Understanding the Response of Wheat-Chickpea Intercropping to Nitrogen Fertilization Using Agro-Ecological Competitive Indices under Contrasting Pedoclimatic Conditions
Abstract
1. Introduction
2. Materials and Methods
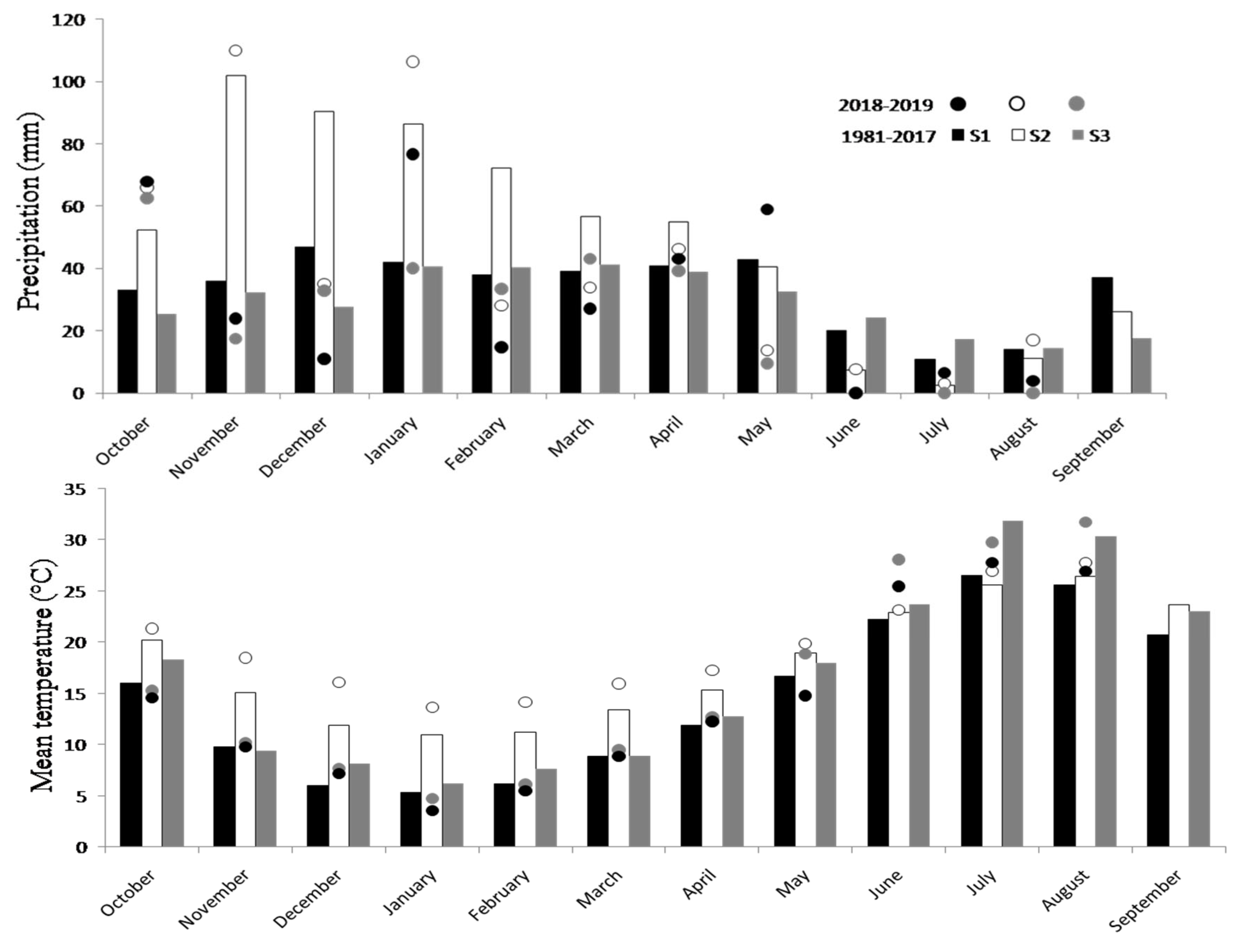
2.1. Experimental Site and Pedoclimatic Conditions
2.2. Cropping and Field Plot Design
2.3. Plant and Soil Sampling and Measurements
2.4. Calculation
2.5. Statistical Analysis
3. Results
3.1. Grain and N Yield
3.2. Nitrogen Nutrition Index and Soil-Crop N Status
3.3. Land Equivalent Ratio and Radiation Efficiency Index
3.4. Area Time Equivalent Ratio and Land-Use Efficiency
3.5. Relative Crowding Coefficient
3.6. Competitive Ratio
4. Discussion
5. Conclusions
Author Contributions
Funding
Conflicts of Interest
References
- Glaze-Corcoran, S.; Hashemi, M.; Saghpour, A.; Jahnazad, E.; Afshar, R.K.; Liu, X.; Herbert, S.J. Understanding intercropping to improve agricultural resiliency and environmental sustainability. Adv. Agron. 2020, 162, 199–256. [Google Scholar]
- Latati, M.; Dokukin, P.; Aouiche, A.; Rebouh, N.Y.; Takouachet, R.; Hafnaoui, E.; Hamdani, F.Z.; Bacha, F.; Ounane, S.M. Species interactions improve above-ground biomass and land use efficiency in intercropped wheat and chickpea under low soil inputs. Agronomy 2019, 9, 765. [Google Scholar] [CrossRef]
- Loreau, M.; Sapijanskas, J.; Isbell, F.; Hector, A. Niche and fitness differences relate the maintenance of diversity to ecosystem function: Comment. Ecology 2012, 93, 1482–1487. [Google Scholar] [PubMed]
- Kherif, O.; Keskes, M.I.; Pansu, M.; Ouaret, W.; Rebouh, Y.N.; Dokukin, P.; Kucher, D.; Latati, M. Agroecological modeling of nitrogen and carbon transfers between decomposer micro-organisms, plant symbionts, soil and atmosphere in an intercropping system. Ecol. Model. 2021, 440, 109390. [Google Scholar] [CrossRef]
- Peoples, M.B.; Hauggaard-Nielsen, H.; Huguenin-Elie, O.; Jensen, E.S.; Justes, E.; Williams, M. The contributions of legumes to reducing the environmental risk of agricultural production. In Agroecosystem Diversity; Academic Press: Cambridge, UK, 2019; pp. 123–143. [Google Scholar] [CrossRef]
- Louarn, G.; Bedoussac, L.; Gaudio, N.; Journet, E.P.; Moreau, D.; Jensen, E.S.; Justes, E. Plant nitrogen nutrition status in intercrops– a review of concepts and methods. Eur. J. Agron. 2021, 124, 126229. [Google Scholar] [CrossRef]
- Lemaire, G.; Meynard, J.M. Use of the nitrogen nutrition index for analysis ofagronomical data. In Diagnosis on the Nitrogen Status in Crops; Lemaire, G., Ed.; Springer: Berlin/Heidelberg, Germany, 1997; pp. 45–55. [Google Scholar]
