mg−1 of protein in average at the beginning of cultivation to 31 U∙mg−1 of protein in average at the end of cultivation period. The activity of GST ranged between 0.11 to 0.18 mmol∙min−1∙mg−1 of protein during the whole cultivation period in all treatments including control. Finally, the activity of GR ranged between 0.21 and 0.47 mmol∙min−1∙mg−1 of protein during the whole cultivation period in all treatments including control.
No dramatic changes were observed in the activity of antioxidant enzymes in response to anthelmintics (Figure 3). In the beginning, a moderate increase in POX, APX, SOD, and GST activity was observed in comparison to control, mostly in response to IVM. After six weeks of cultivation, we observed an increase in GST and GR in response to ABZ. ABZ caused also an increase in SOD activity after three weeks of cultivation. Contrarily, the decrease in POX and CAT activities were observed after three and six weeks of cultivation in response to MOP. A significant decrease in CAT activity was observed also in response to IVM and ABZ after six weeks.

3.4. Content of ABZ, IVM, MOP and Respective Transformation Products in Ovine Faeces and Clover Plants

The results of the quantification of the compounds and their transformation products in faeces samples (used for faeces aplication) are presented in Table 1.
The results presented in Table 1 demonstrate that experimental plants in this study were treated with 144.45 µg of ABZ and its transformation products, with 6048 µg of MOP and its transformation product, and with 8.37 µg of IVM.
The results of changes in the relative amounts of the parent drugs, ABZ and MOP, and main transformation products, ABZ-SO, ABZ-SO2, and MOP-SO2, in the Trifolium pratense shoots after a single application of faeces from treated sheep at days 3, 10, 21, and 42 days is presented in Figure 4. The relative amount of the compounds is normalized to 1 g of lyophilized plant samples. The IVM was not found in clover plants.
The results show that ABZ, ABZ-SO, as well as ABZ-SO2 were accumulated in plants continuously following the initial application and biodegraded almost completely after six weeks in clover shoots.
On the contrary, MOP and MOP-SO2 were largely accumulated at the beginning after the application and further quickly degraded. After three weeks, the amount of accumulated drugs remain stable until six weeks of cultivation.

