Exploring Suitable Biochar Application Rates with Compost to Improve Upland Field Environment
Abstract
1. Introduction
2. Materials and Methods
2.1. Preparation of Biochar and Compost
2.2. Site Description and Design
2.3. Soil Sampling and Analysis
2.4. Measurement of CO2 and N2O
2.5. Statistical Analysis of Data
3. Results
3.1. Crop Productivity
3.2. Changes in CO2 and N2O Emissions
3.3. Total Fluxes of CO2 and N2O
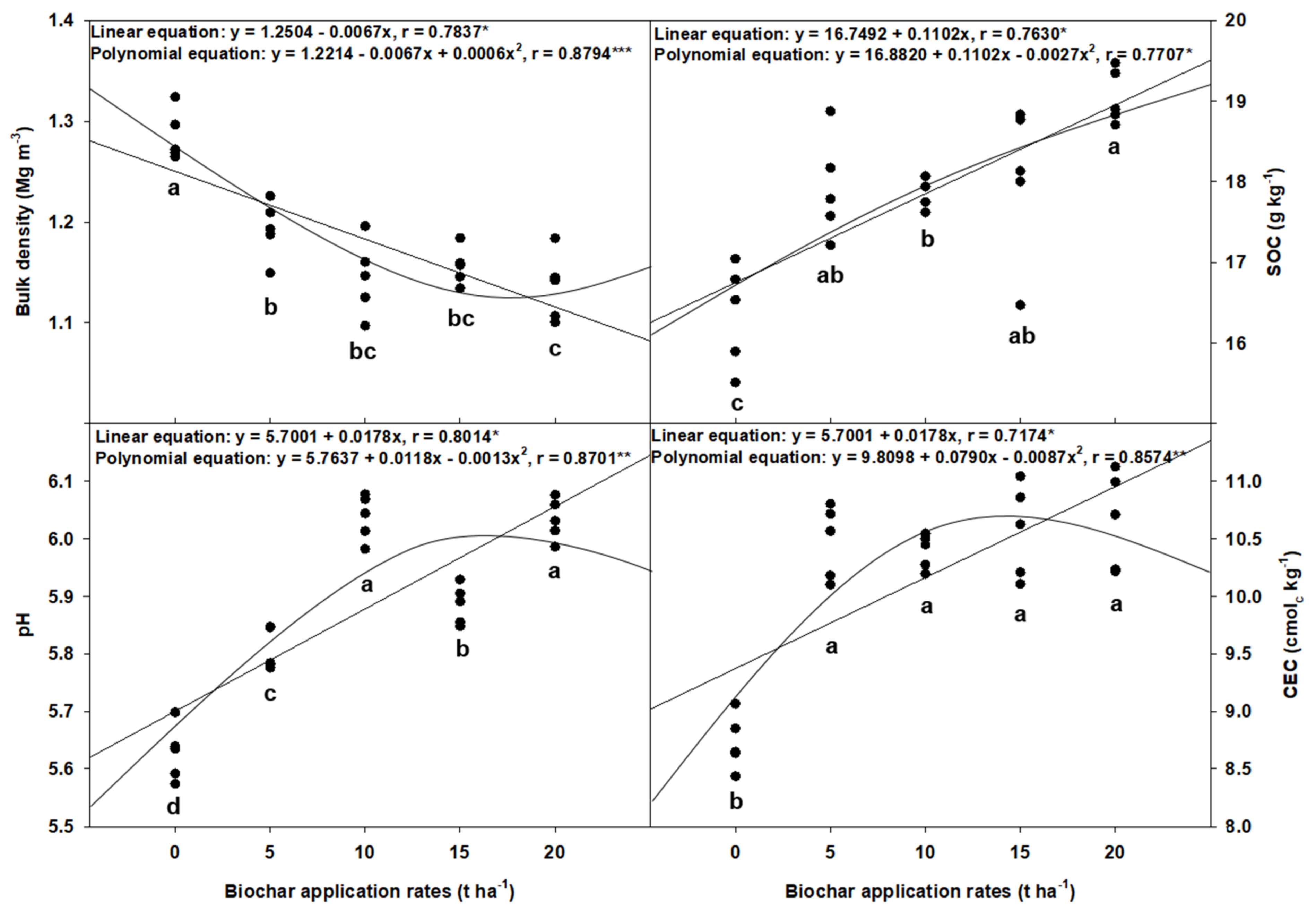
3.4. Soil Properties
4. Discussion
4.1. The Effect of Biochar Application Rates on Crop Productivity
4.2. The Effect of Biochar Application Rates on Emissions of CO2 and N2O
4.3. The Effect of Biochar Application Rates on Soil Quality
5. Conclusions
- (1)
- Biochar application has the potential to improve soil conditions in an upland field;
- (2)
- Crop productivity, soil quality, and greenhouse gas fluxes under different biochar application rates were monitored;
- (3)
- Biochar application improved the bulk density, SOC, pH, and CEC in field soil;
- (4)
- Biochar application significantly reduces N2O emissions and increases soil respiration and crop productivity;
- (5)
- Appropriate biochar application rates need to be defined for upland field environments.
Author Contributions
Funding
Institutional Review Board Statement
Informed Consent Statement
Data Availability Statement
Conflicts of Interest
References
- Ding, Y.; Liu, Y.; Liu, S.; Huang, X.; Li, Z.; Tan, X.; Zeng, G.; Zhou, L. Potential benefits of biochar in agricultural soils: A review. Pedosphere 2017, 27, 645–661. [Google Scholar] [CrossRef]
- Lee, S.B.; Lee, C.H.; Jung, K.Y.; Park, K.D.; Lee, D.K.; Kim, P.J. Changes of soil organic carbon and its fractions in relation to soil physical properties in a long-term fertilized paddy. Soil Tillage Res. 2009, 104, 227–232. [Google Scholar] [CrossRef]
- Bongiovanni, M.D.; Lobartini, J.C. Particulate organic matter, carbohydrate, humic acid contents in soil macro- and microaggregates as affected by cultivation. Geoderma 2006, 136, 660–665. [Google Scholar] [CrossRef]
- Guo, J.H.; Liu, X.J.; Zhang, Y.; Shen, J.L.; Han, W.X.; Zhang, W.F.; Christie, P.; Goulding, K.W.T.; Vitousek, P.M.; Zhang, F.S. Significant acidification in major Chinsese croplands. Science 2010, 327, 1008–1010. [Google Scholar] [CrossRef] [PubMed]
- Kang, S.W.; Lee, W.J.; Jeong, H.G.; Park, J.H.; Lee, J.H.; Yun, J.J.; Kim, S.Y.; Seo, D.C.; Cho, J.S. Effect of application levels of inorganic fertilizer with biochar on corn growth in an upland field. Korean J. Soil Sci. Fertil. 2018, 51, 547–554. [Google Scholar]
