Biochar Mitigates Combined Effects of Drought and Salinity Stress in Quinoa
Abstract
1. Introduction
2. Materials and Methods
2.1. Preparation of Biochar
2.2. Pot Study
2.3. Irrigation Treatments
2.4. Growth and Yield Parameters
2.5. Physiological Measurements
2.6. Leaf Water Potential
2.7. Leaf Abscisic Acid (ABA)
2.8. Total Leaf Nitrogen and Carbon Content
2.9. Leaf Na+ and K+ Measurement
2.10. Statistical Analysis
3. Results
3.1. Plant Growth and Yield Responses
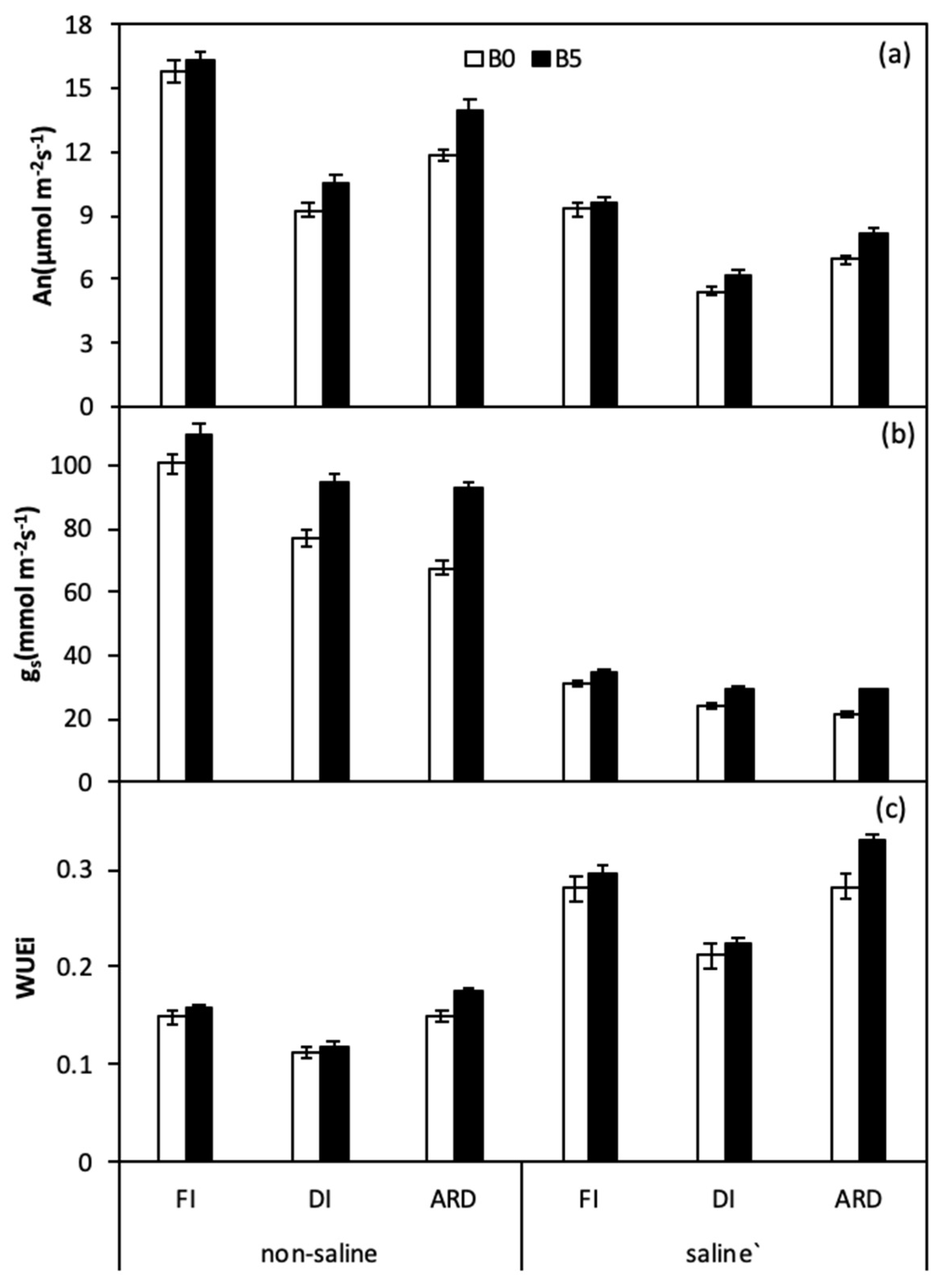
3.2. Physiological Responses
3.3. Leaf Water Potential and Leaf Abscisic Acid Concentration
3.4. Chlorophyll Content Index, Leaf N, and C
3.5. Leaf Na+ and K+
4. Discussion
5. Conclusions
Author Contributions
Funding
Conflicts of Interest
References
- Trenberth, K.E.; Dai, A.G.; van der Schrier, G.; Jones, P.D.; Barichivich, J.; Briffa, K.R.; Sheffield, J. Global warming and changes in drought. Nat. Clim. Chang. 2014, 4, 17–22. [Google Scholar] [CrossRef]
- Yang, A.; Akhtar, S.S.; Iqbal, S.; Amjad, M.; Naveed, M.; Zahir, Z.A.; Jacobsen, S.-E. Enhancing salt tolerance in quinoa by halotolerant bacterial inoculation. Funct. Plant Biol. 2016, 43, 632–642. [Google Scholar] [CrossRef]
- Burke, E.J.; Brown, S.J.; Christidis, N. Modeling the recent evolution of global drought and projections for the twenty-first century with the hadley centre climate model. J. Hydrometeorol. 2006, 7, 1113–1125. [Google Scholar] [CrossRef]
- Cruz de Carvalho, M.H. Drought stress and reactive oxygen species: Production, scavenging and signaling. Plant Signal. Behav. 2008, 3, 156–165. [Google Scholar] [CrossRef] [PubMed]
- Gran, M.; Carrera, J.; Olivella, S.; Saaltink, M.W. Modeling evaporation processes in a saline soil from saturation to oven dry conditions. Hydrol. Earth Sys. Sci. 2011, 15, 2077–2089. [Google Scholar] [CrossRef]
- Dehaan, R.L.; Taylor, G.R. Field-derived spectra of salinized soils and vegetation as indicators of irrigation-induced soil salinization. Remote Sens. Environ. 2002, 80, 406–417. [Google Scholar] [CrossRef]
- FAO. The Future of Food and Agriculture: Trends and Challenges; Food and Agriculture Organization of the United Nations: Rome, Italy, 2017. [Google Scholar]
- Zhu, J.-K. Abiotic Stress Signaling and Responses in Plants. Cell 2016, 167, 313–324. [Google Scholar] [CrossRef] [PubMed]
- Suzuki, N.; Rivero, R.M.; Shulaev, V.; Blumwald, E.; Mittler, R. Abiotic and biotic stress combinations. New Phytol. 2014, 203, 32–43. [Google Scholar] [CrossRef]
- Bargaz, A.; Nassar, R.M.A.; Rady, M.M.; Gaballah, M.S.; Thompson, S.M.; Brestic, M.; Schmidhalter, U.; Abdelhamid, M.T. Improved Salinity Tolerance by Phosphorus Fertilizer in Two Phaseolus vulgaris Recombinant Inbred Lines Contrasting in Their P-Efficiency. J. Agron. Crop. Sci. 2016, 202, 497–507. [Google Scholar] [CrossRef]