4. Discussion

The increased generation of reactive oxygen species (ROS) is generally a known response of plants to adverse environmental conditions. The increased ROS levels cause the severe destruction of cell organelles and their functions and ultimately may cause cell death. In order to maintain the balance of ROS at non-damaging levels, plants activate the antioxidant defense system [11,30,31].
As noted in the introduction part, the possible toxic effect of anthelmintics in plants was evaluated in in vitro models using high concentrations of parent compounds. The simple phytotoxicity test using the “seed germination and early root length assay” revealed significant toxicity of IVM even at the lowest concentration of 50 nM tested on mustard seeds [4]. On the other hand, neither ABZ nor ABZ-SO showed a toxic effect using this assay in mustard seeds [1], and similarly, MOP showed no toxic effect in alfalfa seeds [16]. Similar results were obtained by toxicity assay in Arabidopsis thaliana cells where IVM decreased the viability of cells at 0.1 µM concentration, while ABZ decreased the viability at 10 µM and MOP had even inverse effect (increased viability) at 1 µM concentration (unpublished data). In a study on Campanula rotundifolia cells, only moderate acute toxicity of ABZ was observed [13].
According to analyses quantifying the content of anthelmintics in ovine faeces, it is evident that, in real conditions, drugs are released to the environment in low doses and each drug in quite different amounts. Very low IVM concentrations with no metabolites were detected in ovine faeces [4]. On the contrary, 17 times higher concentrations of ABZ and its metabolites, and over 700 times higher concentrations of MOP and its metabolites, when compared to IVM (see Table 1), were detected in ovine faeces. The stress expressed in plants is a dose-dependent matter and very low doses of xenobiotics might even have an opposite effect, i.e., stimulate the plant metabolism and growth [32]. Thus, we would like to know the effect of anthelmintics and their metabolites in real concentrations and conditions, i.e., in manure from sheep treated with anthelmintics in the course of regular deworming.
Our results showed no increased generation of H2O2 compared with the control during the whole period of cultivation after the application of faeces from treated sheep, not even in plants, where the uptake of the parent as well as metabolized (monitored) compounds of ABZ and MOP were confirmed from the third day, as the H2O2 is the most stable of other ROS and a key ROS product in reaction to several stress conditions [29,30]. In addition, no over accumulation of MDA, a product of the per-oxidized membrane lipids usually associated with stress response in plants [33], was detected.
Proline is classified as an osmoprotectant, playing a protective role against the toxic effect of ROS, protein denaturation, and damage of cell structures. It is upregulated in plants under environmental stress [12]. Moderate acute toxicity expressed by increased proline accumulation in alfalfa roots was observed shortly after the in vitro cultivated plants were transferred to a medium with MOP [16]. By contrast, the IVM caused increased proline accumulation after long term exposure in in vitro cultivated plants of Plantago lanceolata [15]. In a study on in vitro cultivated Medicago sativa, only ABZ (out of all tested anthelmintics) decreased proline content, and this trend was observed only in shoots (unpublished data). Although proline tends to accumulate early after stress exposure [34], in our study simulating the real conditions, we observed moderate upregulation after long exposure in response to MOP only. MOP is considered less toxic according to our previous results. The proline accumulation can even increase by a hundred times under stressful conditions [35]. Therefore, our results show an insignificant stress impact of anthelmintics on plant osmoprotection.
Regarding the enzymatic antioxidant defense system, we observed an increased CAT activity shortly after the exposure to IVM in Plantago lanceolata in vitro regenerants and a decreasing tendency in APX activity following up to six days of cultivation in our previous study in in vitro conditions [15]. The present study simulating the real exposure to anthelmintics showed activation of GST as a response to all anthelmintics, shortly after the application of faeces from treated sheep. GSTs are multifunctional enzymes and several reports state that GST enzymes are involved in the plant detoxification system [31,36]. Therefore, the increased activation of GST is logical, considering the fact that ABZ and MOP accumulation was detected in clover shoots immediately after the application of contaminated faeces. This observation also supports the presumption that IVM was accumulated as well, although not detected in shoots. GSTs catalyze the nucleophilic attack of the sulphur atom of glutathione [31]. Glutathione is one of the non-enzymatic antioxidants, and thus is accumulated in response to oxidative stress conditions. Increased GST activity after three days was followed in our study by increased GR activity after 10 days, coincidently in response to all applied anthelmintics. The role of GR in the plant defense system is to maintain a high ratio of oxidized/reduced glutathione under various abiotic stresses. GR converts oxidized glutathione to reduced glutathione and thus helps to maintain the glutathione pool [31,37]. The major activity of GR is reported in chloroplast, where it plays an essential role in photoprotection, while the mitigation of oxidative stress is associated with GR activity in mitochondria and cytosol [30,31]. This indicates that the anthelmintics might suppress the light sensitivity of plants.
The moderate upregulation of GST and GR was observed also after long exposure of faeces from sheep treated with ABZ. The accumulation of ABZ and its metabolites in clover was detected in a continuous manner until almost degraded after six weeks. The response in increased GST and GR activity in a later phase of cultivation indicates that ABZ was gradually transported and degraded in shoot and resulted in continuous detoxification mechanism and over-accumulation of oxidized glutathione.
After three days, the application of faeces from sheep treated with IVM resulted in increased activity of not only GST, but also POX, APX, and SOD. Although the level of increase was not significant, except for SOD, this observation was surprising regarding the fact that no accumulation of IVM was detected in clover shoots three days after exposure. Actually, no accumulation of IVM was detected in clover shoots during the whole cultivation, or the content remains under the detection limit.
Stress-accrued ROS levels are in the first line usually reduced with SOD that converts superoxide radical (O2) to a product with a lower oxidation state, H2O2 and O2. The H2O2 is further converted by CAT and POX to prevent the harmful formation of ROS [10,31]. The frontline strategy of SOD was proven by increased activity shortly after the application in response not only to IVM, considered as slightly phytotoxic, but also to MOP, considered non-phytotoxic, but accumulated more massively in plants at the beginning of co-cultivation. The in vitro studies suggesting that MOP might have a rather stimulating effect is proven by the decreased enzyme activity of POX and CAT after three weeks and which remained decreased after up to six weeks of cultivation. CAT activity was also decreased after long exposure to faeces from sheep treated with ABZ and IVM. Together with other peroxidases, CAT modulate H2O2 level within cells, while CAT scavenges the major part of H2O2, and the APX and GR finely regulate the balance in cellular H2O2 levels [38]. In our study, no upregulation of CAT was observed, since no massive H2O2 overproduction was detected. On the contrary, CAT was downregulated after long exposure to all tested anthelmintics, and this reaction could be in response to slow decreasing H2O2 generation in plants, and also signify that anthelmintics do not induce photooxidative stress in plants [30]. Similarly, no seriously increased APX activity was observed in our study. Only moderate upregulation was observed shortly after the application of faeces from sheep treated with IVM, where the complex enzymatic antioxidant defense system was activated. Normal APX activity seems logical due to the findings that APX is crucial for photoprotection and is also involved in plant defense to heat and drought stress and wounding [30], and thus is not involved in xenobiotic detoxification machinery. Similarly, POX, which serves as a second line in defense system and scavenges the extracellular H2O2 [31], was moderately upregulated shortly after exposure to IVM and ABZ. This may indicate ROS generation in extracellular space in response to anthelmintics. The POX was further downregulated after long exposure to MOP in comparison to plants that were not exposed to anthelmintics.

