Next Article in Journal
Roles of Nitrogen Deep Placement on Grain Yield, Nitrogen Use Efficiency, and Antioxidant Enzyme Activities in Mechanical Pot-Seedling Transplanting Rice
Next Article in Special Issue
Plant Functional Diversity, Climate and Grazer Type Regulate Soil Activity in Natural Grasslands
Previous Article in Journal
Method of Tillage with the Factor Determining the Quality of Organic Matter
Previous Article in Special Issue
Tradeoff between the Conservation of Soil C Stocks and Vegetation Productivity in Temperate Grasslands
 
 
Font Type:
Arial Georgia Verdana
Font Size:
Aa Aa Aa
Line Spacing:
Column Width:
Background:
Article

Carbon Budget of an Agroforestry System after Being Converted from a Poplar Short Rotation Coppice

1
Sant’Anna School of Advanced Studies, Institute of Life Sciences, 56127 Pisa, Italy
2
Department of Technology Assessment and Substance Cycles, Leibniz Institute for Agricultural Engineering and Bioeconomy (ATB), Potsdam-Bornim e.V. Max-Eyth-Allee 100, 14469 Potsdam, Germany
3
Department of Agricultural Sciences, University of Sassari, Viale Italia 39, 07100 Sassari, Italy
4
Department of Agriculture, Food and Environment (DAFE), University of Pisa, 56127 Pisa, Italy
5
Centre for Agro-Environmental Research (CiRAA) “Enrico Avanzi”, 56122 Pisa, Italy
*
Author to whom correspondence should be addressed.
Agronomy 2020, 10(9), 1251; https://doi.org/10.3390/agronomy10091251
Submission received: 5 August 2020 / Accepted: 21 August 2020 / Published: 25 August 2020

Abstract

Poplar (Populus L. spp.) Short Rotation Coppice systems (SRCs) for bioenergy production are being converted back to arable land. Transitioning to Alley Cropping Systems (ACSs) could be a suitable strategy for integrating former tree rows and arable crops. A field trial (Pisa, Central Italy) was set up with the aim of assessing the C storage of an ACS system based on hybrid poplar and sorghum (Sorghum bicolor L. Moench) and comparing it with that of an SRC cultivation system. The carbon budget at the agroecosystem scale was assessed in the first year of the transition using the net biome production (NBP) approach with a simplified method. The overall NBP for the SRC was positive (96 ± 40 g C m−2 year−1), highlighting that the system was a net carbon sink (i.e., NBP > 0). However, the ACS registered a net C loss (i.e., NBP < 0), since the NBP was −93 ± 56 g C m−2 year−1. In the first year of the transition, converting the SRC into an ACS counteracted the potential beneficial effect of C storage in tree belowground biomass due to the high heterotrophic respiration rate recorded in the ACS, which was fostered by the incorporation of residues and tillage disturbance in the alley. Additional years of heterotrophic respiration measurements could allow for an estimate of the speed and extent of C losses.

1. Introduction

A Short Rotation Coppice (SRC) is defined as a growing multi-stemmed woody material that is subject to short rotations, usually of less than five years, and harvested using converted agricultural machinery [1]. SRC stands were established in the 1990s and were exploited as a source of woody biomass for energy production in the framework of the European 20-20-20 targets (GHG reduction, Renewable energy, Energy efficiency) [2].
Hybrid poplars are fast growing trees suitable for SRC in Northern and Central Italy [3,4] and covered 6000 ha in 2016 [5]. Despite their high biomass potential, SRC pure stands have some limitations: A rapid decline of biomass production over years, a high water demand (5000 m3 water ha−1 year−1 for a mature plantation), decreased CAP (Common Agricultural Policy) payments in the last years, a low woodchip price and high destruction costs resulting in an overall decreased profitability [6,7]. In particular, it was observed that the destruction of an SRC plantation and stand re-planting is costly and labor-intensive and it might become economically disadvantageous [8]. A possible solution for reducing the economic risks underlying the shift from an SRC stand to other land uses could be to convert the SRC into a silvoarable Alley Cropping System (ACS) by partially devitalizing and removing tree rows, as recently proposed by Beuschel et al. [9]. SRC-based Alley Cropping Systems integrate rows of fast-growing trees into conventional arable systems and they are currently under investigation, especially in Central Europe [10,11,12,13], while there have been few experiments with them in Mediterranean environments [14,15,16]. SRC-based ACSs, belonging to agroforestry systems, can couple the production of biomass and food, while delivering other ecosystem services, such as soil erosion reduction, improved nutrient cycling, soil faunal diversity and soil fertility conservation [17,18]. Moreover, agroforestry systems are widely recognized as a suitable climate change mitigation strategy due to their potential to increase the carbon storage of agroecosystems [19,20,21,22]. Indeed, several studies showed the ability of agroforestry systems to stock a higher amount of C compared to conventional arable systems. They accumulated C in the total biomass of trees and enhanced the soil organic carbon (SOC) sequestration potential [23,24,25].
Reviewing the results for C storage in agroforestry systems, Kim et al. [26] reported for ACS with fast growing trees, averaging 12 years of age, carbon sequestration values equal to 1.6 t C ha−1 year−1 for the soil component and 2.4 t C ha−1 year−1 for the total biomass, resulting in a final total carbon sequestration of 4 t C ha−1 year−1. However, contrasting results have been reported in the literature, since other researchers found that agroforestry systems could result in no positive impact on soil C stocks compared to systems without trees. This may be because in high fertility temperate soils, for example, the presence of trees may not add C to the soil total C pool, when this is close to reaching saturation [27].
Indeed, estimating the impact of agroforestry systems on C stocks may be challenging, since the capacity of soils and biomass in agroforestry systems to store C depends on several factors mainly linked to site-specific characteristics (local pedoclimatic conditions, tree density and species, previous land-use and management practices) [28]. In an ecosystem, C sequestration primarily involves the fixation of atmospheric CO2 during photosynthesis and the transfer of fixed C into vegetation, detritus and soil pools for “secure” (i.e., long-term) storage [19]. In the agroecosystem, C is located in five main pools, namely, aboveground plant biomass (trees, crops and weeds), belowground plant biomass (trees, crops and weeds), litter, microbial and soil C. These pools interact with each other, part of C is stabilized in the soil and part is released back into the atmosphere as a result of the SOC mineralization and root respiration [29,30]. Compared to conventional cropland, the presence of trees in agroforestry systems may increase the overall efficiency in fixing the CO2 from the atmosphere and the C return to the soil through litter deposition and deep root development [31].
Nevertheless, there is a scarcity of data on the C budget for ACSs [28] and few studies have addressed the net carbon storage in agroforestry systems [26,32]. In particular, there is a need for the implementation of comprehensive approaches suited to quantifying the most relevant components of the carbon budget, such as the C accumulation in the aboveground and belowground biomass and carbon losses from soil, considering the complexity of a system that includes both annual herbaceous crops and perennial woody species [33].
To date, most studies have investigated the carbon sequestration in agroforestry systems, considering only the change in the soil organic carbon pool by measuring the soil organic carbon (SOC) stock change after the introduction of agroforestry practices, as widely reviewed by De Stefano et al. [32]. Some studies evaluated the potential soil carbon stock of agroforestry systems by analyzing the SOC before and after the adoption of an agroforestry layout and comparing it to tree-less open field controls [24]. However, analyzing soil organic carbon evolution in time using repeated soil sampling does not provide a reliable estimate for a short period (<5 years), since the changes in SOC are slow and too small to be detected [34].
Hanson et al. [35] suggested the adoption of a flux approach for short-term carbon monitoring (<5 years) in order to detect soil carbon stock changes while considering the carbon input to soil and heterotrophic respiration as the carbon output. According to ecology definitions [36,37], the carbon remaining in the ecosystem after episodic C losses due to disturbances corresponds to the Net Biome Production (NBP). NBP can be estimated accounting for all, or the most relevant, C fluxes occurring in a selected time span. On an annual basis, the NBP is estimated considering the removal of crop harvested material and residues. In an agroforestry system, changes in the woody biomass carbon pool should also be considered and then allocated to the annual production.
The eddy covariance technique is the most frequently used method for estimating the annual NBP, since it allows all the vertical CO2 fluxes in the agroecosystem during a selected period to be measured [38]. However, its suitability strictly depends on the shape and size of the experimental sites. Thus, alternative methods based on the direct measurement of single C fluxes have to be implemented on small-size fields to check for variations at a finer spatial resolution. Several differences in the C accounting methods were found in the literature. There is generally no consistency in how the belowground biomass is measured. To measure tree belowground biomass, few studies use direct sampling methods and these are frequently young SRC stands (2-5 years). However, researchers more frequently use the root-to-shoot ratio or allometric equations based on aboveground biomass. Fine roots could be sampled, but in the case of an agroforestry system, it is difficult to distinguish between tree and crop roots and the distance from the tree rows may affect the values. Some studies do not include an elemental analysis of the C content in biomass and others take into account all the biomass produced through photosynthesis, as sequestered in a “long-lived pool”. Finally, a considerable part of biomass, e.g., litter and residues, undergoes respiration processes, becoming a loss of CO2 from the agroecosystem and not an actual gain, a factor that is often neglected and not accounted for in CO2 respiration measurements [26].
The aim of this work was to implement a methodology for measuring all relevant C fluxes at a small scale in order to estimate and compare the annual NBP of two cropping systems: (i) a sorghum-poplar Alley Cropping System (ACS) and (ii) a poplar Short Rotation Coppice system (SRC). Thus, the first year of transition is shown in order to demonstrate whether the proposed method is suited to detecting C budget variations in the two systems. Therefore, this three-year study aims to show the effect of transitioning to SRC-based Alley Cropping Systems in terms of climate change mitigation potential.

2. Materials and Methods

2.1. Site Description and Experimental Design

The field trial was carried out at the Centre for Agro-Environmental Research of the University of Pisa (CiRAA), “E. Avanzi”, San Piero a Grado, Pisa, Italy (43°40′49′′ N, 10°20′47′′ E; 1 m above sea level and 0% slope). The experimental area is subjected to an annual rainfall of 920 mm, with a 15 °C annual mean temperature (long-term average for 1987–2017).
The treatment of this study is the cropping system with two levels: a Short Rotation Coppice system (SRC) and an Alley Cropping System (ACS) cultivated with SRC poplar and grain sorghum. The experimental layout has been established according to a randomized block design, with four replicates per level.
The SRC plots, with five continuous poplar rows 2.7 m apart and 0.5 m between plants (7400 plants ha−1 density), originated from a 1.2 ha former poplar SRC (Populus × canadensis Moench. clone AF2 and Populus × generosa Henry × nigra L. clone Monviso) established in 2009, where previous field experiments were carried out [39]. From 2009 to 2016, poplar plants were coppiced every two years with a cut-and-chip harvester at the end of February, before vegetative regrowth. At the start of the experiment, poplar stools were entering the second year of the 8th cutting cycle.
The ACS originated from the same SRC plantation. Arable areas for alley cropping were created after the 7th biomass harvest (March 2017) by removing four out of the five rows, leaving 13.5 m-wide alleys. Land clearing was performed with a forestry shredder (to a depth of 20 cm), followed by disk harrowing. In addition, three 5 m-wide paths were created on the poplar rows every 30 m to facilitate management operations. In summer 2017, in the ACS, a lot of poplar re-sprouting in the poplar alleys was observed. This was generated from the roots, which were still alive because they were not killed by the land clearing with the forestry shredder. Nonetheless, the soil still had a high compaction, since from 2009 to 2017, no tillage operations were conducted, and the heavy machinery used for poplar stool harvesting worsened the compaction over the years. Thus, it was difficult to perform the spring crop sowing in summer 2017. Furthermore, in autumn 2017, the winter crop could not be sown, because the site had a shallow water table and it was prone to flooding. Thus, a deep tillage in spring 2018 was performed and a warm season crop (sorghum) was sown in 2018. The CO2 flux monitoring experiment was established. Plots sown with sorghum (n = 4) were 12 m and 30 m long in the ACS. The SRC plots had the same size, accounting for five tree rows.
In order to take into account the effect of the tree presence, in the ACS, the sampling areas of the biomass components and C fluxes were placed along a transect in three positions: (i) 2.5 m far from the tree row on the west side; (ii) in the centre of the alley (6.75 m from the two tree rows); and (iii) 2.5 m far from the tree row on the east side. The values reported for each replicate of all the variables measured in the ACS are the means of the three positions. The tree points in the transect each represent a third of the plot: the central part, as it was less influenced by the trees; and the two points closer to the tree rows, as they had different solar exposures during the day and during the season.

