Leaf Age-Dependent Effects of Boron Toxicity in Two Cucumis melo Varieties
Abstract
1. Introduction
2. Materials and Methods
2.1. Plant Material and Growth Conditions
2.2. Plant Growth and Morphology
2.3. Foliar Macro- and Micro-Nutrient Content
2.4. Photosynthetic Pigment Content
2.5. Total Phenolic and Total Flavonoid Contents
2.6. Thiobarbituric Acid Reactive Substances’ Content
2.7. qPCR Experiments
2.8. Hydrogen Peroxide Assay
2.9. Statistical Analysis
3. Results
3.1. Temporal and Spatial Incidence of B toxicity Symptoms, and B toxicity Effect on Plant Growth and Morphology
3.2. Effect of B toxicity on Photosynthetic Pigment Content and on RCA1 Gene Expression
3.3. Effect of B toxicity on Total Phenolic, Total Flavonoid, Thiobarbituric Acid Reactive Substances’ and H2O2 Contents
3.4. Effect of B toxicity on Foliar Macro- and Micro-Nutrient Content
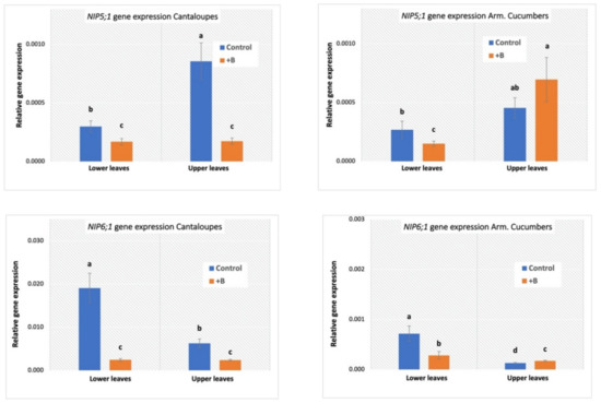
3.5. Effect of B toxicity on Genes Coding for B transporters
4. Discussion
4.1. Growth Impairment and Symptomatology of B toxicity
4.2. Expression of Genes Coding for BOR Transporter Gene Family and NIP Aquaporins under B toxicity
4.3. Leaf Antioxidant Machinery Activation and Mineral Status under B toxicity
5. Conclusions
Supplementary Materials
Author Contributions
Funding
Institutional Review Board Statement
Informed Consent Statement
Data Availability Statement
Acknowledgments
Conflicts of Interest
Abbreviations
| B | Boron |
| BOR | boric acid/borate transporter |
| DW | dry weight |
| GAE | gallic acid equivalent |
| H2O2 | hydrogen peroxide |
| LMR | leaf mass ratio |
| NIP | Nodulin 26-like intrinsic protein |
| RCA | rubisco activase |
| RG-II | rhamnogalacturonan II |
| ROS | reactive oxygen species |
| RUE | rutin equivalent |
| SLA | specific leaf area |
| TBARS | Thiobarbituric acid reactive substances |
| TCA | trichloroacetic acid |
| TF | total flavonoid |
| TP | total phenolic |
References
- Miwa, K.; Fujiwara, T. Boron transport in plants: Coordinated regulation of transporters. Ann. Bot. 2010, 105, 1103–1108. [Google Scholar] [CrossRef] [PubMed]
- Sun, J.; Shi, L.; Zhang, C.; Xu, F. Cloning and characterization of boron transporters in Brassica napus. Mol. Biol. Rep. 2012, 39, 1963–1973. [Google Scholar] [CrossRef] [PubMed]
- Voxeur, A.; Fry, S.C. Glycosylinositol phosphorylceramides from Rosa cell cultures are boron-bridged in the plasma membrane and form complexes with rhamnogalacturonan II. Plant J. 2014, 79, 139–149. [Google Scholar] [CrossRef] [PubMed]
- Landi, M.; Margaritopoulou, T.; Papadakis, I.E.; Araniti, F. Boron toxicity in higher plants: An update. Planta 2019, 250, 1011–1032. [Google Scholar] [CrossRef]
- Papadakis, I.E.; Dimassi, K.N.; Bosabadilis, A.M.; Therios, I.N.; Pataks, A.; Giannakoula, A. Boron toxicity in ‘Clementine’ mandarin plants grafted on two rootstocks. Plant Sci. 2004, 166, 539–547. [Google Scholar] [CrossRef]
- Edelstein, M.; Ben-Hur, M.; Cohen, R.; Burger, Y.; Ravina, I. Boron and salinity effects on grafted and non-grafted melon plants. Plant Soil 2005, 269, 273–284. [Google Scholar] [CrossRef]
