Potato Yield Response and Seasonal Nitrate Leaching as Influenced by Nitrogen Management
Abstract
:1. Introduction
2. Materials and Methods
2.1. Experimental Sites
2.2. Crop and Soil Management
2.3. Soil and Plant Sample Collection and Analysis
2.4. Soil Water Nitrate Concentrations
2.5. Drainage and Nitrate Leaching
2.5.1. Water Flow Parameters
2.5.2. Initial and Boundary Conditions
2.6. Data Analysis and Statistics
3. Results
3.1. Water Input and Drainage
3.2. Nitrate Concentrations in Soil Solution
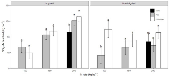
3.3. Seasonal Nitrate Leaching
3.4. Total and Marketable Tuber Yield
3.5. Nitrogen Uptake, Apparent N Recovery, and Aboveground Dry Matter
3.6. Residual Soil Inorganic Nitrogen
4. Discussion
4.1. Effect of Irrigation
4.2. Effect of Fertilizer N Management
4.2.1. Effect of Fertilizer N Rate
4.2.2. Effect of Fertilizer N Source
5. Conclusions
Author Contributions
Funding
Acknowledgments
Conflicts of Interest
References
- CRAAQ. Guide de Référence en Fertilisation, 2nd ed.; Parent, L.É., Gagné, G., Eds.; Centre de Référence en Agriculture et Agroalimentaire du Québec (CRAAQ): Ste-Foy, QC, Canada, 2010; p. 473. [Google Scholar]
- Zebarth, B.J.; Bélanger, G.; Cambouris, A.N.; Ziadi, N. Nitrogen fertilization strategies in relation to potato tuber yield, quality, and crop N recovery. In Sustainable Potato Production: Global Case Studies; He, Z., Larkin, R., Honeycutt, W., Eds.; Springer: Dordrecht, The Netherlands, 2012; pp. 165–186. [Google Scholar]
- Wilson, M.L.; Rosen, C.J.; Moncrief, J.F. Potato response to a polymer-coated urea on an irrigated coarse-textured soil. Agron. J. 2009, 101, 897–905. [Google Scholar] [CrossRef]
- Errebhi, M.; Rosen, C.J.; Gupta, S.C.; Birong, D.E. Potato yield response and nitrate leaching as influenced by nitrogen management. Agron. J. 1998, 90, 10–15. [Google Scholar] [CrossRef]
- Zebarth, B.J.; Rosen, C.J. Research perspective on nitrogen bmp development for potato. Am. J. Potato Res. 2007, 84, 3–18. [Google Scholar] [CrossRef]
- Cambouris, A.N.; Zebarth, B.J.; Nolin, M.C.; Laverdière, M.R. Apparent fertilizer nitrogen recovery and residual soil nitrate under continuous potato cropping: Effect of N fertilization rate and timing. Can. J. Soil Sci. 2008, 88, 813–825. [Google Scholar] [CrossRef] [Green Version]
- Wilson, M.L.; Rosen, C.J.; Moncrief, J.F. Effects of polymer-coated urea on nitrate leaching and nitrogen uptake by potato. J. Environ. Qual. 2010, 39, 492–499. [Google Scholar] [CrossRef]
- Maharjan, B.; Venterea, R.T.; Rosen, C. Fertilizer and irrigation management effects on nitrous oxide emissions and nitrate leaching. Agron. J. 2014, 106, 703–714. [Google Scholar] [CrossRef] [Green Version]
