Roles of Nitrogen Deep Placement on Grain Yield, Nitrogen Use Efficiency, and Antioxidant Enzyme Activities in Mechanical Pot-Seedling Transplanting Rice
Abstract
1. Introduction
2. Materials and Methods
2.1. Mechanical Pot-Seedling Transplanting Machine
2.2. Experimental Treatments and Design
2.3. Yield and Its Components
2.4. Total Above-Ground Biomass (TAB) and Leaf Area Index (LAI) at Different Growth Stages
2.5. Nitrogen Use Efficiency
- NRE = (Nup − N0 up)/FN
- NAE = (GY − GY0)/FN
- NPFP = GY/FN
- NGPE = GY/Nup
- NHI = Ng/Nup
2.6. Determination of Antioxidant Enzyme Activities
2.7. Data Analysis
3. Results
3.1. Grain Yield and Its Components
3.2. Nitrogen Use Efficiency
3.3. Total Aboveground Biomass (TAB) and Leaf Area Index (LAI) at Different Growth Stage
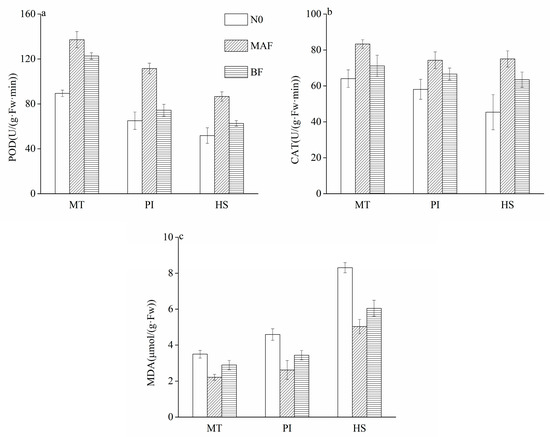
3.4. Determination of Antioxidant Enzymatic Activity
3.4.1. POD Activity
3.4.2. CAT Activity
3.4.3. MDA Content
3.5. Correlation Analysis
4. Discussion
4.1. Grain Yield and Its Components
4.2. Nitrogen Use Efficiency and Antioxidant Enzyme Activities
5. Conclusions
Author Contributions
Funding
Acknowledgments
Conflicts of Interest
References
- Liu, K.; Deng, J.; Lu, J.; Wang, X.; Lu, B.; Tian, X.; Zhang, Y. High Nitrogen Levels Alleviate Yield Loss of Super Hybrid Rice Caused by High Temperatures During the Flowering Stage. Front. Plant Sci. 2019, 10, 357. [Google Scholar] [CrossRef] [PubMed]
- He, A.; Wang, W.; Jiang, G.; Sun, H.; Jiang, M.; Man, J.; Cui, K.; Huang, J.; Peng, S.; Nie, L. Source-sink regulation and its effects on the regeneration ability of ratoon rice. Field Crop. Res. 2019, 236, 155–164. [Google Scholar] [CrossRef]
- Kong, L.; Ashraf, U.; Cheng, S.; Rao, G.; Mo, Z.; Tian, H.; Pan, S.; Tang, X. Short-term water management at early filling stage improves early-season rice performance under high temperature stress in South China. Eur. J. Agron. 2017, 90, 117–126. [Google Scholar] [CrossRef]
- Chen, Y.; Fan, P.; Mo, Z.; Kong, L.; Tian, H.; Duan, M.; Li, L.; Wu, L.; Wang, Z.; Tang, X.; et al. Deep Placement of Nitrogen Fertilizer Affects Grain Yield, Nitrogen Recovery Efficiency, and Root Characteristics in Direct-Seeded Rice in South China. J. Plant Growth Regul. 2020, 2, 1–9. [Google Scholar] [CrossRef]
- Ashraf, U.; Hussain, S.; Akbar, N.; Anjum, S.A.; Hassan, W.; Tang, X. Water management regimes alter Pb uptake and translocation in fragrant rice. Ecotoxicol. Environ. Saf. 2018, 149, 128–134. [Google Scholar] [CrossRef]
- Tao, Y.; Chen, Q.; Peng, S.; Wang, W.; Nie, L. Lower global warming potential and higher yield of wet direct-seeded rice in Central China. Agron. Sustain. Dev. 2016, 36, 24. [Google Scholar] [CrossRef]
- Paman, U.; Inaba, S.; Uchida, S. The mechanization of small-scale rice farming: Labor requirements and costs. Eng. Agric. Environ. Food 2014, 7, 122–126. [Google Scholar] [CrossRef]
