Novel Pesticide Risk Indicators for Aquatic Organisms and Earthworms
Abstract
1. Introduction
2. Materials and Methods
2.1. The PEARL 4.4.4 and STEP 1–2 Models
The Procedure of Testing the PEARL 4.4.4 Model and the Assessment of the Model Simulation
2.2. Data on Pesticide Toxicity and Bioaccumulation
2.3. Risk Assessment of Pesticide Application for Aquatic and Soil Organisms
- Using data on pesticide toxicity for earthworms and only for the most sensitive group of aquatic organisms;
- Transforming the indicators of pesticide toxicity and pesticide concentration into acute and long-term toxicity exposure ratios [21]:TERacute = LC50 (EC50)/PECmax,where LC50 or EC50 is 50 percent of the lethal concentration, and PECmax is the maximum predicted pesticide concentration in soil and surface water:TERlong-term = NOEC/PEC56 or 21 days,where NOEC is the ineffective observed pesticide concentration, and the PEC56 and PEC21 days are the weighted average predicted pesticide concentrations in soil per 56 days and in water per 21 days;
- The numerical values of these indicators are converted into points as follows: (a) all the pesticides are ranked for each indicator value from the min TER to max TER (acute and long-term) and from max BCF to min BCF; (b) 20 pesticides are selected from these three ranked lists with the corresponding numerical values of each indicator; (c) if the pesticide occupies the first line in any of the three indicators, then the numerical value of this indicator is converted to 1 point; (d) if the pesticide is in the bottom line of the rating, the value is converted to 20 points;