- Kang, S.W.; Kim, S.H.; Park, J.H.; Seo, D.C.; Ok, Y.S.; Cho, J.S. Effect of biochar derived from barley straw on soil physicochemical properties, crop growth, and nitrous oxide emission in an upland field in South Korea. Environ. Sci. Pollut. Res. 2018, 25, 25813–25821. [Google Scholar] [CrossRef] [PubMed]
- Palansooriya, K.N.; Ok, Y.S.; Awad, Y.M.; Lee, S.S.; Sung, J.K.; Koutsopyros, A.; Moon, D.H. Impacts of biochar application on upland agriculture: A review. J. Environ. Manag. 2019, 234, 52–64. [Google Scholar] [CrossRef]
- Peng, X.; Ye, L.L.; Wang, C.H.; Zhou, H.; Sun, B. Temperature- and duration-dependent rice straw-derived biochar: Characteristics and its effects on soil properties of an Ultisol in southern China. Soil Tillage Res. 2011, 112, 159–166. [Google Scholar] [CrossRef]
- Angst, T.E.; Six, J.; Reay, D.S.; Sohi, S.P. Impact of pine chip biochar on trace greenhouse gas emissions and soil nutrient dynamics in an annual ryegrass system in California. Agric. Ecosyst. Environ. 2014, 191, 17–26. [Google Scholar] [CrossRef]
- Mclennon, E.; Solomon, J.K.Q.; Neupane, D.; Davison, J. Biochar and nitrogen application rates effect on phosphorus removal from a mixed grass sward irrigated with reclaimed wastewater. Sci. Total. Environ. 2020, 715, 137012. [Google Scholar] [CrossRef]
- Man, Y.; Wang, B.; Wang, J.; Slaný, M.; Yan, H.; Li, P.; El-Naggar, A.; Shaheen, S.M.; Rinkeble, J.; Feng, X. Use of biochar to reduce mercury accumulation in Oryza sativa L: A trial for sustainable management of historically polluted farmlands. Environ. Int. 2021, 153, 106527. [Google Scholar] [CrossRef] [PubMed]
- Luo, X.; Liu, G.; Xia, Y.; Chen, L.; Jiang, Z.; Zheng, H.; Wang, Z. Use of biochar-compost to improve properties and productivity of the degraded coastal soil in the Yellow River Delta, China. J. Soils Sediments 2017, 17, 780–789. [Google Scholar] [CrossRef]
- Martinsen, V.; Alling, V.; Nurida, N.L.; Mulder, J.; Hale, S.E.; Ritz, C.; Rutherford, D.W.; Heikens, A.; Breedveld, G.D.; Cornelissen, G. pH effects of the addition of three biochars to acidic Indonesian mineral soils. Soil Sci. Plant Nutr. 2015, 61, 821–834. [Google Scholar] [CrossRef]
- Rajakumar, R.; Sankar, J. Biochar for sustainable agriculture—review. Int. J. Appl. Pure Sci. Agric. 2016, 2, 173–184. [Google Scholar]
- Sandhu, S.S.; Ussiri, D.A.N.; Kumar, S.; Chintala, R.; Papiernik, S.K.; Malo, D.D.; Schumacher, T.E. Analyzing the impacts of three types of biochar on soil carbon fractions and physiochemical properties in a corn-soybean rotation. Chemosphere 2017, 184, 473–481. [Google Scholar] [CrossRef]
