Phytotoxic Effects of Three Natural Compounds: Pelargonic Acid, Carvacrol, and Cinnamic Aldehyde, against Problematic Weeds in Mediterranean Crops
Abstract
1. Introduction
2. Materials and Methods
2.1. Postemergence Herbicidal Assays against Targeted Weed Species
2.1.1. Weeds
2.1.2. Treatments
2.2. Evaluation of the Herbicidal Activity of Each Natural Product
2.3. Statistical Analyses
3. Results and Discussion
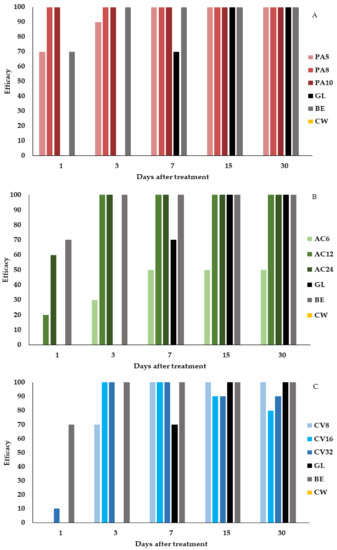
3.1. Efficacy of Pelargonic Acid, Cinnamic Aldehyde, and Carvacrol against Target Weeds
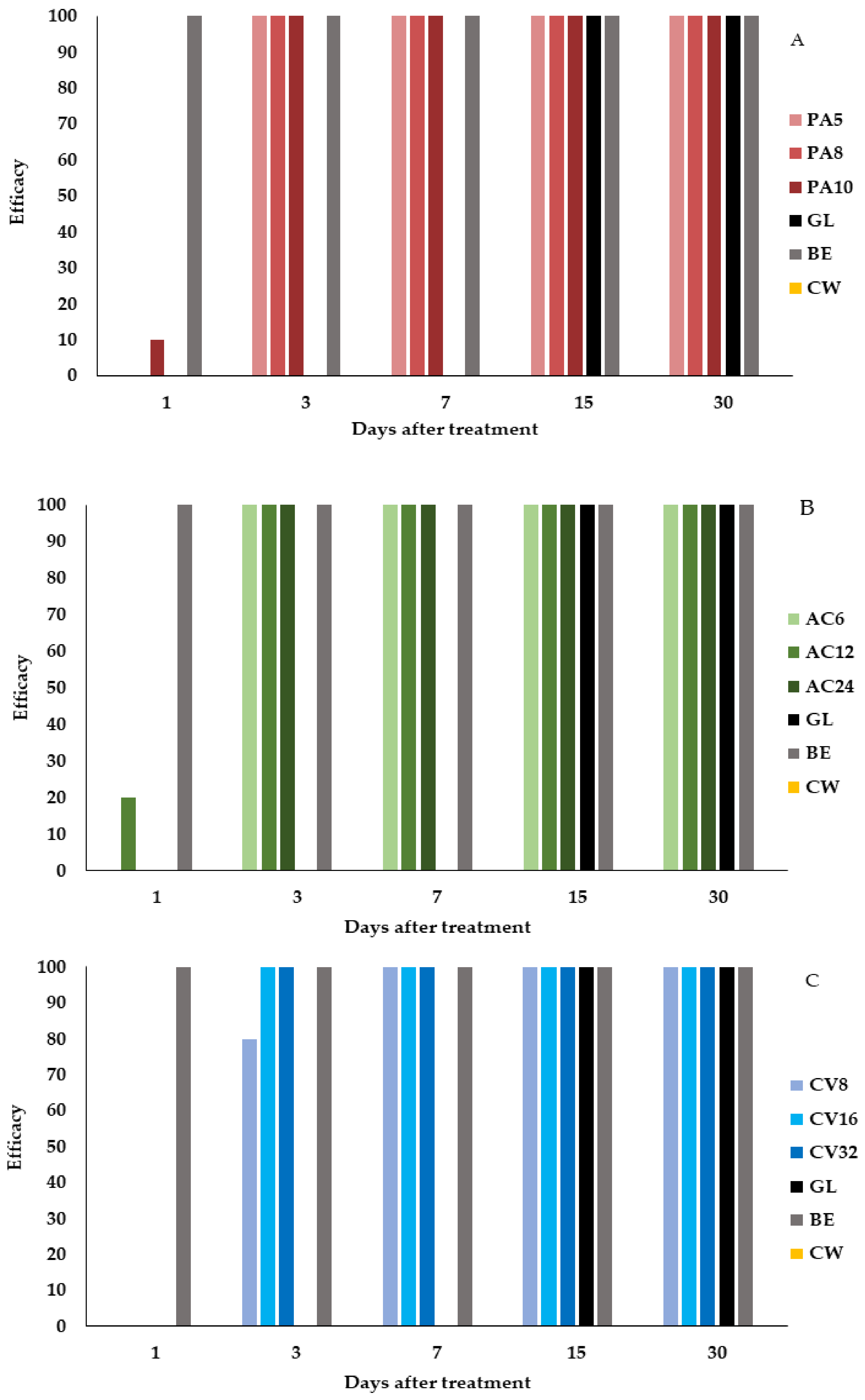
3.1.1. Efficacy of Pelargonic Acid, Cinnamic Aldehyde, and Carvacrol on A. retroflexus
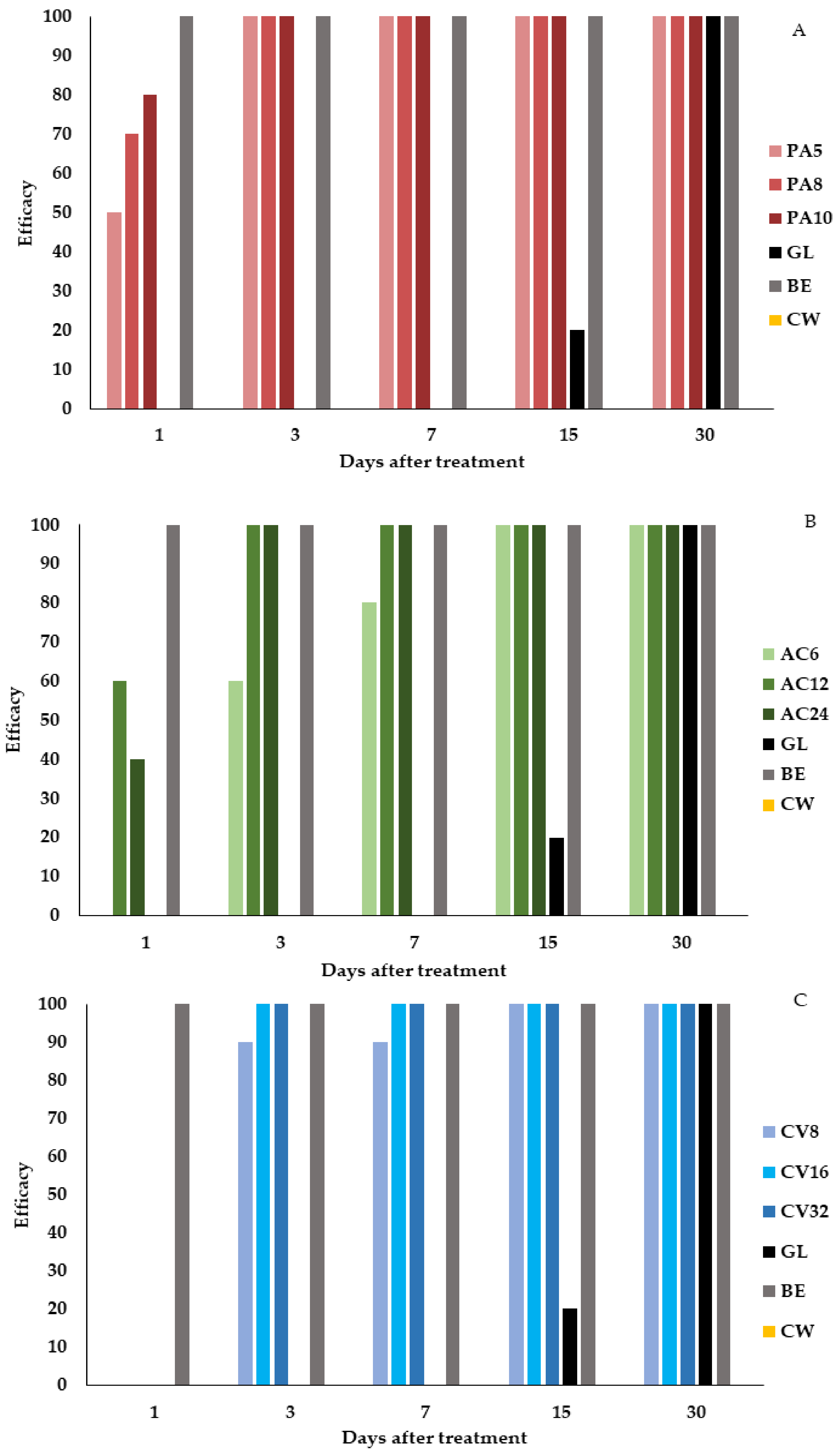