- Cai, J.; Xia, X.; Chen, H.; Wang, T.; Zhang, H. Decomposition of Fertilizer Use Intensity and Its Environmental Risk in China’s Grain Production Process. Sustainability 2018, 10, 498. [Google Scholar] [CrossRef]
- Wehmeye, H.; De Guia, A.H.; Connor, M. Reduction of Fertilizer Use in South China—Impacts and Implications on Smallholder Rice Farmers. Sustainability 2020, 12, 2240. [Google Scholar] [CrossRef]
- Lemaire, G.; Jeuffroy, M.H.; Gastal, F. Diagnosis tool for plant and crop N status in vegetative stage Theory and practices for crop N management. Eur. J. Agron. 2008, 28, 614–624. [Google Scholar] [CrossRef]
- Rezaei-Chianeh, E.; Dabbagh, M.N.A.; Shakiba, M.R.; Ghassemi-Golezani, K.; Aharizad, S.; Shekari, F. Intercropping of maize (Zea mays L.) and faba bean (Vicia faba L.) at different plant population densities. Afr. J. Agric. Res. 2011, 6, 1786–1793. [Google Scholar]
- Caballero, R.; Goicoechea, E.L.; Hernaiz, P.J. Forage yields and quality of common vetch and oat sown at varying seeding ratios and seeding rates of vetch. Field Crop. Res. 1995, 41, 135–140. [Google Scholar] [CrossRef]
- Zhang, J.; Smith, D.L.; Liu, W.G.; Chen, X.F.; Yang, W.Y. Effects of shade and drought stress on soybean hormones and yield of main-stem and branch. Afr. J. Biotechnol. 2011, 10, 14392–14398. [Google Scholar]
- Lynch, J.M.; Barbano, D.M. Kjeldahl nitrogen analysis as a reference method for protein determination in dairy products. J. AOAC Int. 1999, 82, 1389–1398. [Google Scholar] [CrossRef] [PubMed]
- Shen, A.L.; Li, X.Y.; Kanamori, T.; Arao, T. Effect of long-term application of compost on some chemical properties of wheat rhizosphere and non-rhizosphere soils. Pedosphere 1996, 6, 355–363. [Google Scholar]
- Valizadeh, G.R.; Rengel, Z.; Rate, A.W. Response of wheat genotypes efficient in P utilization and genotypes responsive to P fertilisation to different P banding depths and watering regimes. Aust. J. Agric. Res. 2003, 54, 59–65. [Google Scholar] [CrossRef]
- McBratney, A.B.; Odeh, I.O.A.; Bishop, T.F.A.; Dunbar, M.S.; Shatar, T.M. An overview of pedometric techniques for use in soil survey. Geoderma 2000, 97, 293–327. [Google Scholar] [CrossRef]
- Leo, M.W.M. Determination of soil carbonates by a rapidegasometric method. J. Agric. Food Chem. 1963, 11, 452–455. [Google Scholar] [CrossRef]
- Mead, R.; Willey, R.W. The concept of a ‘land equivalent ratio’ and advantages in yields from intercropping. Exp. Agric. 1980, 16, 217–228. [Google Scholar]