- Zhang, Y.; Wang, H.; Maucieri, C.; Liu, S.; Zou, J. Annual nitric and nitrous oxide emissions response to biochar amendment from an intensive greenhouse vegetable system in southeast China. Sci. Hortic. 2019, 246, 879–886. [Google Scholar] [CrossRef]
- Major, J.; Lehmann, J.; Rondon, M.; Goodale, C. Fate of soil-applied black carbon: Downward migration, leaching and soil respiration. Glob. Chang. Biol. 2010, 16, 1366–1379. [Google Scholar] [CrossRef]
- NIAST. Methods of Soil and Plant Analysis; National Institute of Agricultural Science and Technology, RDA: Suwon, Korea, 2000. [Google Scholar]
- Kang, S.W.; Seo, D.C.; Cheong, Y.H.; Park, J.W.; Park, J.H.; Kang, H.W.; Park, K.D.; Ok, Y.S.; Cho, J.S. Effect of barley straw biochar application on greenhouse gas emissions from upland soil for Chinese cabbage cultivation in short-term laboratory experiments. J. Mt. Sci. 2016, 13, 259–702. [Google Scholar] [CrossRef]
- Oliveira, F.R.; Patel, A.K.; Jaisi, D.P.; Adhikari, S.; Lu, H.; Khanal, S.K. Environmental application of biochar: Current status and perspectives. Bioresour. Technol. 2017, 246, 110–122. [Google Scholar] [CrossRef]
- Major, J. Guideline on Practical Aspects of Biochar Application to Field Soil in Various Soil Management Systems; International Biochar Initiative: Westerville, OH, USA, 2010. [Google Scholar]
- Genesio, L.; Milglietta, F.; Baronti, S.; Vaccari, F.P. Biochar increases vineyard productivity without affecting grape quality: Result from a four years field experiment in Tuscany. Agric. Ecosyst. Environ. 2015, 201, 20–25. [Google Scholar] [CrossRef]
- Mia, S.; van Groenigen, J.W.; van de Voorde, T.F.J.; Oram, N.J.; Bezemer, T.M.; Mommer, L.; Jeffery, S. Biochar application rate affects biological nitrogen fixation in red clover conditional on potassium availability. Agric. Ecosyst. Environ. 2014, 91, 83–91. [Google Scholar] [CrossRef]
- Zhang, A.; Liu, Y.; Pan, G.; Hussain, Q.; Li, L.; Zheng, J.; Zhang, X. Effect of biochar amendment on maize yield and greenhouse gas emissions from a soil organic carbon poor calcareous loamy soil from central China plain. Plant Soil 2012, 351, 263–275. [Google Scholar] [CrossRef]
- Uzoma, K.C.; Inoue, M.; Andry, H.; Fujimaki, H.; Zahoor, A.; Nishiihara, E. Effect of cow manure biochar on maize productivity under sandy soil condition. Soil Use Manag. 2011, 27, 205–212. [Google Scholar] [CrossRef]