- Yau, S.K.; Ryan, J. Boron toxicity tolerance in crops: A viable alternative to soil amelioration. Crop Sci. 2008, 48, 853–865. [Google Scholar] [CrossRef]
- Kekec, G.; Sakcali, M.S.; Uzonur, I. Assesment of genotoxic effects of boron on wheat (Triticum aestivum L.) and bean (Phaseolus vulgaris L.) by using RAPD analysis. Bull. Environ. Contam. Toxicol. 2010, 84, 759–764. [Google Scholar] [CrossRef]
- Cook, B.I.; Mankin, J.S.; Marvel, K.; Williams, A.P.; Smerdon, J.E.; Anchukaitis, K.J. Twenty-first century drought projections in the CMIP6 forcing scenarios. Earth’s Future 2020, 8, e2019EF001461. [Google Scholar] [CrossRef]
- Gunes, A.; Soylemezoglu, G.; Inal, A.; Bagci, E.G.; Coban, S.; Sahin, O. Antioxidant and stomatal responses of grapevine (Vitis vinifera L.) to boron toxicity. Sci. Hortic. 2006, 110, 279–284. [Google Scholar] [CrossRef]
- Pereira, G.L.; Siqueira, J.A.; Batista-Silva, W.; Cardoso, F.B.; Nunes-Nesi, A.; Araújo, W.L. Boron: More than an essential element for land plants? Front. Plant Sci. 2021, 11, 610307. [Google Scholar] [CrossRef]
- Chen, Y.; Fanourakis, D.; Tsaniklidis, G.; Aliniaeifard, S.; Yang, Q.; Li, T. Low UVA intensity during cultivation improves the lettuce shelf-life, an effect that is not sustained at higher intensity. Postharvest Biol. Technol. 2021, 172, 111376. [Google Scholar] [CrossRef]
- Takano, J.; Noguchi, K.; Yasumori, M.; Kobayashi, M.; Gajdos, Z.; Miwa, K.; Hayashi, H.; Yoneyama, T.; Fujiwara, T. Arabidopsis boron transporter for xylem loading. Nature 2002, 420, 337–340. [Google Scholar] [CrossRef]
- Miwa, K.; Takano, J.; Omori, H.; Seki, M.; Shinozaki, K.; Fujiwara, T. Plants tolerant of high boron levels. Science 2007, 318, 1417. [Google Scholar] [CrossRef]
- Miwa, K.; Aibara, I.; Fujiwara, T. Arabidopsis thaliana BOR4 is upregulated under high boron conditions and confers tolerance to high boron. Soil Sci. Plant Nutr. 2014, 60, 349–355. [Google Scholar] [CrossRef]
- Tanaka, M.; Wallace, I.S.; Takano, J.; Roberts, D.M.; Fujiwara, T. NIP6;1 is a boric acid channel for preferential transport of boron to growing short tissues in Arabidopsis. Plant Cell 2008, 20, 2860–2875. [Google Scholar] [CrossRef]
- Bellaloui, N.; Brown, P.H.; Dandekar, A.M. Manipulation of in vivo sorbitol production alters boron uptake and transport in tobacco. Plant Physiol. 1999, 119, 735–742. [Google Scholar] [CrossRef]
- Tsiantas, P.I.; Papadakis, I.E.; Tsaniklidis, G.; Landi, M.; Psychoyou, M. Allocation pattern, nutrient partitioning, sugar metabolism, and pigment composition in hydroponically grown loquat seedlings subjected to increasing boron concentrations. J. Soil Sci. Plant Nutr. 2019, 19, 556–564. [Google Scholar] [CrossRef]
- Goldberg, S.; Shouse, P.J.; Lesch, S.M.; Grieve, C.M.; Poss, J.A.; Foster, H.S.; Suarez, D.L. Effect of high boron application on boron content and growth of melons. Plant Soil 2003, 256, 403–411. [Google Scholar] [CrossRef]
- Chyla, M.A.; Zyrnicki, W. Determination of metal concentrations in animal hair by the ICP method. Comparison of various washing procedures. Biol. Trace Elem. Res. 2000, 75, 187–194. [Google Scholar] [CrossRef]