- Clément, C.-C.; Cambouris, A.N.; Ziadi, N.; Zebarth, B.J.; Karam, A. Growing season nitrate leaching as affected by nitrogen source and rate in irrigated potato production on sandy soils. Agron. J. 2020, 112, 3773–3787. [Google Scholar] [CrossRef]
- Hutchinson, C.; Simonne, E.; Solano, P.; Meldrum, J.; Livingston-Way, P. Testing of Controlled Release Fertilizer Programs for Seep Irrigated Irish Potato Production. J. Plant Nutr. 2002, 26, 1709–1723. [Google Scholar] [CrossRef]
- Gao, X.; Li, C.; Zhang, M.; Wang, R.; Chen, B. Controlled release urea improved the nitrogen use efficiency, yield and quality of potato (Solanum tuberosum L.) on silt loamy soil. Field Crop. Res. 2015, 181, 60–68. [Google Scholar] [CrossRef]
- Zvomuya, F.; Rosen, C.J.; Russelle, M.P.; Gupta, S.C. Nitrate leaching and nitrogen recovery following application of polyolefin-coated urea to potato. J. Environ. Qual. 2003, 32, 480–489. [Google Scholar] [CrossRef]
- Venterea, R.T.; Hyatt, C.R.; Rosen, C.J. fertilizer management effects on nitrate leaching and indirect nitrous oxide emissions in irrigated potato production. J. Environ. Qual. 2011, 40, 1103–1112. [Google Scholar] [CrossRef] [Green Version]
- Ziadi, N.; Grant, C.; Samson, N.; Nyiraneza, J.; Bélanger, G.; Parent, L.-É. Efficiency of controlled-release urea for a potato production system in Quebec, Canada. Agron. J. 2011, 103, 60–66. [Google Scholar] [CrossRef]
- Cambouris, A.N.; St. Luce, M.; Zebarth, B.J.; Ziadi, N.; Grant, C.A.; Perron, I. Potato response to nitrogen sources and rates in an irrigated sandy soil. Agron. J. 2016, 108, 391–401. [Google Scholar] [CrossRef]
- Clément, C.-C.; Cambouris, A.N.; Ziadi, N.; Zebarth, B.J.; Karam, A. Nitrogen source and rate effects on residual soil nitrate and overwinter NO3-N losses for irrigated potatoes on sandy soils. Can. J. Soil Sci. 2019, 100, 44–57. [Google Scholar] [CrossRef]
- Soil Survey Staff. Keys to Soil Taxonomy, 12th ed.; USDA-Natural Resources Conservation Service: Washington, DC, USA, 2014. [Google Scholar]
- Kroetsch, D.; Wang, C. Particle size distribution. In Soil Sampling and Methods of Analysis, 2nd ed.; Carter, M.R., Gregorich, E.G., Eds.; CRC Press: Boca Raton, FL, USA, 2007; pp. 713–725. [Google Scholar]
- Hendershot, W.H.; Lalande, H.; Duquette, M. Ion exchange and exchangeable cations. In Soil Sampling and Methods of Analysis, 2nd ed.; CRC Press: Boca Raton, FL, USA, 2007. [Google Scholar]
- Maynard, D.G.; Kalra, Y.P.; Crumbaugh, J.A. Nitrate and exchangeable ammonium nitrogen. In Soil Sampling and Methods of Analysis, 2nd ed.; Carter, M.R., Gregorich, E.G., Eds.; CRC Press: Boca Raton, FL, USA, 2007; pp. 71–80. [Google Scholar]