- Agegnehu, G.; Bass, A.M.; Nelson, P.N.; Bird, M.I. Benefits of biochar, compost and biochar-compost for soil quality, maize yield and greenhouse gas emissions in a tropical agricultural soil. Sci. Total. Environ. 2016, 543, 295–306. [Google Scholar] [CrossRef] [PubMed]
- Carter, S.; Shackley, S.; Sohi, S.; Suy, T.B.; Haefele, S. The impact of biochar application on soil properties and plant growth of pot grown lettuce (Lactuca sativa) and cabbage (Brassica chinensis). Agronomy 2013, 3, 404–418. [Google Scholar] [CrossRef]
- Liu, Z.; Chen, X.; Jing, Y.; Li, Q.; Zhang, J.; Huang, Q. Effects of biochar amendment on rapeseed and sweet potato yields and water stable aggregate in upland red soil. Catena 2014, 123, 45–51. [Google Scholar] [CrossRef]
- Raboin, L.M.; Razafimahafaly, A.H.D.; Rabenharisoa, M.B.; Rabary, B.; Dusserre, J.; Becquer, T. Improving the fertility of tropical acid soils: Liming versus biochar application? A long term comparison in the highlands of Madagascar. Field Crop. Res. 2016, 199, 99–108. [Google Scholar] [CrossRef]
- Major, J.; Rondon, M.; Molina, D.; Riha, S.J.; Lehmann, J. Maize yield and nutrition during 4 years after biochar application to a Colombian savanna oxisol. Plant Soil 2010, 333, 117–128. [Google Scholar] [CrossRef]
- Zhang, D.; Pan, G.; Wu, G.; Kibue, G.W.; Li, L.; Zhang, X.; Zheng, J.; Zheng, J.; Cheng, K.; Joseph, S.; et al. Biochar helps enhance maize productivity and reduce greenhouse gas emissions under balanced fertilization in a rainfed low fertility inceptisol. Chemosphere 2016, 142, 106–113. [Google Scholar] [CrossRef] [PubMed]
- Rogovska, N.; Laird, D.A.; Rathke, S.J.; Karlen, D.L. Biochar impact on Midwestern Mollisols and maize nutrient availability. Geoderma 2014, 230–231, 340–347. [Google Scholar] [CrossRef]
- Qin, X.; Li, Y.; Wang, H.; Liu, C.; Li, J.; Wan, Y.; Gao, Q.; Fan, F.; Liao, Y. Long-term effect of biochar application on yield-scaled greenhouse gas emissions in a rice paddy cropping system: A four-year case study in south China. Sci. Total. Environ. 2016, 569–570, 1390–1401. [Google Scholar] [CrossRef]
- Liu, X.; Zheng, J.; Zhang, D.; Cheng, K.; Zhou, H.; Zhang, A.; Li, L.; Joseph, S.; Smith, P.; Crowley, D.; et al. Biochar has no effect on soil respiration across Chinese agricultural soils. Sci. Total. Environ. 2016, 554–555, 259–265. [Google Scholar] [CrossRef] [PubMed]
- Hawthorne, I.; Johnson, M.S.; Jassal, R.S.; Black, T.A.; Grant, N.J.; Smukler, S.M. Application of biochar and nitrogen influences fluxes of CO2, CH4 and N2O in a forest soil. J. Environ. Manag. 2017, 192, 203–214. [Google Scholar] [CrossRef] [PubMed]