- The points for each of the three indicators are summarized and the pesticides are again ranked from min to max, where min is a pesticide with high environmental risk.
2.4. Statistical Processing of the Results
3. Results
3.1. Validation of the PEARL 4.4.4 Model
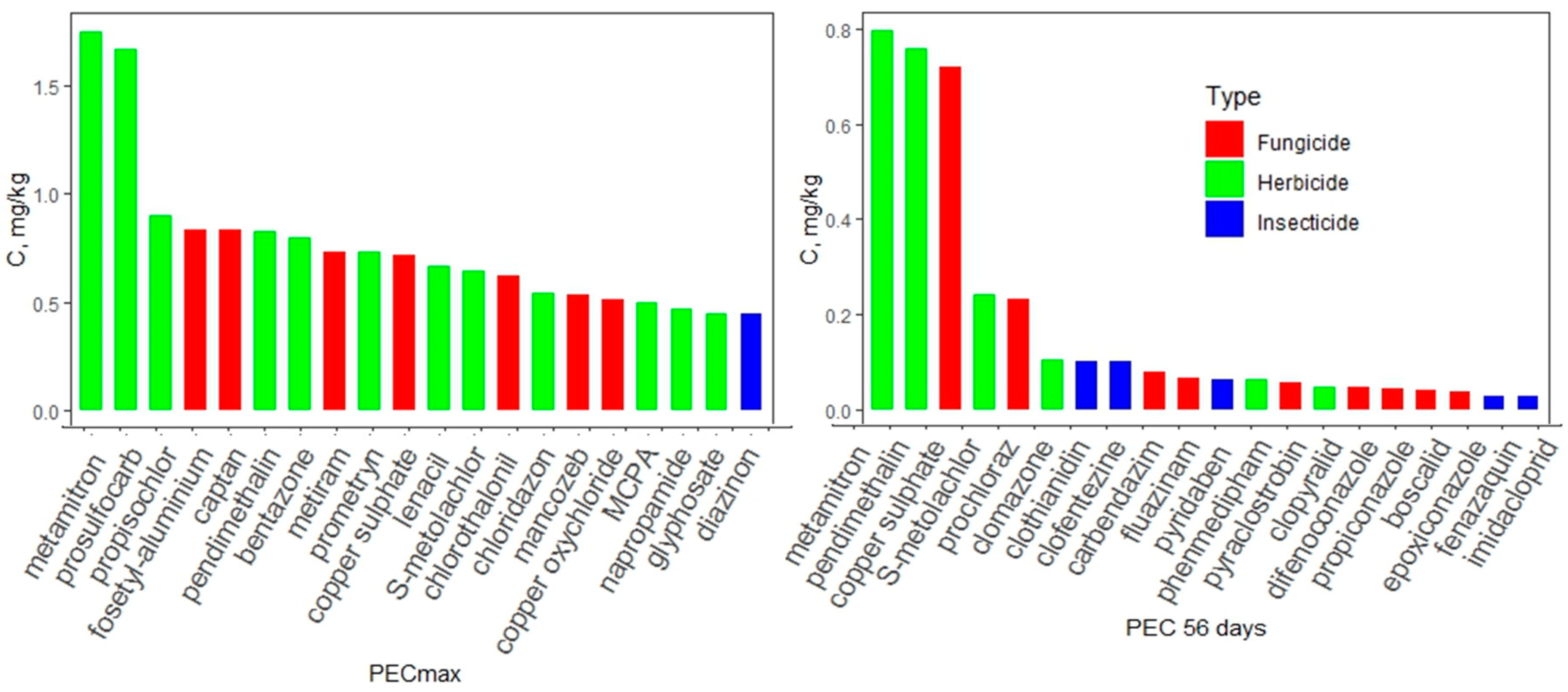
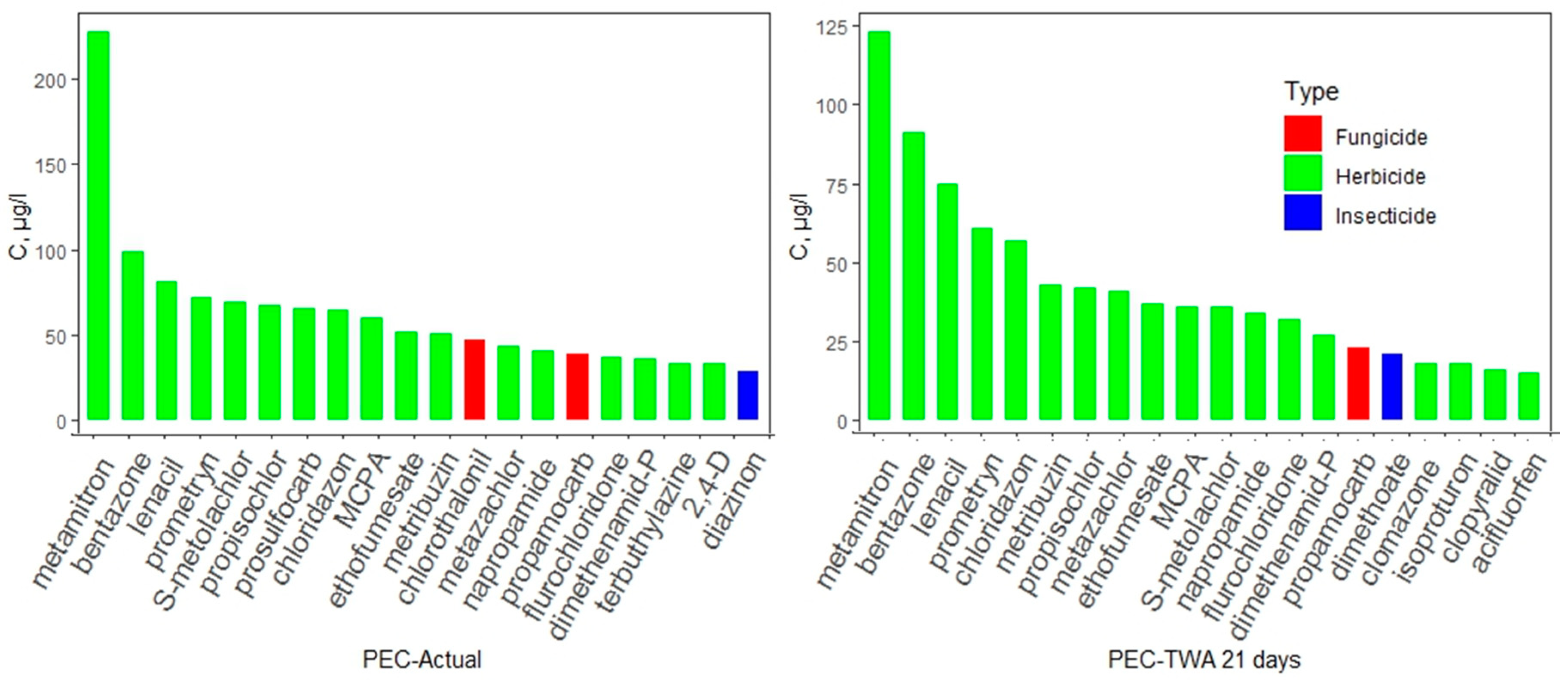
3.2. Predicted Environmental Concentration (PEC) of Pesticides in Soil and Water
3.3. Toxicity Assessment of Pesticides for Earthworms and Aquatic Organisms
Toxicity Assessment of Pesticides for Aquatic Organisms
3.4. Accumulation of Pesticides in Aquatic Organisms and Earthworms
3.5. Risk of Pesticides Toxicity for Earthworms and Aquatic Organisms
Risk of Pesticide Toxicity for Aquatic Organisms
3.6. The Pesticide Risk Indicators for Earthworms and Aquatic Organisms
4. Discussion
5. Conclusions
Supplementary Materials
Author Contributions
Funding
Conflicts of Interest
References
- Sharma, A.; Kumar, V.; Shahzad, B.; Tanveer, M.; Sidhu, G.P.S.; Handa, N.; Kohli, S.; Yadav, P.; Bali, A.S.; Parihar, R.D.; et al. Worldwide Pesticide Usage and Its Impacts on Ecosystem. SN Appl. Sci. 2019. Available online: https://doi.org/10.1007/s42452-019-1485-1 (accessed on 1 May 2020). [CrossRef]