2.2. Climatic Conditions and Soil Characteristics

The climatic conditions were monitored by a meteorological station outside the field trial in an open field position without tree interference, recording the rainfall, air temperature and wind speed every hour.
In September 2017, before the experiment was set up, soil sampling was performed along the entire field trial, following the experimental layout described in Section 2.1. Soil samples were taken using an auger with a 5 cm inner diameter at a depth of 0–10 cm. The soil parameters analyzed were as follows: soil texture (international pipette method), pH (H2O, 1:2.5), organic matter content (Walkley–Black method), total N content (Kjeldhal method), available P (Olsen method) and exchangeable potassium (K) (BaCl2 method) [40]. The experiment plots were characterized by a clay-loam to silty-clay-loam soil, with a good nutrient availability (Table 1). The site was characterized by a superficial water table (1.8 m deep in the driest conditions).
During the field experiment, the bulk density (BD) was measured by soil coring at a depth of 0–10 cm. The BD sampling was performed three times during the study period: (i) at sorghum sowing in June 2018, (ii) at sorghum harvest in October 2018 and (iii) before the poplar harvest in late February 2019.

2.3. Crop Management

Details on sorghum (Sorghum bicolor L. Moench cv. Baggio) cropping management are listed in Table 2. N-P-K fertilization was supplied in order to ensure that the soil nutrient availability was a non-limiting factor. The harvest dates were 4 October 2018 for sorghum and 5 March 2019 for poplar. Poplar and sorghum were rainfed.
There was no N application to poplar trees. The only management operation after the clearing was the harvest.

2.4. Carbon Budget Estimation

The overall carbon budget of the two cropping systems was assessed as the net biome production (NBP). The NBP is the carbon remaining in the ecosystem when all other fluxes have been accounted for [36,37]. Hanson et al. [35] suggested the adoption of a flux approach for short-term carbon monitoring (less than 5 years). This method is able to detect soil carbon stock changes, considering only the carbon input to soil as the biomass residues and heterotrophic respiration as the carbon output (Equation (1)).
NBP = NPP − Rh − H − D − F − VOC − CH4 − E + I
where NPP is the Net Primary Production in a given time span, namely, the C fixed from the atmosphere through photosynthesis (Gross Primary Production) minus the C lost by maintenance respiration in plants.
Regarding the C losses, Rh is the C loss via soil heterotrophic respiration, H is the carbon lost from harvesting, D is the dissolved or particulate organic or inorganic carbon, F is the carbon lost from fires, VOC is the production of volatile organic compounds, CH4 is the microbially-produced methane, E is the erosion and I is the carbon imported into the ecosystem (organic fertilization and manuring).
C losses related to D, VOC, CH4 and E were assumed to be negligible compared to the magnitude of the other carbon fluxes in the agroecosystem, as reported by Hanson et al. [35]. I and F were not considered, because no external organic carbon was supplied, and no fires occurred during the trial. On an annual basis, NPP was measured as the carbon in the aboveground and belowground biomass of sorghum, poplar and weeds.
Thus, a simplified approach was used in this study to determine the yearly NBP (Equation (2)).
NBP = CAGB + CBGB − CRh − Ch,
where the C inputs are the following: “CAGB” is the C content in the aboveground biomass (AGB) components of each system (sorghum biomass, weeds’ biomass, poplar stools and leaf litter); “CBGB” is the C content in the belowground biomass (BGB) components of each system (roots and poplar stumps). The C outputs are the following: “CRh” is the C emitted to air as CO2 flux by heterotrophic soil respiration and “Ch” is the carbon content of the harvested crop and tree biomass. All the components are reported in g C m−2 year−1.
The NBP translates directly into the C amount net changes of the agroecosystem. A negative NBP indicates a net agroecosystem C loss, whereas a positive NBP indicates that the agroecosystem plays a role as a C sink [41]. In this index, the changes in soil organic carbon were considered as the difference between the carbon input and carbon output. Soil is considered as a “black box”, so the specific processes involving the biomass C return to soil and recycling were not investigated.
In Table 3, all the NBP components sampled in the two cropping systems and their sampling dates are listed.

2.5. Aboveground and Harvested Biomass

2.5.1. Aboveground Biomass of the Herbaceous Layer

In the ACS, the sorghum was sampled at harvest to measure its aboveground biomass (AGB) and grain yield. The sorghum grain yield corresponds to the harvested biomass removed from the system, determined as Ch together with the poplar stools.
Additionally, the AGB of the weeds was sampled in all systems at sorghum harvest in October 2018. This sampling was repeated in February 2019 in order to consider the winter regrowth at poplar harvest in the ACS, excluding the SRC where weeds were not present. In the ACS, the sampling scheme followed the experimental design described in Section 2.1. Thus, each replicate in the ACS is the average of the three positions along the transect (west-side, center and east-side within the alley).
Crop and weed samples were cut at ground level, harvesting a 0.50 m2 surface and then weighted. Sub-samples were oven dried at 60 °C for dry matter content determination. The sorghum AGB, sorghum grain, weed AGB and litter biomass in the ACS were considered as occupying 89% of the land area, with 11% being occupied by poplar rows. The reported values were then multiplied by 0.89.

2.5.2. Aboveground Biomass of Trees

To calculate the annual growth of the poplar stools in the ACS and the SRC, two biomass samplings were measured, before the regrowth period in May 2018 and during the harvest in February 2019.
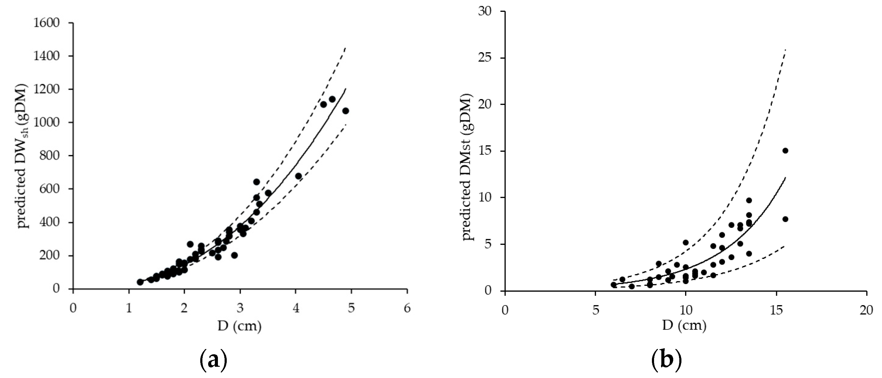
In order to reduce the impact of destructive sampling on the plots, in May 2018, a destructive sampling of only 15 randomly chosen shoots per clone and per system (60 shoots in total) was performed. Subsequently, sub-samples were dried at 105 °C for dry matter content determination. According to Pontailler et al. [42] and Paris et al. [4], an allometric equation (Equation (3)) was used to relate the shoot dry weight (DWsh) to the relative average shoot basal diameter (D), measured with a digital caliper at the cutting height (D was calculated as the average of two measurements per shoot).
DWsh = a × Db
The best fitting models for the two clones and the two systems have been chosen on the basis of the highest R2 value and the lowest RMSE for the parametrization of a and b (Table A1, Figure A1a in Appendix A). The functions were then used to estimate the poplar stools’ biomass in the two systems, based on the basal diameter and the number of shoots sampled in each replicate of ACS and SRC. The basal diameter and the number of shoots of 5 stools per plot were measured on the west side and on the east side (10 stools per replicate, with 20 stools in total) of the ACS, while in the SRC, 5 stools per plot were considered (10 stools in total). The dry stool AGB was then estimated by applying the parametrized allometric functions.
At poplar harvest in February 2019, the same stools sampled in May 2018, were totally cut, weighted, and dried at 105 °C for dry matter content determination.
In order to calculate the poplar stool biomass growth in the studied period, the total dry weight estimated in May 2018 was subtracted from the stool dry weight at harvest in February 2019. The average annual stool biomass dry weight was multiplied by the number of vital stumps per plot measured in March 2019 (average mortality rate: 46% in ACS and 56% in SRC) to obtain the total biomass accumulation in each plot.
Leaf litter, namely, the amount of poplar leaves that remain in the system, was estimated by sampling on a 0.50 m2 surface after the completion of the poplar leaf fall in November 2018. The litter was collected and oven dried at 60 °C for dry matter content determination. The sampling procedure followed the experimental design described in Section 2.1.

2.6. Belowground Biomass

Roots were sampled at harvest with a soil core sampler (5 cm inner diameter) at a depth of 0–30 cm. We assumed that the roots of both crop and poplar are found in the first 30 cm, so this depth can be considered as a common layer, where positive or negative influences occur, in the ACS. Moreover, in the SRC, the majority of the fine roots of poplar (about 70%) are located in the first 30 cm of soil [43]. Sampling was repeated in February 2019 in order to collect the roots of weeds grown in winter before the poplar harvest. As for the aboveground biomass, the sampling procedure followed the experimental design described in Section 2.1.
In the ACS, four soil core samples were taken at equidistant points, following the method proposed by Frasier et al. [44]. The samples were collected as follows: two soil core samples were taken from two neighboring sorghum rows after aerial biomass cutting, avoiding the plant stalks, and two samples were taken from the inter-row space. In the SRC, four samples were taken at equidistant points from the inter-row in between the two poplar rows.
The soil cores were put in 0.5 mm mesh bags, kept in water for 24 h and washed in a hydraulic sieving-centrifugation device. Then, the samples were extracted from the mesh bags, the roots were separated by hand from stones and debris, dried at 60 °C and weighted [43,45,46]. The roots lost during separation and washing were negligible, after several trials using different mesh bags and washing intensities were made, until no detectable losses (e.g., no roots floating in water) could be found.
The roots in the ACS were considered as belonging to the herbaceous layer, thus, as related to 89% of the land area (see Section 2.5.1).
Since we could not carry out destructive sampling by means of stump excavation, the stump dry weight (DMst) was estimated from the basal diameters and the number of shoots measured for 5 contiguous stumps per plot after the harvest using the following allometric function (Equation (4)).
DMst = b × ecD
where D (cm) is the theoretical diameter of the whole stool (derived from the entire shoot area, assuming a circular shape). Empirical parameters b and c have been parametrized through a dataset of excavated stumps from a former SRC experimental site (data not shown) (Table A2, Figure A1b). This site, which is situated 1 km from our experiment, had the same poplar clones and a comparable age (stumps excavated in 2013, 9 years after establishment). The best fitting models for the two clones and the two systems were chosen on the basis of the highest R2 value and lowest RMSE.
The stump dry weight was divided by the age of the plantation to obtain the biomass annual increase per stump (g C m−2 year−1), assuming a linear increase according to age. The average annual stump biomass dry weight was multiplied by the number of alive stumps per plot measured in February 2019 (see Section 2.5.2) to obtain the total biomass in each plot.