- Hu, Y.J.; Xing, Z.P.; Gong, J.L.; Liu, G.T.; Zhang, H.C.; Dai, Q.G.; Huo, Z.Y.; Xu, K.; Wei, H.Y.; Guo, B.W.; et al. Study on population characteristics and formation mechanisms for high yield of pot-seedling mechanical transplanting rice. Sci. Agri. Sin. 2014, 47, 865–879. [Google Scholar]
- Jiang, X.; Li, X.; Chi, Z.; Wang, S.; Yang, F.; Zheng, J. Research on potted-tray grown rice seedling transplanting by machine. Agri. Sci. Tech. 2014, 15, 1923–1927. [Google Scholar]
- Zhu, C.; Yang, H.J.; Guan, Y.X.; Chen, Z. Research progress on green and high efficiency cultivation technique of rice pot seedling mechanical transplanting in Jiangsu province. China Rice 2019, 25, 37–41. [Google Scholar]
- Gaihre, Y.K.; Singh, U.; Islam, S.M.; Huda, A.; Satter, M.A.; Sanabria, J.; Islam, R.; Shah, A. Impacts of urea deep placement on nitrous oxide and nitric oxide emissions from rice fields in Bangladesh. Geoderma 2015, 260, 370–379. [Google Scholar] [CrossRef]
- Watanabe, T.; Son, T.T.; Hung, N.N.; Van Truong, N.; Giau, T.Q.; Hayashi, K.; Ito, O. Measurement of ammonia volatilization from flooded paddy fields in Vietnam. Soil Sci. Plant Nutr. 2009, 55, 793–799. [Google Scholar] [CrossRef]
- Yao, Y.; Zhang, M.; Tian, Y.; Zhao, M.; Zhang, B.; Zhao, M.; Zeng, K.; Yin, B. Urea deep placement for minimizing NH3 loss in an intensive rice cropping system. Field Crop. Res. 2018, 218, 254–266. [Google Scholar] [CrossRef]
- Du, B.; Luo, H.W.; He, L.X.; Zheng, A.X.; Chen, Y.L.; Zhang, T.T.; Wang, Z.M.; Hu, L.; Tang, X.R. DEEP FERTILIZER PLACEMENT IMPROVES RICE GROWTH AND YIELD IN ZERO TILLAGE. Appl. Ecol. Environ. Res. 2018, 16, 8045–8054. [Google Scholar] [CrossRef]
- Zhu, C.; Xiang, J.; Zhang, Y.; Zhang, Y.; Defeng, Z.; Chen, H. Mechanized transplanting with side deep fertilization increases yield and nitrogen use efficiency of rice in Eastern China. Sci. Rep. 2019, 9, 5653. [Google Scholar] [CrossRef]
- Guo, L.; Ning, T.; Nie, L.; Li, Z.; Lal, R. Interaction of deep placed controlled-release urea and water retention agent on nitrogen and water use and maize yield. Eur. J. Agron. 2016, 75, 118–129. [Google Scholar] [CrossRef]
- Li, X.; Chen, X.; Wang, H.; Lu, D.; Zhou, J.; Chen, Z.; Zhu, D. Effects and principle of root-zone one-time N fertilization on enhancing rice (Oryza sativa L.) N use efficiency. Soils 2017, 49, 868–875. [Google Scholar]
- Wu, M.; Liu, M.; Liu, J.; Li, W.; Jiang, C.-Y.; Li, Z.-P. Optimize nitrogen fertilization location in root-growing zone to increase grain yield and nitrogen use efficiency of transplanted rice in subtropical China. J. Integr. Agric. 2017, 16, 2073–2081. [Google Scholar] [CrossRef]
- Linquist, B.A.; Adviento-Borbe, M.A.; Pittelkow, C.M.; Van Kessel, C.; Van Groenigen, K.J. Fertilizer management practices and greenhouse gas emissions from rice systems: A quantitative review and analysis. Field Crop. Res. 2012, 135, 10–21. [Google Scholar] [CrossRef]