- Hiebsch, C.K.; McCollum, R.E. Area X Time Equivalency Ratio: A method for evaluating the productivity of intercrops. Agron. J. 1987, 79, 15–22. [Google Scholar] [CrossRef]
- Mason, S.C.; Leihner, D.E.; Vorst, J.J. Cassava-Cowpea and Cassava-Peanut Intercropping. I. Yield and Land Use Efficiency. Agron. J. 1986, 78, 43–46. [Google Scholar] [CrossRef]
- De Wit, C.T. On competition. Versl. Landbouw-Kundige Onderz. 1960, 66, 1–28. [Google Scholar]
- Willey, R.W.; Rao, M.R. A competitive ratio for quantifying competition between intercrops. Exp. Agric. 1980, 16, 117–125. [Google Scholar] [CrossRef]
- Connolly, J.; Wayne, P.; Murray, R. Time course of plant interactions in experimental mixtures of annuals: Density, frequency and nutrient effects. Oecologia 1990, 82, 513–526. [Google Scholar] [CrossRef] [PubMed]
- Plénet, D.; Lemaire, G. Relationships between dynamics of nitrogen uptake and dry matter accumulation in maize crops. Determ. Crit. N Concentration. Plant Soil 2000, 216, 65–82. [Google Scholar]
- Daryanto, S.; Jacinthe, P.A.; Fuab, B.; Zhao, W.; Wang, L. Valuing the ecosystem services of cover crops: Barriers and pathways forward. Agric. Ecosyst. Environ. 2019, 270, 76–78. [Google Scholar] [CrossRef]
- Abdulahi, A.; Nassab, A.D.M.; Nasrolahzadeh, S.; Salmasi, S.Z.; Pourdad, S.S. Evaluation of Wheat-Chickpea Intercrops as Influenced by Nitrogen and Weed Management. Am. J. Agric. Biol. Sci. 2012, 7, 447–460. [Google Scholar] [CrossRef][Green Version]
- Latati, M.; Bargaz, A.; Belarbi, B.; Lazali, M.; Benlahrech, S.; Tellah, S.; Kaci, G.; Drevon, J.J.; Ounane, S.M. The intercropping common bean with maize improves the rhizobial efficiency, resource use and grain yield under low phosphorus availability. Eur. J. Agron. 2016, 72, 80–90. [Google Scholar] [CrossRef]
- Kaci, G.; Blavet, D.; Benlahrech, S.; Kouakoua, E.; Couderc, P.; Deleporte, P.; Desclaux, D.; Latati, M.; Pansu, M.; Drevon, D.; et al. The effect of intercropping on the efficiency of faba bean –rhizobial symbiosis and durum wheat soil-nitrogen acquisition in a Mediterranean agroecosystem. Plant. Soil Environ. 2018, 64, 138–146. [Google Scholar]
- Yong, T.; Chen, P.; Dong, Q.; Du, Q.; Yang, F.; Wang, X.; Liu, W.; Yang, W. Optimized nitrogen application methods to improve nitrogen use efficiency and nodule nitrogen fixation in a maize-soybean relay intercropping system. J. Integr. Agric. 2018, 17, 60345–60352. [Google Scholar] [CrossRef]