2.7. Soil Heterotrophic Respiration

In order to measure the soil CO2 flux due to heterotrophic respiration (Rh), soil flux partitioning was carried out using the trenching method [47,48], with four replicates per system, following the experimental design described in Section 2.1. At each sampling point, two 20 cm-diameter open-ended PVC collars were installed: a 7 cm-deep surface collar inserted 1 cm into the soil to measure soil respiration (autotrophic and heterotrophic) (Rs); and a 35 cm-deep collar inserted 30 cm into the soil to measure heterotrophic respiration (Rh). The collar depth was found to be suitable for excluding 90% of fine roots from the soil volume [49]. The collars were placed in March 2018, three months before the beginning of the experiment, in order to progressively eliminate the spontaneous weeds present in the collars and to let the soil respiration stabilize.
Plants inside the collars were removed by cutting the sprouts when needed. Collars were placed in the sorghum inter-row spacing for ACS and in the poplar inter-row for the SRC. The soil CO2 flux was measured using a non-steady-state through-flow chamber, equipped with a portable infrared gas analyzer (IRGA) (Licor LI-820) connected to an aluminum alloy chamber, with a height of 30 cm and 20 cm of diameter (West Systems Srl, Pontedera, Italy). An internal fan maintained the homogeneity of the air mixture within the chamber during the measurements. The CO2 concentration was recorded with a frequency of one second, while its increase in the headspace (ppm s−1) was checked for linearity for a period of two minutes and recorded by a tablet connected via Bluetooth. The CO2 flux was calculated from the slope of the linear regression, describing the temporal change in the gas concentration in the chamber headspace during deployment, assuming an ideal gas relation, considering the ratio headspace volume area−1 of the chamber, the mean daily air pressure and the temperature. The volumetric soil water content and temperature were recorded in each measurement next to each collar using a probe (Decagon Devices ECH2O-TE/EC-TM), which was inserted into the soil at a depth of 5 cm. All the measurements were conducted between 9 a.m. and 12 a.m., because mid-day values of the soil CO2 flux are reported to approximate the 24 h mean flux [50]. The CO2 flux was measured weekly from 11 June 2018 (sorghum sowing) to 1 March 2019 (poplar harvest), with a total of 25 sampling dates. The data from the three positions in the transect in the ACS were averaged.
A Grubb’s test was performed in order to identify possible outliers in the soil flux measurements among replicates per each investigated system and the sampling date with the R package “outliers” [51]. The cumulative CO2 emissions over the whole monitoring period were calculated by linear interpolation between two close sampling dates and the numerical integration of the function over time.

2.8. Analysis of the C Content in the Subcomponents

Subsamples of the NBP subcomponents were dried at 60 °C and ground (Retsch SM1) to a particle size of <297 μm. All the subcomponents were analyzed, except for the poplar stumps, for which the results obtained from the stools’ biomass were used. The carbon concentration was obtained through elemental analysis (LECO Truspec CHN Analyzer, LECO Corporation, Saint Joseph, MI, USA). The C concentration (%) was multiplied by the samples’ dry weight to obtain the C content per surface unit (g C m−2) for CAGB, CBGB and Ch. The C content of CRh was calculated using the cumulate CO2 flux converted into C stoichiometrically.

2.9. Data Analysis

The statistical analysis was carried out in R environment [52]. The assumptions of the linear models were not met, so a Kruskal-Wallis non-parametric test was performed using the R package “FSA” [53], in order to study the effect of the system. This test was first performed for all the NBP subcomponents, then the NBP subcomponents were summed together according to the NBP equation (Equation (2)) to calculate the total NBP and the resulting NBP values were analyzed.

3. Results

3.1. Metereological Conditions

Winter and early spring in 2018 experienced heavy rains, which were concentrated in the months of February and March (Figure 1). The monthly precipitation in January and April were −63% and −58% lower than the long-term average (1987–2017), respectively.
In May 2018, a high precipitation amount was recorded (+36% compared to the long term), forcing a delay in the sorghum sowing to early June. However, between late June and late July, four rainy days with more than 6 mm occurred, allowing for sorghum vegetative growth in rainfed conditions. Conversely, in August and September (sorghum grain maturation stage), only two rainy days occurred, with precipitations lower than the long-term average (−53% in August and −79% in September).
The mean temperatures between June and September were, on average, 1.2 °C higher compared to the long term. The maximum temperatures were 1.6 °C higher during August and September but 0.2 °C lower in June and July compared to the long term. The minimum temperatures were always higher than the long term from June to September (+1.7 °C). In March 2019, when poplar harvest was performed, the monthly precipitation was much lower than in 2018 (2 mm versus 168 mm, respectively).

3.2. Carbon Input

3.2.1. Carbon in the Aboveground Biomass

The sorghum total biomass in the ACS was 550.9 ± 95.0 g DM m−2 (Table 4), with a C concentration equal to 45.2 ± 0.2%. The C content in the sorghum total biomass was equal to 221.5 ± 39.01 g C m−2 year−1. The weeds’ biomass was 67.4 ± 14.3 g DM m−2 in the ACS, which is higher than that of the SRC, where the amount was negligible (7.7 ± 3.8 g DM m−2). The C concentration covered a wide range of values, falling between 41.0 ± 0.5% in the ACS and 44.3 ± 0.1% in the SRC. The weeds’ C content was higher in the ACS (25.4 ± 3.1 g C m−2 year−1) than in the SRC (3.4 ± 1.7 g C m−2 year−1).
The poplar leaf litter was, on average, four times more abundant in the SRC than in the ACS, where the tree density was lower (404.4 ± 33.5 g DM m−2 and 104.4 ± 17.2 g DM m−2, respectively). The C concentration varied between 38.0 ± 0.05% in the ACS and 45.1 ± 0.3% in the SRC. The C content of the leaf litter was higher in the SRC (182.5 ± 15.5 g C m−2 year−1) than in the ACS (35.3 ± 5.81 g C m−2 year−1). The poplar stool production in the first year of the experiment in the ACS was estimated to be 1073.9 ± 51.7 g DM m−2 for the SRC and 312.7 ± 23.8 g m−2 for the ACS, with the poplar in the ACS producing less than one third of woody biomass compared to the poplar in the conventional SRC. The C concentration for the two systems did not differ, remaining at around 48.6 ± 0.1%. The C content of the poplar stools was significantly higher in the SRC (522.7 ± 24.5 g C m−2 year−1) than in the ACS (152.0 ± 11.6 g C m−2 year−1).

3.2.2. Carbon in the Belowground Biomass

The number of roots was not significantly higher in the ACS (441.7 ± 51.2 g DM m−2) than in the SRC (341.4 ± 48.5 g DM m−2). Conversely, the C content was higher in the ACS (286.6 ± 40.11 g C m−2 year−1) than in the SRC (100.2 ± 12.2 g C m−2 year−1). This may be related to the different C concentration measured in the two systems. Indeed, the roots showed a wide range of values and were lower in the ACS (28.3 ± 0.8%) and higher in the SRC (39.3 ± 0.5%).
The poplar stumps in the SRC were two-fold (511.5 ± 24.5 g DM m−2) compared to the ACS (217.7 ± 24.0 g DM m−2), assuming the same C concentration in the poplar stumps as in the poplar stool biomass (see Section 3.2.1). The C content in the SRC was then higher (248.9 ± 11.6 g C m2 year1) than in the ACS (105.9 ± 11.7 g C m2 year1).

3.3. Carbon Output

3.3.1. Carbon in the Harvested Biomass

Sorghum grain yield was, on average, equal to 164.3 ± 82.0 g DM m−2. The C concentration was similar in the sorghum grain and the sorghum biomass (45.6 ± 0.04%) (see Section 3.2.1). The C content in the ACS was equal to 74.5 ± 37.4 g C m−2 year−1. The harvested poplar biomass corresponds to the poplar stools (see Section 3.2.1).

3.3.2. Carbon Lost as Heterotrophic Respiration

The cumulative CO2 emissions were lower in the SRC (1609.6 ± 83.2 g CO2 m−2) than in the ACS (2540.8 ± 102.0 g CO2 m−2). The consequent C content was significantly higher in the ACS (692.9 ± 27.8 g C m−2 year−1) than in the SRC (439.0 ± 22.7 g C m−2 year−1).

3.4. NBP: Full Budget

The main components of the NBP in the two systems and the overall carbon budget are reported in Table 5. The carbon in the total aboveground biomass was higher in the SRC (709 ± 31 g C m−2 year−1) than in the ACS (434 ± 33 g C m−2 year−1), because the aboveground biomass of the sorghum and weeds did not counterbalance the high C net accumulation measured in the aboveground of the SRC system.
The total belowground C amount for the two systems was comparable, accounting for 392 ± 51 and 349 ± 21 g C m−2 year−1 in the ACS and SRC, respectively. The higher amount of C measured in the fine roots of the ACS did not counterbalance the annual C accumulation estimated for the poplar stumps.
Overall, the total carbon input for the two systems was not significantly different, even if it was 22% higher in the SRC than in the ACS (1058 ± 46 and 827 ± 70 g C m−2 year−1, respectively).
Regarding the output subcomponents, Ch was higher in the SRC (523 ± 25 g C m−2 year−1) than in the ACS (227 ± 46 g C m−2 year−1).
The poplar stool yield was nearly four times higher in the SRC than in the ACS, which is due to the lower plant density measured for poplar stumps. In the ACS, the harvested sorghum grain was not sufficient to compensate for the lower amount of biomass harvested with poplar stools. Thus, Ch was significantly higher in the SRC than in the ACS.
CRh was higher in the ACS (693 ± 28 g C m−2 year−1) than in the SRC (439 ± 23 g C m−2 year−1), which is mainly linked to the differences in soil management operations between the two systems.
In terms of the total carbon output and total carbon input, the two systems were not significantly different, with the SRC just 4% higher than the ACS (962 ± 18 g C m−2 year−1 and 920 ± 19 g C m−2 year−1, respectively).
Overall, the SRC proved to be a net carbon sink (i.e., NBP > 0), with an NBP equal to 96 ± 40 g C m−2 year−1, while the ACS was a net carbon source (i.e., NBP < 0) (−93 ± 56 g C m−2 year−1).