- Chai, Q.; Gan, Y.T.; Zhao, C.; Xu, H.L.; Waskom, R.M.; Niu, Y.N.; Siddique, K.H.M. Regulated deficit irrigation for crop production under drought stress. A review. Agron. Sustain. Dev. 2016, 36, 21. [Google Scholar] [CrossRef]
- Kang, S.Z.; Zhang, J.H. Controlled alternate partial root-zone irrigation: Its physiological consequences and impact on water use efficiency. J. Exp. Bot. 2004, 55, 2437–2446. [Google Scholar] [CrossRef] [PubMed]
- Sepaskhah, A.R.; Ahmadi, S.H. A Review on Partial Root-Zone Drying Irrigation. Int. J. Plant Prod. 2010, 4, 241–258. [Google Scholar]
- English, M.; Raja, S.N. Perspectives on deficit irrigation. Agr. Water Manag. 1996, 32, 1–14. [Google Scholar] [CrossRef]
- Wang, Z.C.; Liu, F.L.; Kang, S.Z.; Jensen, C.R. Alternate partial root-zone drying irrigation improves nitrogen nutrition in maize (Zea mays L.) leaves. Environ. Exp. Bot. 2012, 75, 36–40. [Google Scholar] [CrossRef]
- Sun, Y.; Holm, P.E.; Liu, F. Alternate partial root-zone drying irrigation improves fruit quality in tomatoes. Hortic. Sci. 2014, 41, 185–191. [Google Scholar] [CrossRef]
- De Lima, R.S.N.; Figueiredo, F.; Martins, A.O.; de Deus, B.C.D.; Ferraz, T.M.; Gomes, M.D.D.; de Sousa, E.F.; Glenn, D.M.; Campostrini, E. Partial rootzone drying (PRD) and regulated deficit irrigation (RDI) effects on stomatal conductance, growth, photosynthetic capacity, and water-use efficiency of papaya. Sci. Hortic. Amst. 2015, 183, 13–22. [Google Scholar] [CrossRef]
- Liu, F.L.; Shahnazari, A.; Andersen, M.N.; Jacobsen, S.E.; Jensen, C.R. Physiological responses of potato (Solanum tuberosum L.) to partial root-zone drying: ABA signalling, leaf gas exchange, and water use efficiency. J. Exp. Bot. 2006, 57, 3727–3735. [Google Scholar] [CrossRef]
- Wang, H.Q.; Liu, F.L.; Andersen, M.N.; Jensen, C.R. Comparative effects of partial root-zone drying and deficit irrigation on nitrogen uptake in potatoes (Solanum tuberosum L.). Irrig. Sci. 2009, 27, 443–448. [Google Scholar] [CrossRef]
- Benjamin, J.G.; Nielsen, D.C. Water deficit effects on root distribution of soybean, field pea and chickpea. Field Crop. Res. 2006, 97, 248–253. [Google Scholar] [CrossRef]
- Wang, F.X.; Kang, Y.H.; Liu, S.P. Effects of drip irrigation frequency on soil wetting pattern and potato growth in North China Plain. Agric. Water Manag. 2006, 79, 248–264. [Google Scholar] [CrossRef]
- Gaur, P.M.; Krishnamurthy, L.; Kashiwagi, J. Improving drought-avoidance root traits in chickpea (Cicer arietinum L.)—Current status of research at ICRISAT. Plant Prod. Sci. 2008, 11, 3–11. [Google Scholar] [CrossRef]
- Du, T.; Kang, S.; Zhang, J.; Li, F. Water use and yield responses of cotton to alternate partial root-zone drip irrigation in the arid area of north-west China. Irrig. Sci. 2008, 26, 147–159. [Google Scholar] [CrossRef]
