Deficit Irrigation as a Tool to Optimize Fruit Quality in Abbé Fetél Pear
Abstract
1. Introduction
2. Materials and Methods
2.1. Plant Material and Experimental Set Up
2.2. Water Relations
2.3. Leaf Gas Exchanges
2.4. Seasonal Fruit and Shoot Growth
2.5. Fruit Dry Matter Content
2.6. Fruit Quality at Harvest
2.7. Fruit Quality and Fruit Waste after Storage
2.8. Data Analysis
3. Results
3.1. Water Relations
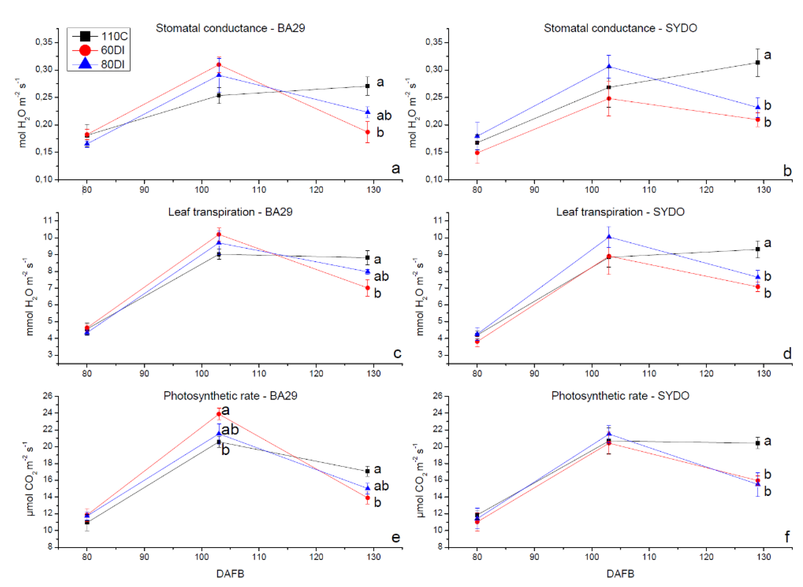
3.2. Leaf Gas Exchanges
3.3. Seasonal Shoot Growth
3.4. Seasonal Fruit Growth
3.5. Fruit Dry Matter Accumulation
3.6. Fruit Quality at Harvest and after Storage
3.7. Fruit Waste after Storage
4. Discussion
4.1. Plant Physiological Response to Water Stress
4.2. Effects of Water Reduction on Fruit Quality
4.3. Avoiding Fruit Waste Thanks to RDI Strategies
5. Conclusions
Author Contributions
Funding
Institutional Review Board Statement
Informed Consent Statement
Data Availability Statement
Conflicts of Interest
References
- IPCC. Climate Change 2014: Synthesis Report. Contribution of Working Groups I, II and III to the Fifth Assessment Report of the Intergovernmental Panel on Climate Change; Pachauri, R.K., Meyer, L.A., Eds.; IPCC: Geneva, Switzerland, 2014; 151p. [Google Scholar]
- Hatfield, J.L.; Boote, K.J.; Kimball, B.A.; Ziska, L.H.; Izaurralde, R.C.; Ort, D.; Thomson, A.M.; Wolfe, D. Climate Impacts on Agriculture: Implications for Crop Production. Agron. J. 2011, 103, 351–370. [Google Scholar] [CrossRef]
- Naor, A.; Peres, M. Pressure-increase rate affects the accuracy of stem water potential measurements in deciduous fruit trees using the pressure-chamber technique. J. Hortic. Sci. Biotechnol. 2001, 76, 661–663. [Google Scholar] [CrossRef]
- Shackel, K.A. Water relations of woody perennial plant species. OENO One 2007, 41, 121. [Google Scholar] [CrossRef]
- Gasque, M.; Martí, P.; Granero, B.; González-Altozano, P. Effects of long-term summer deficit irrigation on ‘Navelina’ citrus trees. Agric. Water Manag. 2016, 169, 140–147. [Google Scholar] [CrossRef]
- Behboudian, M.H.; Marsal, J.; Girona, J.; López, G. Quality and Yield Responses of Deciduous Fruits to Reduce Irrigation. Hortic. Rev. 2011, 38, 149–189. [Google Scholar] [CrossRef]
- Hernandez-Santana, V.; Fernandes, R.; Perez-Arcoiza, A.; Fernández, J.; Garcia, J.; Diaz-Espejo, A. Relationships between fruit growth and oil accumulation with simulated seasonal dynamics of leaf gas exchange in the olive tree. Agric. For. Meteorol. 2018, 256-257, 458–469. [Google Scholar] [CrossRef]
- Kang, S.; Hu, X.; Goodwin, I.; Jerie, P. Soil water distribution, water use, and yield response to partial root zone drying under a shallow groundwater table condition in a pear orchard. Sci. Hortic. 2002, 92, 277–291. [Google Scholar] [CrossRef]
- Ballester, C.; Intrigliolo, D.S.; Castel, J.R. Response of Navel Lane Late citrus trees to regulated deficit irrigation: Yield components and fruit composition. Irrig. Sci. 2011, 31, 333–341. [Google Scholar] [CrossRef]
- El Jaouhari, N.; Abouabdillah, A.; Bouabid, R.; Bourioug, M.; Aleya, L.; Chaoui, M. Assessment of sustainable deficit irrigation in a Moroccan apple orchard as a climate change adaptation strategy. Sci. Total. Environ. 2018, 642, 574–581. [Google Scholar] [CrossRef]