3.1.2. Efficacy of Pelargonic Acid, Cinnamic Aldehyde, and Carvacrol on A. fatua
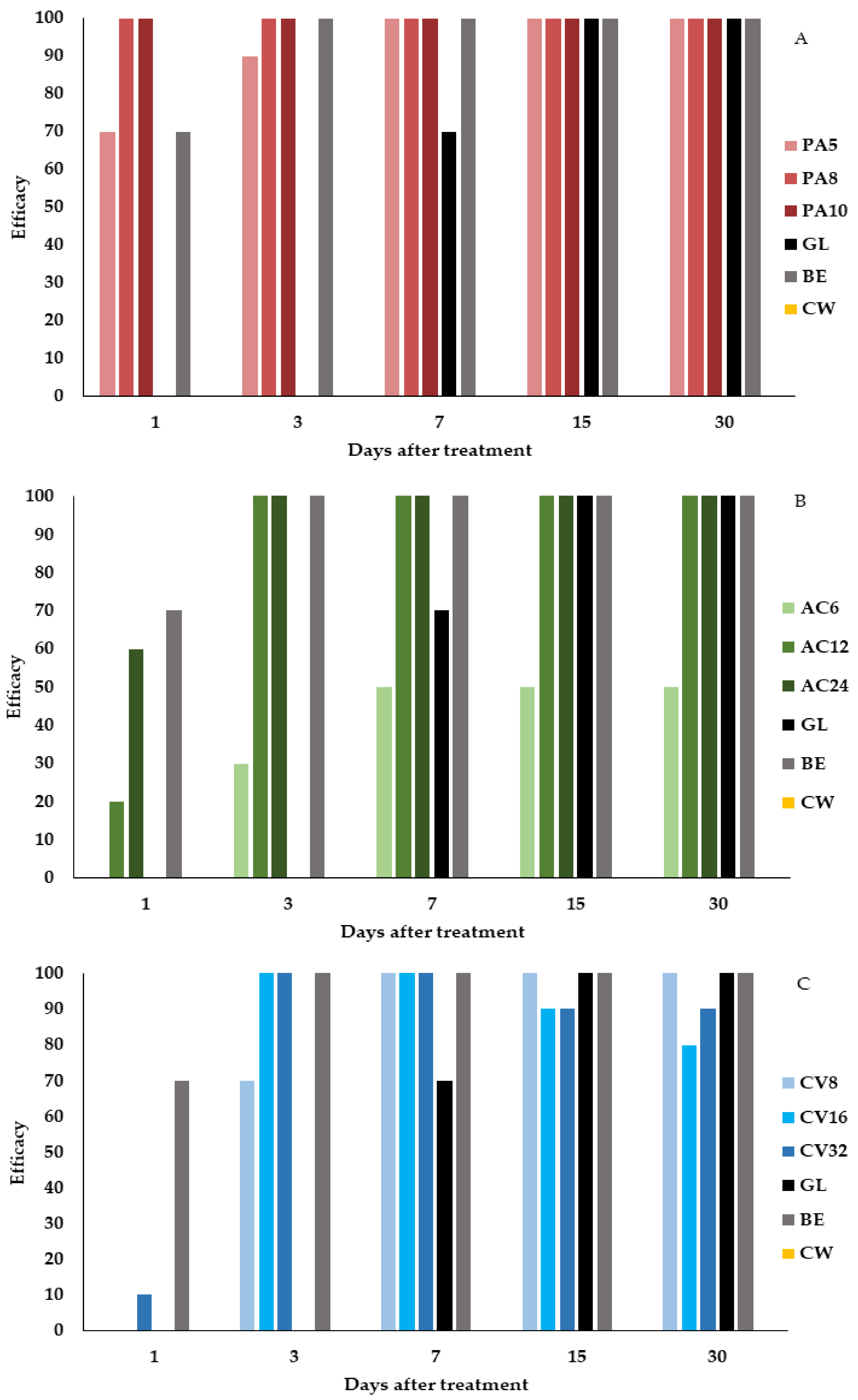
3.1.3. Efficacy of Pelargonic Acid, Cinnamic Aldehyde, and Carvacrol on E. bonariensis
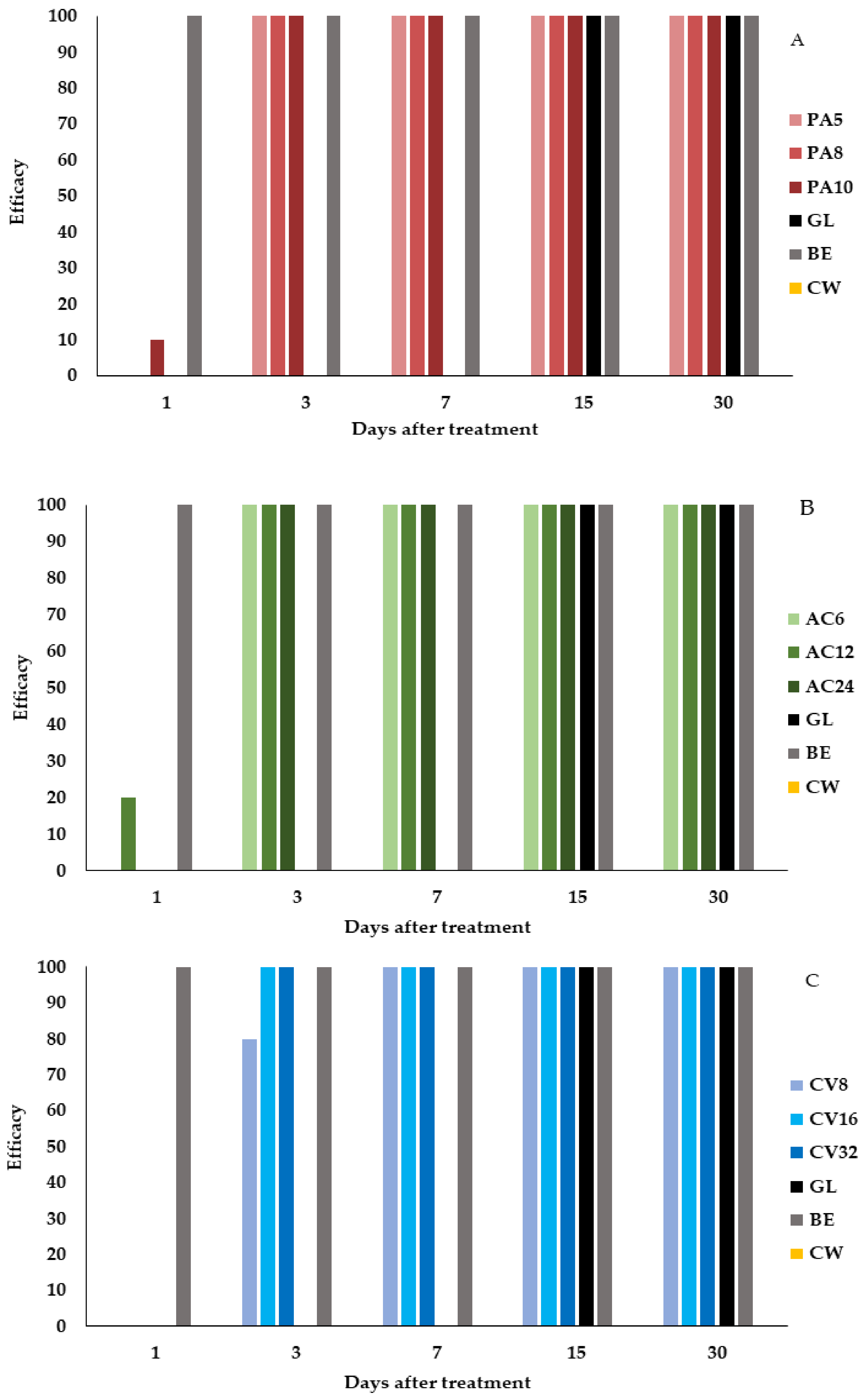
3.1.4. Efficacy of Pelargonic Acid, Cinnamic Aldehyde, and Carvacrol on P. oleracea
3.2. Damage Level of Pelargonic Acid, Cinnamic Aldehyde, and Carvacrol against Target Weeds
4. Conclusions
Supplementary Materials
Author Contributions
Funding
Acknowledgments
Conflicts of Interest
References
- Vos, R.; Bellù, L.G. Global trends and challenges to food and agriculture into the 21st century. In Sustainable Food and Agriculture: An Integrated Approach; Campanhola, C., Pandey, S., Eds.; Academic Press: London, UK, 2019; pp. 11–30. [Google Scholar] [CrossRef]