5. Conclusions

In summary, anthelmintics are accumulated from applied manure quickly after the application and transported into the shoots. However, the IVM probably remained in undetectable levels. As suggested, the ROS levels increased rather by the application of faeces itself, and as a response to anthelmintic accumulation the increased GST activity was observed followed by increased GR activity after 10 days from application. Overall, anthelmintics cause no serious stress in higher plants. Only moderate upregulation of the antioxidant enzymatic defense system efficiently maintaining the balance of ROS levels was activated, and thus no significant overaccumulation of H2O2 was observed during the cultivation.
Although IVM is released into the environment in the lowest concentration, our previous studies suggest that this molecule has the most harmful impact on plants. Contrarily, MOP exhibits no toxicity in in vitro studies as well as in the presented study simulating real conditions. The important message of this study is that the anthelmintic drugs metabolized by the gastrointestinal system of livestock are released and further absorbed by plants into the upper parts, which represent the risk for all herbivores (from invertebrates to mammals). In addition, the livestock (infected by helminths) grazing on these plants absorb traces of anthelmintics, which may promote the development of drug-resistance in helminths [39].

Author Contributions

Conceptualization, L.L.; methodology, L.L., M.N. and K.M.; validation, M.N. and K.M.; formal analysis, M.N., K.M. and R.P.; investigation, L.L. and L.S.; resources, L.S.; data curation, L.L.; writing—original draft preparation, L.L.; writing—review and editing, L.S. and M.N.; visualization, R.P.; supervision, L.L.; project administration, L.S.; funding acquisition, L.L. and L.S. All authors have read and agreed to the published version of the manuscript.

Funding

This research was funded by the Grant Agency of the Czech Republic [18-07724S], and by the Ministry of Education, Youth, and Sports of the Czech Republic from the European Regional Development Fund-Project “Centre for Experimental Plant Biology” [CZ.02.1.01/0.0/0.0/16_019/0000738].