- Marsal, J.; Lopez, G.; Mata, M.; Girona, J. Postharvest deficit irrigation in ‘Conference’ pear: Effects on subsequent yield and fruit quality. Agric. Water Manag. 2012, 103, 1–7. [Google Scholar] [CrossRef]
- Marsal, J.; Rapoport, H.; Manrique, T.; Girona, J. Pear fruit growth under regulated deficit irrigation in container-grown trees. Sci. Hortic. 2000, 85, 243–259. [Google Scholar] [CrossRef]
- Cui, N.; Du, T.; Kang, S.; Li, F.; Zhang, J.; Wang, M.; Li, Z. Regulated deficit irrigation improved fruit quality and water use efficiency of pear-jujube trees. Agric. Water Manag. 2008, 95, 489–497. [Google Scholar] [CrossRef]
- Martínez-Nicolás, J.J.; Galindo, A.; Griñán, I.; Rodríguez, P.; Cruz, Z.N.; Martínez-Font, R.; Carbonell-Barrachina, A.A.; Nouri, H.; Melgarejo, P. Irrigation water saving during pomegranate flowering and fruit set period do not affect Wonderful and Mollar de Elche cultivars yield and fruit composition. Agric. Water Manag. 2019, 226, 105781. [Google Scholar] [CrossRef]
- Lipan, L.; Martín-Palomo, M.J.; Sánchez-Rodríguez, L.; Cano-Lamadrid, M.; Sendra, E.; Hernández, F.; Burló, F.; Vázquez-Araújo, L.; Andreu, L.; Carbonell-Barrachina, Á.A. Almond fruit quality can be improved by means of deficit irrigation strategies. Agric. Water Manag. 2019, 217, 236–242. [Google Scholar] [CrossRef]
- Gelly, M.; Recasens, I.; Girona, J.; Mata, M.; Arbones, A.; Rufat, J.; Marsal, J. Effects of stage II and postharvest deficit irrigation on peach quality during maturation and after cold storage. J. Sci. Food Agric. 2004, 84, 561–568. [Google Scholar] [CrossRef]
- Gonçalves, A.; Silva, E.; Brito, C.; Martins, S.; Pinto, L.; Dinis, L.; Luzio, A.; Martins-Gomes, C.; Fernandes-Silva, A.; Ribeiro, C.; et al. Olive tree physiology and chemical composition of fruits are modulated by different deficit irrigation strategies. J. Sci. Food Agric. 2019, 100, 682–694. [Google Scholar] [CrossRef] [PubMed]
- Morandi, B.; Losciale, P.; Manfrini, L.; Zibordi, M.; Anconelli, S.; Galli, F.; Pierpaoli, E.; Grappadelli, L.C. Increasing water stress negatively affects pear fruit growth by reducing first its xylem and then its phloem inflow. J. Plant Physiol. 2014, 171, 1500–1509. [Google Scholar] [CrossRef]
- Morandi, B.; Losciale, P.; Manfrini, L.; Zibordi, M.; Anconelli, S.; Pierpaoli, E.; Grappadelli, L.C. Leaf gas exchanges and water relations affect the daily patterns of fruit growth and vascular flows in Abbé Fétel pear (Pyrus communis L.) trees. Sci. Hortic. 2014, 178, 106–113. [Google Scholar] [CrossRef]
- Centofanti, T.; Bañuelos, G.S.; Ayars, J.E. Fruit nutritional quality under deficit irrigation: The case of table grapes in California. J. Sci. Food Agric. 2019, 99, 2215–2225. [Google Scholar] [CrossRef] [PubMed]
- Griñán, I.; Galindo, A.; Rodríguez, P.; Morales, D.; Corell, M.; Centeno, A.; González, M.C.; Torrecillas, A.; Carbonell-Barrachina, A.; Hernández, F. Volatile composition and sensory and quality attributes of quince (Cydonia oblonga Mill.) fruits as affected by water stress. Sci. Hortic. 2019, 244, 68–74. [Google Scholar] [CrossRef]
- Lopez, G.; Behboudian, M.; Girona, J.; Marsal, J. Yield and quality responses of deciduous fruit trees to drought and strategies for its mitigation. Acta Hortic. 2014, 1058, 221–227. [Google Scholar] [CrossRef]