- Ahmadi, S.H.; Andersen, M.N.; Plauborg, F.; Poulsen, R.T.; Jensen, C.R.; Sepaskhah, A.R.; Hansen, S. Effects of irrigation strategies and soils on field-grown potatoes: Gas exchange and xylem ABA. Agric. Water Manag. 2010, 97, 1486–1494. [Google Scholar] [CrossRef]
- Liu, F.L.; Shahnazari, A.; Andersen, M.N.; Jacobsen, S.E.; Jensen, C.R. Effects of deficit irrigation (DI) and partial root drying (PRD) on gas exchange, biomass partitioning, and water use efficiency in potato. Sci. Hortic. 2006, 109, 113–117. [Google Scholar] [CrossRef]
- Akhtar, S.S.; Andersen, M.N.; Naveed, M.; Zahir, Z.A.; Liu, F.L. Interactive effect of biochar and plant growth-promoting bacterial endophytes on ameliorating salinity stress in maize. Funct. Plant Biol. 2015, 42, 770–781. [Google Scholar] [CrossRef]
- Wang, Y.S.; Liu, F.L.; Jensen, L.S.; de Neergaard, A.; Jensen, C.R. Alternate partial root-zone irrigation improves fertilizer-N use efficiency in tomatoes. Irrig. Sci. 2013, 31, 589–598. [Google Scholar] [CrossRef]
- Yang, A.; Akhtar, S.S.; Amjad, M.; Iqbal, S.; Jacobsen, S.E. Growth and Physiological Responses of Quinoa to Drought and Temperature Stress. J. Agron. Crop. Sci. 2016, 202, 445–453. [Google Scholar] [CrossRef]
- Ghrab, M.; Gargouri, K.; Bentaher, H.; Chartzoulakis, K.; Ayadi, M.; Ben Mimoun, M.; Masmoudi, M.M.; Ben Mechlia, N.; Psarras, G. Water relations and yield of olive tree (cv. Chemlali) in response to partial root-zone drying (PRD) irrigation technique and salinity under arid climate. Agr. Water Manag. 2013, 123, 1–11. [Google Scholar] [CrossRef]
- Akhtar, S.S.; Li, G.T.; Andersen, M.N.; Liu, F.L. Biochar enhances yield and quality of tomato under reduced irrigation. Agric. Water Manag. 2014, 138, 37–44. [Google Scholar] [CrossRef]
- Harris, P. On charcoal. Interdiscip. Sci. Rev. 1999, 24, 301–306. [Google Scholar] [CrossRef]
- Lehmann, J.; Rillig, M.C.; Thies, J.; Masiello, C.A.; Hockaday, W.C.; Crowley, D. Biochar effects on soil biota-a review. Soil Biol. Biochem. 2011, 43, 1812–1836. [Google Scholar] [CrossRef]
- Gomez, J.D.; Denef, K.; Stewart, C.E.; Zheng, J.; Cotrufo, M.F. Biochar addition rate influences soil microbial abundance and activity in temperate soils. Eur. J. Soil Sci. 2014, 65, 28–39. [Google Scholar] [CrossRef]
- Leng, L.; Huang, H.; Li, H.; Li, J.; Zhou, W. Biochar stability assessment methods: A review. Sci. Total Environ. 2019, 647, 210–222. [Google Scholar] [CrossRef] [PubMed]
- Thi Thu Nhan, N.; Xu, C.-Y.; Tahmasbian, I.; Che, R.; Xu, Z.; Zhou, X.; Wallace, H.M.; Bai, S.H. Effects of biochar on soil available inorganic nitrogen: A review and meta-analysis. Geoderma 2017, 288, 79–96. [Google Scholar]
- Antala, M.; Sytar, O.; Rastogi, A.; Brestic, M. Potential of Karrikins as Novel Plant Growth Regulators in Agriculture. Plants 2020, 9, 43. [Google Scholar] [CrossRef]