- Nkonge, C.; Ballance, G.M. A sensitive colorimetric procedure for nitrogen determination in micro-Kjeldahl digests. J. Agric. Food Chem. 1982, 30, 416–420. [Google Scholar] [CrossRef]
- Hao, X.; Ball, B.C.; Culley, J.L.B.; Carter, M.R.; Parkin, G.W. Soil density and porosity. In Soil Sampling and Methods of Analysis, 2nd ed.; Carter, M.R., Gregorich, E.G., Eds.; CRC Press: Boca Raton, FL, USA, 2007; pp. 743–759. [Google Scholar]
- Šimůnek, J.; van Genuchten, M.T.; Šejna, M. Development and Applications of the HYDRUS and STANMOD Software Packages and Related Codes. Vadose Zone J. 2008, 7, 587–600. [Google Scholar] [CrossRef] [Green Version]
- Li, Y.; Šimůnek, J.; Jing, L.; Zhang, Z.; Ni, L. Evaluation of water movement and water losses in a direct-seeded-rice field experiment using Hydrus-1D. Agric. Water Manag. 2014, 142, 38–46. [Google Scholar] [CrossRef] [Green Version]
- Schaap, M.G.; Leij, F.J.; van Genuchten, M.T. Neural Network Analysis for Hierarchical Prediction of Soil Hydraulic Properties. Soil Sci. Soc. Am. J. 1998, 62, 847–855. [Google Scholar] [CrossRef]
- Allen, R.G.; Pereira, L.S.; Raes, D.; Smith, M. Crop Evapotranspiration: Guidelines for Computing Crop Water Requirements; Food and Agriculture Organization of the United Nations: Rome, Italy, 1998. [Google Scholar]
- Feddes, R.; Kowalik, P.; Zaradny, H. Simulation of Field Water Use and Crop Yield; Centre for Agricultural Publishing and Documentation: Wageningen, The Netherlands, 1978. [Google Scholar]
- Wesseling, J.; Elbers, J.; Kabat, P.; Van Den Broek, B. SWATRE: Instructions for Input; Internal Note; Winand Staring Centre: Wageningen, The Netherlands; International Waterlogging and Salinity Research Institute: Lahore, Pakistan, 1991; p. 29. [Google Scholar]
- SAS Institute. SAS/STAT 9.3 User’s Guide; SAS Inst.: Cary, NC, USA, 2010. [Google Scholar]
- Environnement Canada. Canadian Climate Normals 1981–2010 Station Data. Available online: https://climate.weather.gc.ca/climate_normals/results_1981_2010_e.html?searchType=stnName&txtStationName=JEAN+ESAGE&searchMethod=contains&txtCentralLatMin=0&txtCentralLatSec=0&txtCentralLongMin=0&txtCentralLongSec=0&stnID=5251&dispBack=1 (accessed on 15 March 2021).
- Ojala, J.C.; Stark, J.C.; Kleinkopf, G.E. Influence of irrigation and nitrogen management on potato yield and quality. Am. Potato J. 1990, 67, 29–43. [Google Scholar] [CrossRef]
- Bélanger, G.; Walsh, J.R.; Richards, J.E.; Milburn, P.H.; Ziadi, N. Yield response of two potato culivars to supplemental irrigation and N fertilization in New Brunswick. Am. J. Potato Res. 2000, 77, 11–21. [Google Scholar] [CrossRef]