- Fernández, J.E.; Perez-Martin, A.; Torres-Ruiz, J.M.; Cuevas, M.V.; Rodriguez-Dominguez, C.M.; Elsayed-Farag, S.; Morales-Sillero, A.; García, J.; Hernandez-Santana, V.; Diaz-Espejo, A. A regulated deficit irrigation strategy for hedgerow olive orchards with high plant density. Plant Soil 2013, 372, 279–295. [Google Scholar] [CrossRef]
- Costa, J.M.; Ortuño, M.F.; Chaves, M.M. Deficit Irrigation as a Strategy to Save Water: Physiology and Potential Application to Horticulture. J. Integr. Plant Biol. 2007, 49, 1421–1434. [Google Scholar] [CrossRef]
- Mészáros, M.; Laňar, L.; Kosina, J.; Náměstek, J. Aspects influencing the rootstock—scion performance during long term evaluation in pear orchard. Hortic. Sci. 2019, 46, 1–8. [Google Scholar] [CrossRef]
- Opazo, I.; Toro, G.; Salvatierra, A.; Pastenes, C.; Pimentel, P. Rootstocks modulate the physiology and growth responses to water deficit and long-term recovery in grafted stone fruit trees. Agric. Water Manag. 2020, 228, 105897. [Google Scholar] [CrossRef]
- Gonçalves, B.; Correia, C.M.; Silva, A.P.; Bacelar, E.A.; Santos, A.; Ferreira, H.; Moutinho-Pereira, J.M. Variation in xylem structure and function in roots and stems of scion–rootstock combinations of sweet cherry tree (Prunus avium L.). Trees 2006, 21, 121–130. [Google Scholar] [CrossRef]
- Edwards, E.; Collins, M.; Boettcher, A.; Clingeleffer, P.; Walker, R. The role of rootstocks in grapevine water use efficiency: Impacts on transpiration, stomatal control and yield efficiency. Acta Hortic. 2014, 1038, 121–128. [Google Scholar] [CrossRef]
- Hofman, P.J.; Vuthapanich, S.; Whiley, A.W.; Klieber, A.; Simons, D.H. Tree yield and fruit minerals concentrations influence ‘Hass’ avocado fruit quality. Sci. Hortic. 2002, 92, 113–123. [Google Scholar] [CrossRef]
- Turner, N.; Long, M. Errors Arising From Rapid Water Loss in the Measurement of Leaf Water Potential by the Pressure Chamber Technique. Funct. Plant Biol. 1980, 7, 527. [Google Scholar] [CrossRef]
- McCutchan, H.; Shackel, K. Stem-water Potential as a Sensitive Indicator of Water Stress in Prune Trees (Prunus domestica L. cv. French). J. Am. Soc. Hortic. Sci. 1992, 117, 607–611. [Google Scholar] [CrossRef]
- Naor, A.; Klein, I.; Doron, I. Stem Water Potential and Apple Size. J. Am. Soc. Hortic. Sci. 1995, 120, 577–582. [Google Scholar] [CrossRef]
- Olmstead, M.A.; Lang, N.S.; Lang, G.A. Carbohydrate profiles in the graft union of young sweet cherry trees grown on dwarfing and vigorous rootstocks. Sci. Hortic. 2010, 124, 78–82. [Google Scholar] [CrossRef]
- Dadashpour, A.; Talaie, A.R.; Askari-Sarcheshmeh, M.A.; Gharaghani, A. Influence of two training systems on growth, yield and fruit attributes of four apple cultivars grafted onto ‘M.9’ rootstock. Adv. Hortic. Sci. 2019, 33, 313–320. [Google Scholar] [CrossRef]
- Perazzoli, B.E.; Pauletti, V.; Quartieri, M.; Toselli, M.; Gotz, L.F. Changes in leaf nutrient content and quality of pear fruits by biofertilizer application in northeastern Italy. Rev. Bras. Frutic. 2020, 42. [Google Scholar] [CrossRef]
- Zegbe, J.A.; Serna-Pérez, A.; Mena-Covarrubias, J. Mineral nutrition enhances yield and affects fruit quality of ‘Cristalina’ cactus pear. Sci. Hortic. 2014, 167, 63–70. [Google Scholar] [CrossRef]