- Zhu, X.; Chen, B.; Zhu, L.; Xing, B. Effects and mechanisms of biochar-microbe interactions in soil improvement and pollution remediation: A review. Environ. Pollut. 2017, 227, 98–115. [Google Scholar] [CrossRef]
- Atkinson, C.J.; Fitzgerald, J.D.; Hipps, N.A. Potential mechanisms for achieving agricultural benefits from biochar application to temperate soils: A review. Plant Soil 2010, 337, 1–18. [Google Scholar] [CrossRef]
- Lehmann, J. Bio-energy in the black. Front. Ecol. Environ. 2007, 5, 381–387. [Google Scholar] [CrossRef]
- Akhtar, S.S.; Andersen, M.N.; Liu, F. Residual effects of biochar on improving growth, physiology and yield of wheat under salt stress. Agr. Water Manag. 2015, 158, 61–68. [Google Scholar] [CrossRef]
- Akhtar, S.S.; Andersen, M.N.; Liu, F. Biochar Mitigates Salinity Stress in Potato. J. Agron. Crop. Sci. 2015, 201, 368–378. [Google Scholar] [CrossRef]
- Saifullah; Dahlawi, S.; Naeem, A.; Rengel, Z.; Naidu, R. Biochar application for the remediation of salt-affected soils: Challenges and opportunities. Sci. Total Environ. 2018, 625, 320–335. [Google Scholar] [CrossRef] [PubMed]
- Ali, S.; Rizwan, M.; Qayyum, M.F.; Ok, Y.S.; Ibrahim, M.; Riaz, M.; Arif, M.S.; Hafeez, F.; Al-Wabel, M.I.; Shahzad, A.N. Biochar soil amendment on alleviation of drought and salt stress in plants: A critical review. Environ. Sci. Pollut. Res. 2017, 24, 12700–12712. [Google Scholar] [CrossRef] [PubMed]
- Adolf, V.I.; Shabala, S.; Andersen, M.N.; Razzaghi, F.; Jacobsen, S.E. Varietal differences of quinoa’s tolerance to saline conditions. Plant Soil 2012, 357, 117–129. [Google Scholar] [CrossRef]
- Jacobsen, S.E.; Liu, F.L.; Jensen, C.R. Effects of soil drying on photosynthesis and water-use efficiency of quinoa. J. Exp. Bot. 2003, 54, 9. [Google Scholar]
- Jacobsen, S.E.; Mujica, A.; Jensen, C.R. The resistance of quinoa (Chenopodium quinoa Willd.) to adverse abiotic factors. Food Rev. Int. 2003, 19, 99–109. [Google Scholar] [CrossRef]
- Sun, Y.; Liu, F.; Bendevis, M.; Shabala, S.; Jacobsen, S.E. Sensitivity of Two Quinoa (ChenopodiumquinoaWilld.) Varieties to Progressive Drought Stress. J. Agron. Crop. Sci. 2014, 200, 12–23. [Google Scholar] [CrossRef]
- Razzaghi, F.; Ahmadi, S.H.; Jacobsen, S.E.; Jensen, C.R.; Andersen, M.N. Effects of Salinity and Soil-Drying on Radiation Use Efficiency, Water Productivity and Yield of Quinoa (Chenopodium quinoa Willd.). J. Agron. Crop. Sci. 2012, 198, 173–184. [Google Scholar] [CrossRef]
- Jacobsen, S.E.; Mujica, A.; Ortiz, R. The global potential for quinoa and other Andean crops. Food Rev. Int. 2003, 19, 139–148. [Google Scholar] [CrossRef]
- Jacobsen, S.E. The worldwide potential for quinoa (Chenopodium quinoa Willd.). Food Rev. Int. 2003, 19, 167–177. [Google Scholar] [CrossRef]