- Oerke, E.C. Crop losses to pests. J. Agric. Sci. 2006, 144, 31–43. [Google Scholar] [CrossRef]
- Vats, S. Herbicides: History, classification and genetic manipulation of plants for herbicide resistance. In Sustainable Agriculture Reviews; Lichtfouse, E., Ed.; Springer: Cham, Switzerland, 2015; Volume 15. [Google Scholar] [CrossRef]
- Heap, I.M. Global perspective of herbicide-resistant weeds. Pest Manag. Sci. 2014, 70, 1306–1315. [Google Scholar] [CrossRef] [PubMed]
- Bagavathiannan, M.; Singh, V.; Govindasamy, P.; Abugho, S.B.; Liu, R. Impact of concurrent weed or herbicide stress with other biotic and abiotic stressors on crop production. In Plant Tolerance to Individual and Concurrent Stresses; Senthil-Kumar, M., Ed.; Springer: New Delhi, India, 2017; pp. 33–45. [Google Scholar] [CrossRef]
- Abbas, T.; Zahir, Z.A.; Naveed, M.; Kremer, R.J. Limitations of existing weed control practices necessitate development of alternative techniques based on biological approaches. In Advances in Agronomy; Sparks, D.L., Ed.; Academic Press: Cambridge, MA, USA, 2018; Volume 147, pp. 239–280. [Google Scholar] [CrossRef]
- World Health Organization; Food and Agriculture Organization of the United Nations. The International Code of Conduct on Pesticide Management. Rome. 2014. Available online: http://www.fao.org/agriculture/crops/thematic-sitemap/theme/pests/code/en/ (accessed on 22 April 2020).