- Miqueloto, A.; Amarante, C.D.; Steffens, C.; Dos Santos, A.; Heinzen, A.; Strauss, R.; Finger, F.; Picoli, E.; Souza, G. Mechanisms regulating fruit calcium content and susceptibility to bitter pit in cultivars of apple. Acta Hortic. 2018, 1194, 469–474. [Google Scholar] [CrossRef]
- González-Fontes, A.; Navarro-Gochicoa, M.T.; Ceacero, C.J.; Herrera-Rodríguez, M.B.; Camacho-Cristóbal, J.J.; Rexach, J. Understanding calcium transport and signaling, and its use efficiency in vascular plants. In Plant Macronutrient Use Efficiency; Hossein, M.A., Kamiya, T., Burritt, D., Phan Tran, L.S., Fujiwara, T., Eds.; Academic Press: Cambridge, MA, USA, 2017; pp. 165–180. [Google Scholar]
- Hocking, B.; Tyerman, S.D.; Burton, R.A.; Gilliham, M. Fruit calcium: Transport and physiology. Front. Plant Sci. 2016, 7, 569. [Google Scholar] [CrossRef] [PubMed]
- Rouphael, Y.; Cardarelli, M.; Schwarz, D.; Franken, P.; Colla, G. Plant Responses to Drought Stress; Aroca, R., Ed.; Springer: Berlin/Heidelberg, Germany, 2012. [Google Scholar] [CrossRef]






| Treatment | Phenological Stage | |
|---|---|---|
| Full Bloom—Fruit Set (% ETc) | Fruit Set—Harvest (% ETc) | |
| 110 C | 110% | 110% | 
| 80 DI | 110% | 80% | 
| 60 DI | 110% | 60% | 
| Harvest | After Storage | ||||
|---|---|---|---|---|---|
| Treatment | Weight (g) | Firmness (kg/cm2) | SSC (° Brix) | Firmness (kg/cm2) | SSC (° Brix) | 
| BA29 110 C | 146.3 ± 10.0 | 6.19 ± 0.13 | 15.00 ± 0.13 | 3.16 ± 0.13 | 14.94 ± 0.65 b | 
| BA29 80 DI | 162.3 ± 9.17 | 6.05 ± 0.13 | 15.19 ± 0.46 | 3.22 ± 0.08 | 16.52 ± 0.30 a | 
| BA29 60 DI | 172.6 ± 8.69 | 6.23± 0.21 | 14.94 ± 0.44 | 3.18 ± 0.07 | 17.56 ± 0.26 a | 
| SYDO 110 C | 232 ± 9.72 a | 6.29 ± 0.14 | 15.99 ± 0.26 | 3.47 ± 0.12 a | 16.67 ± 0.39 | 
| SYDO 80 DI | 241.9 ± 12.61 a | 6.02 ± 0.09 | 15.93 ± 0.20 | 3.65 ± 0.09 a | 16.7 ± 0.11 | 
| SYDO 60 DI | 188.1 ± 11.29 b | 6.07 ± 0.13 | 16.03 ± 0.15 | 3.06 ± 0.08 b | 17.52 ± 0.33 | 
| Publisher’s Note: MDPI stays neutral with regard to jurisdictional claims in published maps and institutional affiliations. | 
© 2021 by the authors. Licensee MDPI, Basel, Switzerland. This article is an open access article distributed under the terms and conditions of the Creative Commons Attribution (CC BY) license (https://creativecommons.org/licenses/by/4.0/).
Share and Cite
Venturi, M.; Manfrini, L.; Perulli, G.D.; Boini, A.; Bresilla, K.; Corelli Grappadelli, L.; Morandi, B. Deficit Irrigation as a Tool to Optimize Fruit Quality in Abbé Fetél Pear. Agronomy 2021, 11, 1141. https://doi.org/10.3390/agronomy11061141
Venturi M, Manfrini L, Perulli GD, Boini A, Bresilla K, Corelli Grappadelli L, Morandi B. Deficit Irrigation as a Tool to Optimize Fruit Quality in Abbé Fetél Pear. Agronomy. 2021; 11(6):1141. https://doi.org/10.3390/agronomy11061141
Chicago/Turabian StyleVenturi, Melissa, Luigi Manfrini, Giulio Demetrio Perulli, Alexandra Boini, Kushtrim Bresilla, Luca Corelli Grappadelli, and Brunella Morandi. 2021. "Deficit Irrigation as a Tool to Optimize Fruit Quality in Abbé Fetél Pear" Agronomy 11, no. 6: 1141. https://doi.org/10.3390/agronomy11061141
APA StyleVenturi, M., Manfrini, L., Perulli, G. D., Boini, A., Bresilla, K., Corelli Grappadelli, L., & Morandi, B. (2021). Deficit Irrigation as a Tool to Optimize Fruit Quality in Abbé Fetél Pear. Agronomy, 11(6), 1141. https://doi.org/10.3390/agronomy11061141
 
         
                                                




 
       