- Alva, A.K.; Collins, H.P.; Boydston, R.A. Corn, wheat, and potato crop residue decomposition and nitrogen mineralization in sandy soil under and irrigated potato rotation. Commun. Soil Sci. Plant Anal. 2002, 33, 2643–2651. [Google Scholar] [CrossRef]
- Di, H.J.; Cameron, K.C. Nitrate leaching in temperate agroecosystems: Sources, factors and mitigating strategies. Nutr. Cycl. Agroecosyst. 2002, 64, 237–256. [Google Scholar] [CrossRef]
- Ochoa, C.G.; Fernald, A.G.; Guldan, S.J.; Shukla, M.K. Deep Percolation and its Effects on Shallow Groundwater Level Rise Following Flood Irrigation. Trans. ASABE 2007, 50, 73–81. [Google Scholar] [CrossRef]
- Min, L.; Shen, Y.; Pei, H. Estimating groundwater recharge using deep vadose zone data under typical irrigated cropland in the piedmont region of the North China Plain. J. Hydrol. 2015, 527, 305–315. [Google Scholar] [CrossRef]
- Xu, B.; Shao, D.; Tan, X.; Yang, X.; Gu, W.; Li, H. Evaluation of soil water percolation under different irrigation practices, antecedent moisture and groundwater depths in paddy fields. Agric. Water Manag. 2017, 192, 149–158. [Google Scholar] [CrossRef]
- Poch-Massegú, R.; Jiménez-Martínez, J.; Wallis, K.J.; Ramírez de Cartagena, F.; Candela, L. Irrigation return flow and nitrate leaching under different crops and irrigation methods in Western Mediterranean weather conditions. Agric. Water Manag. 2014, 134, 1–13. [Google Scholar] [CrossRef]
- Woli, P.; Hoogenboom, G.; Alva, A. Simulation of potato yield, nitrate leaching, and profit margins as influenced by irrigation and nitrogen management in different soils and production regions. Agric. Water Manag. 2016, 171, 120–130. [Google Scholar] [CrossRef] [Green Version]
- Cabrera, M.L. Modeling the flush of nitrogen mineralization caused by drying and rewetting soils. Soil Sci. Soc. Am. J. 1993, 57, 63–66. [Google Scholar] [CrossRef]
- Fierer, N.; Schimel, J.P. Effects of drying–rewetting frequency on soil carbon and nitrogen transformations. Soil Biol. Biochem. 2002, 34, 777–787. [Google Scholar] [CrossRef]
- Bélanger, G.; Ziadi, N.; Walsh, J.R.; Richards, J.E.; Milburn, P.H. Residual soil nitrate after potato harvest. J. Environ. Qual. 2003, 32, 607–612. [Google Scholar] [CrossRef]
- Zebarth, B.J.; Drury, C.F.; Tremblay, N.; Cambouris, A.N. Opportunities for improved fertilizer nitrogen management in production of arable crops in eastern Canada: A review. Can. J. Soil Sci. 2009, 89, 113–132. [Google Scholar] [CrossRef]