Conflicts of Interest

The authors declare no conflict of interest. The funders had no role in the design of the study; in the collection, analyses, or interpretation of data; in the writing of the manuscript, or in the decision to publish the results.

References

  1. Prchal, L.; Podlipna, R.; Lamka, J.; Dedkova, T.; Skalova, L.; Vokral, I.; Lecova, L.; Vanek, T.; Szotakova, B. Albendazole in environment: Faecal concentrations in lambs and impact on lower development stages of helminths and seed germination. Environ. Sci. Pollut. Res. 2016, 23, 13015–13022. [Google Scholar] [CrossRef]
  2. Stuchlikova, L.; Jirasko, R.; Vokral, I.; Valat, M.; Lamka, J.; Szotakova, B.; Holcapek, M.; Skalova, L. Metabolic pathways of anthelmintic drug monepantel in sheep and in its parasite (Haemonchus contortus). Drug Test. Anal. 2014, 6, 1055–1062. [Google Scholar] [CrossRef]
  3. Vokral, I.; Jedlickova, V.; Jirasko, R.; Stuchlikova, L.; Bartikova, H.; Skalova, L.; Lamka, J.; Holcapek, M.; Szotakova, B. The metabolic fate of ivermectin in host (Ovis aries) and parasite (Haemonchus contortus). Parasitology 2013, 140, 361–367. [Google Scholar] [CrossRef] [Green Version]
  4. Vokral, I.; Sadibolova, M.; Podlipna, R.; Lamka, J.; Prchal, L.; Sobotova, D.; Lokvencova, K.; Szotakova, B.; Skalova, L. Ivermectin environmental impact: Excretion profile in sheep and phytotoxic effect in Sinapis alba. Ecotoxicol. Environ. Saf. 2019, 169, 944–949. [Google Scholar] [CrossRef]
  5. Bartikova, H.; Skalova, L.; Stuchlikova, L.; Vokral, I.; Vanek, T.; Podlipna, R. Xenobiotic-metabolizing enzymes in plants and their role in uptake and biotransformation of veterinary drugs in the environment. Drug Metab. Rev. 2015, 47, 374–387. [Google Scholar] [CrossRef] [PubMed]
  6. Sandermann, H. Higher-plant metabolism of xenobiotics—The green liver concept. Pharmacogenetics 1994, 4, 225–241. [Google Scholar] [CrossRef] [PubMed]
  7. Bela, K.; Horvath, E.; Galle, A.; Szabados, L.; Tari, I.; Csiszar, J. Plant glutathione peroxidases: Emerging role of the antioxidant enzymes in plant development and stress responses. J. Plant Physiol. 2015, 176, 192–201. [Google Scholar] [CrossRef] [PubMed]
  8. Nianiou-Obeidat, I.; Madesis, P.; Kissoudis, C.; Voulgari, G.; Chronopoulou, E.; Tsaftaris, A.; Labrou, N.E. Plant glutathione transferase-mediated stress tolerance: Functions and biotechnological applications. Plant Cell Rep. 2017, 36, 791–805. [Google Scholar] [CrossRef] [PubMed]
  9. Verkleij, J.A.C.; Golan-Goldhirsh, A.; Antosiewisz, D.M.; Schwitzguebel, J.P.; Schroder, P. Dualities in plant tolerance to pollutants and their uptake and translocation to the upper plant parts. Environ. Exp. Bot. 2009, 67, 10–22. [Google Scholar] [CrossRef]
  10. Gill, S.S.; Anjum, N.A.; Gill, R.; Yadav, S.; Hasanuzzaman, M.; Fujita, M.; Mishra, P.; Sabat, S.C.; Tuteja, N. Superoxide dismutase-mentor of abiotic stress tolerance in crop plants. Environ. Sci. Pollut. Res. 2015, 22, 10375–10394. [Google Scholar] [CrossRef] [PubMed]
  11. Anjum, N.A.; Sofo, A.; Scopa, A.; Roychoudhury, A.; Gill, S.S.; Iqbal, M.; Lukatkin, A.S.; Pereira, E.; Duarte, A.C.; Ahmad, I. Lipids and proteins-major targets of oxidative modifications in abiotic stressed plants. Environ. Sci. Pollut. Res. 2015, 22, 4099–4121. [Google Scholar] [CrossRef]
  12. Zulfiqar, F.; Akram, N.A.; Ashraf, M. Osmoprotection in plants under abiotic stresses: New insights into a classical phenomenon. Planta 2020, 251, 1–17. [Google Scholar] [CrossRef] [PubMed] [Green Version]