- Latati, M.; Blavet, D.; Alkama, N.; Laoufi, H.; Drevon, J.J.; Gérard, F.; Pansu, M.; Ounane, S.M. The intercropping cowpea-maize improves soil phosphorus availability and maize yields in an alkaline soil. Plant Soil 2014, 85, 181–191. [Google Scholar] [CrossRef]
- Song, Y.N.; Zhang, F.S.; Marschner, P.; Fan, F.L.; Gao, H.M.; Bao, X.G.; Sun, J.H.; Li, L. Effect of intercropping on crop yield and chemical and microbiological properties in rhizosphere of wheat (Triticumaestivum, L.), maize (Zeamays, L.), and faba bean (Viciafaba L.). Biol. Fert. Soil 2007, 43, 565–574. [Google Scholar] [CrossRef]
- Gonzalez-Dugo, V.; Durand, J.L.; Gastal, F.; Picon-Cochard, C. Short-term response of the nitrogen nutrition status of tall fescue and Italian ryegrass swards under water deficit. Aust. J. Agric. Res. 2005, 56, 1269–1276. [Google Scholar] [CrossRef]
- Gonzalez-Dugo, V.; Durand, J.L.; Gastal, F. Water deficit and nitrogen nutrition of crops. A Review. Agron. Sustain. Dev. 2010, 30, 529–544. [Google Scholar] [CrossRef]
- Zhang, G.; Yang, Z.; Dong, S. Interspecific competitiveness affects the total biomass yield in an alfalfa and corn intercropping system. Field Crop. Res. 2011, 124, 66–73. [Google Scholar] [CrossRef]
- Doubi, B.T.S.; Kouassi, K.I.; Kouakou, K.L.; Koffi, K.K.; Baudoin, J.-P.; Zoro, B.I.A. Existing competitive indices in the intercropping system of Manihot esculenta Crantz and Lagenaria siceraria (Molina) Standley. J. Plant Interact. 2016, 11, 178–185. [Google Scholar] [CrossRef]
- Yu, Y.; Stomph, T.-J.; Makowski, D.; Van der Werf, W. Temporal niche differentiation increases the land equivalent ratio of annual intercrops: A meta-analysis. Field Crop. Res. 2015, 184, 133–144. [Google Scholar] [CrossRef]
- Yu, Y.; Stomph, T.J.; Makowski, D.; Zhang, L.Z.; van der Werf, W. A meta-analysis of relative crop yields in cereal/legume mixtures suggests options for management. Field Crop. Res. 2016, 198, 269–279. [Google Scholar] [CrossRef]
- Li, C.; Hoffland, E.; Kuyper, T.W.; Yu, Y.; Li, H.; Zhang, C.; Zhanga, F.; Werf, W.V.D. Yield gain, complementarity and competitive dominance in intercropping in China: A meta-analysis of drivers of yield gain using additive partitioning. Eur. J. Agron. 2020, 113, 125987. [Google Scholar] [CrossRef]
- Wang, W.; Bai, W.; Sun, Z.; Zhang, D.; Zhang, Y.; Wang, R.; Evers, J.B.; Stomph, T.J.; Werf, W.V.D.; Feng, C.; et al. Does reduced intraspecific competition of the dominant species in intercrops allow for a higher population density? Food Energy Secur. 2021, 10, 285–298. [Google Scholar] [CrossRef]