- Zebarth, B.J.; Snowdon, E.; Burton, D.L.; Goyer, C.; Dowbenko, R. Controlled release fertilizer product effects on potato crop response and nitrous oxide emissions under rain-fed production on a medium-textured soil. Can. J. Soil Sci. 2012, 92, 759–769. [Google Scholar] [CrossRef]
- Zebarth, B.J.; Leclerc, Y.; Moreau, G. Rate and timing of nitrogen fertilization of Russet Burbank potato: Nitrogen use efficiency. Can. J. Plant Sci. 2004, 84, 845–854. [Google Scholar] [CrossRef]
- Bowles, T.M.; Atallah, S.S.; Campbell, E.E.; Gaudin, A.C.; Wieder, W.R.; Grandy, A.S. Addressing agricultural nitrogen losses in a changing climate. Nat. Sustain. 2018, 1, 399–408. [Google Scholar] [CrossRef]
- Zebarth, B.J.; Leclerc, Y.; Moreau, G.; Gareau, R.; Milburn, P.H. Soil inorganic nitrogen content in commercial potato fields in New Brunswick. Can. J. Soil Sci. 2003, 83, 425–429. [Google Scholar] [CrossRef]
- Golden, B.; Slaton, N.; Norman, R.; Gbur, E.; Wilson, C. Nitrogen Release from Environmentally Smart Nitrogen Fertilizer as Influenced by Soil Series, Temperature, Moisture, and Incubation Method. Commun. Soil Sci. Plant Anal. 2011, 42, 1809–1824. [Google Scholar] [CrossRef]
- Vos, J.; Biemond, H. Effects of nitrogen on the development and growth of the potato plant. 1. Leaf Appearance, Expansion Growth, Life Spans of Leaves and Stem Branching. Ann. Bot. 1992, 70, 27–35. [Google Scholar] [CrossRef]





| Year a | Soil Layer | Texture | Bulk Density | Hydraulic Parameters b | ||||||
|---|---|---|---|---|---|---|---|---|---|---|
| Sand | Silt | Clay | θr | θs | α | n | Ks | |||
| g kg−1 | g cm−3 | cm3 cm−3 | (cm−1) | cm d−1 | ||||||
| 2013/2015 | 0–15 | 732 | 190 | 78 | 1.44 | 0.035 | 0.397 | 0.006 | 1.48 | 26.3 |
| 15–30 | 800 | 131 | 69 | 1.44 | 0.029 | 0.398 | 0.013 | 1.38 | 42.9 | |
| 30–60 | 882 | 76 | 42 | 1.44 | 0.024 | 0.405 | 0.042 | 1.37 | 147.8 | |
| 60–90 | 943 | 41 | 16 | 1.54 | 0.027 | 0.371 | 0.056 | 2.12 | 666.4 | |
| 2014 | 0–15 | 673 | 238 | 89 | 1.40 | 0.037 | 0.405 | 0.006 | 1.49 | 29.4 |
| 15–30 | 759 | 176 | 65 | 1.46 | 0.030 | 0.384 | 0.019 | 1.46 | 40.8 | |
| 30–60 | 883 | 86 | 32 | 1.60 | 0.019 | 0.353 | 0.039 | 1.39 | 94.9 | |
| 60–90 | 950 | 32 | 18 | 1.64 | 0.024 | 0.346 | 0.058 | 1.87 | 525.1 | |
| N Fertilization | Irrigated | Non-Irrigated | Mean |
|---|---|---|---|
| mg NO3−-N L−1 | |||
| Controls a | |||
| N0 | 15.7 (8.4) b | 14.3 (9.8) | 15.0 (7.2) |
| CONV | 35.0 (8.6) | 45.2 (9.8) | 40.1 (7.3) |
| N rate, kg ha−1 | |||
| 100 c | 15.4 (10.6) | 50.0 (11.7) | 32.7 (9.8) |
| 150 | 39.0 (9.6) | 38.8 (10.8) | 38.9 (9.2) |
| 200 | 63.2 (9.8) | 47.6 (10.3) | 55.4 (9.1) |
| N source d | |||
| PCU | 38.3 (9.4) | 31.5 (10.1) | 34.9 (9.0) |
| PCU + urea | 40.1 (9.4) | 59.4 (10.0) | 49.7 (8.9) |
| Mean | 36.5 (5.4) | 40.8 (5.8) | |