  13. Stuchlikova, L.; Jirasko, R.; Skalova, L.; Pavlik, F.; Szotakova, B.; Holcapek, M.; Vanek, T.; Podlipna, R. Metabolic pathways of benzimidazole anthelmintics in harebell (Campanula rotundifolia). Chemosphere 2016, 157, 10–17. [Google Scholar] [CrossRef] [PubMed]
  14. Raisova, L.S.; Podlipna, R.; Szotakova, B.; Syslova, E.; Skalova, L. Evaluation of drug uptake and deactivation in plant: Fate of albendazole in ribwort plantain (Plantago laceolata) cells and regenerants. Ecotoxicol. Environ. Saf. 2017, 141, 37–42. [Google Scholar] [CrossRef] [PubMed]
  15. Navratilova, M.; Stuchlikova, L.R.; Skalova, L.; Szotakova, B.; Langhansova, L.; Podlipna, R. Pharmaceuticals in environment: The effect of ivermectin on ribwort plantain (Plantago lanceolata L.). Environ. Sci. Pollut. Res. 2020, 27, 31202–31210. [Google Scholar] [CrossRef]
  16. Stuchlikova, L.R.; Jakubec, P.; Langhansova, L.; Podlipna, R.; Navratilova, M.; Szotakova, B.; Skalova, L. The uptake, effects and biotransformation of monepantel in meadow plants used as a livestock feed. Chemosphere 2019, 237, 124434. [Google Scholar] [CrossRef] [PubMed]
  17. Matouskova, P.; Vokral, I.; Lamka, J.; Skalova, L. The Role of Xenobiotic-Metabolizing Enzymes in Anthelmintic Deactivation and Resistance in Helminths. Trends Parasitol. 2016, 32, 481–491. [Google Scholar] [CrossRef]
  18. Darwish, M.; Vidal, V.; Lopez-Lauri, F.; Alnaser, O.; Junglee, S.; El Maataoui, M.; Sallanon, H. Tolerance to clomazone herbicide is linked to the state of LHC, PQ-pool and ROS detoxification in tobacco (Nicotiana tabacum L.). J. Plant Physiol. 2015, 175, 122–130. [Google Scholar] [CrossRef]
  19. Hasanuzzaman, M.; Nahar, K.; Alam, M.M.; Bhuyan, M.H.M.B.; Oku, H.; Fujita, M. Exogenous nitric oxide pretreatment protects Brassica napus L. seedlings from paraquat toxicity through the modulation of antioxidant defense and glyoxalase systems. Plant Physiol. Biochem. 2018, 126, 173–186. [Google Scholar] [CrossRef] [PubMed]
  20. Hodges, D.M.; DeLong, J.M.; Forney, C.F.; Prange, R.K. Improving the thiobarbituric acid-reactive-substances assay for estimating lipid peroxidation in plant tissues containing anthocyanin and other interfering compounds. Planta 1999, 207, 604–611. [Google Scholar] [CrossRef]
  21. Sanchez-Martin, J.; Heald, J.; Kingston-Smith, A.; Winters, A.; Rubiales, D.; Sanz, M.; Mur, L.A.J.; Prats, E. A metabolomic study in oats (Avena sativa) highlights a drought tolerance mechanism based upon salicylate signalling pathways and the modulation of carbon, antioxidant and photo-oxidative metabolism. Plant Cell Environ. 2015, 38, 1434–1452. [Google Scholar] [CrossRef] [PubMed] [Green Version]
  22. Gill, S.S.; Tuteja, N. Reactive oxygen species and antioxidant machinery in abiotic stress tolerance in crop plants. Plant Physiol. Biochem. 2010, 48, 909–930. [Google Scholar] [CrossRef]
  23. Bradford, M.M. Rapid and sensitive method for quantitation of microgram quantities of protein utilizing principle of protein-dye binding. Anal. Biochem. 1976, 72, 248–254. [Google Scholar] [CrossRef]
  24. Hasanuzzaman, M.; Hossain, M.A.; Fujita, M. Nitric oxide modulates antioxidant defense and the methylglyoxal detoxification system and reduces salinity-induced damage of wheat seedlings. Plant Biotechnol. Rep. 2011, 5, 353–365. [Google Scholar] [CrossRef]
  25. Nakano, Y.; Asada, K. Hydrogen-peroxide is scavenged by ascorbate-specific peroxidase in spinach-chloroplasts. Plant Cell Physiol. 1981, 22, 867–880. [Google Scholar]
  26. Hossain, M.Z.; Hossain, M.D.; Fujita, M. Induction of pumpkin glutathione S-transferases by different stresses and its possible mechanisms. Biol. Plant. 2006, 50, 210–218. [Google Scholar] [CrossRef]