- Rogovska, N.; Laird, D.; Cruse, R.; Fleming, P.; Parkin, T.; Meek, D. Impact of biochar on manure carbon stabilization and greenhouse gas emissions. Soil Sci. Soc. Am. J. 2011, 75, 871–879. [Google Scholar] [CrossRef]
- Lu, X.; Li, Y.; Wang, H.; Singh, B.P.; Hu, S.; Luo, Y.; Li, J.; Xiao, Y.; Cai, X.; Li, Y. Response of soil greenhouse gas emissions to different application rates of biochar in a subtropical Chinese chestnut plantation. Agric. For. Meteorol. 2019, 271, 168–179. [Google Scholar] [CrossRef]
- Cayuela, M.L.; Sanchez-Monedero, M.A.; Roig, A.; Hanley, K.; Enders, A.; Lehmann, J. Biochar and denitrification in soils: When, how much and why does biochar reduce N2O emission? Sci. Rep. 2013, 3, 1732–1739. [Google Scholar] [CrossRef]
- Lai, W.Y.; Lai, C.M.; Ke, G.R.; Chung, R.S.; Chen, C.T.; Cheng, C.H.; Pai, C.W.; Chen, S.Y.; Chen, C.C. The effects of woodchip biochar application on crop yield, carbon sequestration and greenhouse gas emissions from soils planted with rice or leaf beet. J. Taiwan Inst. Chem. Eng. 2013, 44, 1039–1044. [Google Scholar] [CrossRef]
- Nelissen, V.; Saha, B.K.; Ruysschaert, G.; Boeckx, P. Effect of different biochar and fertilizer types on N2O and NO emissions. Soil Biol. Biochem. 2014, 70, 244–255. [Google Scholar] [CrossRef]
- Bass, A.M.; Bird, M.I.; Kay, G.; Muirhead, B. Soil properties, greenhouse gas emission and crop yield under compost, biochar and co-composted biochar in two tropical agronomic systems. Sci. Total. Environ. 2016, 550, 459–470. [Google Scholar] [CrossRef]
- Tan, Z.; Lin, C.S.K.; Ji, X.; Rainey, T.J. Returning biochar to fields: A review. Appl. Soil Ecol. 2017, 116, 1–11. [Google Scholar] [CrossRef]
- Wang, J.; Pan, X.; Liu, Y.; Zhang, X.; Xiong, Z. Effects of biochar amendment in two soils on greenhouse gas emissions and crop production. Plant Soil 2012, 360, 287–298. [Google Scholar] [CrossRef]
- Zhang, A.; Cui, L.; Pan, G.; Li, L.; Hussain, Q.; Zhang, X.; Zheng, J.; Crowley, D. Effect of biochar amendment on yield and methane and nitrous oxide emissions from a rice paddy from Tai Lake plain, China. Agric. Ecosyst. Environ. 2010, 139, 469–475. [Google Scholar] [CrossRef]
- Clough, T.J.; Condron, L.M.; Kammann, C.; Müller, C. A review of biochar and soil nitrogen dynamics. Agronomy 2013, 3, 275–293. [Google Scholar] [CrossRef]
- Singla, A.; Inubushi, K. Effect of biochar on CH4 and N2O emission from soils vegetated with paddy. Paddy Water Environ. 2014, 12, 239–243. [Google Scholar] [CrossRef]