- Astaykina, A.A.; Streletskii, R.A.; Maslov, M.N.; Belov, A.A.; Gorbatov, V.S.; Stepanov, A.L. The Impact of Pesticides on the Microbial Community of Agrosoddy-Podzolic Soil. Eurasian Soil Sci. 2020. [Google Scholar] [CrossRef]
- Topping, C.J.; Aldrich, A.; Berny, P. Overhaul Environmental Risk Assessment for Pesticides. Science 2020. Available online: https://www.ncbi.nlm.nih.gov/pubmed/31974232 (accessed on 1 May 2020). [CrossRef] [PubMed]
- Handford, C.E.; Elliott, C.T. A Review of the Global Pesticide Legislation and the Scale of Challenge in Reaching the Global Harmonization of Food Safety Standards. Integr. Environ. Assess Manag. 2015. Available online: https://www.ncbi.nlm.nih.gov/pubmed/25765969 (accessed on 1 May 2020). [CrossRef] [PubMed]
- Alix, A.; Knauer, K.; Streloke, M.; Poulsen, V. Development of a Harmonized Risk Mitigation Toolbox Dedicated to Environmental Risks of Pesticides in Farmland in Europe: Outcome of the Magpie Workshop; Julius Kühn Institut, Bundesforschungsinstitut für Kulturpflanzen: Quedlinburg, Sweden, 2015. [Google Scholar]
- Boivin, A.; Poulsen, V. Environmental Risk Assessment of Pesticides: State of the Art and Prospective Improvement from Science. Environ. Sci. Pollut. Res. Int. 2017. Available online: https://www.ncbi.nlm.nih.gov/pubmed/28039636 (accessed on 1 May 2020). [CrossRef] [PubMed]
- Kegley, S.E.; Hill, B.R.; Orme, S.; Choi, A.H. Pan Pesticide Database; Pesticide Action Network, North America: Oakland, CA, USA, 2016; Available online: http://www.pesticideinfo.org (accessed on 1 May 2020).