- Chapman, H.D.; Pratt, P.F. Methods of Analysis for Soils, Plants and Waters; Division of Agricultural Sciences, University of California: Riverside, CA, USA, 1961; p. 309. [Google Scholar]
- Hassanvand, F.; Rezaei Nejad, A.; Fanourakis, D. Morphological and physiological components mediating the silicon-induced enhancement of geranium essential oil yield under saline conditions. Ind. Crops Prod. 2019, 134, 19–25. [Google Scholar] [CrossRef]
- Lichtenthaler, H.K.; Buschmann, C. Chlorophylls and carotenoids: Measurement and characterization by UV-VIS spectroscopy. Curr. Protoc. Food Anal. Chem. 2001, 1, F4.3.1–F4.3.8. [Google Scholar] [CrossRef]
- Kafkaletou, M.; Christopoulos, M.V.; Tsaniklidis, G.; Papadakis, I.; Ioannou, D.; Tzoutzoukou, C.; Tsantili, E. Nutritional value and consumer-perceived quality of fresh goji berries (Lycium barbarum L. and L. chinense L.) from plants cultivated in Southern Europe. Fruits 2018, 73, 5–12. [Google Scholar] [CrossRef]
- Singleton, V.L.; Orthofer, R.; Lamuela-Raventos, R.M. Analysis of total phenols and other oxidation substrates and antioxidants by means of Folin-Ciocalteu reagent. Methods Enzymol. 1999, 299, 152–178. [Google Scholar]
- Aryal, S.; Baniya, M.K.; Danekhu, K.; Kunwar, P.; Gurung, R.; Koirala, N. Total phenolic content, flavonoid content and antioxidant potential of wild vegetables from Western Nepal. Plants 2019, 8, 96. [Google Scholar] [CrossRef]
- Heath, R.L.; Packer, L. Photoperoxidation in isolated chloroplasts. I. Kinetics and stoichiometry of fatty acid peroxidation. Arch. Biochem. Biophys. 1968, 125, 189–198. [Google Scholar] [CrossRef]
- Papadakis, I.E.; Tsiantas, P.I.; Tsaniklidis, G.; Landi, M.; Psychoyou, M.; Fasseas, C. Changes in sugar metabolism associated to stem bark thickening partially assist young tissues of Eriobotrya japonica seedlings under boron stress. J. Plant Physiol. 2018, 231, 337–345. [Google Scholar] [CrossRef] [PubMed]
- Tsaniklidis, G.; Pappi, P.; Tsafouros, A.; Charova, S.N.; Nikoloudakis, N.; Roussos, P.A.; Paschalidis, K.A.; Delis, C. Polyamine Homeostasis in Tomato Biotic/Abiotic Stress Cross-Tolerance. Gene 2020, 727, 144230. [Google Scholar] [CrossRef]
- Tsaniklidis, G.; Chatzistathis, T.; Fanourakis, D.; Nikoloudakis, N.; Kotsiras, A.; Delis, C.; Tzortzakakis, E.A. Leaf antioxidant machinery stimulation by Meloidogyne javanica infestation: A case study on Cucumis melo seedlings. Plant Stress 2021, 1, 100002. [Google Scholar] [CrossRef]
- Brown, P.H.; Shelp, B.J. Boron mobility in plants. Plant Soil 1997, 193, 85–101. [Google Scholar] [CrossRef]
- Francois, L.E. Effect of excess boron on summer and winter squash. Plant Soil 1992, 147, 163–170. [Google Scholar] [CrossRef]
- Fanourakis, D.; Aliniaeifard, S.; Sellin, A.; Giday, H.; Körner, O.; Rezaei Nejad, A.; Delis, C.; Bouranis, D.; Koubouris, G.; Kambourakis, E.; et al. Stomatal behavior following mid- or long-term exposure to high relative air humidity: A review. Plant Physiol. Biochem. 2020, 153, 92–105. [Google Scholar] [CrossRef]