- Fu, Q.; Zhao, H.; Li, T.X.; Hou, R.J.; Liu, D.; Ji, Y.; Zhou, Z.Q.; Yang, L.Y. Effects of biochar addition on soil hydraulic properties before and after freezing-thawing. Catena 2019, 176, 112–124. [Google Scholar] [CrossRef]
- Priha, O.; Smolander, A. Nitrogen transformations in soil under Pinus sylvestris, Picea abies and Betula pendula at two forest sites. Soil Biol. Biochem. 1999, 31, 965–977. [Google Scholar] [CrossRef]
- O’Kelly, B.C. Accurate Determination of Moisture Content of Organic Soils Using the Oven Drying Method. Dry. Technol. 2004, 22, 1767–1776. [Google Scholar] [CrossRef]
- Philosophhadas, S.; Hadas, E.; Aharoni, N. Characterization and use in ELISA of a new monoclonal-antibody for quantitation of abscisic-acid in senescing rice leaves. Plant Growth Regul. 1993, 12, 71–78. [Google Scholar] [CrossRef]
- Baiamonte, G.; De Pasquale, C.; Marsala, V.; Cimo, G.; Alonzo, G.; Crescimanno, G.; Conte, P. Structure alteration of a sandy-clay soil by biochar amendments. J. Soils Sedim. 2015, 15, 816–824. [Google Scholar] [CrossRef]
- Artiola, J.F.; Rasmussen, C.; Freitas, R. Effects of a Biochar-Amended Alkaline Soil on the Growth of Romaine Lettuce and Bermudagrass. Soil Sci. 2012, 177, 561–570. [Google Scholar] [CrossRef]
- Kishimoto, S. Charcoal as a soil conditioner. Symp. For. Prod. Res. Int. Achiev. Future 1985, 5, 12–23. [Google Scholar]
- Lentz, R.D.; Ippolito, J.A. Biochar and Manure Affect Calcareous Soil and Corn Silage Nutrient Concentrations and Uptake. J. Environ. Qual. 2014, 43, 775–775. [Google Scholar] [CrossRef]
- Tahjib-Ui-Arif, M.; Sohag, A.A.; Afrin, S.; Bashar, K.K.; Afrin, T.; Mahamud, A.; Polash, M.A.S.; Hossain, M.T.; Sohel, M.A.; Brestic, M.; et al. Differential Response of Sugar Beet to Long-Term Mild to Severe Salinity in a Soil-Pot Culture. Agriculture 2019, 9, 19. [Google Scholar] [CrossRef]
- Palansooriya, K.N.; Ok, Y.S.; Awad, Y.M.; Lee, S.S.; Sung, J.-K.; Koutsospyros, A.; Moon, D.H. Impacts of biochar application on upland agriculture: A review. J. Environ. Manag. 2019, 234, 52–64. [Google Scholar] [CrossRef]
- Jacobsen, S.-E.; Liu, F.; Jensen, C.R. Does root-sourced ABA play a role for regulation of stomata under drought in quinoa (Chenopodium quinoa Willd.). Sci. Hortic. 2009, 122, 281–287. [Google Scholar] [CrossRef]
- Sun, Z.W.; Ren, L.K.; Fan, J.W.; Li, Q.; Wang, K.J.; Guo, M.M.; Wang, L.; Li, J.; Zhang, G.X.; Yang, Z.Y.; et al. Salt response of photosynthetic electron transport system in wheat cultivars with contrasting tolerance. Plant Soil Environ. 2016, 62, 515–521. [Google Scholar]
- Zhang, J.; Davies, W.J. ABA in roots amd leaves of flooded pea-plants. J. Exp. Bot. 1987, 38, 649–659. [Google Scholar] [CrossRef]