  27. Bonilla, M.; Denicola, A.; Novoselov, S.V.; Turanov, A.A.; Protasio, A.; Izmendi, D.; Gladyshev, V.N.; Salinas, G. Platyhelminth mitochondrial and cytosolic redox homeostasis is controlled by a single thioredoxin glutathione reductase and dependent on selenium and glutathione. J. Biol. Chem. 2008, 283, 17898–17907. [Google Scholar] [CrossRef] [Green Version]
  28. Carlberg, I.; Mannervik, B. Glutathione-reductase. Methods Enzymol. 1985, 113, 484–490. [Google Scholar]
  29. El-Shabrawi, H.; Kumar, B.; Kaul, T.; Reddy, M.K.; Singla-Pareek, S.L.; Sopory, S.K. Redox homeostasis, antioxidant defense, and methylglyoxal detoxification as markers for salt tolerance in Pokkali rice. Protoplasma 2010, 245, 85–96. [Google Scholar] [CrossRef] [PubMed]
  30. Dvorak, P.; Krasylenko, Y.; Zeiner, A.; Samaj, J.; Takac, T. Signaling toward Reactive Oxygen Species-Scavenging Enzymes in Plants. Front. Plant Sci. 2021, 11, 2178. [Google Scholar] [CrossRef]
  31. Rajput, V.D.; Harish; Singh, R.K.; Verma, K.K.; Sharma, L.; Quiroz-Figueroa, F.R.; Meena, M.; Gour, V.S.; Minkina, T.; Sushkova, S.; et al. Recent Developments in Enzymatic Antioxidant Defence Mechanism in Plants with Special Reference to Abiotic Stress. Biology 2021, 10, 267. [Google Scholar] [CrossRef]
  32. Lichtenthaler, H.K. The stress concept in plants: An introduction. Stress Life Mol. Man 1998, 851, 187–198. [Google Scholar] [CrossRef]
  33. Yalcinkaya, T.; Uzilday, B.; Ozgur, R.; Turkan, I.; Mano, J.I. Lipid peroxidation-derived reactive carbonyl species (RCS): Their interaction with ROS and cellular redox during environmental stresses. Environ. Exp. Bot. 2019, 165, 139–149. [Google Scholar] [CrossRef]
  34. Carillo, P. GABA Shunt in Durum Wheat. Front. Plant Sci. 2018, 9, 100. [Google Scholar] [CrossRef] [PubMed]
  35. Verbruggen, N.; Hermans, C. Proline accumulation in plants: A review. Amino Acids 2008, 35, 753–759. [Google Scholar] [CrossRef]
  36. Vaish, S.; Gupta, D.; Mehrotra, R.; Mehrotra, S.; Basantani, M.K. Glutathione S-transferase: A versatile protein family. 3 Biotech 2020, 10, 19. [Google Scholar] [CrossRef] [PubMed]
  37. Gill, S.S.; Anjum, N.A.; Hasanuzzaman, M.; Gill, R.; Trivedi, D.K.; Ahmad, I.; Pereira, E.; Tuteja, N. Glutathione and glutathione reductase: A boon in disguise for plant abiotic stress defense operations. Plant Physiol. Biochem. 2013, 70, 204–212. [Google Scholar] [CrossRef] [PubMed]
  38. Palma, J.M.; Mateos, R.M.; Lopez-Jaramillo, J.; Rodriguez-Ruiz, M.; Gonzalez-Gordo, S.; Lechuga-Sancho, A.M.; Corpas, F.J. Plant catalases as NO and H2S targets. Redox Biol. 2020, 34, 101525. [Google Scholar] [CrossRef]
  39. Kellerová, P.; Stuchlíková, L.R.; Matoušková, P.; Štěrbová, K.; Lamka, J.; Navrátilová, M.; Vokřál, I.; Szotáková, B.; Skálová, L. Sub-lethal doses of albendazole induce drug metabolizing enzymes and increase albendazole deactivation in Haemonchus contortus adults. Vet. Res. 2020, 51, 94. [Google Scholar] [CrossRef]
Figure 1. Changes in hydrogen peroxide (a) and malondialdehyde content (b) in T. pratense shoots cultivated with the manure of sheep treated with albendazole (ABZ), ivermectin (IVM) or monepantel (MOP) in time. The data are expressed as mean ± SD, n = 3. Asterisks mark statistically significant differences comparing to control up to alpha ≤ 0.05.
Figure 1. Changes in hydrogen peroxide (a) and malondialdehyde content (b) in T. pratense shoots cultivated with the manure of sheep treated with albendazole (ABZ), ivermectin (IVM) or monepantel (MOP) in time. The data are expressed as mean ± SD, n = 3. Asterisks mark statistically significant differences comparing to control up to alpha ≤ 0.05.