| Sites | Clay (%) | Loam (%) | Sand (%) | CaCO3 (%) | OM (%) | Total N (g kg−1) | Available N (mg kg−1) | Total P (mg kg−1) | Available P (mg kg−1) | pH |
|---|---|---|---|---|---|---|---|---|---|---|
| S1 | 42.5 ± 1 b | 35.8 ± 1.2 a | 21.7 ± 1 a | 21.9 ± 0.8 a | 1.2 ± 0.1 b | 1.4 ± 0.1 b | 22.9 ± 1.3 b | 283.8 ± 20.4 b | 9.32 ± 0.3 b | 8.38 ± 0.08 a |
| S2 | 56.5 ± 1.4 a | 35.2 ± 1.4 a | 8.4 ± 0.7 b | 1.1 ± 0.1 b | 1.8 ± 0.2 a | 1.4 ± 0.1 b | 9 ± 0.7 c | 155.6 ± 4.1 c | 13 ± 0.7 a | 7.9 ± 0.1 b |
| S3 | 49.2 ± 1.7 c | 34.8 ± 1.9 a | 16 ± 3.3 a | 20.6 ± 0.5 a | 1.9 ± 0.1 a | 2.4 ± 0.2 a | 35.8 ± 1.6 a | 387.3 ± 10.1 a | 5.37 ± 0.5 c | 8.30 ± 0.07 a b |
| p-Value | ≤0.001 | 0.9 | 0.01 | ≤0.001 | 0.004 | ≤0.001 | ≤0.001 | ≤0.001 | ≤0.001 | 0.02 |
| Site | Crop | N Level | Chickpea | N Yield (Kg ha−1) | Durum Wheat | N Yield (Kg ha−1) | Crop Mixture | N Yield (Kg ha−1) |
|---|---|---|---|---|---|---|---|---|
| Grain Yield (t ha−1) | Grain Yield (t ha−1) | GrainYield (t ha−1) | ||||||
| Sole crop | N-30 | 0.34 ± 0.02 c | 7.81 ± 0.5 c | 2.09 ± 0.1 b | 93.55 ± 4.1 b | 1.21 ± 0.06 b | 50.67 ± 2.7 bc | |
| N-60 | 0.97 ± 0.1 a | 32.65 ± 2.2 a | 3.01 ± 0.5 ab | 75.96 ± 5.3 b | 1.99 ± 0.2 a | 54.34 ± 4.3 b | ||
| N-100 | 0.71 ± 0.1 ab | 19.52 ± 2.1 b | 3.25 ± 0.11 a | 121.11 ± 4.2 a | 1.96 ± 0.08 a | 70.31 ± 3.1 a | ||
| S1 | Intercrop | N-30 | 0.23 ± 0.03 d | 10.27 ± 0.3 bc | 0.54 ± 0.05 c | 23.41 ± 2.5 c | 0.75 ± 0.07 b | 33.71 ± 2.4 c |
| N-60 | 0.65 ± 0.1 b | 23.33 ± 3.4 a b | 0.60 ± 0.04 c | 13.37 ± 1.03 c | 1.26 ± 0.1 b | 36.8 ± 3.4 bc | ||
| N-100 | 0.21 ± 0.04 d | 7.97 ± 1.6 c | 0.94 ± 0.05 c | 28.52 ± 1.4 c | 1.14 ± 0.04 b | 36.1 ± 1.4 bc | ||
| p-Value | Crop | ≤0.001 | 0.02 | ≤0.001 | ≤0.001 | ≤0.001 | ≤0.001 | |
| N level | ≤0.001 | ≤0.001 | ≤0.01 | ≤0.001 | ≤0.001 | ≤0.001 | ||
| Crop×N level | 0.13 | 0.04 | 0.11 | ≤0.001 | 0.37 | ≤0.01 | ||
| Sole crop | N-30 | 0.92 ± 0.1 b | 20.91 ± 2.3 bc | 3.82 ± 0.3 b | 58.94 ± 3.1 ab | 2.37 ± 0.1 c | 39.92 ± 2.1 c | |
| N-60 | 1.53 ± 0.1 a | 48.08 ± 2.7 a | 4.46 ± 0.2 ab | 71.97 ± 2.4 a | 3 ± 0.2 b | 60.03 ± 2.5 b | ||
| N-100 | 0.95 ± 0.02 b | 24.58 ± 0.6 bc | 4.80 ± 0.2 a | 68.61 ± 1.3 a | 2.87 ± 0.1 bc | 46.60 ± 1.7 bc | ||
| S2 | Intercrop | N-30 | 0.61 ± 0.08 b | 12.28 ± 1.3 c | 2.05 ± 0.06 c | 31.51 ± 0.8 d | 2.65 ± 0.04 bc | 43.80 ± 0.9 c |
| N-60 | 1.09 ± 0.05 a | 25.59 ± 1.2 b | 2.79 ± 0.08 c | 51.25 ± 1.2 b | 3.88 ± 0.2 a | 76.84 ± 2.5 a | ||
| N-100 | 0.78 ± 0.07 b | 26.27 ± 2.6 b | 2.02 ± 0.1 c | 43.88 ± 2.3 c | 2.79 ± 0.07 bc | 70.16 ± 2.9 ab | ||