- Yao, Z.; Zheng, X.; Zhang, Y.; Liu, C.; Wang, R.; Lin, S.; Zuo, Q.; Butterbach-Bahl, K. Urea deep placement reduces yield-scaled greenhouse gas (CH4 and N2O) and NO emissions from a ground cover rice production system. Sci. Rep. 2017, 7, 11415. [Google Scholar] [CrossRef]
- Pan, S.; Wen, X.; Wang, Z.; Ashraf, U.; Tian, H.; Duan, M.; Mo, Z.; Fan, P.; Tang, X. Benefits of mechanized deep placement of nitrogen fertilizer in direct-seeded rice in South China. Field Crop. Res. 2017, 203, 139–149. [Google Scholar] [CrossRef]
- Xu, Y.L.; Fu, A.B.; Liu, T.X. Effects of different nitrogen application patterns on leaf physiological characteristics and grain yield of double cropping rice. Acta Agric. Bor. Sin. 2019, 34, 155–163. [Google Scholar]
- Shu, S.; Tang, X.R.; Luo, X.W.; Li, G.X.; Wang, Z.M.; Zheng, T.X.; Jia, X.N. Effects of deep mechanized application of slow-release fertilizers on physiological characteristics of precision hill-direct-seeding super rice. Trans. Chin. Soc. Agric. Eng. 2011, 27, 89–92. [Google Scholar]
- Pan, S.; Rasul, F.; Li, W.; Tian, H.; Mo, Z.; Duan, M.; Tang, X. Roles of plant growth regulators on yield, grain qualities and antioxidant enzyme activities in super hybrid rice (Oryza sativa L.). Rice 2013, 6, 9. [Google Scholar] [CrossRef]
- Plumb-Dhindsa, P.; Dhindsa, R.S.; Thorpe, T.A. Leaf Senescence: Correlated with Increased Levels of Membrane Permeability and Lipid Peroxidation, and Decreased Levels of Superoxide Dismutase and Catalase. J. Exp. Bot. 1981, 32, 93–101. [Google Scholar] [CrossRef]
- Bandaogo, A.; Fofana, B.; Youl, S.; Safo, E.; Abaidoo, R.C.; Andrews, O. Effect of fertilizer deep placement with urea supergranule on nitrogen use efficiency of irrigated rice in Sourou Valley (Burkina Faso). Nutr. Cycl. Agroecosystems 2014, 102, 79–89. [Google Scholar] [CrossRef]
- Kargbo, M.; Pan, S.; Mo, Z.; Wang, Z.; Luo, X.; Tian, H.; Hossain, F.; Ashraf, U.; Tang, X. Physiological Basis of Improved Performance of Super Rice (Oryza sativa) to Deep Placed Fertilizer with Precision Hill-drilling Machine. Int. J. Agric. Boil. 2016, 18, 797–804. [Google Scholar] [CrossRef]
- Kapoor, V.; Singh, U.; Patil, S.K.; Magre, H.; Shrivastava, L.K.; Mishra, V.N.; Das, R.O.; Samadhiya, V.K.; Sanabria, J.; Diamond, R. Rice Growth, Grain Yield, and Floodwater Nutrient Dynamics as Affected by Nutrient Placement Method and Rate. Agron. J. 2008, 100, 526–536. [Google Scholar] [CrossRef]
- Zhu, C.H.; Zhang, Y.P.; Xiang, J.; Zhang, Y.K.; Wu, H.; Wang, Y.L.; Zhu, D.F.; Chen, H.Z. Effects of side deep fertilization on yield formation and nitrogen utilization of mechanized transplanting rice. Sci. Agric. Sin. 2019, 52, 4228–4239. [Google Scholar]
- Zhong, X.M.; Huang, T.P.; Peng, J.W.; Lu, W.L.; Kang, X.R.; Song, S.M.; Zhou, X. Effects of machine-transplanting synchronized with one-time precision fertilization on nutrient uptake and use efficiency of double cropping rice. Chin. J. Rice Sci. 2019, 33, 436–446. [Google Scholar]