| Analysis of Variance | |||
| Model | p value | ||
| N rate (R) | 0.0107 | ||
| N source (S) | 0.0057 | ||
| Irrigation (I) | 0.2895 | ||
| R × S | 0.9803 | ||
| S × I | 0.0418 | ||
| R × I | 0.0011 | ||
| R × S × I | 0.5057 | ||
| Contrast | |||
| Linear R | 0.0038 | ||
| Quadratic R | 0.7337 | ||
| Linear R × I | 0.0002 | ||
| Quadratic R × I | 0.3801 | ||
| N0 c vs. fertilized | <0.0001 | ||
| CONV vs. PCU200 | 0.1364 | ||
| CONV vs. PCU + urea 200 | 0.8710 | ||
| Irrigated | Non-Irrigated | Mean | |
|---|---|---|---|
| N Fertilization | kg NO3−-N ha−1 | ||
| Controls a | |||
| N0 | 40.4 | 17.3 | 28.8 |
| CONV | 91.9 | 68.1 | 80.0 |
| N rate, kg N ha−1 | |||
| 100 b | 52.4 | 58.9 | 55.6 |
| 150 | 90.0 | 53.4 | 71.7 |
| 200 | 125.7 | 65.6 | 95.7 |
| Mean | 80.1 | 52.6 | |
| Analysis of Variance | |||
| Model | p value | ||
| N rate (R) | 0.0011 | ||
| Irrigation (I) | 0.0032 | ||
| R × I | 0.0230 | ||
| Contrast | |||
| Linear R | 0.0004 | ||
| Quadratic R | 0.8399 | ||
| Linear R × I | 0.0063 | ||
| Quadratic R × I | 0.4701 | ||
| N0 c vs. fertilized | <0.0001 | ||
| Model | Total Yield | Marketable Yield | Total N Uptake | Apparent N Recovery | Dry Matter |
|---|---|---|---|---|---|
| p Value | |||||
| Irrigation (I) | 0.7244 | 0.5916 | 0.7493 | 0.9997 | 0.7714 |
| Source (S) | 0.0129 | 0.0018 | 0.0543 | 0.0293 | 0.0083 |
| N rate (R) | 0.2564 | 0.1187 | <0.0001 | 0.3181 | 0.0069 |
| I × S | 0.9012 | 0.9859 | 0.6016 | 0.7832 | 0.5496 |
| I × R | 0.5197 | 0.5390 | 0.9031 | 0.9269 | 0.7325 |
| S × R | 0.4904 | 0.4399 | 0.0936 | 0.2306 | 0.2667 |
| I × S × R | 0.2878 | 0.2802 | 0.7684 | 0.7819 | 0.9728 |
| Contrast | |||||
| Linear R | 0.8805 | 0.7442 | <0.0001 | 0.1599 | 0.0051 |
| Quadratic R | 0.1002 | 0.0499 | 0.5119 | 0.9332 | 0.2907 |
| Linear R × S | 0.8346 | 0.9508 | 0.7872 | 0.4384 | 0.7822 |
| Quadratic R × S | 0.2539 | 0.2021 | 0.0298 | 0.0878 | 0.1196 |
| N0 a vs. Fertilized | <0.0001 | <0.0001 | <0.0001 | <0.001 | |
| CONV b vs. (PCU + Urea)200 c | 0.0478 | 0.0076 | 0.0380 | 0.0225 | 0.0003 |
| CONV vs. PCU200 d | 0.8525 | 0.7975 | 0.8523 | 0.7846 | 0.2314 |
| Total Yield | Marketable Yield | Apparent N Recovery | |||||||
|---|---|---|---|---|---|---|---|---|---|
| N Source | Irrigated | Non-Irrigated | Mean | Irrigated | Non-Irrigated | Mean | Irrigated | Non-Irrigated | Mean |
| Mg ha−1 | % | ||||||||
| N0 a | 21.8 (2.6) b | 22.8 (2.6) | 22.3 (1.9) | 13.3 (2.5) | 13.9 (2.5) | 13.6 (1.9) | |||
| CONV c | 43.1 (2.6) | 42.0 (2.6) | 42.5 (1.9) | 33.3 (2.5) | 32.3 (2.6) | 32.8 (1.9) | 57 (7.9) | 53 (6.2) | 55 (5.0) |
| PCU d | 43.7 (2.0) | 42.1 (2.0) | 42.9 (1.4) | 34.1 (2.3) | 32.0 (2.3) | 33.0 (1.9) | 63 (7.0) | 68 (6.9) | 64 (5.5) |
