Ammonium-Based Compound Fertilisers Mitigate Nitrous Oxide Emissions in Temperate Grassland
Abstract
:1. Introduction
2. Materials and Methods
2.1. Site Description
2.2. Experimental Design and Treatments
2.3. Climatic and Soil Conditions
2.4. Soil Sampling and Analysis
2.5. Nitrous Oxide Sampling and Analysis
2.6. Yield, N Uptake and N Use Efficiency
2.7. Statistical Analysis
3. Results
3.1. Climate and Soil Conditions
3.2. Nitrous Oxide Emissions
3.3. Grass Dry Matter Yield and N Uptake
3.4. Nitrogen Use Efficiency
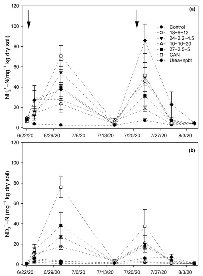
3.5. Soil Mineral N Concentration
4. Discussion
4.1. The Effect of Fertiliser Formulations on N2O Emissions
4.2. The Effect of N Formulation on Yield, N Use Efficiency, N Uptake and Yield-Scaled N2O Emissions
5. Conclusions
Author Contributions
Funding
Institutional Review Board Statement
Informed Consent Statement
Data Availability Statement
Acknowledgments
Conflicts of Interest
References
- Beltran-Peña, A.A.; Rosa, L.; D’Odorico, P. Global food self-sufficiency in the 21st century under sustainable intensification of agriculture. Environ. Res. Lett. 2020, 15, 095004. [Google Scholar] [CrossRef]
- Lu, C.; Tian, H. Global nitrogen and phosphorus fertilizer use for agriculture production in the past half century: Shifted hot spots and nutrient imbalance. Earth Syst. Sci. Data 2017, 9, 181–192. [Google Scholar] [CrossRef] [Green Version]
- Chen, J.; Lü, S.; Zhang, Z.; Zhao, X.; Li, X.; Ning, P.; Liu, M. Environmentally friendly fertilizers: A review of materials used and their effects on the environment. Sci. Total Environ. 2018, 613–614, 829–839. [Google Scholar] [CrossRef] [PubMed]
- Ravishankara, A.R.; Daniel, J.S.; Portmann, R.W. Nitrous oxide (N2O): The dominant ozone-depleting substance emitted in the 21st century. Science 2009, 326, 123–125. [Google Scholar] [CrossRef] [Green Version]
- Tian, H.; Xu, R.; Canadell, J.G.; Thompson, R.L.; Winiwarter, W.; Suntharalingam, P.; Davidson, E.A.; Ciais, P.; Jackson, R.B.; Janssens-Maenhout, G.; et al. A comprehen-sive quantification of global nitrous oxide sources and sinks. Nature 2020, 586, 248–256. [Google Scholar] [CrossRef] [PubMed]
- Velthof, G.L.; Lesschen, J.P.; Webb, J.; Pietrzak, S.; Miatkowski, Z.; Pinto, M.; Kros, J.; Oenema, O. The impact of the Ni-trates directive on nitrogen emissions from agriculture in the EU-27 during 2000–2008. Sci. Total Environ. 2014, 468–469, 1225–1233. [Google Scholar] [CrossRef]
- Butterbach-Bahl, K.; Nemitz, E.; Zaehle, S.; Billen, G.; Boeckx, P.; Erisman, J.; Garnier, J.; Upstill-Goddard, R.; Kreuzer, M.; Oenema, O.; et al. Nitrogen as a Threat to the European Green-House Gas. Balance; Cambridge University Press: Cambridge, UK, 2011. [Google Scholar]
- Sutton, M.A.; Howard, C.M.; Erisman, J.W.; Billen, G.; Bleeker, A.; Grennfelt, P.; van Grinsven, H.; Grizzetti, B. The Europeean Nitrogen Assessment: Sources, Effects and Policy Perspectives; Cambridge University Press: Cambridge, UK, 2011. [Google Scholar]