4. Discussion

4.1. NBP of the Two Investigated Cropping Systems

Our results showed that, one year after its conversion from an SRC stand to an ACS, the system turns from a carbon sink into a carbon source. In our experiment, SRC had a positive NBP, while the ACS had a negative NBP. Our NBP results for ACS were close to those reported by Kutsch et al. [55] for five arable crop rotations (winter cereal-based four-year rotations) and two monocultures (barley and rice) over four years in different environments across Europe. Indeed, they estimated an average NBP for the seven sites equal to -95 ± 87 g C m−2 year−1. Our results were also consistent with Janssens et al. [56], who reported a carbon loss of −90 ± 50 g C m−2 year−1 on croplands. Kay et al. [57] reported a value for an ACS based on willow and hazelnut SRC in an Atlantic climate of 36 to 105 g C m−2 of net carbon sequestration potential. This result is similar to our result for SRC but not for ACS, where we observed a negative NBP. However, Feliciano et al. [58] reviewed the potential carbon storage in agroforestry systems and found no clear results, reporting from very negative to very positive carbon budgets (−800 g C m−2 to 800 g C m−2, respectively). They stated that, in a general framework of a lack of standardized methodologies for carbon budget assessment, climatic conditions, site history and management play a crucial role in determining the actual C storage of such systems. For example, Douglas et al. [27] suggested that the introduction of poplar and alder conservation trees in a long-term pasture (>30 years) could lead to no soil C stock gain at a depth of 1 m, because the trees are too young (14 to 16 years) to allow for a significant shift to the soil C stock.
Cropland sites from Europe, even if managed according to good practice guidelines [59], can be both moderate carbon sinks and sources, while other model-based studies (ORCHIDEE-STICS) predicted an almost neutral C balance for European agriculture [60].
In general, there is a great variability among sites in different environmental conditions and also among carbon budget estimation methods. These two issues make it difficult to obtain reliable data that are representative of the average situation in Europe or in the Mediterranean [61]. In general, few studies are available on the C balance using a flux approach repeated for more consecutive years after the conversion from a less intensively managed or unmanaged system to a more intensively managed system. We could say that the few examples of studies on the carbon storage of systems undergoing conversion from forest to silvoarable considered only changes in the soil organic carbon stock. Cardinael et al. [28], in an effort to revisit the IPCC Tier 1 for soil organic and biomass carbon storage in agroforestry systems, reported that, where a conversion took place, there were C losses of −26 g C m−2 year−1 from forest to silvoarable in South America and −53 ± 218 g C m−2 year−1 from forest to silvopasture in three different tropical regions. Therefore, our hypothesis is that more carbon is lost in the first years after the conversion and that these C losses are mainly linked with organic matter and residue mineralization through respiration processes. This C loss rate, however, could slow down in the long term, so our NBP values for ACS could become closer to the ones cited, showing a tendency to reach a steadier state.

4.2. Contribution of the C Input to the NBP

Regarding the C inputs, in the ACS, the total carbon input (Table 5) was lower than in the SRC. In particular, the sorghum biomass and annual weeds’ biomass were not sufficient to close the gap, with a much higher poplar stool biomass production in the SRC.
The sorghum aboveground biomass, in a field trial 3 km away from our site, with different soil conditions and different management but with the same sorghum variety, was 52% higher than in the ACS (1153.1 ± 103.5 g DM m−2 compared to 550.9 ± 95 g DM m−2 in the ACS) (data not published). Nassi o Di Nasso et al. [62], after a long-term (12-year) experiment in Pisa with arable crop rotations, including rainfed sorghum, reported an aboveground production of about 1470 g DM m−2, which is three-fold higher than that in the ACS. The sorghum aboveground biomass measured in the ACS was lower due to the lower crop growth and partly to the reduction of the cropped area (11% less than an open field cultivation). However, it is worth noting that there are no data available for a comparison with our result in the ACS for sorghum aboveground production.
Weeds were more present in the ACS than in the SRC since they were favored by the conversion. It is likely that in the ACS, with the beginning of tillage operations after clearing, weed seed bank germination took place at a fast rate, stimulated by the beginning of the application of fertilizers and seedbed preparation, as well as the higher light availability in the alleys.
In the SRC, the C input was remarkably higher than in the ACS (+22% respect ACS), both for the C accumulated in the poplar stools and the leaf litter.
Nassi o Di Nasso et al. [3] reported a poplar stool yield of 1380 ± 90 g DM m−2 in a 12-year-old SRC poplar stand in Pisa, which is higher than our result in the SRC (1073.9 ± 51.7 g DM m−2). Giannini et al. [63] reported a value of around 1000 g DM m−2, which is close to our value in the SRC, in a young SRC poplar stand (3 years) in organic soil in Tuscany. However, Ventura et al. [64] reported a poplar C biomass of 1100 ± 200 g C m2 year1 in a young SRC poplar stand (3 years old) in Northern Italy, which is more or less two times higher than our C content value in the SRC (522.7 ± 24.5 g C m2 year1).
Regarding poplar leaf litter, Ventura et al. [64] reported a value of 210 ± 20 g C m−2 year−1, which is not far from our values in the SRC (182.5 ± 15.5 g C m−2 year−1).
Due to the fact that the poplar woody biomass was removed from the system through harvesting, the results also showed that the C output, like the C input, was higher in the SRC than in the ACS. Hence, the net gain in C accumulation for the SRC came from the other biomass sources that were not removed from the system, i.e., weeds, leaf litter, roots and poplar stumps.
In particular, the total C input in the ACS showed a higher proportion of belowground biomass (CBGB), even if it was not significantly different and it also showed a higher proportion of roots than the SRC, along with the presence of poplar stumps. We should note, however, that the CBGB standard error is higher in the ACS than in the SRC. An explanation of the differences in the statistical results for the roots (root biomass not significantly different vs. root C content significantly different) could be the C concentration, which was found to be lower and have a higher variability in the ACS than in the SRC.
The stumps in the ACS were less dense than in the SRC, but competition with contiguous poplar rows was not present, so the poplar stools reached a higher crown diameter and the stumps expanded, resulting in a calculated higher annual stump biomass accumulation (Table A3). Moreover, these data should be treated carefully, considering that the annual accumulation of biomass in the stumps was assumed to follow a linear trend, according to the age, and that the poplar plants density varied only after 2017.
There are few comparable data on sorghum belowground biomass accumulation in Mediterranean environments. Applying the root-to-shoot ratios studied by Myers [65] to the average rainfed sorghum long-term aboveground biomass production for the area [62], we find a value of 294 g DM m−2. Our result for fine roots in the ACS (441.74 ± 51.2 g DM m−2) is higher, but we did not separate the relative contribution of sorghum, weeds and poplar.
An important point regarding the C inputs is the high uncertainty related to the quantification and dynamics of the belowground biomass. More than half of the C assimilated by the plant is transported belowground via root growth and turnover, root exudates (of organic substances) and litter deposition. With this process, Fernández-Núñez et al. [66] estimated, in a silvopasture in Spain, a root C contribution of up to the 33% of the C sequestered in ecosystems. Our results show that the total C content in the belowground biomass (CBGB) is 47% in the ACS and 33% in the SRC of the total C input (Cinput), thus confirming this proportion. The dynamics of the root growth, decay and turnover are some of the least understood aspects of belowground interactions in agroforestry [67].
In our experiment, we did not know how poplar roots were distributed in the alleys after clearing. Fine roots of both trees and crops have a relatively fast turnover (measured in days to weeks). Lignified coarse roots of trees decompose much more slowly once trees are harvested (and ground, in our case) and may contribute substantially to hidden belowground C inputs, but we could not detect this [68]. A probable process is a lack of intra-specific competition in the inter-row, with root web destruction in the first 50 cm and inter-specific competition with sorghum at the same time, which we expect to be fierce in the first 60 cm, as described for silvoarable systems with walnut and hybrid poplar in France [69]. Recently, an attempt at understanding the root dynamics in silvoarable systems has been made by Beuschel et al. [9]. In their study on soil quality parameters after an SRC conversion to a silvoarable system in Germany, they reported data on root determination, finding no living poplar roots in the cultivated alleys and six-fold more dead poplar roots close to the tree rows compared to those in the cultivated alley, suggesting a reduced root biomass after conversion. However, tree roots develop for longer and at a lower depth than herbaceous annual crops, and in soils under trees, a considerable amount of C, which is very challenging to detect and measure, is stored below the plough layer (50 cm) [30]. Trees appear to extend roots to deeper layers when there is competition and disturbance in the plough layer in order to exploit other pools of water and nutrients to sustain their growth [70,71]. Hence, it becomes difficult to estimate and calculate the relative contribution of belowground biomass to the overall carbon input in the ACS. The lack of root measurements in the soil layers deeper than 30 cm could have diminished the calculated belowground carbon and could have led to a higher NBP in both the systems. However, our hypothesis is that the exclusion of the roots under the plough layer could have been a greater disadvantage for the ACS than the SRC in this experiment.
Regarding fine roots, Chimento and Amaducci [43] reported a fine root biomass weight at a depth of 0–30 cm for a 6-year-old SRC poplar in Northern Italy equal to 300 g DM m−2. Our result for the SRC was similar to the one reported (341.4 ± 48.5 g DM m−2). In this study, the root biomass weight was sampled at a depth of 0–102 cm and the data showed that 71% of the fine roots were located in the first 0–30 cm. According to these data, in our SRC system, about 30% of the fine roots are missing from the NBP calculation; while we do not have data from other experiments on a comparable ACS system, where the percentage of poplar fine roots in the first 30 cm could be lower than 71%.
As for coarse roots and stumps, since poplar is an opportunistic rooter, it does not produce roots in deep soil layers when the water table is sufficiently high [72], as observed by Berhongaray et al. [73]. In their experiment, where the average water table was 85 cm, they found almost no coarse roots below 60 cm in a young SRC poplar plantation (4 years old), after the complete excavation of the stumps. The situation in our ACS could be very different because of the competition in the plough layer and the breaking of the coarse roots with stand clearing, which may have forced the poplar to reorganize its root system at deeper layers. Oliveira et al. [74] made a huge effort to determine SRC poplar roots in Spain, excavating stumps for different clones in different sites to validate a model. They measured the single-stool root-to-shoot ratio for SRC poplar (3 to 4 years old) in four different sites in Spain, finding an average value of 0.23. Berhongaray et al. [73] found root-to-shoot values ranging from 0.27 to 0.70 in 2- to 4-year-old poplar, obtained through allometric equations and excluding the fine root biomass. The root-to-shoot value in our SRC is 0.79, if roughly calculated with the belowground biomass and divided by the aboveground biomass, which is much higher than the reported values. These data could suggest that the stand age and site characteristics are determinant, and it becomes difficult to compare root data on SRC stands of different ages [67]. The study conducted by Oliveira et al. [74] focused on younger pure stands in less productive sites. These issues suggest that our quantification of poplar roots in a 9-year-old converted ACS could have been hampered by sampling complications, which could eventually give unsatisfactory results.