- Jager, T.; Albert, C.; Thomas, G.P.; Ashauer, R. General Unified Threshold Model of Survival-a Toxicokinetic-Toxicodynamic Framework for Ecotoxicology. Environ. Sci. Technol. 2011, 45, 2529–2540. [Google Scholar] [CrossRef]
- Van der Voet, H.; de Boer, W.J.; Kruisselbrink, J.W.; Goedhart, P.W.; van der Heijden, G.W.A.M.; Kennedy, M.C.; Boon, P.E.; van Klaveren, J.D. The MCRA Model for Probabilistic Single-Compound and Cumulative Risk Assessment of Pesticides. Food Chem. Toxicol. 2015. Available online: http://www.sciencedirect.com/science/article/pii/S0278691514004360 (accessed on 1 May 2020). [CrossRef] [PubMed]
- Ashauer, R.; Albert, C.; Augustine, S.; Cedergreen, N.; Charles, S.; Ducrot, V.; Focks, A.; Gansi, F.; Gergs, A.; Goussen, B.; et al. Modelling Survival: Exposure Pattern, Species Sensitivity and Uncertainty. Sci. Rep. 2016. Available online: https://www.ncbi.nlm.nih.gov/pubmed/27381500 (accessed on 6 June 2016). [CrossRef]
- Moshe, C.; Wajnberg, E. Environmental Pest Management: Challenges for Agronomists, Ecologists, Economists and Policymakers; John Wiley & Sons: Hoboken, NJ, USA, 2017. [Google Scholar]
- Lise, S.-P.; Bøje, C.; Hansen, L.F.; Kjølholt, J.; Jørgensen, L.N.; Kudsk, P.N.; Ørum, J.E. The Agricultural Pesticide Load in Denmark 2007–2010; Miljøstyrelsen: København, Denmark, 2012. [Google Scholar]
- Per, K.; Jørgensen, L.N.; Ørum, J.E. Pesticide Load—A New Danish Pesticide Risk Indicator with Multiple Applications. Land Use Policy 2018, 70, 384–393. [Google Scholar]
- Sabrina, G.; Gabriel, E.; Chadœuf, J.; Bonneu, F.; Bretagnolle, V. Herbicides Do Not Ensure for Higher Wheat Yield, but Eliminate Rare Plant Species. Sci. Rep. 2016, 6, 1–10. [Google Scholar]
- Perry, E.D.; Ciliberto, F.; Hennessy, D.A.; Moschini, G. Genetically Engineered Crops and Pesticide Use in Us Maize and Soybeans. Sci. Adv. 2016, 2, e1600850. [Google Scholar] [CrossRef] [PubMed]
- Martin, L.; Dessaint, F.; Py, G.; Makowski, D.; Munier-Jolain, N. Reducing Pesticide Use While Preserving Crop Productivity and Profitability on Arable Farms. Nat. Plants 2017, 3, 1–6. [Google Scholar]
- Van Bol, V.; Debongnie, P.; Pussemier, L.; Maraite, H.; Steurbaut, W. Study and Analysis of Existing Pesticide Risk Indicators-Task B1; Veterinary and Agrochemical Research Center (VAR): Teruren, Belgium, 2002; p. 38. [Google Scholar]
- Stewart, P.W. Pesticide Use in California: Strategies for Reducing Environmental Health Impacts; CPS Report; California Policy Seminar, University of California: Berkeley, CA, USA, 1996. [Google Scholar]
- Swanson, M.B.; Davis, G.A.; Kincaid, L.E.; Schultz, T.W.; Bartmess, J.E.; Jones, S.L.; George, E.L. A Screening Method for Ranking and Scoring Chemicals by Potential Human Health and Environmental Impacts. Environ. Toxicol. Chem. An Int. J. 1997, 16, 372–383. [Google Scholar] [CrossRef]
- Higley, L.G.; Wintersteen, W.K. A Novel Approach to Environmental Risk Assessment of Pesticides as a Basis for Incorporating Environmental Costs into Economic Injury Levels. Am. Entomol. 1992, 38, 34–39. [Google Scholar] [CrossRef][Green Version]
- Hornsby, A.G.; Buttler, T.M.; Brown, R.B. Managing Pesticides for Crop Production and Water Quality Protection: Practical Grower Guides. Agric. Ecosyst. Environ. 1993, 46, 187–196. [Google Scholar] [CrossRef]
- Van der Werf, H.M.G. Assessing the Impact of Pesticides on the Environment. Agric. Ecosyst. Environ. 1996. Available online: http://www.sciencedirect.com/science/article/pii/S0167880996010961 (accessed on 1 December 1996). [CrossRef]
- Levitan, L. An Overview of Pesticide Impact and Risk Assessment Systems; Cornell University: Ithaca, NY, USA, 1997. [Google Scholar]