- Villa, F.; Cappitelli, F.; Cortesi, P.; Kunova, A. Fungal biofilms: Targets for the development of novel strategies in plant disease management. Front. Microbiol. 2017, 8, 654–664. [Google Scholar] [CrossRef] [PubMed]
- De Mastro, G.; Fracchiolla, M.; Verdini, L.; Montemurro, P. Oregano and its potential use as bioherbicide. Acta Hortic. 2006, 723, 335–346. [Google Scholar] [CrossRef]
- Seiber, J.N.; Coats, J.; Duke, S.O.; Gross, A.D. Biopesticides: State of the art and future opportunities. J. Agric. Food Chem. 2014, 62, 11613–11619. [Google Scholar] [CrossRef] [PubMed]
- Bailey, K.L. The bioherbicide approach to weed control using plant pathogens. In Integrated Pest Management; Abrol, D.P., Ed.; Academic Press, Elsevier: San Diego, CA, USA, 2014; pp. 245–266. [Google Scholar]
- Dahiya, A.; Sharma, R.; Sindhu, S.; Sindhu, S.S. Resource partitioning in the rhizosphere by inoculated Bacilluss pp. towards growth stimulation of wheat and suppression of wild oat (Avena fatua L.) weed. Physiol. Mol. Biol. Plants 2019, 25, 1483–1495. [Google Scholar] [CrossRef]
- Heap, I. The International Herbicide-Resistant Weed Database. Available online: www.weedscience.org (accessed on 25 April 2020).
- Hazrati, H.; Saharkhiz, M.J.; Moein, M.; Khoshghalb, H. Phytotoxic effects of several essential oils on two weed species and tomato. Biocatal. Agric. Biotechnol. 2018, 13, 204–212. [Google Scholar] [CrossRef]
- Bajwa, A.A.; Sadia, S.; Ali, H.H.; Jabran, K.; Peerzada, A.M.; Chauhan, B.B. Biology and management of two important Conyza weeds: A global review. Environ. Sci. Pollut. Res. 2016, 23, 24694–24710. [Google Scholar] [CrossRef]
- Graziani, F.; Onofri, A.; Pannacci, E.; Tei, F.; Guiducci, M. Size and composition of weed seedbank in long-term organic and conventional low-input cropping systems. Eur. J. Agron. 2012, 39, 52–56. [Google Scholar] [CrossRef]
- Benbrook, C.M. Trends in glyphosate herbicide use in the United States and globally. Environ. Sci. Eur. 2016, 28, 3–18. [Google Scholar] [CrossRef]
- Önen, H.; Özer, Z.; Telci, I. Bioherbicidal effects of some plant essential oils on different weed species. J. Plant Dis. Prot. 2002, 18, 597–605. [Google Scholar]
- Salamci, E.; Kordali, S.; Kotan, R.; Cakir, A.; Kaya, Y. Chemical compositions, antimicrobial and herbicidal effects of essential oils isolated from Turkish Tanacetum aucheranum and Tanacetum chiliophyllum var. chiliophyllum. Biochem. Syst. Ecol. 2007, 35, 569–581. [Google Scholar] [CrossRef]
- Mutlu, S.; Atici, Ö.; Esim, N. Bioherbicidal effects of essential oils of nepeta meyeri benth. On weed spp. Allelopath. J. 2010, 26, 291–300. [Google Scholar]
- Synowiec, A.; Kalemba, D.; Drozdek, E.; Bocianowski, J. Phytotoxic potential of essential oils from temperate climate plants against the germination of selected weeds and crops. J. Pest Sci. 2017, 90, 407–419. [Google Scholar] [CrossRef]
- Hazrati, H.; Saharkhiz, M.J.; Niakousari, M.; Moein, M. Natural herbicide activity of Satureja hortensis L. essential oil nanoemulsion on the seed germination and morphophysiological features of two important weed species. Ecotoxicol. Environ. Saf. 2017. [Google Scholar] [CrossRef]