- Butterbach-Bahl, K.; Baggs, E.M.; Dannenmann, M.; Kiese, R.; Zechmeister-Boltenstern, S. Nitrous oxide emissions from soils: How well do we understand the processes and their controls? Philos. Trans. R. Soc. B Biol. Sci. 2013, 368, 1621. [Google Scholar] [CrossRef]
- Wang, C.; Amon, B.; Schulz, K.; Mehdi, B. Factors that influence nitrous oxide emissions from agricultural soils as well as their representation in simulation models: A review. Agronomy 2021, 11, 770. [Google Scholar] [CrossRef]
- Rahman, N.; Richards, K.G.; Harty, M.A.; Watson, C.J.; Carolan, R.; Krol, D.; Lanigan, G.J.; Forrestal, P.J. Differing effects of increasing calcium ammonium nitrate, urea and urea + NBPT fertiliser rates on nitrous oxide emission factors at six temperate grassland sites in Ireland. Agric. Ecosyst. Environ. 2021, 313, 107382. [Google Scholar] [CrossRef]
- Harty, M.; Forrestal, P.; Watson, C.; McGeough, K.; Carolan, R.; Elliot, C.; Krol, D.; Laughlin, R.; Richards, K.; Lanigan, G. Reducing nitrous oxide emissions by changing N fertiliser use from calcium ammonium nitrate (CAN) to urea based formulations. Sci. Total Environ. 2016, 563–564, 576–586. [Google Scholar] [CrossRef] [Green Version]
- Krol, D.; Forrestal, P.; Wall, D.; Lanigan, G.; Sanz-Gomez, J.; Richards, K. Nitrogen fertilisers with urease inhibitors reduce nitrous oxide and ammonia losses, while retaining yield in temperate grassland. Sci. Total Environ. 2020, 725, 138329. [Google Scholar] [CrossRef]
- Lanigan, G.; Donnellan, T.; Hanrahan, K.; Carsten, P.; Shalloo, L.; Krol, D.; Forrestal, P.J.; Farrelly, N.; O’Brien, D.; Ryan, M.; et al. An Analysis of Abatement Potential of Greenhouse Gas. Emissions in Irish Agriculture 2021–2030; Teagasc: Carlow, Ireland, 2018. [Google Scholar]
- Forrestal, P.J.; Harty, M.; Carolan, R.; Lanigan, G.J.; Watson, C.J.; Laughlin, R.J.; McNeill, G.; Chambers, B.J.; Richards, K.G. Ammonia emissions from urea, stabilized urea and calcium ammonium nitrate: Insights into loss abatement in temperate grassland. Soil Use Manag. 2016, 32, 92–100. [Google Scholar] [CrossRef] [Green Version]
- Clough, T.J.; Condron, L.M.; Kammann, C.; Müller, C. A review of biochar and soil nitrogen dynamics. Agronomy 2013, 3, 275–293. [Google Scholar] [CrossRef] [Green Version]
- Puga, A.P.; Grutzmacher, P.; Cerri, C.E.P.; Ribeirinho, V.S.; de Andrade, C.A. Biochar-based nitrogen fertilizers: Green-house gas emissions, use efficiency, and maize yield in tropical soils. Sci. Total Environ. 2020, 704, 135375. [Google Scholar] [CrossRef] [PubMed]
- Abalos, D.; Jeffery, S.; Sanz-Cobena, A.; Guardia, G.; Vallejo, A. Meta-analysis of the effect of urease and nitrification inhibi-tors on crop productivity and nitrogen use efficiency. Agric. Ecosyst. Environ. 2014, 189, 136–144. [Google Scholar] [CrossRef]