- Degaris, K.A.; Walker, R.R.; Loveys, B.R.; Tyerman, S.D. Comparative effects of deficit and partial root-zone drying irrigation techniques using moderately saline water on ion partitioning in Shiraz and Grenache grapevines. Aust. J. Grape Wine Res. 2016, 22, 296–306. [Google Scholar] [CrossRef]
- Taghizadeh-Toosi, A.; Clough, T.J.; Sherlock, R.R.; Condron, L.M. Biochar adsorbed ammonia is bioavailable. Plant Soil 2012, 350, 57–69. [Google Scholar] [CrossRef]
- Clough, T.J.; Condron, L.M. Biochar and the Nitrogen Cycle: Introduction. J. Environ. Qual. 2010, 39, 1218–1223. [Google Scholar] [CrossRef]
- Tammeorg, P.; Simojoki, A.; Makela, P.; Stoddard, F.L.; Alakukku, L.; Helenius, J. Biochar application to a fertile sandy clay loam in boreal conditions: Effects on soil properties and yield formation of wheat, turnip rape and faba bean. Plant Soil 2014, 374, 89–107. [Google Scholar] [CrossRef]
- Zheng, H.; Wang, Z.; Deng, X.; Herbert, S.; Xing, B. Impacts of adding biochar on nitrogen retention and bioavailability in agricultural soil. Geoderma 2013, 206, 32–39. [Google Scholar] [CrossRef]
- Jeffery, S.; Bezemer, T.M.; Cornelissen, G.; Kuyper, T.W.; Lehmann, J.; Mommer, L.; Sohi, S.P.; van de Voorde, T.F.J.; Wardle, D.A.; van Groenigen, J.W. The way forward in biochar research: Targeting trade-offs between the potential wins. Glob. Chang. Biol. Bioenerg. 2015, 7, 1–13. [Google Scholar] [CrossRef]
- Manzoor, M.; Gul, S.; Hidayatullah, K. Influence of Biochars on Yield and Nitrogen and Phosphorus Use Efficiency of Pisum sativum under Groundwater and Wastewater Irrigation in Arid Climate. Commun. Soil Sci. Plant Anal. 2019, 50, 1563–1579. [Google Scholar] [CrossRef]
- Zhao, X.; Wang, J.W.; Wang, S.Q.; Xing, G.X. Successive straw biochar application as a strategy to sequester carbon and improve fertility: A pot experiment with two rice/wheat rotations in paddy soil. Plant Soil 2014, 378, 279–294. [Google Scholar] [CrossRef]
- Lehmann, J. A handful of carbon. Nature 2007, 447, 143–144. [Google Scholar] [CrossRef] [PubMed]
- Steiner, C.; Teixeira, W.G.; Lehmann, J.; Nehls, T.; de Macedo, J.L.V.; Blum, W.E.H.; Zech, W. Long term effects of manure, charcoal and mineral fertilization on crop production and fertility on a highly weathered Central Amazonian upland soil. Plant Soil 2007, 291, 275–290. [Google Scholar] [CrossRef]






| Unit | Value | |
|---|---|---|
| Particle size | mm | 1.5–2.0 | 
| Bulk density | g/cm3 | 0.51 | 
| Carbon (C) | % | 70.38 | 
| Nitrogen (N) | % | 1.53 | 
| Hydrogen (H) | % | 1.68 | 
| Sulphur (S) | % | 0.78 | 
| Ash content | % | 31.8 | 
| Cation exchange capacity (CEC) | cmol (+)/kg | 12.0 | 
| Electrical conductivity (EC) | mS/cm | 1.05 | 
| pH | - | 9.14 | 
| Treatments | Plant Height (cm) | Shoot Biomass (g) | Grain Yield/Pot (g) | ||
|---|---|---|---|---|---|