- Verdeguer, M.; Blazquez, M.A.; Boira, H. Phytotoxic effects of Lantana camara, Eucalyptus camaldulensis and Eriocephalus africanus essential oils in weeds of Mediterranean summer crops. Biochem. Syst. Ecol. 2009, 37, 362–369. [Google Scholar] [CrossRef]
- Benarab, H.; Fenni, M.; Louadj, Y.; Boukhabti, H.; Ramdani, M. Allelopathic activity of essential oil extracts from Artemisia herba-alba Asso. on seed and seedling germination of weed and wheat crops. Acta Sci. Nat. 2020, 7, 86–97. [Google Scholar] [CrossRef]
- Benchaa, S.; Hazzit, M.; Abdelkrim, H. Allelopathic Effect of Eucalyptus citriodora essential oil and its potential use as bioherbicide. Chem. Biodivers. 2018, 15, e1800202. [Google Scholar] [CrossRef]
- Verdeguer, M.; Castañeda, L.G.; Torres-Pagan, N.; Llorens-Molina, J.A.; Carrubba, A. Control of Erigeron bonariensis with Thymbra capitata, Mentha piperita, Eucalyptus camaldulensis, and Santolina chamaecyparissus essential oils. Molecules 2020, 25, 562. [Google Scholar] [CrossRef]
- Scavo, A.; Pandino, G.; Restuccia, A.; Mauromicale, G. Leaf extracts of cultivated cardoon as potential bioherbicide. Sci. Hortic. 2020, 109024. [Google Scholar] [CrossRef]
- Ma, S.; Fu, L.; He, S.; Lu, X.; Wu, Y.; Ma, Z.; Zhang, X. Potent herbicidal activity of Sapindus mukorossi Gaertn. against Avena fatua L. and Amaranthus retroflexus L. Ind. Crops Prod. 2018, 122, 1–6. [Google Scholar] [CrossRef]
- Pacanoski, Z.; Mehmeti, A. Allelopathic effect of Siberian iris (Iris sibirica) on the early growth of wild oat (Avena fatua) and Canada thistle (Cirsium arvense). J. Cent. Eur. Agric. 2019, 20, 1179–1187. [Google Scholar] [CrossRef]
- Bainard, L.D.; Isman, M.B.; Upadhyaya, M.K. Phytotoxicity of clove oil and its primary constituent eugenol and the role of leaf epicuticular wax in the susceptibility to these essential oils. Weed Sci. 2006, 54, 833–837. [Google Scholar] [CrossRef]
- Ahuja, N.; Singh, H.P.; Batish, D.R.; Kohli, R.K. Eugenol-inhibited root growth in Avena fatua involves ROS-mediated oxidative damage. Pestic. Biochem. Phys. 2015, 118, 64–70. [Google Scholar] [CrossRef]
- Vaughn, S.F.; Spencer, G.F. Volatile Monoterpenes as Potential Parent Structures for New Herbicidesl. Weed Sci. 1993, 41, 114–119. [Google Scholar] [CrossRef]
- Chaimovitsh, D.; Shachter, A.; Abu-Abied, M.; Rubin, B.; Sadot, E.; Dudai, N. Herbicidal Activity of Monoterpenes is associated with disruption of microtubule functionality and membrane integrity. Weed Sci. 2017, 65, 19–30. [Google Scholar] [CrossRef]
- Amri, I.; Lamia, H.; Mohsen, H.; Bassem, J. Review on the phytotoxic effects of essential oils and their individual components: News approach for weed management. Int. J. Appl. Biol. Pharm. Technol. 2013, 4, 96–114. [Google Scholar]
- Verdeguer, M.; García-Rellán, D.; Boira, H.; Pérez, E.; Gandolfo, S.; Blázquez, M.A. Herbicidal activity of Peumus boldus and Drimys winterii essential oils from Chile. Molecules 2011, 16, 403–411. [Google Scholar] [CrossRef]
- Saad, M.M.G.; Abdelgaleil, S.A.M.; Suganuma, T. Herbicidal potential of pseudoguaninolide sesquiterpenes on wild oat, Avena fatua L. Biochem. Syst. Ecol. 2012, 44, 333–337. [Google Scholar] [CrossRef]
- Araniti, F.; Sánchez-Moreiras, A.M.; Graña, E.; Reigosa, M.J.; Abenavoli, M.R. Terpenoid trans-caryophyllene inhibits weed germination and induces plant water status alteration and oxidative damage in adult Arabidopsis. Plant Biol. (Stuttg) 2017, 19, 79–89. [Google Scholar] [CrossRef]