- Hart, A. Key Characteristics of Pesticide Risk Indicators Used as Policy Tools: A Comparison of 11 Indicators. In Proceedings of the OECD Workshop on Pesticide Risk Indicators 30, Copenhagen, Denmark, 21–23 April 1997. [Google Scholar]
- Falconer, K. Classification of Pesticides According to Environmental Impact; Centre for Rural Economy; University of Newcastle-Upon-Tyne: Newcastle, UK, 1998. [Google Scholar]
- Reus, J.; Leendertse, P.; Bockstaller, C.; Fomsgaard, I.; Gutsche, V.; Lewis, K.; Nilsson, C.; Pussemier, L.; Trevisan, M.; van der Werf, H.; et al. Comparison and Evaluation of Eight Pesticide Environmental Risk Indicators Developed in Europe and Recommendations for Future Use. Agric. Ecosyst. Environ. 2002, 90, 177–187. [Google Scholar] [CrossRef]
- Kogan, M. Integrated Pest Management: Historical Perspectives and Contemporary Developments. Annu. Rev. Entomol. 1998, 43, 243–270. [Google Scholar] [CrossRef]
- Greitens, T.J.; Day, E. An Alternative Way to Evaluate the Environmental Effects of Integrated Pest Management: Pesticide Risk Indicators. Renew. Agric. Food Syst. 2007, 22, 213–222. [Google Scholar] [CrossRef]
- Spikkerud, E. Pesticide Aquatic Risk Indicators: Testing the OECD Indicators Rextox, Adscor and Syscor and the Norwegian Aquatic Risk Indicator with Estimates of Use Data from Norway; Technical Report of the OECD; Organisation for Economic Co-operation: Paris, France, 2002; Available online: https://www.oecd.org/env/ehs/pesticides-biocides/2752913.pdf (accessed on 1 May 2020).
- Den, H.; Groenewegen, F.P.; van Straalen, N. Pesticides: Problems, Improvements, Alternatives; John Wiley & Sons: Hoboken, NJ, USA, 2008. [Google Scholar]
- Möhring, N.; Hirsch, S.; Bozzola, M.; Finger, R. Revisiting Risk Effects of Pesticides Evidence from Swiss Wheat Production; Mimeo AECP Group; ETH Zürich: Zürich, Switzerland, 2019. [Google Scholar]
- Muhammetoglu, A.; Durmaz, S.; Uslu, B. Evaluation of the Environmental Impact of Pesticides by Application of Three Risk Indicators. Environ. Forensics 2010, 11, 179–186. [Google Scholar] [CrossRef]
- European Commission Leaching Models and EU Registration (Final Report of the Work of the Focus); EU-DOC 4952/VI/95: Brussels, Belgium, 1995; Available online: http://europa.eu.int/comm/food/fs/ph_ps/pro/wrkdoc/focus/gw_en.pdf (accessed on 1 May 2020).
- Van den Berg, F.; Tiktak, A.; Boesten, J.J.T.I.; van der Linden, A.M.A. Pearl Model for Pesticide Behaviour and Emissions in Soil-Plant Systems. Statut. Res. Tasks Unit Nat. Environ. 2016. Available online: https://edepot.wur.nl/377664 (accessed on 1 May 2020).
- Surface Water Tool for Exposure Predictions-Step 1 and Step 2-Developed by the FOCUS Surface Water Groop. Version 3.2. Available online: https://esdac.jrc.ec.europa.eu/projects/stepsonetwo (accessed on 1 June 2020).
- Scorza, J.; Rômulo, P.; da Silva, J.P. Sensibility Analysis of the Pearl Model for Pesticide Leaching in the State of Mato Grosso Do Sul, Brazil. Eng. Agrícola 2011, 31, 965–973. [Google Scholar] [CrossRef][Green Version]
- Shein, E.V.; Kokoreva, A.A.; Gorbatov, V.S.; Umarova, A.B.; Kolupaeva, V.N.; Perevertin, K.A. Sensitivity Assessment, Adjustment, and Comparison of Mathematical Models Describing the Migration of Pesticides in Soil Using Lysimetric Data. Eurasian Soil Sci. 2009, 42, 769–777. [Google Scholar] [CrossRef]
- Lewis, K.A.; Douglas, J.T.; Warner, J.; Green, A. An International Database for Pesticide Risk Assessments and Management. Hum. Ecol. Risk Assess. An Int. J. 2016, 22, 1050–1064. [Google Scholar] [CrossRef]
- PPDB. Available online: http://sitem.herts.ac.uk/aeru/footprint/index2.htm (accessed on 1 June 2020).