- Giday, H.; Kjaer, K.H.; Ottosen, C.O.; Fanourakis, D. Cultivar differences in plant transpiration rate at high relative air humidity are not related to genotypic variation in stomatal responsiveness. Acta Hortic. 2015, 1064, 99–106. [Google Scholar] [CrossRef]
- Carvalho, D.R.A.; Fanourakis, D.; Correia, M.J.; Monteiro, J.A.; Araújo-Alves, J.P.L.; Vasconcelos, M.W.; Almeida, D.P.F.; Heuvelink, E.; Carvalho, S.M.P. Root-to-shoot ABA signaling does not contribute to genotypic variation in stomatal functioning induced by high relative air humidity. Environ. Exp. Bot. 2016, 123, 13–21. [Google Scholar] [CrossRef]
- Lovatt, C.J.; Bates, L.M. Early effects of excess boron on photosynthesis and growth of Cucurbita pepo. J. Exp. Bot. 1984, 35, 297–305. [Google Scholar] [CrossRef]
- Seif, M.; Aliniaeifard, S.; Arab, M.; Mehrjerdi, M.Z.; Shomali, A.; Fanourakis, D.; Li, T.; Woltering, E. Monochromatic red light during plant growth decreases the size and improves the functionality of stomata in chrysanthemum. Funct. Plant Biol. 2021, 48, 515–528. [Google Scholar] [CrossRef]
- Cervilla, L.M.; Blasco, B.; Ríos, J.J.; Rosales, M.A.; Rubio-Wilhelmi, M.M.; Sánchez-Rodríguez, E.; Romero, R.; Ruiz, J.M. Response of nitrogen metabolism to boron toxicity in tomato plants. Plant Biol. 2009, 5, 671–677. [Google Scholar] [CrossRef]
- Perdomo, J.A.; Capó-Bauçà, S.; Carmo-Silva, A.E.; Galmés, J. Rubisco and Rubisco activase play an important role in the biochemical limitations of photosynthesis in rice, wheat, and maize under high temperature and water deficit. Front. Plant Sci. 2017, 8, 490. [Google Scholar] [CrossRef]
- Tominaga, J.; Takahashi, S.; Sakamoto, A.; Shimada, H. Arabidopsis BSD2 reveals a novel redox regulation of Rubisco physiology in vivo. Plant Signal. Behav. 2020, 15, 873–876. [Google Scholar] [CrossRef]
- Roig-Oliver, M.; Nadal, M.; Clemente-Moreno, M.J.; Bota, J.; Flexas, J. Cell wall components regulate photosynthesis and leaf water relations of Vitis vinifera cv. Grenache acclimated to contrasting environmental conditions. J. Plant Physiol. 2020, 244, 153084. [Google Scholar] [CrossRef]
- Wu, X.; Lu, X.; Riaz, M.; Yan, L.; Jiang, C. Boron deficiency and toxicity altered the subcellular structure and cell wall composition architecture in two citrus rootstocks. Sci. Hort. 2018, 238, 147–154. [Google Scholar] [CrossRef]
- Chen, M.; Mishra, S.; Heckathorn, S.A.; Frantz, J.M.; Krause, C. Proteomic analysis of Arabidopsis thaliana leaves in response to acute boron deficiency and toxicity reveals effects on photosynthesis, carbohydrate metabolism, and protein synthesis. J. Plant Physiol. 2014, 171, 235–242. [Google Scholar] [CrossRef] [PubMed]
- Aibara, I.; Hirai, T.; Kasai, K.; Takano, J.; Onouchi, H.; Naito, S.; Fujiwara, T.; Miwa, K. Boron-dependent translational suppression of the borate exporter BOR1 contributes to the avoidance of boron toxicity. Plant Physiol. 2018, 177, 759–774. [Google Scholar] [CrossRef] [PubMed]
- Du, W.; Pan, Z.Y.; Hussain, S.B.; Han, Z.X.; Peng, S.A.; Liu, Y.Z. Foliar supplied boron can be transported to roots as a boron-sucrose complex via phloem in citrus trees. Front. Plant. Sci. 2020, 11, 250. [Google Scholar] [CrossRef] [PubMed]