| non-saline (0 mM) | FI | B0 | 136.25 ± 3.20 b | 24.64 ± 1.03 b | 14.50 ± 0.59 b | 
| B5 | 152.32 ± 4.02 a | 27.83 ± 0.63 a | 15.50 ± 0.65 a | ||
| DI | B0 | 109.75 ± 2.75 d | 17.51 ± 0.74 f | 10.23 ± 0.55 d | |
| B5 | 117.43 ± 5.18 c | 18.39 ± 0.77 f | 11.38 ± 0.90 c | ||
| ARD | B0 | 119.75 ± 3.12 c | 19.93 ± 0.50 e | 11.25 ± 0.48 d | |
| B5 | 131.23 ± 2.50 b | 21.84 ± 0.62 d | 12.43 ± 0.34 c | ||
| Saline (400 mM) | FI | B0 | 68.00 ± 1.67 f | 20.42 ± 0.85 d | 5.10 ± 0.21 e | 
| B5 | 76.16 ± 2.01 e | 23.06 ± 0.52 c | 5.45 ± 0.23 e | ||
| DI | B0 | 54.88 ± 1.38 h | 14.51 ± 0.61 h | 3.60 ± 0.20 h | |
| B5 | 58.72 ± 2.59 g | 15.23 ± 0.64 h | 3.90 ± 0.12 g | ||
| ARD | B0 | 59.88 ± 1.56 g | 16.52 ± 0.41 g | 3.96 ± 0.17 g | |
| B5 | 65.61 ± 1.25 f | 18.11 ± 0.52 f | 4.37 ± 0.12 f | ||
| Factors | An | gs | WUEi | Ψleaf | Leaf ABA | CCI | N | C | Na+ | K+ | Plant Height | Shoot Biomass | Grain Yield | 
|---|---|---|---|---|---|---|---|---|---|---|---|---|---|
| B | *** | *** | *** | *** | *** | *** | *** | ns | *** | *** | *** | *** | *** | 
| I | *** | *** | *** | *** | *** | *** | *** | ns | *** | *** | *** | *** | *** | 
| S | *** | *** | *** | *** | *** | *** | *** | *** | *** | *** | *** | *** | *** | 
| B × I | ns | ** | * | ns | *** | ns | ** | ns | ns | * | ns | ns | ns | 
| B × S | ns | *** | ns | ns | ns | *** | * | ns | *** | ns | ns | ns | ** | 
| S × I | *** | *** | ** | * | *** | *** | ns | ns | *** | ** | ** | ns | *** | 
| S × B × I | ns | ns | ns | ns | ns | ns | ns | ns | ns | ns | ns | ns | ns | 
© 2020 by the authors. Licensee MDPI, Basel, Switzerland. This article is an open access article distributed under the terms and conditions of the Creative Commons Attribution (CC BY) license (http://creativecommons.org/licenses/by/4.0/).
Share and Cite
Yang, A.; Akhtar, S.S.; Li, L.; Fu, Q.; Li, Q.; Naeem, M.A.; He, X.; Zhang, Z.; Jacobsen, S.-E. Biochar Mitigates Combined Effects of Drought and Salinity Stress in Quinoa. Agronomy 2020, 10, 912. https://doi.org/10.3390/agronomy10060912
Yang A, Akhtar SS, Li L, Fu Q, Li Q, Naeem MA, He X, Zhang Z, Jacobsen S-E. Biochar Mitigates Combined Effects of Drought and Salinity Stress in Quinoa. Agronomy. 2020; 10(6):912. https://doi.org/10.3390/agronomy10060912
Chicago/Turabian StyleYang, Aizheng, Saqib Saleem Akhtar, Lin Li, Qiang Fu, Quanfeng Li, Muhammad Asif Naeem, Xinyao He, Ze Zhang, and Sven-Erik Jacobsen. 2020. "Biochar Mitigates Combined Effects of Drought and Salinity Stress in Quinoa" Agronomy 10, no. 6: 912. https://doi.org/10.3390/agronomy10060912
APA StyleYang, A., Akhtar, S. S., Li, L., Fu, Q., Li, Q., Naeem, M. A., He, X., Zhang, Z., & Jacobsen, S.-E. (2020). Biochar Mitigates Combined Effects of Drought and Salinity Stress in Quinoa. Agronomy, 10(6), 912. https://doi.org/10.3390/agronomy10060912
 
        



 
       