- Ciriminna, R.; Fidalgo, A.; Ilharco, L.M.; Pagliaro, M. Herbicides based on pelargonic acid: Herbicides of the bioeconomy. Biofuels Bioprod. Biorefining 2019, 13, 1476–1482. [Google Scholar] [CrossRef]
- Coleman, R.; Penner, D. Organic acid enhancement of pelargonic acid. Weed Technol. 2008, 22, 38–41. [Google Scholar] [CrossRef]
- Crmaric, I.; Keller, M.; Krauss, J.; Delabays, N. Efficacy of natural fatty acid based herbicides on mixed weed stands. Jul. Kühn Arch. 2018, 458, 327–332. [Google Scholar] [CrossRef]
- Dayan, F.E.; Duke, S.O. Natural compounds as next-generation herbicides. Plant Physiol. 2014, 166, 1090–1105. [Google Scholar] [CrossRef]
- Croteau, R.; Kutchan, T.M.; Lewis, N.G. Natural products (secondary metabolites). In Biochemistry & Molecular Biology of Plants, 2nd ed.; Buchanan, B.B., Gruissem, W., Jones, R.L., Eds.; Wiley: Rockville, MD, USA, 2000; pp. 1250–1318. [Google Scholar]
- Lebecque, S.; Lins, L.; Dayan, F.E.; Fauconnier, M.L.; Deleu, M. Interactions between natural herbicides and lipid bilayers mimicking the plant plasma membrane. Front. Plant Sci. 2019, 10, 329–340. [Google Scholar] [CrossRef]
- Cordeau, S.; Triolet, M.; Wayman, S.; Steinberg, C.; Guillemin, J.P. Bioherbicides: Dead in the water? A review of the existing products for integrated weed management. Crop Prot. 2016, 87, 44–49. [Google Scholar] [CrossRef]
- Gruenwald, J.; Freder, J.; Armbruester, N. Cinnamon and health. Crit. Rev. Food Sci. Nutr. 2010, 50, 822–834. [Google Scholar] [CrossRef]
- Ranasinghe, P.; Pigera, S.; Premakumara, G.S.; Galappaththy, P.; Constantine, G.R.; Katulanda, P. Medicinal properties of “true” cinnamon (Cinnamomum zeylanicum): A systematic review. BMC Complement. Altern. Med. 2013, 13, 275. [Google Scholar] [CrossRef]
- Doyle, A.A.; Krämer, T.; Kavanagh, K.; Stephens, J.C. Cinnamaldehydes: Synthesis, antibacterial evaluation, and the effect of molecular structure on antibacterial activity. Results Chem. 2019, 1, 100013–100018. [Google Scholar] [CrossRef]
- Chericoni, S.; Prieto, J.M.; Iacopini, P.; Cioni, P.; Morelli, I. In vitro activity of the essential oil of Cinnamomum zeylanicum and eugenol in peroxynitrite-induced oxidative processes. J. Agric. Food Chem. 2005, 53, 4762–4765. [Google Scholar] [CrossRef]
- Viazis, S.; Akhtar, M.; Feirtag, J.; Diez-Gonzalez, F. Reduction of Escherichia coli O157:H7 viability on leafy green vegetables by treatment with a bacteriophage mixture and trans-cinnamaldehyde. Food Microbiol. 2011, 28, 149–157. [Google Scholar] [CrossRef]
- Kwon, J.A.; Yu, C.B.; Park, H.D. Bacteriocidal effects and inhibition of cell separation of cinnamic aldehyde on Bacillus cereus. Lett. Appl. Microbiol. 2003, 37, 61–65. [Google Scholar] [CrossRef]
- Friedman, M. Chemistry, antimicrobial mechanisms, and antibiotic activities of cinnamaldehyde against pathogenic bacteria in animal feeds and human foods. J. Agric. Food. Chem. 2017, 65, 10406–10423. [Google Scholar] [CrossRef]
- Kim, H.K.; Kim, J.R.; Ahn, Y.J. Acaricidal activity of cinnamaldehyde and its congeners against Tyrophagus putrescentiae (Acari: Acaridae). J. Stored Prod. Res. 2004, 40, 55–63. [Google Scholar] [CrossRef]