- Connell, D.W.; Markwell, R.D. Bioaccumulation in the Soil to Earthworm System. Chemosphere 1990, 20, 91–100. [Google Scholar] [CrossRef]
- EFSA Panel on Plant Protection Products and their Residues. Guidance on Tiered Risk Assessment for Plant Protection Products for Aquatic Organisms in Edge-of-Field Surface Waters. EFSA J. 2013, 11, 3290. [Google Scholar]
- European and Mediterranean Plant Protection Organization [EPPO]. Decision-making scheme for the environmental risk assessment of plant protection products. Bull OEPP/EPPO Bull 1993, 23, 1–165. [Google Scholar] [CrossRef]
- Suter, G.W., II. Ecological Risk Assessment; CRC Press: Boca Raton, FL, USA, 1992. [Google Scholar]
- Knabel, A.; Stehle, S.; Schahafer, R.; Schulz, R. Regulatory FOCUS surface water models fail to predict insecticide concentration in the field. Environ. Sci. Technol. 2012, 46, 8397–8404. [Google Scholar] [CrossRef]
- Nicolopoulou-Stamati, P.; Maipas, S.; Kotampasi, C.; Stamatis, P.; Hens, L. Chemical pesticides and human health: The urgent need for a new concept in agriculture. Front. Public Health 2016, 4, 148. [Google Scholar] [CrossRef]
- Kroes, J.G.; van Dam, J.C.; Groenendijk, P.; Hendriks, R.F.A.; Jacobs, C.M.J. Theory Description and User Manual, 3.2th ed.; Alterra report. No. 1649(02); Alterra: Wageningen, The Netherlands, 2009. [Google Scholar]
- Simeonov, L.I.; Macaev, F.Z.; Simeonova, B.G. Environmental Security Assessment and Management of Obsolete Pesticides in Southeast Europe; Springer: Berlin/Heidelberg, Germany, 2014. [Google Scholar]
- Christoffels, E. The Importance of Soil Erosion for Surface Waters in the Case of Rotbach Creek. In WIT Transactions on Ecology and the Environment; WIT Press: Ashurst, UK, 2016; pp. 1–14. [Google Scholar]
- Polubesova, T.; Nir, S.; Gerstl, Z.; Borisover, M.; Rubin, B. Imazaquin Adsorbed on Pillared Clay and Crystal Violet-Montmorillonite Complexes for Reduced Leaching in Soil. J. Environ. Qual. 2002, 31, 1657–1664. [Google Scholar] [CrossRef]
- Toshiyuki, K.; Ose, K. Toxicity, Bioaccumulation and Metabolism of Pesticides in the Earthworm. J. Pestic. Sci. 2015, 40, 69–81. [Google Scholar]
- Rathore, H.S.; Leo, M.L. Nollet. Pesticides: Evaluation of Environmental Pollution; CRC Press: Boca Raton, FL, USA, 2012. [Google Scholar]
- Pelosi, C.; Lebrun, M.; Beaumelle, L.; Cheviron, N.; Delarue, G.; Nelieu, S. Sublethal Effects of Epoxiconazole on the Earthworm Aporrectodea Icterica. Environ. Sci. Pollut. Res. 2016, 23, 3053–3061. [Google Scholar] [CrossRef] [PubMed]
- Pham, T.-L.; Bui, H.M. Comparison of Diazinon Toxicity to Temperate and Tropical Freshwater Daphnia Species. J. Chem. 2018. [Google Scholar] [CrossRef]
- Munn, M.D.; Gilliom, R.J.; Moran, P.W.; Nowell, L.H. Pesticide Toxicity Index for Freshwater Aquatic Organisms. US Department of the Interior; US Geological Survey: Reston, VA, USA, 2006; p. 81.