4.3. Contribution of the C Output to the NBP

As for the carbon input, the SRC showed a higher but not significant carbon output, which was mainly due to the harvested poplar woody biomass. In the ACS, the carbon output was close to that of the SRC due to its higher heterotrophic respiration rate, which is high enough to close the gap between the ACS and SRC due to the two times higher biomass harvested in the SRC. For instance, in the SRC, there was a higher aboveground biomass production, but the carbon was lost through harvesting, while the respiration rate was significantly lower than in the ACS, thus leading to a positive NBP in the SRC. Conversely, the ACS, which had a lower aboveground production and a similar belowground accumulation compared to SRC, was found to have a carbon output closer to that of the SRC, thus leading to a negative NBP.
The poplar stools’ yields were discussed in the previous section with respect to the contribution of the C input since poplar stools were measured as C inputs and C outputs through harvesting. According to the levels of sorghum aboveground biomass discussed in the previous section, the sorghum grain yield of the ACS (164.3 ± 82.0 g DM m−2) was also about 50% lower than in an open field condition in the area (data not published). It should be noted, however, that the sorghum yield recorded in the ACS was lower (−64%) than the sorghum yields of the area from the national statistic for Pisa Province (459 g DM m−2) [75]. Nassi o Di Nasso et al. [62] reported an even higher long-term yield average of 670 g DM m−2. Our low yield is due to the lower crop growth, especially next to the poplar rows, and also to the reduced cropped area.
After considering these data, our hypothesis was that the factor underlying the main differences in NBP among the two systems was the carbon output through heterotrophic respiration, which is linked with soil and crop management and site history [76]. Our result regarding the total soil respiration for the ACS was 1560.2 ± 300.7 g C m−2 year−1 (Table A4), a high value if compared with other open field cultivations. Sharma et al. [77] measured an open field biomass sorghum (Sorghum bicolor L. Moench) in southern USA, finding values of 872.1, 1138.4 and 882.2 g C m−2 year−1 in 2013, 2014 and 2015, respectively. Alberti et al. [78] reported another warm season cereal, continuous maize, in Northern Italy, finding much lower Rh rates of 607 g C m−2 year−1 and 540 g C m−2 year−1 for 2007 and 2008, respectively. In a review paper, Subke et al. [79] reported about 30% lower values for total respiration of 1077 g C m−2 year−1 for Mediterranean croplands, on average. However, there is a lack of data on the respiration measurement and partitioning of ACSs in Mediterranean environments and on the peculiar transition characteristics considered in our experiment, so we found no data that could be clearly compared with ours [80]. Moreover, it should be noted that the CRh calculated by means of heterotrophic respiration could result in an underestimation of the C output, since it does not include the C lost through biomass degradation.
The SRC showed a cumulate Rh value close to the values reported for temperate forest ecosystems, ranging between 280–970 g C m−2 year−1 [81]. Under Mediterranean conditions in Northern Italy, Ventura et al. [64] measured, in a poplar SRC plantation, an Rh ranging from 700 ± 100 g C m−2 year−1 for 2008 and 900 ± 100 g C m−2 year−1 for 2009 in control non-fertilized plots. In the SRC, the lack of soil aeration, crop residue incorporation and, eventually, tree-shading may have led to a lower carbon loss through respiration. Indeed, in the SRC, the CRh was −37% compared to that in the ACS.
The SOM content in the ACS was closer to that of the SRC because of the former poplar stand, but the soil aeration and crop residue incorporation, due to tillage operations, may have led to an increase in heterotrophic respiration, which may have been due to the higher pool of carbon in the SOM. Indeed, in the ACS, the stumps were destroyed and ground one year before the beginning of the experiment. Thus, a very high quantity of woody biomass was incorporated into the soil (estimated to be equal to 1520 g C m−2 or 15.2 t C ha−1, data not shown). This could have boosted the heterotroph respiration activity in the soil, resulting in a higher rate of CRh. Beuschel et al. [9] studied the conversion of a Short Rotation Coppice stand into a silvoarable system in Germany and found that the SOC and related soil quality parameters in the first 0–5 cm decrease in the alley in the first year after conversion. Thus, in the ACS, the incorporation of woody biomass and the consequent repeated tillage operations could have favored a higher mineralization rate than that in the SRC. No studies are available on soil CO2 fluxes for a conversion from an SRC stand to an Alley Cropping System, since the few data available are on studies conducted on formerly arable lands that have been converted into SRCs and not vice versa [82,83].
In arable systems, soil carbon is usually depleted, because the systems have a lower plant biomass input due to harvesting, a fast SOM breakdown (SOM is more easily reached and disrupted by tillage soil aggregates) and an increased displacement of carbon-rich topsoil [84]. However, crop management practices, such as ploughing and fertilization, may cause either soil C increases or losses [19].
In our case, if the incorporation of poplar stumps in the ACS led to a peak in soil respiration in the short term, in the second year, we could expect a decrease in the Rh and a lower carbon loss [85]. Nonetheless, if the repeated soil aeration and crop residue incorporation steadily boosted the heterotrophic activity in the soil, we could expect the opposite result, since the ACS loses more carbon even in the following years. Some studies suggest that the loss of a permanent cover and re-introduction of tillage may lead to a destruction of microorganisms’ habitats and a decrease in soil organic matter recycling, thus overcoming the beneficial effect of stump incorporation for SOM accumulation [86]. These two opposite results could also be dependent on the woody nature of the poplar stumps incorporated. Alberti et al. [78] and Aubinet et al. [87] showed that crop residue respiration (maize and sugar beet) was mostly accomplished in the first months after the incorporation and was nearly finished within one year. Poplar stumps could take longer and show their effect on CRh in more than one year. We need to point out that the SOM content in topsoil could have influenced the soil respiration rates, as reported for temperate croplands [55]. However, in our experiment, the SOM content sampled from the ACS and SRC in 2017 was very close, which is mainly related to them having the same management history for the years prior to the conversion (Table 1). Since organic substrates present in litter or soil are decomposed through Rh [88], carbon losses from the ecosystem can be correlated with the C concentration in topsoil [55,76,89].

5. Conclusions

The transition from an SRC poplar mature stand to an ACS with an annual arable crop (a sorghum and poplar Alley Cropping System) led to a loss of carbon in the agroecosystem. Indeed, while the SRC showed a positive NBP (96 ± 40 g C m−2 year−1), the ACS had a negative NBP (−93 ± 56 g C m−2 year−1). Thus, the SRC system proved to be a net carbon sink (i.e., NBP>0), while the ACS was a net carbon source (i.e., NBP < 0).
The carbon in the total aboveground biomass was higher in the SRC, while the total belowground C amount in the two systems was comparable. Overall, the total carbon input for the two systems was not significantly different, even if it was 22% higher in the SRC than in the ACS.
Regarding the output subcomponents, the carbon harvested was higher in the SRC than in the ACS. However, the carbon lost through heterotrophic respiration was higher in the ACS than in the SRC. The total carbon output, like the total carbon input, for the two systems was not significantly different and the SRC was only 4% higher than the ACS.
Our results showed that, in this transition stage, the higher respiration rate of the ACS was the NBP component impacting more on the final negative NBP value. Heterotrophic respiration could have vanished the beneficial effect of the presence of trees due to tillage disturbance in the organic carbon-enriched soil after the conversion. However, further years of heterotrophic respiration measurements could provide a proxy of the speed and of the degradation process of poplar woody residues and show the effect of the transition towards SRC-based Alley Cropping Systems in terms of climate change mitigation potential.
The challenges relating to the determination of the contribution of the belowground biomass accumulated by tree roots in deeper layers could have caused an underestimation of the C input in both systems.

Author Contributions

Conceptualization, S.B., I.V., G.P., A.M., M.M. and G.R.; methodology, S.B., I.V., G.P., A.M., F.D., C.T. and G.R.; investigation, G.P., I.V., S.B., A.M., V.G., F.D., C.T. and G.R.; data curation, I.V., G.P., S.B., A.M. and G.R.; writing—original draft preparation, G.P., S.B. and I.V.; writing—review and editing, A.M., F.D., V.G., M.M. and G.R.; supervision, G.R. and S.B. All authors have read and agreed to the published version of the manuscript.

Funding

This research received no external funding.

Acknowledgments

The authors wish to thank the staff from CIRAA and SSSA for their valuable support in the trial management.

Conflicts of Interest

The authors declare no conflict of interest.

Appendix A

Table A1. Parameter estimates and goodness-of-fit statistics for the poplar shoots model with the equation DWsh = b × Dc.
Table A1. Parameter estimates and goodness-of-fit statistics for the poplar shoots model with the equation DWsh = b × Dc.
EstimateStd. Errort Valuep-Value (>|t|)RMSER2DF
a28.3262.48911.38<2 × 10−1649.7370.95758
b2.3590.06635.75<2 × 10−16
Note: Std. Error: standard error; RMSE: root of mean square error; R2: coefficient of determination; DF: degrees of freedom.
Table A2. Parameter estimates and goodness-of-fit statistics for the poplar stumps model with the equation DMst = b × ecD.
Table A2. Parameter estimates and goodness-of-fit statistics for the poplar stumps model with the equation DMst = b × ecD.
EstimateStd. Errort Valuep-Value (>|t|)RMSER2DF
b0.1170.0452.6290.01221.4630.75039
c0.2990.02810.7013.62 × 10−13
Note: Std. Error: standard error; RMSE: root of mean square error; R2: coefficient of determination; DF: degrees of freedom.
Figure A1. Allometric equations estimated (lines) and real values (points) for: (a) poplar shoots; (b) poplar stumps.
Figure A1. Allometric equations estimated (lines) and real values (points) for: (a) poplar shoots; (b) poplar stumps.
Agronomy 10 01251 g0a1
Table A3. Poplar growth characteristics in the two systems (average ± SE; ACS: Alley Cropping System; SRC: Short Rotation Coppice system).
Table A3. Poplar growth characteristics in the two systems (average ± SE; ACS: Alley Cropping System; SRC: Short Rotation Coppice system).
UnitACSSRC
Tree heightm5.0 ± 0.15.3 ± 0.1
Mean diameter of crownm3.1 ± 0.12.0 ± 0.3
Number of shootsshoots stool−121.3 ± 1.217.4 ± 2.1
Mean shoot diametermm22.4 ± 0.620.7 ± 1.0
Stool dry weightkg7.1 ± 0.54.7 ± 0.5
Table A4. Cumulated annual respiration rates in the two systems (g C m−2 year−1, average ± SE; ACS: Alley Cropping System; SRC: Short Rotation Coppice system). Values reported as Soil respiration (Rs), Heterotrophic respiration (Rh), Autotrophic respiration (Ra).
Table A4. Cumulated annual respiration rates in the two systems (g C m−2 year−1, average ± SE; ACS: Alley Cropping System; SRC: Short Rotation Coppice system). Values reported as Soil respiration (Rs), Heterotrophic respiration (Rh), Autotrophic respiration (Ra).
NBP ComponentUnitACSSRC
Rsg C m−2 year−11560.2 ± 300.7964.8 ± 151.0
Rhg C m−2 year−1692.9 ± 27.8439.0 ± 22.7
Rag C m−2 year−1867.2 ± 327.9525.8 ± 167.1