- Miwa, K.; Tanaka, M.; Kamiya, T.; Fujiwara, T. Molecular mechanisms of boron transport in plants: Involvement of Arabidopsis NIP5;1 and NIP6;1. Adv. Exp. Med. Biol. 2010, 679, 83–96. [Google Scholar] [PubMed]
- Mitani-Ueno, N.; Yamaji, N.; Zhao, F.J.; Ma, J.F. The aromatic/arginine selectivity filter of NIP aquaporins plays a critical role in substrate selectivity for silicon, boron, and arsenic. J. Exp. Bot. 2011, 62, 4391–4398. [Google Scholar] [CrossRef]
- Macho-Rivero, M.A.; Herrera-Rodríguez, M.B.; Brejcha, R.; Schäffner, A.R.; Tanaka, N.; Fujiwara, T.; Camacho-Cristóbal, J.J. Boron toxicity reduces water transport from root to shoot in Arabidopsis plants. Evidence for a reduced transpiration rate and expression of major PIP aquaporin genes. Plant Cell Physiol. 2018, 59, 836–844. [Google Scholar] [CrossRef]
- Tanaka, M.; Takano, J.; Chiba, Y.; Lombardo, F.; Ogasawara, Y.; Onouchi, H.; Naito, S.; Fujiwara, T. Boron-dependent degradation of NIP5;1 mRNA for acclimation to excess boron condition in Arabidopsis. Plant Cell 2011, 23, 3547–3559. [Google Scholar] [CrossRef]
- Yoshinari, A.; Takano, J. Insights into the mechanisms underlying boron homeostasis in plants. Front Plant Sci. 2017, 8, 1951. [Google Scholar] [CrossRef]
- Hrmova, M.; Gilliham, M.; Tyerman, S.D. Plant transporters involved in combating boron toxicity: Beyond 3D structures. Biochem. Soc. Trans. 2020, 48, 1683–1696. [Google Scholar] [CrossRef]
- Julkowska, M.M. Adjusting boron transport by two-step tuning of levels of the efflux transporter BOR1. Plant Physiol. 2018, 177, 439–440. [Google Scholar] [CrossRef]
- Takano, J.; Tanaka, M.; Toyoda, A.; Miwa, K.; Kasai, K.; Fuji, K.; Onouchi, H.; Naito, S.; Fujiwara, T. Polar localization and degradation of Arabidopsis boron transporters through distinct trafficking pathways. Proc. Natl. Acad. Sci. USA 2010, 107, 5220–5225. [Google Scholar] [CrossRef]
- Miwa, K.; Fujiwara, T. Role of overexpressed BOR4, a boron exporter, in tolerance to high level of boron in shoots. Soil Sci. Plant Nutr. 2011, 57, 558–565. [Google Scholar] [CrossRef]
- Miwa, K.; Wakuta, S.; Takada, S.; Ide, K.; Takano, J.; Naito, S.; Omori, H.; Matsunaga, T.; Fujiwara, T. Roles of BOR2, a boron exporter, in cross linking of rhamnogalacturonan II and root elongation under boron limitation in Arabidopsis. Plant Physiol. 2013, 163, 1699–1709. [Google Scholar] [CrossRef]
- Reid, R.J.; Fitzpatrick, K.L. Redistribution of boron in leaves reduces boron toxicity. Plant Signal. Behav. 2009, 4, 1091–1093. [Google Scholar] [CrossRef]
- Dutta, S.; Mitra, M.; Agarwal, P.; Mahapatra, K.; De, S.; Sett, U.; Roy, S. Oxidative and genotoxic damages in plants in response to heavy metal stress and maintenance of genome stability. Plant Signal. Behav. 2018, 13, e1460048. [Google Scholar] [CrossRef]









| Leaf DW (g) | Shoot DW (g) | Root DW (g) | Total DW (g) | Leaf Area (cm2 Plant−1) | SLA (cm2 g−1) | LMR (g g−1) | Root-to-Shoot Ratio (g g−1) | |
|---|---|---|---|---|---|---|---|---|
| Cantaloupes Control | 0.397 ± 0.040 a | 0.142 ± 0.030 b | 0.146 ± 0.015 a | 0.685 ± 0.052 a | 228.9 ± 18.8 a | 576 ± 70 b | 0.579 ± 0.065 a | 1.02 ± 0.25 a |