| Input Files | Soil | The mass content of organic matter (kg/kg), the dry bulk density (kg/m3), pH, the textural distribution, parameters of the van Genuchten functions. |
| Pesticide | Coefficient of equilibrium sorption on organic matter-Kom (L/kg); half-life in equilibrium domain at reference temperature-DT50 (d); saturated vapor pressure at reference temperature (Pa); solubility in water at reference temperature (kg/L); application rate (kg a.s./ha); application methods. | |
| Weather data | File with weather: minimum and maximum air temperature, precipitation, solar radiation, wind speed, vapor pressure. | |
| Output Files | Water balance | Flux of water in run off (mm), soil evaporation (mm). |
| Pesticide | Concentration in the soil system (µg/kg); total pesticide mass flux and accumulated mass flux at the lower boundary; substance concentrations in the liquid and solid phase; mass flux of pesticide volatilization through the soil surface. |
| Parameter | Value |
|---|---|
| Organic matter (%) 0–25 cm | 1.5 |
| pH water | 5.6 |
| Texture class (USDA) 0–25 cm | Silty loam |
| Soil bulk density, g/cm3 | 1.2 |
| Average annual air temperature (°C) | 3.6 |
| Average annual precipitation (mm) | 548 |
| Active Substance | Type | BCF Fish | Active Substance | Type | BCF Worms |
|---|---|---|---|---|---|
| lufenuron | insecticide | 5300 | tau-fluvalinate | insecticide | 2630 |
| pendimethalin | insecticide | 5100 | bifenthrin | insecticide | 1000 |
| lambda-cyhalothrin | herbicide | 4982 | zeta-cypermethrin | insecticide | 1000 |
| esfenvalerate | insecticide | 3250 | tefluthrin | insecticide | 631 |
| famoxadone | insecticide | 3000 | pyridaben | insecticide | 589 |
| gamma-cyhalothrin | fungicide | 2240 | esfenvalerate | insecticide | 437 |
| clethodim | insecticide | 2100 | permethrin | insecticide | 316 |
| tau-fluvalinate | herbicide | 1979 | beta-cyfluthrin | insecticide | 200 |
| bifenthrin | insecticide | 1703 | alpha-cypermethrin | insecticide | 158 |
| oxyfluorfen | insecticide | 1637 | beta-cypermethrin | insecticide | 158 |
| propargite | herbicide | 1635 | chlorfluazuron | insecticide | 158 |
| fenpyroximate | insecticide | 1601 | propargite | insecticide | 126 |
| deltamethrin | insecticide | 1400 | cypermethrin | insecticide | 89 |
| tefluthrin | insecticide | 1400 | fenazaquin | insecticide | 81 |
| pyriproxyfen | insecticide | 1379 | lambda-cyhalothrin | insecticide | 79 |
| chlorpyrifos | insecticide | 1374 | proquinazid | fungicide | 79 |
| diflufenican | herbicide | 1276 | pendimethalin | herbicide | 63 |
| hexythiazox | insecticide | 1100 | pyriproxyfen | insecticide | 59 |
| fluazinam | fungicide | 1025 | imazamox | herbicide | 58 |
| tebufenpyrad | insecticide | 953 | lufenuron | insecticide | 33 |
© 2020 by the authors. Licensee MDPI, Basel, Switzerland. This article is an open access article distributed under the terms and conditions of the Creative Commons Attribution (CC BY) license (http://creativecommons.org/licenses/by/4.0/).
Share and Cite
Astaykina, A.; Streletskii, R.; Maslov, M.; Kazantseva, S.; Karavanova, E.; Gorbatov, V. Novel Pesticide Risk Indicators for Aquatic Organisms and Earthworms. Agronomy 2020, 10, 1070. https://doi.org/10.3390/agronomy10081070
Astaykina A, Streletskii R, Maslov M, Kazantseva S, Karavanova E, Gorbatov V. Novel Pesticide Risk Indicators for Aquatic Organisms and Earthworms. Agronomy. 2020; 10(8):1070. https://doi.org/10.3390/agronomy10081070
Chicago/Turabian StyleAstaykina, Angelika, Rostislav Streletskii, Mikhail Maslov, Svetlana Kazantseva, Elizabeth Karavanova, and Victor Gorbatov. 2020. "Novel Pesticide Risk Indicators for Aquatic Organisms and Earthworms" Agronomy 10, no. 8: 1070. https://doi.org/10.3390/agronomy10081070
APA StyleAstaykina, A., Streletskii, R., Maslov, M., Kazantseva, S., Karavanova, E., & Gorbatov, V. (2020). Novel Pesticide Risk Indicators for Aquatic Organisms and Earthworms. Agronomy, 10(8), 1070. https://doi.org/10.3390/agronomy10081070

