Propagation of Jasminum parkeri: A Critically Endangered Wild Ornamental Woody Shrub from Western Himalaya
Abstract
1. Introduction
2. Materials and Methods
2.1. Experimental Location
2.2. Source of Plant Material
2.3. Rooting Growth Regulators Treatment
2.4. Morphological Assessment
2.5. Vegetative and Flowering Phenology
2.6. Data Analysis
3. Results
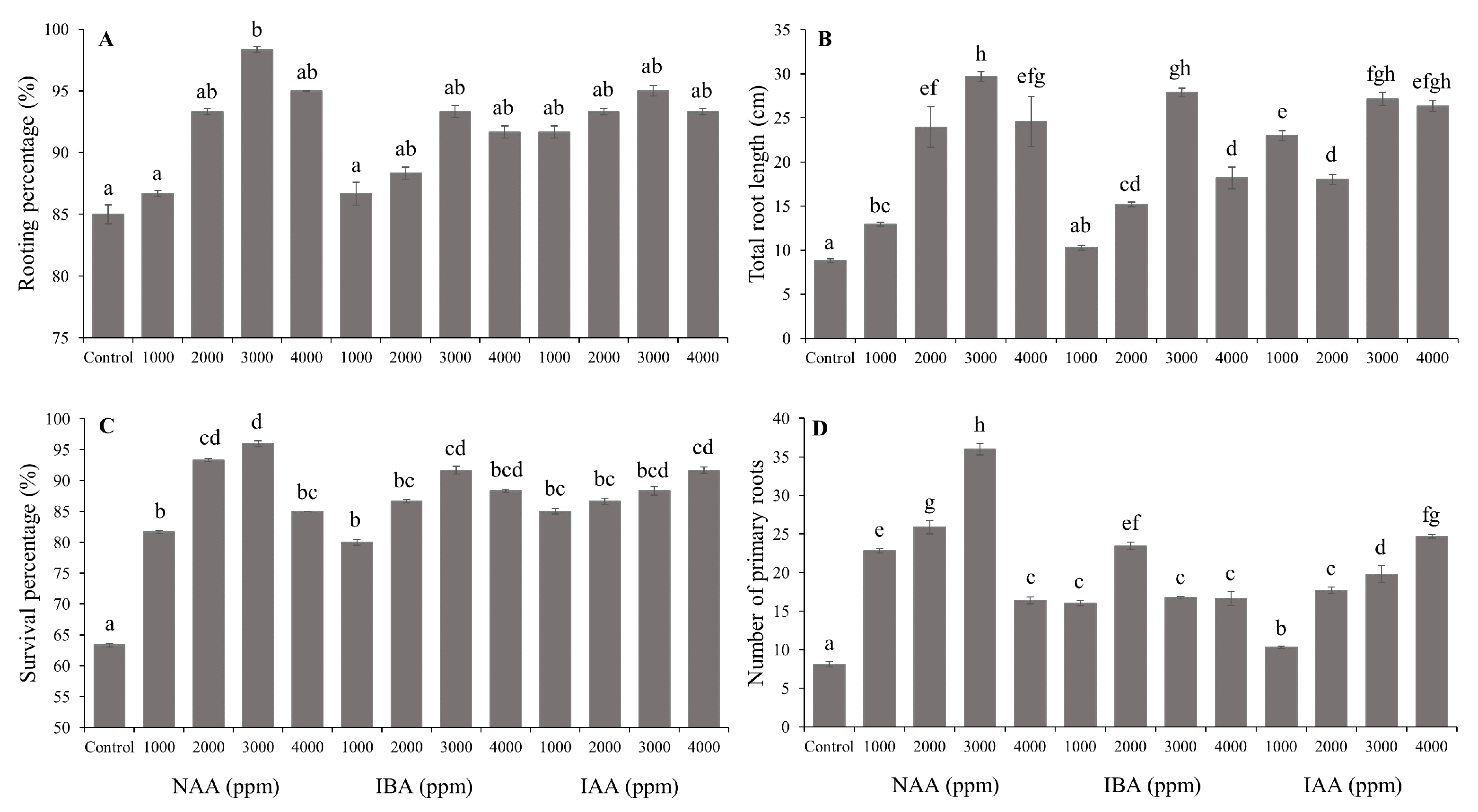
3.1. Rooting Response of Stem Cuttings
3.2. Shoot Formation in Rooted Cuttings
3.3. Vegetative and Flowering Phenology
4. Discussion
5. Conclusions
Author Contributions
Funding
Institutional Review Board Statement
Informed Consent Statement
Data Availability Statement
Acknowledgments
Conflicts of Interest
References
- Pimm, S.L.; Jenkins, C.N.; Abell, R.; Brooks, T.M.; Gittleman, J.L.; Joppa, L.N.; Raven, P.H.; Roberts, C.M.; Sexton, J.O. The biodiversity of species and their rates of extinction, distribution, and protection. Science 2014, 344, 1246752. [Google Scholar] [CrossRef] [PubMed]
- Mehta, P.; Chandra Sekar, K.; Bhatt, D.; Tewari, A.; Bisht, K.; Upadhyay, S.; Negi, V.S.; Soragi, B. Conservation and prioritization of threatened plants in Indian Himalayan Region. Biodivers. Conserv. 2020, 29, 1723–1745. [Google Scholar] [CrossRef]
- Venkataraman, K.; Sivaperuman, C. Biodiversity hotspots in India. In Indian Hotspots; Springer: Singapore, 2018; pp. 1–27. [Google Scholar]
- Rands, M.R.; Adams, W.M.; Bennun, L.; Butchart, S.H.; Clements, A.; Coomes, D.; Entwistle, A.; Hodge, I.; Kapos, V.; Scharlemann, J.P.; et al. Biodiversity Conservation: Challenges Beyond 2010. Science 2010, 329, 1298–1303. [Google Scholar] [CrossRef]
- Lal, B.; Datta, A.; Parkash, O.; Singh, R.D. Rediscovery of Jasminum parkeri Dunn, an endemic and endangered taxon from the western Himalaya, India. Biodivers. Res. Conserv. 2014, 34, 11–16. [Google Scholar] [CrossRef]
- Seaton, P.T.; Hu, H.; Perner, H.; Pritchard, H.W. Ex Situ Conservation of Orchids in a Warming World. Bot. Rev. 2010, 76, 193–203. [Google Scholar] [CrossRef]
- Deepak, K.G.K.; Suneetha, G.; Surekha, C. A simple and effective method for vegetative propagation of an endangered medicinal plant Salacia oblonga Wall. J. Nat. Med. 2016, 70, 115–119. [Google Scholar] [CrossRef] [PubMed]
- Sajjad, Y.; Jaskani, M.J.; Asif, M.; Qasim, M. Application of plant growth regulators in ornamental plants: A review. Pak. J. Agric. Sci. 2017, 54, 327–333. [Google Scholar]
- Salachna, P.; Zawadzińska, A. Effect of daminozide and flurprimidol on growth, flowering and bulb yield of Eucomis autumnalis (Mill.) Chitt. Folia Hortic. 2017, 29, 33–38. [Google Scholar] [CrossRef][Green Version]
- Hartmann, H.T.; Kester, D.E.; Davies, F.T.; Geneve, R.L. Hartmann and Kester’s Plant Propagation: Principles and Practices; Prentice-Hall: Upper Saddle River, NJ, USA, 2010. [Google Scholar]