Agronomy 11 01892 g001
Figure 2. Changes in proline accumulation in T. pratense shoots cultivated with the manure of sheep treated with albendazole (ABZ), ivermectin (IVM) or monepantel (MOP) in time. The data are expressed as mean ± SD, n = 3. Asterisks mark statistically significant differences comparing to control up to alpha ≤ 0.05.
Figure 2. Changes in proline accumulation in T. pratense shoots cultivated with the manure of sheep treated with albendazole (ABZ), ivermectin (IVM) or monepantel (MOP) in time. The data are expressed as mean ± SD, n = 3. Asterisks mark statistically significant differences comparing to control up to alpha ≤ 0.05.
Agronomy 11 01892 g002
Figure 3. Changes in the activity of antioxidative enzymes: (a)-guaiacol peroxidase (POX), (b)-ascorbate peroxidase (APX), (c)-catalase (CAT), (d)-superoxide dismutase (SOD), (e)-glutathione S-transferase (GST), and (f)-glutathione reductase (GR) in T. pratense shoots fertilized with the manure of sheep treated with albendazole (ABZ), ivermectin (IVM) or monepantel (MOP). Time-dependence study. The data are expressed as mean ± SD, n = 3. Asterisks mark statistically significant differences comparing to control up to alpha ≤ 0.01.
Figure 3. Changes in the activity of antioxidative enzymes: (a)-guaiacol peroxidase (POX), (b)-ascorbate peroxidase (APX), (c)-catalase (CAT), (d)-superoxide dismutase (SOD), (e)-glutathione S-transferase (GST), and (f)-glutathione reductase (GR) in T. pratense shoots fertilized with the manure of sheep treated with albendazole (ABZ), ivermectin (IVM) or monepantel (MOP). Time-dependence study. The data are expressed as mean ± SD, n = 3. Asterisks mark statistically significant differences comparing to control up to alpha ≤ 0.01.
Agronomy 11 01892 g003
Figure 4. Semi-quantification expressed as peak area related to internal standard (IS) of albendazole (ABZ), albendazole sulfoxide (ABZ-SO), and albendazole sulfone (ABZ-SO2); or monepantel (MOP), and monepantel sulfone (MOP-SO2) in T. pratense shoots. The graph shows changes in relative concentrations of the compounds after a single application of faeces containing ABZ, ABZ-SO, ABZ-SO2 or faeces containing MOP and MOP-SO2 compared to control samples at day 3, 10, 21, 42. The data are expressed as mean ± SD, n = 3. Control samples did not contain ABZ, ABZ-SO, ABZ-SO2, MOP, or MOP-SO2.
Figure 4. Semi-quantification expressed as peak area related to internal standard (IS) of albendazole (ABZ), albendazole sulfoxide (ABZ-SO), and albendazole sulfone (ABZ-SO2); or monepantel (MOP), and monepantel sulfone (MOP-SO2) in T. pratense shoots. The graph shows changes in relative concentrations of the compounds after a single application of faeces containing ABZ, ABZ-SO, ABZ-SO2 or faeces containing MOP and MOP-SO2 compared to control samples at day 3, 10, 21, 42. The data are expressed as mean ± SD, n = 3. Control samples did not contain ABZ, ABZ-SO, ABZ-SO2, MOP, or MOP-SO2.
Agronomy 11 01892 g004
Table 1. Summarization of concentrations [µg·g−1 faeces DW] of compounds in ovine faeces.
Table 1. Summarization of concentrations [µg·g−1 faeces DW] of compounds in ovine faeces.
CompoundConcentration [µg·g−1] ± SD
ABZ0.6 ± 0.5
ABZ-SO14.25 ± 3.8
ABZ-SO21.2 ± 0.4
MOP470.0 ± 74.4
MOP-SO2202.2 ± 24.5
IVM a0.93 ± 0.3
a The data of IVM content in ovine faeces are taken from our previous study published by Vokral et al. [4].
Publisher’s Note: MDPI stays neutral with regard to jurisdictional claims in published maps and institutional affiliations.