- Huda, A.; Gaihre, Y.K.; Islam, M.R.; Singh, U.; Islam, R.; Sanabria, J.; Satter, M.A.; Afroz, H.; Halder, A.; Jahiruddin, M. Floodwater ammonium, nitrogen use efficiency and rice yields with fertilizer deep placement and alternate wetting and drying under triple rice cropping systems. Nutr. Cycl. Agroecosystems 2016, 104, 53–66. [Google Scholar] [CrossRef]
- Zhang, M.; Yao, Y.; Zhao, M.; Zhang, B.; Tian, Y.; Yin, B.; Zhu, Z. Integration of urea deep placement and organic addition for improving yield and soil properties and decreasing N loss in paddy field. Agric. Ecosyst. Environ. 2017, 247, 236–245. [Google Scholar] [CrossRef]
- Danying, W.; Chang, Y.; Chunmei, X.; Zaiman, W.; Song, C.; Guang, C.; Zhang, X. Soil Nitrogen Distribution and Plant Nitrogen Utilization in Direct-Seeded Rice in Response to Deep Placement of Basal Fertilizer-Nitrogen. Rice Sci. 2019, 26, 404–415. [Google Scholar] [CrossRef]
- Yao, Y.; Zhang, M.; Tian, Y.; Zhao, M.; Zhang, B.; Zeng, K.; Zhao, M.; Yin, B. Urea deep placement in combination with Azolla for reducing nitrogen loss and improving fertilizer nitrogen recovery in rice field. Field Crop. Res. 2018, 218, 141–149. [Google Scholar] [CrossRef]
- Liu, T.; Fan, D.; Zhang, X.; Chen, J.; Li, C.; Cao, C. Deep placement of nitrogen fertilizers reduces ammonia volatilization and increases nitrogen utilization efficiency in no-tillage paddy fields in central China. Field Crop. Res. 2015, 184, 80–90. [Google Scholar] [CrossRef]
- Zhou, J.; Meng, G.Y.; Long, J.R.; Ma, G.H.; Wan, Y.Z. Effects of application amount of slow-release nitrogen fertilizer on physiological characteristics and grain yield of early super hybrid rice zhuliangyou 02. Hybrid Rice 2011, 26, 62–68. [Google Scholar]
- Wang, Y.; Lin, A.; Loake, G.J.; Chu, C. H2O2?induced Leaf Cell Death and the Crosstalk of Reactive Nitric/Oxygen SpeciesF. J. Integr. Plant Boil. 2013, 55, 202–208. [Google Scholar] [CrossRef]
- Tang, H.; Xiao, X.P.; Li, C.; Tang, W.G.; Guo, L.J.; Wang, K.; Cheng, K.; Pan, X.C.; Sun, G. Effects of different long-term fertilization managements on the physiological characteristics of leaves and yield of rice in double cropping paddy field. J. China Agric. Univ. 2018, 11, 60–71. [Google Scholar]



| Treatments | Productive Panicle (104 Ha−1) | Spikelet per Panicle | Grain Filling (%) | 1000-Grain- Weight (G) | Harvested Yield (T Ha−1) |
|---|---|---|---|---|---|
| N0 | 151.4 b | 150.3 b | 80.9 | 20.1 b | 3.9 c |
| MAF | 272.9 a | 189.7 a | 82.7 | 22.2 a | 8.4 a |
| BF | 185.3 b | 163.3 b | 81.6 | 21.1 b | 5.5 b |
| Anova | |||||
| Cultivar (C) | ns | ns | ns | ** | ns |
| Nitrogen (N) | ** | * | ns | ** | ** |
| N × C | ns | ns | ns | ns | ns |
| Treatments | TNA (kg ha−1) | NGPE (kg kg−1) | NPFP (kg kg−1) | NHI | NRE (%) | NAE (kg kg−1) |