- Blythe, E.K.; Sibley, J.L.; Tilt, K.M.; Ruter, J.M. Methods of auxin application in cutting propagation: A review of 70 years of scientific discovery and commercial practice. J. Environ. Hortic. 2007, 25, 166–185. [Google Scholar] [CrossRef]
- Da Costa, C.T.; De Almeida, M.R.; Ruedell, C.M.; Schwambach, J.; Maraschin, F.D.S.; Fett-Neto, A.G. When stress and development go hand in hand: Main hormonal controls of adventitious rooting in cuttings. Front. Plant Sci. 2013, 4, 133. [Google Scholar] [CrossRef]
- Lakehal, A.; Chaabouni, S.; Cavel, E.; Le Hir, R.; Ranjan, A.; Raneshan, Z.; Novák, O.; Păcurar, D.I.; Perrone, I.; Jobert, F.; et al. A Molecular Framework for the Control of Adventitious Rooting by TIR1/AFB2-Aux/IAA-Dependent Auxin Signaling in Arabidopsis. Mol. Plant 2019, 12, 1499–1514. [Google Scholar] [CrossRef]
- Kishore, G.R. Effect of type of cuttings and concentration of NAA on the rooting performance of jasmine (Jasminum humile). Hortflora Res. Spectr. 2016, 5, 86–87. [Google Scholar]
- Singh, S.P. Rooting studies in Jasminum sambac cw ‘Madanban’ by terminal cuttings under intermittent mist with the aid of auxins. South Indian Hortic. 1979, 27, 68–69. [Google Scholar]
- Ashok, A.D.; Ravivarman, J. Efficacy of naphthalene acetic acid on root promotion on vegetative propagation of Tecoma stans under mist chamber of semi-arid tropic region. J. Pharmacogn. Phytochem. 2020, 9, 3000–3002. [Google Scholar]
- Nissen, S.J.; Sutter, E.G. Stability of IAA and IBA in nutrient medium to several tissue culture procedures. HortScience 1990, 25, 800–802. [Google Scholar] [CrossRef]
- Prajapati, N.; Padhiar, B.V.; Patel, P.U.; PATEL, P. Effect of Plant Growth Regulators on Rooting of Cutting in Black Pepper (Piper nigrum L.) cv. Panniyar-1 Under Protected Condition. Trends Biosci. 2018, 11, 2133–2136. [Google Scholar]
- Negi, S.; Ivanchenko, M.G.; Muday, G.K. Ethylene regulates lateral root formation and auxin transport in Arabidopsis thaliana. Plant J. 2008, 55, 175–187. [Google Scholar] [CrossRef]
- Bhardwaj, D.R.; Mishra, V.K. Vegetative propagation of Ulmus villosa: Effects of plant growth regulators, collection time, type of donor and position of shoot on adventitious root formation in stem cuttings. New For. 2005, 29, 105–116. [Google Scholar] [CrossRef]
- Shao, F.; Wang, S.; Huang, W.; Liu, Z. Effects of IBA on the rooting of branch cuttings of Chinese jujube (Zizyphus jujube Mill.) and changes to nutrients and endogenous hormones. J. For. Res. 2018, 29, 1557–1567. [Google Scholar] [CrossRef]
- Dick, J.M.; Leakey, R.R.B. Differentiation of the dynamic variables affecting rooting ability in juvenile and mature cuttings of cherry (Prunus avium). J. Hortic. Sci. Biotechnol. 2006, 81, 296–302. [Google Scholar] [CrossRef]