- Akiyama, H.; Yan, X.; Yagi, K. Evaluation of effectiveness of enhanced-efficiency fertilizers as mitigation options for N2O and NO emissions from agricultural soils: Meta-analysis. Glob. Chang. Biol. 2009, 16, 1837–1846. [Google Scholar] [CrossRef]
- Cowan, N.; Levy, P.; Moring, A.; Simmons, I.; Bache, C.; Stephens, A.; Marinheiro, J.; Brichet, J.; Song, L.; Pickard, A.; et al. Nitrogen use efficiency and N2O and NH3 losses attributed to three fertiliser types applied to an intensively managed silage crop. Biogeosciences 2019, 16, 4731–4745. [Google Scholar] [CrossRef] [Green Version]
- Harty, M.A.; Forrestal, P.J.; Carolan, R.; Watson, C.J.; Hennessy, D.; Lanigan, G.J.; Wall, D.P.; Richards, K.G. Temperate grassland yields and nitrogen uptake are influenced by fertilizer nitrogen source. Agron. J. 2017, 109, 71–79. [Google Scholar] [CrossRef] [Green Version]
- Feng, J.; Li, F.; Deng, A.; Feng, X.; Fang, F.; Zhang, W. Integrated assessment of the impact of enhanced-efficiency nitrogen fertilizer on N2O emission and crop yield. Agric. Ecosyst. Environ. 2016, 231, 218–228. [Google Scholar] [CrossRef]
- Zhu-Barker, X.; Burger, M.; Doane, T.A.; Horwath, W.R. Ammonia oxidation pathways and nitrifier denitrification are significant sources of N2O and NO under low oxygen availability. Proc. Natl. Acad. Sci. USA 2013, 110, 6328–6333. [Google Scholar] [CrossRef] [Green Version]
- Clayton, H.; McTaggart, I.P.; Parker, J.; Swan, L.; Smith, K.A. Nitrous oxide emissions from fertilised grassland: A 2-year study of the effects of N fertiliser form and environmental conditions. Biol. Fertil. Soils 1997, 25, 252–260. [Google Scholar] [CrossRef]
- YARA. Yara Fertiliser Industry Handbook; YARA: Oslo, Norway, 2018. [Google Scholar]
- Fertilisers Europe. Infinite Nutrient Stewardship; Fertilisers Europe: Brussels, Belgium, 2016. [Google Scholar]
- Duan, Y.-H.; Shi, X.-J.; Li, S.-L.; Sun, X.-F.; He, X.-H. Nitrogen use efficiency as affected by phosphorus and potassium in long-term rice and wheat experiments. J. Integr. Agric. 2014, 13, 588–596. [Google Scholar] [CrossRef]
- Morgan, M.F. Chemical soil diagnosis by the universal soil testing system. Conn. Agric. Exp. Stn. Bull. 1941, 450, 579–628. [Google Scholar]
- de Klein, C.A.M.; Harvey, M. Nitrous Oxide Chamber Methodology Guidelines; Version 1.0 Global Research Alliance; Ministry for Primary Industries: Wellington, New Zealand, 2012. [Google Scholar]
- Chadwick, D.R.; Cardenas, L.; Misselbrook, T.; Smith, K.A.; Rees, R.; Watson, C.J.; McGeough, K.L.; Williams, J.R.; Cloy, J.M.; Thorman, R.E.; et al. Optimizing chamber methods for measuring nitrous oxide emissions from plot-based agricultural experiments. Eur. J. Soil Sci. 2014, 65, 295–307. [Google Scholar] [CrossRef]
- Van Groenigen, J.W.; Velthof, G.; Oenema, O.; van Groenigen, K.J.; Van Kessel, C. Towards an agronomic assessment of N2O emissions: A case study for arable crops. Eur. J. Soil Sci. 2010, 61, 903–913. [Google Scholar] [CrossRef]