| Cantaloupes + B | 0.338 ± 0.025 b | 0.140 ± 0.031 b | 0.124 ± 0.023 ab | 0.602 ± 0.045 a | 185.0 ± 18.4 bc | 547 ± 66 b | 0.561 ± 0.059 a | 0.89 ± 0.27 a |
| Armenian cucumbers Control | 0.289 ± 0.020 c | 0.254 ± 0.044 a | 0.137 ± 0.014 a | 0.680 ± 0.047 a | 202.5 ± 12.5 ab | 700 ± 37 b | 0.425 ± 0.050 b | 0.54 ± 0.09 b |
| Armenian cucumbers + B | 0.219 ± 0.022 d | 0.268 ± 0.036 a | 0.114 ± 0.017 b | 0.600 ± 0.041 a | 156.7 ± 17.0 c | 717 ± 78 b | 0.363 ± 0.045 b | 0.43 ± 0.05 b |
| H2O2 Content (μmol g−1) | ||
|---|---|---|
| Control | +B | |
| Cantaloupes Lower leaves | 0.440 ± 0.031 c | 0.687 ± 0.039 a |
| Cantaloupes Upper leaves | 0.560 ± 0.056 b | 0.597 ± 0.053 ab |
| Armenian cucumbers Lower leaves | 0.525 ± 0.054 c | 0.771 ± 0.051 a |
| Armenian cucumbers Upper leaves | 0.558 ± 0.053 bc | 0.639 ± 0.031 b |
| Treatment | N (%) | P (%) | K (%) | Ca (%) | Mg (%) | Mn (mg·kg−1) | Zn (mg·kg−1) | Fe (mg·kg−1) | Cu (mg·kg−1) | Na (% d.w.) |
|---|---|---|---|---|---|---|---|---|---|---|
| Cantaloupes Control | 5.61 ± 0.73 a | 2.04 ± 0.17 b | 3.57 ± 0.22 a | 0.95 ± 0.10 b | 1.52 ± 0.19 b | 143 ± 28 a | 36 ± 4 a | 123 ± 38 a | 41 ± 7 a | 0.62 ± 0.10 b |
| Cantaloupes + B | 5.24 ± 0.57 a | 2.47 ± 0.29 ab | 3.59 ± 0.33 a | 1.34 ± 0.18 a | 2.14 ± 0.32 a | 184 ± 40 a | 43 ± 6 a | 133 ± 41 a | 28 ± 3 b | 0.88 ± 0.12 a |
| Armenian cucumbers Control | 6.84 ± 0.77 a | 2.26 ± 0.28 ab | 2.26 ± 0.37 b | 0.92 ± 0.11 b | 1.26 ± 0.17 b | 139 ± 54 a | 42 ± 8 a | 157 ± 27 a | 33 ± 5 a | 0.42 ± 0.09 c |
| Armenian cucumbers + B | 5.51 ± 0.46 a | 2.60 ± 0.31 a | 2.09 ± 0.35 b | 1.21 ± 0.14 a | 1.92 ± 0.25 a | 178 ± 34 a | 043 ± 6 a | 113 ± 23 a | 31 ± 6 a | 0.46 ± 0.08 c |
Publisher’s Note: MDPI stays neutral with regard to jurisdictional claims in published maps and institutional affiliations. |
© 2021 by the authors. Licensee MDPI, Basel, Switzerland. This article is an open access article distributed under the terms and conditions of the Creative Commons Attribution (CC BY) license (https://creativecommons.org/licenses/by/4.0/).
Share and Cite
Chatzistathis, T.; Fanourakis, D.; Aliniaeifard, S.; Kotsiras, A.; Delis, C.; Tsaniklidis, G. Leaf Age-Dependent Effects of Boron Toxicity in Two Cucumis melo Varieties. Agronomy 2021, 11, 759. https://doi.org/10.3390/agronomy11040759
Chatzistathis T, Fanourakis D, Aliniaeifard S, Kotsiras A, Delis C, Tsaniklidis G. Leaf Age-Dependent Effects of Boron Toxicity in Two Cucumis melo Varieties. Agronomy. 2021; 11(4):759. https://doi.org/10.3390/agronomy11040759
Chicago/Turabian StyleChatzistathis, Theocharis, Dimitrios Fanourakis, Sasan Aliniaeifard, Anastasios Kotsiras, Costas Delis, and Georgios Tsaniklidis. 2021. "Leaf Age-Dependent Effects of Boron Toxicity in Two Cucumis melo Varieties" Agronomy 11, no. 4: 759. https://doi.org/10.3390/agronomy11040759
APA StyleChatzistathis, T., Fanourakis, D., Aliniaeifard, S., Kotsiras, A., Delis, C., & Tsaniklidis, G. (2021). Leaf Age-Dependent Effects of Boron Toxicity in Two Cucumis melo Varieties. Agronomy, 11(4), 759. https://doi.org/10.3390/agronomy11040759