- Pandey, A.; Tamta, S.; Giri, D. Role of auxin on adventitious root formation and subsequent growth of cutting raised plantlets of Ginkgo biloba L. Int. J. Biodivers. Conserv. 2011, 3, 142–146. [Google Scholar]
- Stancato, G.C.; Aguiar, F.F.A.; Kanashiro, S.; Tavares, A.R.; Catharino, E.L.M.; Silveira, R.B.D.A. Rhipsalis grandiflora Haw.(Cactaceae) propagation by stem cuttings. Sci. Agric. 2003, 60, 651–656. [Google Scholar] [CrossRef][Green Version]
- Reddy, C.P.; Chandrasekhar, R.; Reddy, Y.N.; Rajkumar, M. Effect of growth regulators on rooting of Scented geranium (Pelargonium graveolens L.) cuttings. J. Res. Angru 2005, 33, 114–116. [Google Scholar]
- Seran, T.H.; Umadevi, T. Influence of Indole Acetic Acid (IAA) on the establishment of stem cuttings in lemon (Citruslimon, L.). J. Agric. Res. 2011, 49, 517–524. [Google Scholar]
- Opuni-Frimpong, E.; Karnosky, D.F.; Storer, A.J.; Cobbinah, J.R. Key Role of Leaves, Stock Plant Age, and Auxin Concentration in Vegetative Propagation of Two African Mahoganies: Khaya anthotheca Welw. and Khaya ivorensis A. Chev. New For. 2008, 36, 115–123. [Google Scholar] [CrossRef]
- Grossmann, K. Mode of action of auxin herbicides: A new ending to a long, drawn out story. Trends Plant Sci. 2000, 5, 506–508. [Google Scholar] [CrossRef]






Publisher’s Note: MDPI stays neutral with regard to jurisdictional claims in published maps and institutional affiliations. |
© 2021 by the authors. Licensee MDPI, Basel, Switzerland. This article is an open access article distributed under the terms and conditions of the Creative Commons Attribution (CC BY) license (http://creativecommons.org/licenses/by/4.0/).
Share and Cite
Kashyap, U.; Chandel, A.; Sharma, D.; Bhardwaj, S.; Bhargava, B. Propagation of Jasminum parkeri: A Critically Endangered Wild Ornamental Woody Shrub from Western Himalaya. Agronomy 2021, 11, 331. https://doi.org/10.3390/agronomy11020331
Kashyap U, Chandel A, Sharma D, Bhardwaj S, Bhargava B. Propagation of Jasminum parkeri: A Critically Endangered Wild Ornamental Woody Shrub from Western Himalaya. Agronomy. 2021; 11(2):331. https://doi.org/10.3390/agronomy11020331
Chicago/Turabian StyleKashyap, Ujala, Anjali Chandel, Diksha Sharma, Sonali Bhardwaj, and Bhavya Bhargava. 2021. "Propagation of Jasminum parkeri: A Critically Endangered Wild Ornamental Woody Shrub from Western Himalaya" Agronomy 11, no. 2: 331. https://doi.org/10.3390/agronomy11020331
APA StyleKashyap, U., Chandel, A., Sharma, D., Bhardwaj, S., & Bhargava, B. (2021). Propagation of Jasminum parkeri: A Critically Endangered Wild Ornamental Woody Shrub from Western Himalaya. Agronomy, 11(2), 331. https://doi.org/10.3390/agronomy11020331