- Tian, Z.; Wang, J.J.; Liu, S.; Zhang, Z.; Dodla, S.K.; Myers, G. Application effects of coated urea and urease and nitrification inhibitors on ammonia and greenhouse gas emissions from a subtropical cotton field of the Mississippi delta region. Sci. Total Environ. 2015, 533, 329–338. [Google Scholar] [CrossRef] [PubMed]
- Byrne, M.P.; Tobin, J.T.; Forrestal, P.J.; Danaher, M.; Nkwonta, C.G.; Richards, K.; Cummins, E.; Hogan, S.A.; O’Callaghan, T.F. Urease and nitrification inhibitors—As mitigation tools for greenhouse gas emissions in sustainable dairy systems: A review. Sustainability 2020, 12, 6018. [Google Scholar] [CrossRef]
- Nkwonta, C.; O’Neill, M.; Rahman, N.; Moloney, M.; Forrestal, P.; Hogan, S.; Richards, K.; Cummins, E.; Danaher, M. Development of one-step non-solvent extraction and sensitive UHPLC-MS/MS method for assessment of N-(n-Butyl) Thiophosphoric Triamide (NBPT) and N-(n-Butyl) Phosphoric Triamide (NBPTo) in milk. Molecules 2021, 26, 2890. [Google Scholar] [CrossRef]
- Dobbie, K.E.; Smith, K.A. Impact of different forms of N fertilizer on N2O emissions from intensive grassland. Nutr. Cycl. Agroecosystems 2003, 67, 37–46. [Google Scholar] [CrossRef]
- Smith, K.A.; Dobbie, K.E.; Thorman, R.; Watson, C.J.; Chadwick, D.R.; Yamulki, S.; Ball, B.C. The effect of N fertilizer forms on nitrous oxide emissions from UK arable land and grassland. Nutr. Cycl. Agroecosystems 2012, 93, 127–149. [Google Scholar] [CrossRef]
- Weller, S.; Fischer, A.; Willibald, G.; Navé, B.; Kiese, R. N2O emissions from maize production in south-west Germany and evaluation of N2O mitigation potential under single and combined inhibitor application. Agric. Ecosyst. Environ. 2019, 269, 215–223. [Google Scholar] [CrossRef]
- O’Neill, R.; Girkin, N.; Krol, D.; Wall, D.; Brennan, F.; Lanigan, G.; Renou-Wilson, F.; Müller, C.; Richards, K. The effect of carbon availability on N2O emissions is moderated by soil phosphorus. Soil Biol. Biochem. 2020, 142, 107726. [Google Scholar] [CrossRef]
- Cardenas, L.; Bhogal, A.; Chadwick, D.; McGeough, K.; Misselbrook, T.; Rees, R.; Thorman, R.; Watson, C.; Williams, J.; Smith, K.; et al. Nitrogen use efficiency and nitrous oxide emissions from five UK fertilised grasslands. Sci. Total Environ. 2019, 661, 696–710. [Google Scholar] [CrossRef] [PubMed]
Soil Properties | Value |
---|---|
Bulk density (g cm−3) | 1.30 ± 0.02 |
pH (1:5 ratio soil to water) | 5.40 ± 0.04 |
Total C (%) | 2.26 ± 0.06 |
Total N (%) | 0.24 ± 0.01 |
C:N | 9.33 ± 0.19 |
Organic C (%) | 1.67 ± 0.23 |
Organic matter (%) | 5.70 ± 0.07 |
1 available P (mg kg−1) | 4.64 ± 0.29 |
1 available Mg (mg kg−1) | 82.75 ± 7.91 |
1 available K (mg kg−1) | 140.50 ± 4.54 |
Fertiliser Formulations | NH4+ (%) | NO3− (%) | NO3−: NH4+ | N | P | K |
---|---|---|---|---|---|---|