- Shen, J.; Tang, H.; Liu, J.; Wang, C.; Li, Y.; Ge, T.; Jones, D.L.; Wu, J. Contrasting effects of straw of straw and straw-derived biochar amendments on greenhouse gas emissions within double rice cropping systems. Agric. Ecosyst. Environ. 2014, 188, 264–274. [Google Scholar] [CrossRef]
- Spokas, K.A. Impact of biochar field aging on laboratory greenhouse gas production potentials. Glob. Chang. Biol. Bioenergy 2013, 5, 165–176. [Google Scholar] [CrossRef]
- Lévesque, V.; Rochette, P.; Ziadi, N.; Dorais, M.; Antoun, H. Mitigation of CO2, CH4 and N2O from a fertigated horticultural growing medium amended with biochars and a compost. Appl. Soil Ecol. 2018, 126, 129–139. [Google Scholar] [CrossRef]
- Arshad, M.A.; Lowery, B.; Grossman, B. Physical Tests for Monitoring Soil Quality. In Methods for Assessing Soil Quality; Doran, J.W., Jones, A.J., Eds.; SSSA: Madison, WI, USA, 1996; pp. 123–141. [Google Scholar]
- Jien, S.H.; Wang, C.S. Effects of biochar on soil properties and erosion potential in a highly weathered soil. Catena 2013, 110, 225–233. [Google Scholar] [CrossRef]
- Song, X.; Pan, G.; Zhang, C.; Zhang, L.; Wang, H. Effects of biochar application on fluxes of three biogenic greenhouse gases: A meta-analysis. Ecosyst. Health Sustain. 2016, 2, e01202. [Google Scholar] [CrossRef]
- Rogovska, N.; Laird, D.A.; Karlen, D.L. Corn and soil response to biochar application and stover harvest. Field Crop. Res. 2016, 187, 96–106. [Google Scholar] [CrossRef]
- Niu, Y.; Chen, Z.; Müller, C.; Zaman, M.M.; Kim, D.; Yu, H.; Ding, W. Yield-scaled N2O emissions were effectively reduced by biochar amendment of sandy loam soil under maize—Wheat rotation in the North China Plain. Atmos. Environ. 2017, 170, 58–70. [Google Scholar] [CrossRef]
- Azeem, M.; Hayat, R.; Hussain, Q.; Ahmed, M.; Pan, G.; Tahir, M.I.; Imran, M.; Irfan, M.; Mehmood-ul-Hassan. Biochar improves soil quality and N2-fixation and reduces net ecosystem CO2 exchange in a dryland legume-cereal cropping system. Soil Tillage Res. 2019, 186, 172–182. [Google Scholar] [CrossRef]
- Kelly, C.N.; Calderón, F.C.; Acosta-Martínez, V.; Mikha, M.M.; Benjamic, J.; Rutherford, D.W.; Rostad, C.E. Switchgrass biochar effects on plant biomass and microbial dynamics in two soils from different regions. Pedosphere 2015, 25, 329–342. [Google Scholar] [CrossRef]





| BET SA * | Yield | pH | Elemental Composition | Molar Ratio | |||||||
|---|---|---|---|---|---|---|---|---|---|---|---|
| C | H | O | N | S | H/C | O/C | (O + N)/C | (O + N + S)/C | |||