References

  1. McKay, H. Short Rotation Forestry: Review of growth and environmental impacts. In Forest Research Monograph; Forest Research: Farnham, UK, 2011; Volume 2, 212p. [Google Scholar]
  2. Consolidated Text: Directive 2009/28/EC of the European Parliament and of the Council of 23 April 2009 on the Promotion of the Use of Energy from Renewable Sources and Amending and Subsequently Repealing Directives 2001/77/EC and 2003/30/EC (Text with EEA Relevance). Available online: http://data.europa.eu/eli/dir/2009/28/2015-10-05 (accessed on 17 August 2020).
  3. Nassi o Di Nasso, N.; Guidi, W.; Ragaglini, G.; Tozzini, C.; Bonari, E. Biomass production and energy balance of a 12-year-old short-rotation coppice poplar stand under different cutting cycles. Glob Change Biol Bioenergy 2010, 2, 89–97. [Google Scholar] [CrossRef]
  4. Paris, P.; Di Matteo, G.; Tarchi, M.; Tosi, L.; Spaccino, L.; Lauteri, M. Precision subsurface drip irrigation increases yield while sustaining water-use efficiency in Mediterranean poplar bioenergy plantations. For. Ecol. Manag. 2018, 409, 749–756. [Google Scholar] [CrossRef]
  5. Nassi o Di Nasso, N.; Giulietti, V.; Bosco, S. Le colture dedicate—Pioppo (Populus spp.). In Le Biomasse Lignocellulosiche, 1st ed.; Bonari, E., Maracchi, G., Eds.; Firenze University Press: Firenze, Italy, 2016; pp. 135–153. [Google Scholar]
  6. Elghali, L.; Clift, R.; Sinclair, P.; Panoutsou, C.; Bauen, A. Developing a sustainability framework for the assessment of bioenergy systems. Energy Policy 2007, 35, 6075–6083. [Google Scholar] [CrossRef]
  7. Tzanakakis, V.A.; Chatzakis, M.K.; Angelakis, A.N. Energetic environmental and economic assessment of three tree species and one herbaceous crop irrigated with primary treated sewage effluent. Biomass Bioenergy 2012, 47, 115–124. [Google Scholar] [CrossRef]
  8. Dimitriou, I.; Rutz, D. Sustainable Short Rotation Coppice. A Handbook; WIP Renewable Energies: Munich, Germany, 2015. [Google Scholar]
  9. Beuschel, R.; Piepho, H.P.; Joergensen, R.G.; Wachendorf, C. Effects of converting a temperate short-rotation coppice to a silvo-arable alley cropping agroforestry system on soil quality indicators. Agrofor. Syst. 2019, 2. [Google Scholar] [CrossRef]
  10. Gruenewald, H.; Brandt, B.K.V.; Schneider, U.; Bensa, O.; Kendziab, G.; Huttl, R.F. Agroforestry systems for the production of woody biomass for energy transformation purposes. Ecol. Eng. 2007, 29, 319–328. [Google Scholar] [CrossRef]
  11. Quinkenstein, A.; Wo, J.; Gru, H.; Bo, C.; Freese, D.; Uwe, B.; Hu, R.F. Ecological benefits of the alley cropping agroforestry system in sensitive regions of Europe. Environ. Sci. Policy 2009, 12, 1112–1121. [Google Scholar] [CrossRef]
  12. Swieter, A.; Langhof, M.; Lamerre, J.; Greef, J.M. Comparing long-term crop yields of a short rotation alley cropping agroforestry system and of a standard agricultural field in Northern Germany. In Proceedings of the 4th European Agroforestry Conference: Agroforestry as Sustainable Land Use. Tree-Crop Competition and Facilitation, Nijmegen, The Netherlands, 28–30 May 2018. [Google Scholar]
  13. Weger, J.; Vàvrovà, K.; Bubenìk, J.; Lojka, B.; Houska, J.; Kotrba, R. Combining of biomass production for energy with agroforestry—Experience from short rotation coppice with poultry breeding. In Proceedings of the 4th European Agroforestry Conference: Agroforestry as Sustainable Land Use. Environmental benefits of agroforestry, Nijmegen, The Netherlands, 28–30 May 2018. [Google Scholar]
  14. Silvestri, N.; Giannini, V.; Antichi, D. Intercropping cover crops with a poplar short rotation coppice: Effects on nutrient uptake and biomass production. Ital. J. Agron. 2018, 13, 934. [Google Scholar] [CrossRef]
  15. Paris, P.; Camilli, F.; Rosati, A.; Mantino, A.; Mezzalira, G.; Dalla Valle, C.; Franca, A.; Seddaiu, G.; Pisanelli, A.; Lauteri, M.; et al. What is the future for agroforestry in Italy? Agrofor. Syst. 2019, 93, 2243–2256. [Google Scholar] [CrossRef]
  16. Mantino, A.; Volpi, I.; Micci, M.; Pecchioni, G.; Bosco, S.; Dragoni, F.; Mele, M.; Ragaglini, G. Effect of Tree Presence and Soil Characteristics on Soybean Yield and Quality in an Innovative Alley-Cropping System. Agronomy 2020, 10, 52. [Google Scholar] [CrossRef]
  17. Tsonkova, P.; Bo, C.; Quinkenstein, A.; Freese, D. Ecological benefits provided by alley cropping systems for production of woody biomass in the temperate region: A review. Agroforest Syst. 2012, 85, 133–152. [Google Scholar] [CrossRef]
  18. Staton, T.; Walters, R.J.; Smith, J.; Girling, R.D. Evaluating the effects of integrating trees into temperate arable systems on pest control and pollination. Agric. Syst. 2019, 176, 102–676. [Google Scholar] [CrossRef]
  19. Nair, P.K.; Nair, V.D.; Mohan Kumar, B.; Showalter, J.M. Carbon sequestration in agroforestry systems. Adv. Agron. 2010, 108, 237–307. [Google Scholar] [CrossRef]
  20. Smith, P.; Bustamante, M.; Ahammad, H.; Clark, H.; Dong, H.; Elsiddig, E.A.; Haberl, H.; Harper, R.; House, J.; Jafari, M.; et al. Agriculture, Forestry and Other Land Use (AFOLU). In Climate Change 2014: Mitigation of Climate Change. Contribution of Working Group III to the Fifth Assessment Report of the Intergovernmental Panel on Climate Change; Edenhofer, O., Pichs-Madruga, R., Sokona, Y., Farahani, E., Kadner, S., Seyboth, K., Adler, A., Baum, I., Brunner, S., Eickemeier, P., et al., Eds.; Cambridge University Press: Cambridge, UK; New York, NY, USA, 2014. [Google Scholar]
  21. Smith, P.J.; Nkem, K.; Calvin, D.; Campbell, F.; Cherubini, G.; Grassi, V.; Korotkov, A.L.; Hoang, S.; Lwasa, P.; McElwee, E.; et al. Interlinkages between Desertification, Land Degradation, Food Security and Greenhouse Gas Fluxes: Synergies, Trade-offs and Integrated Response Options. In Climate Change and Land: An IPCC Special Report on Climate Change, Desertification, Land Degradation, Sustainable Land Management, Food Security, and Greenhouse Gas Fluxes in Terrestrial Ecosystems; Shukla, P.R., Skea, J., Calvo Buendia, E., Masson-Delmotte, V., Portner, H.O., Roberts, D.C., Zhai, P., Slade, R., Connors, S., van Diemen, R., et al., Eds.; 2019; in press; Available online: https://www.ipcc.ch/site/assets/uploads/sites/4/2019/11/09_Chapter-6.pdf (accessed on 24 August 2020).
  22. Lorenz, K.; Lal, R. Soil organic carbon sequestration in agroforestry systems. A review. Agron. Sustain. Dev. 2014, 34, 443–454. [Google Scholar] [CrossRef]
  23. Albrecht, A.; Kandji, S.T. Carbon sequestration in tropical agroforestry systems. Agric. Ecosyst. Environ. 2003, 99, 15–27. [Google Scholar] [CrossRef]
  24. Pardon, P.; Reubens, B.; Reheul, D.; Mertens, J.; De Frenne, P.; Coussement, T.; Verheyen, K. Trees increase soil organic carbon and nutrient availability in temperate agroforestry systems. Agric. Ecosyst. Environ. 2017, 247, 98–111. [Google Scholar] [CrossRef]
  25. Cardinael, R.; Chevallier, T.; Cambou, A.; Béral, C.; Barthès, B.G.; Dupraz, C.; Chenu, C. Increased soil organic carbon stocks under agroforestry: A survey of six different sites in France. Agric. Ecosyst. Environ. 2017, 236, 243–255. [Google Scholar] [CrossRef]
  26. Kim, D.G.; Kirschbaum, M.U.F.; Beedy, T.L. Carbon sequestration and net emissions of CH4 and N2O under agroforestry: Synthesizing available data and suggestions for future studies. Agric. Ecosyst. Environ. 2016, 226, 65–78. [Google Scholar] [CrossRef]
  27. Douglas, G.; Mackay, A.; Vibart, R.; Dodd, M.; Mcivor, I.; Mckenzie, C. Soil carbon stocks under grazed pasture and pasture-tree systems. Sci. Total Environ. 2020, 715, 136–910. [Google Scholar] [CrossRef]
  28. Cardinael, R.; Umulisa, V.; Toudert, A.; Olivier, A.; Bockel, L.; Bernoux, M. Revisiting IPCC Tier 1 coefficients for soil organic and biomass carbon storage in agroforestry systems. Environ. Res. Lett. 2018, 13, 12. [Google Scholar] [CrossRef]
  29. Howlett, D.S.; Mosquera-Losada, M.R.; Nair, P.K.R.; Nair, V.D.; Rigueiro-Rodríguez, A. Soil carbon storage in silvopastoral systems and a treeless pasture in Northwestern Spain. J. Environ. Qual. 2011, 40, 825. [Google Scholar] [CrossRef] [PubMed]
  30. Rigueiro-Rodriguez, A.; McAdam, J.H.; Mosquera-Losada, M.R. Agroforestry in Europe; Springer: Dordrecht, The Netherlands, 2008. [Google Scholar]
  31. Gordon, A.M.; Thevathasan, N.; Nair, P.K.R. An agroecological foundation for temperate agroforestry. In Temperate Agroforestry: Science and Practice; Garrett, H.E., Fisher, R.F., Eds.; American Society of Agronomy: Madison, WI, USA, 2009; pp. 25–44. [Google Scholar]
  32. De Stefano, A.; Jacobson, M.G. Soil carbon sequestration in agroforestry systems: A meta-analysis. Agrofor. Syst. 2018, 92, 285–299. [Google Scholar] [CrossRef]
  33. Verchot, L.V.; van Noordwijik, M.; Kandji, S.; Tomich, T.; Ong, C.; Albrecht, A.; Mackensen, J.; Bantilan, C.; Anupama, K.V.; Palm, C. Climate change: Linking adaptation and mitigation through agroforestry. Mitig. Adapt. Strateg. Glob. Chang. 2007, 12, 901–918. [Google Scholar] [CrossRef]
  34. Rodeghiero, M.; Heinemeyer, A.; Schrumpf, M.; Bellamy, P. Determination of soil carbon stocks and changes. In Soil Carbon Dynamics: An Integrated Methodology; Kutsch, W.L., Bahn, M., Heinemeyer, A., Eds.; Cambridge university press: Cambridge, UK, 2009; pp. 49–75. [Google Scholar]
  35. Hanson, P.J.; Edwards, N.T.; Garrten, C.T.; Andrews, J.A. Separating Root and Soil Microbial Contributions to Soil Respiration: A Review of Methods and Observations. Biogeochemistry 2000, 48, 115–146. [Google Scholar] [CrossRef]
  36. Kirschbaum, M.U.F.; Eamus, D.; Gifford, R.M.; Roxburgh, S.H.; Sands, P.J. Definitions of some ecological terms commonly used in carbon accounting. In Net Ecosystem Exchange; Kirschbaum, M.U.F., Mueller, R., Eds.; CRC for Greenhouse Accounting: Canberra, Australia, 2001. [Google Scholar]
  37. Smith, P.; Lanigan, G.; Kutsch, W.L.; Nuchmann, N.; Eugster, W.; Aubinet, M.; Ceschia, E.; Beziat, P.; Yeluripati, J.B.; Osborne, B.; et al. Measurements necessary for assessing the net ecosystem carbon budget of croplands. Agric. Ecosyst. Environ. 2010, 139, 302–315. [Google Scholar] [CrossRef]
  38. Chapin, F.S.; Woodwell, G.M.; Randerson, J.T.; Rastetter, E.B.; Lovett, G.M.; Baldocchi, D.D.; Clark, D.A.; Harmon, M.E.; Schimel, D.S.; Valentini, R.; et al. Reconciling carbon-cycle concepts, terminology, and methods. Ecosystems 2006, 9, 1041–1050. [Google Scholar] [CrossRef]
  39. Giulietti, V. Le Potenzialità delle Colture Legnose da Biomassa a Destinazione Energetica Negli Ambienti Mediterranei. Il Caso di Studio della SRC di Pioppo. Ph.D. Thesis, Dottorato di Ricerca in Scienze delle Produzioni Vegetali, Programma di Produzioni Vegetali, Università di Pisa, Pisa, Italy, 2015. [Google Scholar]
  40. Motsara, M.R.; Roy, R.N. Guide to Laboratory Establishment for Plant Nutrient Analysis; Food and Agriculture Organization of the United Nations—FAO: Rome, Italy, 2008; ISBN 9789251059814. [Google Scholar]
  41. Schulze, E.D. Biological control of the terrestrial carbon sink. Biogeosciences 2006, 3, 147–166. [Google Scholar] [CrossRef]
  42. Pontailler, J.Y.; Ceulemans, R.; Guittet, J.; Mau, F. Linear and nonlinear functions of volume index to estimate woody biomass in high density young poplar stands. Ann. For. Sci. 1997, 54, 335–345. [Google Scholar] [CrossRef]
  43. Chimento, C.; Amaducci, S. Biomass and Bioenergy Characterization of fine root system and potential contribution to soil organic carbon of six perennial bioenergy crops. Biomass Bioenergy 2015, 83, 116–122. [Google Scholar] [CrossRef]
  44. Frasier, I.; Noellemeyer, E.; Fernandez, R.; Quiroga, A. Direct field method for root biomass quantification in agroecosystems. MethodsX 2016, 3, 513–519. [Google Scholar] [CrossRef]
  45. Vamerali, T.; Guarise, M.; Ganis, A.; Bona, S.; Mosca, G. Analysis of root image from auger sampling with a fast procedure: A case of application to sugar beet. Plant Soil 2003, 255, 387–397. [Google Scholar] [CrossRef]
  46. Berhongaray, G.; Verlinden, M.S.; Broeckx, L.S. Soil carbon and belowground carbon balance of a short-rotation coppice: Assessments from three different approaches. Glob. Chang. Biol. 2017, 9, 299–313. [Google Scholar] [CrossRef] [PubMed]
  47. Heinemeyer, A.; Tortorella, D.; Petrovičová, B.; Gelsomino, A. Partitioning of soil CO2 flux components in a temperate grassland ecosystem. Eur. J. Soil Sci. 2012, 63, 249–260. [Google Scholar] [CrossRef]
  48. Heinemeyer, A.; Hartley, I.P.; Evans, S.P.; Carreira de la Fuente, J.A.; Ineson, P. Forest soil CO2 flux: Uncovering the contribution and environmental responses of ectomycorrhizas. Global Chang. Biol. 2007, 13, 1786–1797. [Google Scholar] [CrossRef]
  49. Heinemeyer, A.; Di Bene, C.; Lloyd, A.R.; Tortorella, D.; Baxter, R.; Huntley, B.; Ineson, P. Soil respiration: Implications of the plant-soil continuum and respiration chamber collar-insertion depth on measurement and modelling of soil CO2 efflux rates in three ecosystems. Eur. J. Soil. Sci. 2011, 62, 82–94. [Google Scholar] [CrossRef]
  50. Jabro, J.D.; Sainju, U.; Stevens, W.B.; Evans, R.G. Carbon dioxide flux as affected by tillage and irrigation in soil converted from perennial forages to annual crops. J. Environ. Manag. 2008, 88, 1478–1484. [Google Scholar] [CrossRef]
  51. Komsta, L. Outliers: Test for Outliers, a Collection of Some Tests Commonly Used for Identifying Outliers. R Package Version 0.14. 2011. Available online: http://www.r-project.org (accessed on 10 October 2019).
  52. R Core Team. R: A Language and Environment for Statistical Computing. R Foundation for Statistical Computing. Available online: https://www.R-project.org/ (accessed on 10 October 2019).
  53. Ogle, D.H.; Wheeler, P.; Dinno, A. FSA: Fisheries Stock Analysis. R Package Version 0.8.25. Available online: https://github.com/droglenc/FSA (accessed on 10 October 2019).