Share and Cite

MDPI and ACS Style

Langhansová, L.; Navrátilová, M.; Skálová, L.; Moťková, K.; Podlipná, R. The Effect of the Manure from Sheep Treated with Anthelmintics on Clover (Trifolium pratense). Agronomy 2021, 11, 1892. https://doi.org/10.3390/agronomy11091892

AMA Style

Langhansová L, Navrátilová M, Skálová L, Moťková K, Podlipná R. The Effect of the Manure from Sheep Treated with Anthelmintics on Clover (Trifolium pratense). Agronomy. 2021; 11(9):1892. https://doi.org/10.3390/agronomy11091892

Chicago/Turabian Style

Langhansová, Lenka, Martina Navrátilová, Lenka Skálová, Kateřina Moťková, and Radka Podlipná. 2021. "The Effect of the Manure from Sheep Treated with Anthelmintics on Clover (Trifolium pratense)" Agronomy 11, no. 9: 1892. https://doi.org/10.3390/agronomy11091892

APA Style

Langhansová, L., Navrátilová, M., Skálová, L., Moťková, K., & Podlipná, R. (2021). The Effect of the Manure from Sheep Treated with Anthelmintics on Clover (Trifolium pratense). Agronomy, 11(9), 1892. https://doi.org/10.3390/agronomy11091892

Note that from the first issue of 2016, this journal uses article numbers instead of page numbers. See further details here.

Article Metrics

Back to TopTop