| p-Value | Crop | ≤0.01 | ≤0.001 | ≤0.001 | ≤0.001 | ≤0.01 | ≤0.001 | |
| N level | ≤0.001 | ≤0.001 | ≤0.01 | ≤0.001 | ≤0.001 | ≤0.001 | ||
| Crop×N level | 0.52 | ≤0.01 | 0.02 | 0.62 | ≤0.01 | 0.02 | ||
| Sole crop | N-30 | 2.16 ± 0.08 a | 48.44 ± 1.8 a | 5.47 ± 0.8 ab | 40.89 ± 3.6 d | 3.82 ± 0.3 b | 44.67 ± 2.7 c | |
| N-60 | 2.43 ± 0.2 a | 36.98 ± 2.3 b | 6.82 ± 0.07 a | 76.44 ± 0.8 c | 4.63 ± 0.2 ab | 56.71 ± 2.5 bc | ||
| N-100 | 1.11 ± 0.05 b | 22.94 ± 1 c | 6.95 ± 0.4 a | 97.35 ± 4.3 b | 4.04 ± 0.1 ab | 60.17 ± 2.3 bc | ||
| S3 | Intercrop | N-30 | 0.36 ± 0.02 c | 7.13 ± 1.1 d | 3.21 ± 0.3 c | 64.57 ± 3.6 cd | 3.57 ± 0.2 b | 71.70 ± 1.5 b |
| N-60 | 0.48 ± 0.01 c | 6.11 ± 0.8 d | 4.45 ± 0.2 b | 105.35 ± 32 a | 4.93 ± 0.3 a | 111.12 ± 2.1 a | ||
| N-100 | 0.27 ± 0.02 d | 3.54 ± 0.6 d | 3.27 ± 0.3 c | 44.27 ± 2.1 d | 3.54 ± 0.08 b | 47.81 ± 1.3 c | ||
| p-Value | Crop | ≤0.001 | ≤0.001 | ≤0.001 | 0.27 | 0.60 | ≤0.001 | |
| N level | ≤0.01 | ≤0.001 | 0.18 | ≤0.001 | ≤0.001 | ≤0.001 | ||
| Crop×N level | 0.02 | ≤0.001 | 0.04 | ≤0.001 | 0.36 | ≤0.001 |
| Sites | Crop | N Level | Chickpea | NNI Harvest | Durum Wheat | NNI Harvest |
|---|---|---|---|---|---|---|
| NNIFlowering | NNIFlowering | |||||
| Sole crop | N-30 | 0.48 ± 0.01 c | 0.58 ± 0.02 bc | 0.79 ± 0.02 b | 0.58 ± 0.01 bc | |
| N-60 | 0.83 ± 0.04 b | 1.07 ± 0.005 a | 0.33 ± 0.01 d | 0.45 ± 0.03 c | ||
| N-100 | 0.79 ± 0.08 b | 0.86 ± 0.06 ab | 0.78 ± 0.08 b | 0.96 ± 0.05 a | ||
| S1 | Intercrop | N-30 | 1.74 ± 0.1 a | 0.43 ± 0.01 c | 0.28 ± 0.002 d | 0.79 ± 0.08 ab |
| N-60 | 1.82 ± 0.08 a | 0.76 ± 0.05 b | 0.95 ± 0.08 a | 0.49 ± 0.05 bc | ||
| N-100 | 1.55 ± 0.02 a | 0.42 ± 0.03 c | 0.58 ± 0.02 c | 0.52 ± 0.02 bc | ||
| p-Value | Crop | ≤0.001 | ≤0.001 | 0.55 | 0.28 | |
| N level | ≤0.01 | ≤0.001 | 0.12 | 0.03 | ||
| Crop×N level | 0.28 | 0.17 | ≤0.001 | ≤0.001 | ||
| Sole crop | N-30 | 0.61 ± 0.04 c | 0.47 ± 0.02 b | 0.42 ± 0.02 bc | 0.60 ± 0.03 c | |
| N-60 | 0.86 ± 0.09 b | 0.92 ± 0.05 a | 0.49 ± 0.03 bc | 0.69 ± 0.03 b | ||
| N-100 | 0.69 ± 0.06 c | 0.47 ± 0.03 b | 0.97 ± 0.03 a | 0.98 ± 0.1 b | ||
| S2 | Intercrop | N-30 | 1.87 ± 0.09 a | 0.63 ± 0.05 ab | 0.37 ± 0.01 c | 0.68 ± 0.05 b |
| N-60 | 1.68 ± 0.1 ab | 0.75 ± 0.04 ab | 0.95 ± 0.04 a | 1.13 ± 0.09 a | ||
| N-100 | 1.39 ± 0.08 b | 0.51 ± 0.03 b | 0.56 ± 0.02 b | 0.79 ± 0.07 b | ||
| p-Value | Crop | ≤0.001 | 0.88 | 0.22 | ≤0.001 | |
| N level | 0.57 | ≤0.001 | 0.04 | ≤0.001 | ||
| Crop×N level | 0.45 | 0.04 | 0.03 | 0.62 | ||
| Sole crop | N-30 | 0.32 ± 0.04 d | 0.71 ± 0.01 a | 0.90 ± 0.1 a | 0.42 ± 0.02 c | |