  54. Bagnouls, F.; Gaussen, H. Les climats biologiques et leur classification. Ann. Géogr. 1957, 355, 193–220. [Google Scholar] [CrossRef]
  55. Kutsch, W.L.; Aubinet, M.; Buchmann, N.; Smith, P.; Osborne, B.; Eugster, W.; Ziegler, W. The net biome production of full crop rotations in Europe. Agric. Ecosyst. Environ. 2010, 139, 336–345. [Google Scholar] [CrossRef]
  56. Janssens, I.A.; Freibauer, A.; Ciais, P.; Smith, P.; Nabuurs, G.J.; Folberth, G.; Schlamadinger, B.; Hutjes, R.W.A.; Ceulemans, R.; Schulze, E.D.; et al. Europe’s terrestrial biosphere absorbs 7 to 12% of European anthropogenic CO2 emissions. Science 2003, 300, 1538–1542. [Google Scholar] [CrossRef]
  57. Kay, S.; Rega, C.; Moreno, G.; den Herder, M.; Palma, J.H.N.; Borek, R.; Herzog, F. Agroforestry creates carbon sinks whilst enhancing the environment in agricultural landscapes in Europe. Land Use Policy 2019, 83, 581–593. [Google Scholar] [CrossRef]
  58. Feliciano, D.; Ledo, A.; Hillier, J.; Nayak, D.R. Which agroforestry options give the greatest soil and above ground carbon benefits in different world regions? Agric. Ecosyst. Environ. 2018, 254, 117–129. [Google Scholar] [CrossRef]
  59. DEFRA. Fertiliser Recommendations for Agricultural and Horticultural Crops (RB209), 7th ed.; Defra: London, UK, 2000.
  60. Ciais, P.; Wattenbach, M.; Vuichard, N.; Smith, P.; Piao, S.L.; Don, A.; Schulze, E.D. The European carbon balance. Part 2: Croplands. Glob. Chang. Biol. 2010, 16, 1409–1428. [Google Scholar] [CrossRef]
  61. Osborne, B.; Saunders, M.; Walmsley, D.; Jones, M.; Smith, P. Key questions and uncertainties associated with the assessment of the cropland greenhouse gas balance. Agric. Ecosyst. Environ. 2010, 139, 293–301. [Google Scholar] [CrossRef]
  62. Nassi o Di Nasso, N.; Bosco, S.; Di Bene, C.; Coli, A.; Mazzoncini, M.; Bonari, E. Energy efficiency in long-term Mediterranean cropping systems with different management intensities. Energy 2011, 36, 1924–1930. [Google Scholar] [CrossRef]
  63. Giannini, V.; Silvestri, N.; Dragoni, F.; Pistocchi, C.; Sabbatini, T.; Bonari, E. Growth and nutrient uptake of perennial crops in a paludicultural approach in a drained Mediterranean peatland. Ecol. Eng. 2017, 103, 478–487. [Google Scholar] [CrossRef]
  64. Ventura, M.; Panzacchi, P.; Muzzi, E.; Magnani, F.; Tonon, G. Carbon balance and soil carbon input in a poplar short rotation coppice plantation as affected by nitrogen and wood ash application. New For. 2019, 123, 456–789. [Google Scholar] [CrossRef]
  65. Myers, R.J.K. The root system of a grain sorghum crop. Field Crop. Res. 1980, 3, 53–64. [Google Scholar] [CrossRef]
  66. Fernández-Núñez, E.; Rigueiro-Rodríguez, A.; Mosquera-Losada, M.R. Carbon allocation dynamics one decade after afforestation with Pinus radiata D. Don and Betula alba L. under two stand densities in NW Spain. Ecol. Eng. 2010, 36, 876–890. [Google Scholar] [CrossRef]
  67. Mokany, K.; Raison, R.; Prokushkin, A.S. Critical analysis of root: Shoot ratios in terrestrial biomes. Glob. Chang. Biol. 2006, 12, 84–96. [Google Scholar] [CrossRef]
  68. Vanlauwe, B.; Diels, J.; Sanginga, N.; Merckx, R. Residue quality and decomposition: An unsteady relationship? In Driven by Nature: Plant Litter Quality and Decomposition; Cadisch, G., Giller, K.E., Eds.; CAB International: Wallingford, Oxon, UK, 1997; pp. 157–166. [Google Scholar]
  69. Mulia, R.; Dupraz, C. Unusual fine root distributions of two deciduous tree species in southern France: What consequences for modelling of tree root dynamics? Plant Soil 2006, 281, 71–85. [Google Scholar] [CrossRef]
  70. Moreno, G.; Obrador, J.J.; García, A. Impact of evergreen oaks on soil fertility and crop production in intercropped dehesas. Agric. Ecosyst. Environ. 2007, 119, 270–280. [Google Scholar] [CrossRef]
  71. Arenas-Corraliza, M.G.; López-Díaz, M.L.; Moreno, G. Winter cereal production in a Mediterranean silvoarable walnut system in the face of climate change. Agric. Ecosyst. Environ. 2018, 264, 111–118. [Google Scholar] [CrossRef]
  72. Hallgren, S.W. Growth-response of Populus hybrids to flooding. Ann. Sci. For. 1989, 46, 361–372. [Google Scholar] [CrossRef]
  73. Berhongaray, G.; Verlinden, M.S.; Broeckx, L.S.; Ceulemans, R. Changes in belowground biomass after coppice in two Populus genotypes. For. Ecol. Manag. 2015, 337, 1–10. [Google Scholar] [CrossRef]
  74. Oliveira, N.; Rodríguez-Soalleiro, R.; Pérez-Cruzado, C.; Cañellas, I.; Sixto, H.; Ceulemans, R. Above- and below-ground carbon accumulation and biomass allocation in poplar short rotation plantations under Mediterranean conditions. For. Ecol. Manag. 2018, 428, 57–65. [Google Scholar] [CrossRef]
  75. ISTAT. I.stat Database: Agricoltura, Regione Toscana, Provincia di Pisa. 2020. Available online: http://dati.istat.it/ (accessed on 17 June 2020).
  76. Paustian, K.; Six, J.; Elliott, E.T.; Hunt, H.W. Management options for reducing CO2 emissions from agricultural soils. Biogeochemistry 2000, 48, 147–163. [Google Scholar] [CrossRef]
  77. Sharma, S.; Rajan, N.; Cui, S.; Casey, K.; Ale, S.; Jessup, R.; Maas, S. Seasonal variability of evapotranspiration and carbon exchanges over a biomass sorghum field in the Southern U.S. Great Plains. Biomass Bioenergy 2017, 105, 392–401. [Google Scholar] [CrossRef]
  78. Alberti, G.; Delle Vedove, G.; Zuliani, M.; Peressotti, A.; Castaldi, S.; Zerbi, G. Changes in CO 2 emissions after crop conversion from continuous maize to alfalfa. Agric. Ecosyst. Environ. 2010, 136, 139–147. [Google Scholar] [CrossRef]
  79. Subke, J.A.; Inglima, I.; Cotrufo, M.F. Trends and methodological impacts in soil CO2 efflux partitioning: A metaanalytical review. Glob. Chang. Biol. 2006, 12, 921–943. [Google Scholar] [CrossRef]
  80. Wang, Y.; Hsieh, Y.P. Uncertainties and novel prospects in the study of the soil carbon dynamics. Chemosphere 2002, 49, 791–804. [Google Scholar] [CrossRef]
  81. Pregitzer, K.S.; Euskirchen, E.S. Carbon cycling and storage in world forests: Biome patterns related to forest age. Glob. Chang. Biol. 2004, 10, 2052–2077. [Google Scholar] [CrossRef]
  82. Verlinden, M.S.; Broeckx, L.S.; Wei, H.; Ceulemans, R. Soil CO2 efflux in a bioenergy plantation with fast-growing Populus trees—Influence of former land use, inter-row spacing and genotype. Plant Soil 2013, 369, 631–644. [Google Scholar] [CrossRef][Green Version]
  83. Ferré, C.; Zenone, T.; Comolli, R.; Seufert, G. Estimating heterotrophic and autotrophic soil respiration in a semi-natural forest of Lombardy, Italy. Int. J. Soil Biol. 2012, 55, 285–294. [Google Scholar] [CrossRef]
  84. Janzen, H.H. The soil carbon dilemma: Shall we hoard it or use it? Soil Biol. Biochem. 2006, 38, 419–424. [Google Scholar] [CrossRef]
  85. Robertson, G.P.; Paul, E.A.; Hardwood, R.R. Greenhouse gases in intensive agriculture: Contributions of individual gases to the radiative forcing of the atmosphere. Science 2000, 289, 1922–1925. [Google Scholar] [CrossRef] [PubMed]
  86. Kahle, P.; Moeller, J.; Baum, C.; Gurgel, A. Tillage-induced changes in the distribution of soil organic matter and the soil aggregate stability under a former short rotation coppice. Soil Tillage Res. 2013, 133, 49–53. [Google Scholar] [CrossRef]
  87. Aubinet, M.; Moureaux, C.; Bodson, B.; Dufranne, D.; Heinesch, B.; Suleau, M.; Vilret, A. Carbon sequestration by a crop over a 4-year sugar beet/winter wheat/seed potato/winter wheat rotation cycle. Agric. For. Meteorol. 2009, 149, 407–418. [Google Scholar] [CrossRef]
  88. Quinkenstein, A.; Jochheim, H. Assessing the carbon sequestration potential of poplar and black locust short rotation coppices on mine reclamation sites in Eastern Germany—Model development and application. J. Environ. Manag. 2016, 168, 53–66. [Google Scholar] [CrossRef]
  89. Nair, P.K.R.; Buresh, R.J.; Mugendi, D.N.; Latt, C.R. Nutrient cycling in tropical agroforestry systems: Myths and science. In Agroforestry in Sustainable Agricultural Systems; Buck, L.E., Lassoie, J.P., Fernandes, E.C.M., Eds.; CRC Press: Boca Raton, FL, USA, 1999; pp. 1–31. [Google Scholar]
Figure 1. Monthly values for the average air temperature in the study period (solid line) and in the long term (1987–2017, dashed line) and the rainfall in the study period (vertical bars) and in the long term (circular dots). The graph allows dry months, when the precipitation is equal or less than twice the monthly mean air temperature (p ≤ 2 T), to be identified [54].
Figure 1. Monthly values for the average air temperature in the study period (solid line) and in the long term (1987–2017, dashed line) and the rainfall in the study period (vertical bars) and in the long term (circular dots). The graph allows dry months, when the precipitation is equal or less than twice the monthly mean air temperature (p ≤ 2 T), to be identified [54].
Agronomy 10 01251 g001
Table 1. Soil characteristics at a depth of 0–10 cm in the two systems, reported as average values ± standard error (ACS: Alley Cropping System; SRC: Short Rotation Coppice system).
Table 1. Soil characteristics at a depth of 0–10 cm in the two systems, reported as average values ± standard error (ACS: Alley Cropping System; SRC: Short Rotation Coppice system).
ACSSRC
Sand(mg kg−1)291.94 ± 62.93202.80 ± 5.88
Clay(mg kg−1)289.57 ± 17.33311.06 ± 2.12
Silt(mg kg−1)416.46 ± 39.33464.18 ± 3.81
Soil texture class CLSiCL-CL
pH 7.56 ± 0.067.66 ± 0.004
SOM(%)3.12 ± 0.063.13 ± 0.003
SOC(kg C kg soil−1)18.10 ± 0.3518.14 ± 0.03
Bulk Density(kg dm−3)1.36 ± 0.021.48 ± 0.06
C/N 9.08 ± 0.129.45 ± 0.05
N(g kg−1)2.00 ± 0.021.92 ± 0.004
P(mg kg−1)171.77 ± 23.59136.43 ± 2.04
K(mg kg−1)470.56 ± 14.11435.55 ± 1.63
Table 2. Dates and details for the main agricultural operations adopted during the year of the study for sorghum in the ACS.
Table 2. Dates and details for the main agricultural operations adopted during the year of the study for sorghum in the ACS.
OperationDateDetails
Main tillage8 May 2018Chisel ploughing (50 cm depth)
N-P-K fertilization at sowing6 June 2018Ternary compound fertilizer (N: 32 kg ha−1 P: 96 kg ha−1 K: 96 kg ha−1)
Sowing6 June 201840 seeds m−2
Hoeing13 July 201810 cm depth
N fertilization topdressing13 July 2018Urea (N: 184 kg ha−1)
Sorghum harvest4 October 2018
Table 3. Description of the NBP (Net Biome Production) components with their sampling dates for the two systems, the Alley Cropping System (ACS) and poplar Short Rotation Coppice system (SRC).
Table 3. Description of the NBP (Net Biome Production) components with their sampling dates for the two systems, the Alley Cropping System (ACS) and poplar Short Rotation Coppice system (SRC).
NBP ComponentNBP SubcomponentSystemSampling Date
CAGBSorghum biomassACS4 October 2018
Weeds’ biomassACS, SRC4 October 2018
28 February 2018
Leaf litterACS, SRC21 November 2018
Poplar stoolsACS, SRC3 May 2018
5 March 2019
CBGBRootsACS, SRC4 October 2018
ACS28 February 2019
Poplar stumpsACS, SRC16 January 2019 1
ChSorghum grainACS4 October 2018
Poplar stoolsACS, SRC5 March 2019
CRhHeterotrophic respirationACS, SRCfrom 11 June 2018 to 1 March 2019
1 Estimated from the basal diameters of the stems.
Table 4. NBP subcomponent values: biomass per surface unit (g DM m−2 year−1, average ± SE) and C content (g C m−2 year−1) in the two systems (ACS: Alley Cropping System; SRC: Short Rotation Coppice system; AGB: Aboveground biomass; BGB: Belowground biomass; Rh: Heterotrophic respiration). Asterisks represent significative differences in the biomass and C content between the investigated systems (ns: not significative; *: p < 0.05).
Table 4. NBP subcomponent values: biomass per surface unit (g DM m−2 year−1, average ± SE) and C content (g C m−2 year−1) in the two systems (ACS: Alley Cropping System; SRC: Short Rotation Coppice system; AGB: Aboveground biomass; BGB: Belowground biomass; Rh: Heterotrophic respiration). Asterisks represent significative differences in the biomass and C content between the investigated systems (ns: not significative; *: p < 0.05).
NBP ComponentNBP SubcomponentBiomass (g DM m−2) Carbon Content (g C m−2 year−1)
ACSSRC ACSSRC
CinputCAGBSorghum biomass550.9 ± 95.0 1n.a.ns221.5 ± 39.0 1n.a.ns
Weeds’ biomass67.4 ± 14.3 17.7 ± 3.8*25.4 ± 3.1 13.4 ± 1.7*
Leaf litter104.4 ± 17.2 1404.4 ± 33.5*35.3 ± 5.8 1182.5 ± 15.5*
Poplar stools312.7 ± 23.81073.9 ± 51.7*152.0 ± 11.6522.7 ± 24.5*
CBGBRoots441.74 ± 51.2 1341.4 ± 48.5ns286.6 ± 40.1 1100.2 ± 12.2*
Poplar stumps217.7 ± 24.0511.5 ± 24.5*105.9 ± 11.7248.9 ± 11.6*
CoutputChSorghum grain164.3 ± 82.0 1n.a.ns74.5 ± 37.4 1n.a.ns
Poplar stools312.7 ± 23.81073.9 ± 51.7*152.0 ± 11.6522.7 ± 24.5*
CRhHeterotrophic respiration2540.8 ± 102.01609.6 ± 83.2*692.9 ± 27.8439.0 ± 22.7*
1 on the 89% of arable area occupied by the crop.
Table 5. Annual NBP components in the two systems (g C m−2 year−1, average ± SE; ACS: Alley Cropping System; and SRC: Short Rotation Coppice system). The values for aboveground biomass (CAGB), belowground biomass (CBGB), carbon harvested (Ch), heterotrophic respiration (CRh) and the resulting net biome production (NBP) are reported. The asterisks represent significative differences in the C content between the investigated systems (ns: not significative; *: p < 0.05).
Table 5. Annual NBP components in the two systems (g C m−2 year−1, average ± SE; ACS: Alley Cropping System; and SRC: Short Rotation Coppice system). The values for aboveground biomass (CAGB), belowground biomass (CBGB), carbon harvested (Ch), heterotrophic respiration (CRh) and the resulting net biome production (NBP) are reported. The asterisks represent significative differences in the C content between the investigated systems (ns: not significative; *: p < 0.05).
NBP ComponentACSSRC
CAGB434 ± 33709 ± 31*
CBGB392 ± 51349 ± 21ns
Total Cinput827 ± 701058 ± 46ns
Ch227 ± 46523 ± 25*
CRh693 ± 28439 ± 23*
Total Coutput920 ± 19962 ± 18ns
NBP− 93 ± 5696 ± 40*