| PCU + urea e | 41.3 (2.0) | 40.2 (2.0) | 40.7 (1.4) | 31.1 (2.3) | 29.0 (2.3) | 30.1 (1.9) | 75 (7.1) | 76 (7.1) | 76 (5.8) |
| N rate, kg N ha−1 | |||||||||
| 100 f | 42.7 (2.2) | 41.2 (2.2) | 41.9 (1.6) | 32.7 (2.5) | 30.0 (2.5) | 31.3 (2.0) | 75 (9.2) | 83 (9.2) | 79 (8.4) |
| 150 | 44.0 (2.0) | 41.3 (2.0) | 42.6 (1.4) | 34.1 (2.3) | 31.3 (2.3) | 32.7 (1.9) | 69 (7.6) | 69 (7.7) | 69 (6.1) |
| 200 | 40.8 (2.0) | 41.0 (2.0) | 40.9 (1.4) | 30.9 (2.3) | 30.2 (2.3) | 30.6 (1.9) | 62 (7.8) | 62 (7.6) | 62 (4.5) |
| Mean | 37.3 (2.3) | 36.6 (2.3) | 27.8 (2.1) | 26.4 (2.1) | 67 (5.9) | 69 (6.6) | |||
| Total N Uptake | Dry Matter | Apparent N Recovery | ||
|---|---|---|---|---|
| N Fertilization | N Rate | kg N ha−1 | Mg ha−1 | % |
| Controls a | ||||
| N0 | 0 | 60 (14.7) b | 0.67 (0.13) | — |
| CONV | 200 | 170 (14.7) | 1.63 (0.13) | 55 (5.0) |
| N source c | ||||
| PCU | 100 | 123 (16.0) | 1.52 (0.13) | 65 (9.6) |
| 150 | 169 (14.7) | 1.73 (0.13) | 73 (9.8) | |
| 200 | 170 (14.7) | 1.81 (0.13) | 55 (4.5) | |
| Mean | 154 (13.1) | 1.68 (0.10) | 64 (5.5) | |
| PCU + urea | 100 | 150 (16.0) | 1.74 (0.13) | 93 (13.0) |
| 150 | 160 (17.8) | 1.89 (0.16) | 66 (5.4) | |
| 200 | 201 (18.2) | 2.27 (0.13) | 69 (6.1) | |
| Mean | 169 (13.1) | 1.97 (0.10) | 76 (5.8) | |
| Fall | Following Spring | |||||||||||
|---|---|---|---|---|---|---|---|---|---|---|---|---|
| NO3−-N | NH4+-N | NO3−-N | NH4+-N | |||||||||
| N Fertilization | Irrigated | Non-Irrigated | Mean | Irrigated | Non-Irrigated | Mean | Irrigated | Non-Irrigated | Mean | Irrigated | Non-Irrigated | Mean |
| kg ha−1 | ||||||||||||
| Controls a | ||||||||||||
| N0 | 35.3 (33.8) b | 29.6 (33.8) | 32.5 (33.3) | 28.2 (14.9) | 22.5 (14.9) | 25.4 (11.9) | 6.3 (1.3) | 6.8 (1.3) | 6.5 (0.9) | 9.7 (7.3) | 15.0 (7.3) | 12.3 (6.4) |
| CONV | 33.1 (33.8) | 57.5 (33.8) | 45.3 (33.3) | 26.8 (14.9) | 37.9 (14.9) | 32.3 (11.9) | 7.0 (1.3) | 4.7 (1.3) | 5.8 (0.9) | 9.8 (7.3) | 13.8 (7.3) | 11.8 (6.4) |
| N rate, kg ha−1 | ||||||||||||
| 100 | 33.6 (36.3) | 23.9 (36.3) | 28.8 (35.9) | 37.0 (13.5) | 32.2 (13.5) | 34.6 (11.2) | 5.9 (1.0) | 5.5 (1.0) | 5.7 (0.7) | 14.2 (6.7) | 12.3 (6.7) | 13.3 (6.5) |
| 150 | 46.1 (36.0) | 52.3 (36.0) | 49.2 (35.7) | 64.7 (11.7) | 52.0 (11.7) | 58.4 (10.0) | 6.6 (0.9) | 5.5 (0.9) | 6.0 (0.6) | 11.9 (6.7) | 10.3 (6.7) | 11.1 (6.5) |
| 200 | 63.2 (36.0) | 89.1 (36.0) | 76.1 (35.7) | 74.6 (11.7) | 74.8 (11.7) | 74.7 (10.0) | 7.6 (0.9) | 5.8 (0.9) | 6.7 (0.6) | 11.1 (6.7) | 13.1 (6.7) | 12.1 (6.5) |
| N source c | ||||||||||||
| PCU | 47.6 (35.8) | 57.5 (35.8) | 52.5 (35.6) | 57.8 (11.0) | 61.6 (11.0) | 59.7 (9.6) | 6.5 (0.8) | 6.0 (0.8) | 6.2 (0.6) | 14.0 (6.6) | 13.2 (6.6) | 13.6 (6.5) |