| N-60 | 0.82 ± 0.01 bc | 0.79 ± 0.08 a | 0.51 ± 0.06 b | 0.77 ± 0.01 bc | ||
| N-100 | 0.80 ± 0.08 bc | 0.54 ± 0.05 a | 0.84 ± 0.02 a | 0.80 ± 0.03 b | ||
| S3 | Intercrop | N-30 | 0.50 ± 0.009 c | 0.43 ± 0.02 a | 0.53 ± 0.03 b | 1.05 ± 0.1 b |
| N-60 | 1.80 ± 0.08 a | 0.75 ± 0.05 a | 0.92 ± 0.04 a | 1.66 ± 0.05 a | ||
| N-100 | 1.05 ± 0.04 b | 0.68 ± 0.07 a | 0.96 ± 0.09 a | 0.93 ± 0.08 b | ||
| p-Value | Crop | ≤0.001 | 0.44 | 0.95 | ≤0.001 | |
| N level | ≤0.001 | 0.13 | 0.40 | ≤0.001 | ||
| Crop×N level | ≤0.001 | 0.15 | ≤0.01 | ≤0.001 |
| Site | N Level | ATERyield | ATERN | LUEyield (%) | LUEN (%) |
|---|---|---|---|---|---|
| N-30 | 0.83 ± 0.07 b | 1.16 ± 0.2 a | 85.5 ± 9.03 abc | 119.5 ± 15.88 ab | |
| S1 | N-60 | 1.07 ± 0.05 ab | 1.17 ± 0.1 a | 110.5 ± 5.81 ab | 120.5 ± 13.59 ab |
| N-100 | 0.54 ± 0.003 c | 0.58 ± 0.03 c | 56 ± 0.52 c | 59 ± 2.62 bc | |
| N-30 | 1.09 ± 0.08 ab | 1.09 ± 0.1 b | 115.5 ± 15.4 ab | 112 ± 14.26 abc | |
| S2 | N-60 | 1.18 ± 0.06 a | 1.19 ± 0.1 a | 126.5 ± 8.53 a | 122 ± 7.35 a |
| N-100 | 1.17 ± 0.1 a | 1.17 ± 0.04 a | 120.5 ± 14.55 a | 137 ± 7.04 a | |
| N-30 | 1.01 ± 0.06 b | 1.06 ± 0.09 b | 103 ± 6.3 abc | 142 ± 10.67 a | |
| S3 | N-60 | 0.67 ± 0.1 c | 0.96 ± 0.1 b | 64.5 ± 15.63 bc | 139.5 ± 23.93 a |
| N-100 | 0.66 ± 0.02 c | 0.51 ± 0.01 c | 65 ± 1.9 bc | 51.5 ± 2.19 c | |
| 47-Value | Site | ≤0.001 | ≤0.01 | ≤0.001 | 0.10 |
| N level | 0.04 | ≤0.001 | 0.04 | ≤0.001 | |
| Site×N level | ≤0.01 | 0.02 | 0.02 | ≤0.01 |
| Sites | N Level | K Wheat | K Chickpea | K |
|---|---|---|---|---|
| N-30 | 0.28 ± 0.03 b | 1.48 ± 0.43 ab | 0.43 ± 0.16 c | |
| S1 | N-60 | 0.33 ± 0.05 b | 4.97 ± 0.12 a | 1.66 ± 0.18 bc |
| N-100 | 0.41 ± 0.05 b | 0.41 ± 0.05 b | 0.17 ± 0.005 c | |
| N-30 | 1.31 ± 0.26 ab | 4.71 ± 1.11 a | 5.92 ± 0.23 a | |
| S2 | N-60 | 1.94 ± 0.57 a | 1.93 ± 0.45 ab | 4.02 ± 1.98 ab |
| N-100 | 0.75 ± 0.14 ab | 3.02 ± 1.26 ab | 1.93 ± 0.52 bc | |
| N-30 | 1.16 ± 0.39 ab | 0.13 ± 0.06 b | 0.12 ± 0.02 c | |
| S3 | N-60 | 1.10 ± 0.35 ab | 0.28 ± 0.11 b | 0.39 ± 0.26 c |
| N-100 | 0.95 ± 0.2 ab | 0.34 ± 0.3405 b | 0.30 ± 0.04 c | |
| p-Value | Site | ≤0.01 | ≤0.001 | ≤0.001 |
| N level | 0.17 | 0.10 | 0.02 | |
| Site×N level | 0.20 | ≤0.01 | 0.02 |
| Sites | N level | CR-YieldChickpea | CR-YieldDurumwheat | CR-NChickpea | CR-NDurumwheat |
|---|---|---|---|---|---|
| N-30 | 2.46 ± 0.2 ab | 0.41 ± 0.03 c | 3.92 ± 0.3 a | 0.25 ± 0.0017 d | |
| S1 | N-60 | 3.13 ± 0.3 a | 0.32 ± 0.03 c | 2.91 ± 0.47 ab | 0.36 ± 0.069 d |