Share and Cite

MDPI and ACS Style

Pecchioni, G.; Bosco, S.; Volpi, I.; Mantino, A.; Dragoni, F.; Giannini, V.; Tozzini, C.; Mele, M.; Ragaglini, G. Carbon Budget of an Agroforestry System after Being Converted from a Poplar Short Rotation Coppice. Agronomy 2020, 10, 1251. https://doi.org/10.3390/agronomy10091251

AMA Style

Pecchioni G, Bosco S, Volpi I, Mantino A, Dragoni F, Giannini V, Tozzini C, Mele M, Ragaglini G. Carbon Budget of an Agroforestry System after Being Converted from a Poplar Short Rotation Coppice. Agronomy. 2020; 10(9):1251. https://doi.org/10.3390/agronomy10091251

Chicago/Turabian Style

Pecchioni, Giovanni, Simona Bosco, Iride Volpi, Alberto Mantino, Federico Dragoni, Vittoria Giannini, Cristiano Tozzini, Marcello Mele, and Giorgio Ragaglini. 2020. "Carbon Budget of an Agroforestry System after Being Converted from a Poplar Short Rotation Coppice" Agronomy 10, no. 9: 1251. https://doi.org/10.3390/agronomy10091251

APA Style

Pecchioni, G., Bosco, S., Volpi, I., Mantino, A., Dragoni, F., Giannini, V., Tozzini, C., Mele, M., & Ragaglini, G. (2020). Carbon Budget of an Agroforestry System after Being Converted from a Poplar Short Rotation Coppice. Agronomy, 10(9), 1251. https://doi.org/10.3390/agronomy10091251

Note that from the first issue of 2016, this journal uses article numbers instead of page numbers. See further details here.

Article Metrics

Back to TopTop