| PCU + urea | 47.6 (35.8) | 52.8 (35.8) | 50.2 (35.6) | 59.7 (11.0) | 44.5 (11.0) | 52.1 (9.6) | 7.0 (0.8) | 5.1 (0.8) | 6.0 (0.6) | 10.8 (6.6) | 10.7 (6.6) | 10.7 (6.5) |
| Mean | 45.0 (32.9) | 52.9 (32.9) | 51.1 (10.8) | 49.2 (10.8) | 6.6 (0.8) | 5.6 (0.8) | 11.7 (7.1) | 12.5 (7.1) | ||||
| Analysis of variance | ||||||||||||
| N source (S) | 0.1425 | 0.8243 | 0.5648 | 0.1439 | ||||||||
| N rate (R) | <0.0001 | 0.0012 | 0.5879 | 0.6626 | ||||||||
| Irrigation (I) | 0.5661 | 0.5973 | 0.4985 | 0.3518 | ||||||||
| R × S | 0.5945 | 0.9352 | 0.9835 | 0.2925 | ||||||||
| I × S | 0.9753 | 0.2270 | 0.4088 | 0.8681 | ||||||||
| I × R | 0.2387 | 0.8269 | 0.6041 | 0.3237 | ||||||||
| I × R × S | 0.5297 | 0.2905 | 0.2337 | 0.9344 | ||||||||
| Contrast | ||||||||||||
| Linear R | <0.0001 | 0.0004 | 0.3067 | 0.7937 | ||||||||
| Quadratic R | 0.6196 | 0.8719 | 0.7812 | 0.3694 | ||||||||
| Linear R × S | 0.3117 | 0.7497 | 0.9868 | 0.1415 | ||||||||
| Quadratic R × S | 0.9905 | 0.8289 | 0.8554 | 0.4720 | ||||||||
| N0 vs. Fertilized | <0.0001 | <0.0001 | 0.4543 | 0.7191 | ||||||||
| CONV vs. (PCU + urea)200 | <0.0001 | <0.0001 | 0.9073 | 0.8887 | ||||||||
| CONV vs. PCU200 | 0.0006 | <0.0001 | 0.5892 | 0.9313 | ||||||||
Publisher’s Note: MDPI stays neutral with regard to jurisdictional claims in published maps and institutional affiliations. |
© 2021 by the authors. Licensee MDPI, Basel, Switzerland. This article is an open access article distributed under the terms and conditions of the Creative Commons Attribution (CC BY) license (https://creativecommons.org/licenses/by/4.0/).
Share and Cite
Clément, C.-C.; Cambouris, A.N.; Ziadi, N.; Zebarth, B.J.; Karam, A. Potato Yield Response and Seasonal Nitrate Leaching as Influenced by Nitrogen Management. Agronomy 2021, 11, 2055. https://doi.org/10.3390/agronomy11102055
Clément C-C, Cambouris AN, Ziadi N, Zebarth BJ, Karam A. Potato Yield Response and Seasonal Nitrate Leaching as Influenced by Nitrogen Management. Agronomy. 2021; 11(10):2055. https://doi.org/10.3390/agronomy11102055
Chicago/Turabian StyleClément, Chedzer-Clarc, Athyna N. Cambouris, Noura Ziadi, Bernie J. Zebarth, and Antoine Karam. 2021. "Potato Yield Response and Seasonal Nitrate Leaching as Influenced by Nitrogen Management" Agronomy 11, no. 10: 2055. https://doi.org/10.3390/agronomy11102055
APA StyleClément, C.-C., Cambouris, A. N., Ziadi, N., Zebarth, B. J., & Karam, A. (2021). Potato Yield Response and Seasonal Nitrate Leaching as Influenced by Nitrogen Management. Agronomy, 11(10), 2055. https://doi.org/10.3390/agronomy11102055