| N-100 | 1.03 ± 0.08 bc | 1.03 ± 0.19 bc | 1.94 ± 0.3 bc | 0.53 ± 0.08 d | |
| N-30 | 1.25 ± 0.4 bc | 0.86 ± 1.77 c | 1.13 ± 0.21 cde | 0.95 ± 0.2 d | |
| S2 | N-60 | 1.17 ± 0.16 bc | 0.88 ± 0.11 bc | 1.76 ± 0.1 cde | 1.35 ± 1.67 d |
| N-100 | 2.28 ± 0.75 ab | 0.52 ± 0.13 c | 1.68 ± 0.57 bcd | 0.72 ± 0.18 d | |
| N-30 | 0.3 ± 0.01 c | 3.38 ± 0.22 a | 0.09 ± 0.004 e | 10.13 ± 0.42 a | |
| S3 | N-60 | 0.6 ± 0.07 c | 1.7 ± 0.2 bc | 0.13 ± 0.004 c | 7.27 ± 0.22 b |
| N-100 | 0.53 ± 0.18 c | 2.42 ± 0.82 ab | 0.4 ± 0.16 de | 3.33 ± 1.02 c | |
| p-Value | Site | ≤0.001 | ≤0.001 | ≤0.001 | ≤0.001 |
| N level | 0.34 | 0.09 | 0.17 | ≤0.001 | |
| Site×N level | ≤0.001 | ≤0.05 | ≤0.001 | ≤0.001 |
Publisher’s Note: MDPI stays neutral with regard to jurisdictional claims in published maps and institutional affiliations. |
© 2021 by the authors. Licensee MDPI, Basel, Switzerland. This article is an open access article distributed under the terms and conditions of the Creative Commons Attribution (CC BY) license (https://creativecommons.org/licenses/by/4.0/).
Share and Cite
Kherif, O.; Seghouani, M.; Zemmouri, B.; Bouhenache, A.; Keskes, M.I.; Yacer-Nazih, R.; Ouaret, W.; Latati, M. Understanding the Response of Wheat-Chickpea Intercropping to Nitrogen Fertilization Using Agro-Ecological Competitive Indices under Contrasting Pedoclimatic Conditions. Agronomy 2021, 11, 1225. https://doi.org/10.3390/agronomy11061225
Kherif O, Seghouani M, Zemmouri B, Bouhenache A, Keskes MI, Yacer-Nazih R, Ouaret W, Latati M. Understanding the Response of Wheat-Chickpea Intercropping to Nitrogen Fertilization Using Agro-Ecological Competitive Indices under Contrasting Pedoclimatic Conditions. Agronomy. 2021; 11(6):1225. https://doi.org/10.3390/agronomy11061225
Chicago/Turabian StyleKherif, Omar, Mounir Seghouani, Bahia Zemmouri, Abderrahim Bouhenache, Mohamed Islam Keskes, Rebouh Yacer-Nazih, Walid Ouaret, and Mourad Latati. 2021. "Understanding the Response of Wheat-Chickpea Intercropping to Nitrogen Fertilization Using Agro-Ecological Competitive Indices under Contrasting Pedoclimatic Conditions" Agronomy 11, no. 6: 1225. https://doi.org/10.3390/agronomy11061225
APA StyleKherif, O., Seghouani, M., Zemmouri, B., Bouhenache, A., Keskes, M. I., Yacer-Nazih, R., Ouaret, W., & Latati, M. (2021). Understanding the Response of Wheat-Chickpea Intercropping to Nitrogen Fertilization Using Agro-Ecological Competitive Indices under Contrasting Pedoclimatic Conditions. Agronomy, 11(6), 1225. https://doi.org/10.3390/agronomy11061225