18-6-12 | 11.8 | 6.2 | 0.53 | 18 | 6 | 12 |
10-10-20 | 9.5 | 0.5 | 0.05 | 10 | 10 | 20 |
24-2.2-4.5 | 12.8 | 11.2 | 0.88 | 24 | 2.2 | 4.5 |
27-2.5-5 | 15 | 12 | 0.80 | 27 | 2.5 | 5 |
CAN | 13.5 | 13.5 | 1 | 27 | 0 | 0 |
Urea + NBPT | 46 | 0 | 0 |
Fertilisers | N2O % Loss | |
---|---|---|
Harvest 1 | Harvest 2 | |
18-6-12 | 1.11 ± 0.18 | 1.73 ± 0.12 |
10-10-20 | 0.74 ± 0.14 | 1.90 ± 0.11 |
24-2.2-4.5 | 0.58 ± 0.15 | 2.00 ± 0.20 |
27-2.5-5 | 0.49 ± 0.12 | 2.74 ± 0.12 |
CAN | 0.72 ± 0.08 | 3.06 ± 0.14 |
Urea + NBPT | 0.35 ± 0.03 | 1.73 ± 0.20 |
Treatment | Harvest 1 | Harvest 2 | ||||
---|---|---|---|---|---|---|
DM Yield (kg ha−1) p < 0.05 | N Uptake (kg ha−1) p < 0.05 | NUE (%) p < 0.05 | DM Yield (kg ha−1) p < 0.05 | N Uptake (kg ha−1) p < 0.05 | NUE (%) p < 0.05 | |
Control | 1366 ± 24 d | 21.1 ± 0.5 c | 937 ± 108 d | 15.6 ± 1.3 c | ||
18-6-12 | 3215 ± 13 abc | 81.2 ± 1.1 ab | 75.1 ± 1.2 ab | 3472 ± 48 ab | 85.0 ± 1.6 a | 86.8 ± 2.9 a |
10-10-20 | 3087 ± 85 bc | 81.9 ± 2.1 ab | 76.1 ± 2.6 ab | 3640 ± 112 a | 85.1 ± 1.1 a | 86.8 ± 2.7 a |
24-2.2-4.5 | 3134 ± 43 bc | 82.9 ± 2.5 ab | 77.3 ± 3.7 ab | 3267 ± 64 ab | 75.7 ± 3.5 ab | 75.1 ± 3.6 ab |
27-2.5-5 | 3101 ± 85 bc | 81.8 ± 2.9 ab | 73.2 ± 4.7 ab | 3316 ± 167 ab | 76.5 ± 4.1 ab | 77.2 ± 3.6 ab |
CAN | 3109 ± 98 bc | 83.2 ± 1.1 ab | 77.7 ± 2.0 ab | 3343 ± 111 ab | 79.4 ± 1.7 ab | 79.7 ± 1.4 a |
Urea + NBPT | 2794 ± 67 c | 72.1 ± 2.0 b | 63.5 ± 3.2 b | 3246 ± 61 ab | 76.7 ± 3.5 ab | 75.0 ± 4.3 ab |
Publisher’s Note: MDPI stays neutral with regard to jurisdictional claims in published maps and institutional affiliations. |
© 2021 by the authors. Licensee MDPI, Basel, Switzerland. This article is an open access article distributed under the terms and conditions of the Creative Commons Attribution (CC BY) license (https://creativecommons.org/licenses/by/4.0/).
Share and Cite
Gebremichael, A.W.; Rahman, N.; Krol, D.J.; Forrestal, P.J.; Lanigan, G.J.; Richards, K.G. Ammonium-Based Compound Fertilisers Mitigate Nitrous Oxide Emissions in Temperate Grassland. Agronomy 2021, 11, 1712. https://doi.org/10.3390/agronomy11091712
Gebremichael AW, Rahman N, Krol DJ, Forrestal PJ, Lanigan GJ, Richards KG. Ammonium-Based Compound Fertilisers Mitigate Nitrous Oxide Emissions in Temperate Grassland. Agronomy. 2021; 11(9):1712. https://doi.org/10.3390/agronomy11091712
Chicago/Turabian StyleGebremichael, Amanuel W., Niharika Rahman, Dominika J. Krol, Patrick J. Forrestal, Gary J. Lanigan, and Karl G. Richards. 2021. "Ammonium-Based Compound Fertilisers Mitigate Nitrous Oxide Emissions in Temperate Grassland" Agronomy 11, no. 9: 1712. https://doi.org/10.3390/agronomy11091712
APA StyleGebremichael, A. W., Rahman, N., Krol, D. J., Forrestal, P. J., Lanigan, G. J., & Richards, K. G. (2021). Ammonium-Based Compound Fertilisers Mitigate Nitrous Oxide Emissions in Temperate Grassland. Agronomy, 11(9), 1712. https://doi.org/10.3390/agronomy11091712