| (m2 g−1) | (%) | (1:10 H2O) | (%) | ||||||||
| 127 | 30.5 ± 1.76 | 10.5 ± 0.01 | 74.1 ± 0.32 | 2.37 ± 0.07 | 21.7 ± 0.33 | 1.37 ± 0.02 | 0.41 ± 0.00 | 0.38 ± 0.01 | 0.22 ± 0.00 | 0.24 ± 0.00 | 0.24 ± 0.00 |
| Treatment | Corn Cropping Season | Fallow Season | Chinese Cabbage Cropping Season | Annual | ||||
|---|---|---|---|---|---|---|---|---|
| CO2 | N2O | CO2 | N2O | CO2 | N2O | CO2 | N2O | |
| (g m−2) | (mg m−2) | (g m−2) | (mg m−2) | (g m−2) | (mg m−2) | (g m−2) | (mg m−2) | |
| BC0 | 611 ± 80.7 b * | 385 ± 21.1 a | 201 ± 16.6 a | 90.4 ± 9.52 a | 557 ± 8.8 c | 285 ± 5.8 a | 1369 ± 79.8 c | 760 ± 32.7 a |
| BC5 | 688 ± 17.4 ab | 342 ± 11.5 ab | 201 ± 27.2 a | 91.9 ± 20.2 a | 616 ± 70.7 bc | 246 ± 11.4 ab | 1505 ± 69.9 bc | 680 ± 20.5 b |
| BC10 | 724 ± 50.4 ab | 325 ± 13.5 ab | 214 ± 20.6 a | 93.6 ± 12.3 a | 693 ± 69.4 abc | 260 ± 18.9 ab | 1631 ± 59.4 ab | 679 ± 16.2 b |
| BC15 | 771 ± 43.7 ab | 285 ± 41.7 b | 208 ± 26.4 a | 88.3 ± 4.8 a | 775 ± 63.1 a | 219 ± 23.4 b | 1754 ± 91.0 a | 592 ± 41.8 c |
| BC20 | 879 ± 122.2 a | 327 ± 42.7 ab | 235 ± 34.8 a | 93.8 ± 16.8 a | 739 ± 25.9 ab | 229 ± 25.2 b | 1853 ± 131.7 a | 650 ± 12.6 bc |
| p-value | 0.012 | 0.025 | 0.502 | 0.986 | 0.003 | 0.010 | <0.001 | <0.001 |
Publisher’s Note: MDPI stays neutral with regard to jurisdictional claims in published maps and institutional affiliations. |
© 2021 by the authors. Licensee MDPI, Basel, Switzerland. This article is an open access article distributed under the terms and conditions of the Creative Commons Attribution (CC BY) license (https://creativecommons.org/licenses/by/4.0/).
Share and Cite
Kang, S.-W.; Yun, J.-J.; Park, J.-H.; Cho, J.-S. Exploring Suitable Biochar Application Rates with Compost to Improve Upland Field Environment. Agronomy 2021, 11, 1136. https://doi.org/10.3390/agronomy11061136
Kang S-W, Yun J-J, Park J-H, Cho J-S. Exploring Suitable Biochar Application Rates with Compost to Improve Upland Field Environment. Agronomy. 2021; 11(6):1136. https://doi.org/10.3390/agronomy11061136
Chicago/Turabian StyleKang, Se-Won, Jin-Ju Yun, Jae-Hyuk Park, and Ju-Sik Cho. 2021. "Exploring Suitable Biochar Application Rates with Compost to Improve Upland Field Environment" Agronomy 11, no. 6: 1136. https://doi.org/10.3390/agronomy11061136
APA StyleKang, S.-W., Yun, J.-J., Park, J.-H., & Cho, J.-S. (2021). Exploring Suitable Biochar Application Rates with Compost to Improve Upland Field Environment. Agronomy, 11(6), 1136. https://doi.org/10.3390/agronomy11061136