|---|---|---|---|---|---|---|
| N0 | 100.6 c | 39.2 b | 26.8 c | 53.2 | ||
| MAF | 173.6 a | 46.6 a | 54.2 a | 54.3 | 46.8 a | 22.6 a |
| BF | 135.9 b | 41.4 b | 35.8 b | 50.8 | 22.9 b | 10.1 b |
| Anova | ||||||
| Cultivar(C) | ** | ns | * | * | ns | * |
| Nitrogen(N) | ** | * | ** | ns | ** | ** |
| N × C | ** | ns | ns | ** | ns | ns |
| Parameter | Productive Panicle | Spikelet per Panicle | Grain Filling | 1000-Grain -Weigh (G) | LAI | TAB | POD | CAT | MDA | TNA |
|---|---|---|---|---|---|---|---|---|---|---|
| Productive panicle | ||||||||||
| Spikelet per panicle | 0.28 | |||||||||
| Grain filling | −0.03 | −0.18 | ||||||||
| 1000-grain-weight(g) | 0.37 * | 0.18 | 0.33 * | |||||||
| LAI | 0.53 ** | 0.47 ** | 0.20 | 0.52 ** | ||||||
| TAB | 0.68 ** | 0.44 ** | −0.06 | 0.51 ** | 0.85 ** | |||||
| POD activity | 0.55 ** | 0.27 | 0.46 ** | 0.45 ** | 0.76 ** | 0.60 ** | ||||
| CAT activity | 0.49 ** | 0.51 ** | −0.58 ** | 0.03 | 0.47 ** | 0.60 ** | 0.28 | |||
| MDA content | −0.48 ** | −0.44 ** | 0.54 ** | −0.43 ** | −0.52 ** | −0.70 ** | −0.18 | −0.74 ** | ||
| TNA | 0.65 ** | 0.62 | −0.03 | 0.41 * | 0.74 ** | 0.71 ** | 0.62 ** | 0.52 ** | −0.56 ** | |
| Yield | 0.73 ** | 0.39 | −0.06 | 0.44 ** | 0.75 ** | 0.79 ** | 0.68 ** | 0.62 ** | −0.61 ** | 0.79 ** |
© 2020 by the authors. Licensee MDPI, Basel, Switzerland. This article is an open access article distributed under the terms and conditions of the Creative Commons Attribution (CC BY) license (http://creativecommons.org/licenses/by/4.0/).
Share and Cite
Li, L.; Zhang, Z.; Tian, H.; Mo, Z.; Ashraf, U.; Duan, M.; Wang, Z.; Wang, S.; Tang, X.; Pan, S. Roles of Nitrogen Deep Placement on Grain Yield, Nitrogen Use Efficiency, and Antioxidant Enzyme Activities in Mechanical Pot-Seedling Transplanting Rice. Agronomy 2020, 10, 1252. https://doi.org/10.3390/agronomy10091252
Li L, Zhang Z, Tian H, Mo Z, Ashraf U, Duan M, Wang Z, Wang S, Tang X, Pan S. Roles of Nitrogen Deep Placement on Grain Yield, Nitrogen Use Efficiency, and Antioxidant Enzyme Activities in Mechanical Pot-Seedling Transplanting Rice. Agronomy. 2020; 10(9):1252. https://doi.org/10.3390/agronomy10091252
Chicago/Turabian StyleLi, Lin, Zheng Zhang, Hua Tian, Zhaowen Mo, Umair Ashraf, Meiyang Duan, Zaiman Wang, Shuli Wang, Xiangru Tang, and Shenggang Pan. 2020. "Roles of Nitrogen Deep Placement on Grain Yield, Nitrogen Use Efficiency, and Antioxidant Enzyme Activities in Mechanical Pot-Seedling Transplanting Rice" Agronomy 10, no. 9: 1252. https://doi.org/10.3390/agronomy10091252
APA StyleLi, L., Zhang, Z., Tian, H., Mo, Z., Ashraf, U., Duan, M., Wang, Z., Wang, S., Tang, X., & Pan, S. (2020). Roles of Nitrogen Deep Placement on Grain Yield, Nitrogen Use Efficiency, and Antioxidant Enzyme Activities in Mechanical Pot-Seedling Transplanting Rice. Agronomy, 10(9), 1252. https://doi.org/10.3390/agronomy10091252