- Saad, M.M.G.; Gouda, N.A.A.; Abdelgaleil, S.A.M. Bioherbicidal activity of terpenes and phenylpropenes against Echinochloa crus-galli. J. Environ. Sci. Health B 2019, 54, 954–963. [Google Scholar] [CrossRef]
- Roselló, J.; Sempere, F.; Sanz-Berzosa, I.; Chiralt, A.; Santamarina, M.P. Antifungal activity and potential use of essential oils against Fusarium culmorum and Fusarium verticillioides. J. Essent. Oil Bear Plants 2015, 18, 359–367. [Google Scholar] [CrossRef]
- Santamarina, M.; Ibáñez, M.; Marqués, M.; Roselló, J.; Giménez, S.; Blázquez, M. Bioactivity of essential oils in phytopathogenic and post-harvest fungi control. Nat. Prod. Res. 2017, 31, 2675–2679. [Google Scholar] [CrossRef]
- Krepker, M.; Shemesh, R.; Danin Poleg, Y.; Kashi, Y.; Vaxman, A.; Segal, E. Active food packaging films with synergistic antimicrobial activity. Food Control 2017, 76, 117–126. [Google Scholar] [CrossRef]
- Ye, H.; Shen, S.; Xu, J.; Lin, S.; Yuan, Y.; Jones, G.S. Synergistic interactions of cinnamaldehyde in combination with carvacrol against food-borne bacteria. Food Control 2013, 34, 619–623. [Google Scholar] [CrossRef]
- De Sousa, J.P.; de Azerêdo, G.A.; de Araújo Torres, R.; da Silva Vasconcelos, M.A.; da Conceição, M.L.; de Souza, E.L. Synergies of carvacrol and 1,8-cineole to inhibit bacteria associated with minimally processed vegetables. Int. J. Food Microbiol. 2012, 154, 145–151. [Google Scholar] [CrossRef]
- Oddo, M. Effects of Different weed Control Practices on Soil Quality in Mediterranean Crops. Ph.D. Thesis, Universita’ degli Studi di Palermo, Palermo, Italy, Polytechnic University of Valencia, Valencia, Spain, 2 October 2017. [Google Scholar]
- Wu, H.; Walker, S.; Rollin, M.J.; Tan, D.K.Y.; Robinson, G.; Werth, J. Germination, persistence, and emergence of flaxleaf fleabane (Conyza bonariensis [L.] Cronquist). Weed Biol. Manag. 2007, 7, 192–199. [Google Scholar] [CrossRef]
- Webber, C.L.; Shrefler, J.W. Pelargonic acid weed control parameters. HortScience 2006, 41, 1034. [Google Scholar] [CrossRef]
- Velini, E.D.; Duke, S.O.; Trindade, M.B.; Meschede, D.K.; Carbonari, C.A. Modo de acao do Glyphosate (Mode of Action of Glyphosate in Portuguese). In Glyphosate; Velini, E.D., Meschede, D.K., Carbonari, C.A., Trindade, M.L.B., Eds.; Fundaçã de Estudos e Pesquisas Agricoloas e Florestais: Botucato-SP, Brazil, 2009; pp. 113–133. [Google Scholar]
- Hoss, N.; Al-Khatib, K.; Peterson, D.; Loughin, T. Efficacy of glyphosate, glufosinate, and imazethapyr on selected weed species. Weed Sci. 2003, 51, 110–117. [Google Scholar] [CrossRef]
- Jordan, D.; York, A.; Griffin, J.; Clay, P.; Vidrine, P.; Reynolds, D. Influence of Application Variables on Efficacy of Glyphosate. Weed Technol. 1997, 11, 354–362. [Google Scholar] [CrossRef]
- Mithila, J.; Swanton, C.J.; Blackshaw, R.E.; Cathcart, R.J.; Hall, J.C. Physiological basis for reduced glyphosate efficacy on weeds grown under low soil nitrogen. Weed Sci. 2008, 56, 12–17. [Google Scholar] [CrossRef]
- Sandberg, C.L.; Meggitt, W.F.; Penner, D. Absorption, translocation and metabolism of 14C-glyphosate in several weed species. Weed Res. 1980, 20, 195–200. [Google Scholar] [CrossRef]
- Lederer, B.; Fujimori, T.; Tsujino, Y.; Wakabayashi, K.; Bögera, P. Phytotoxic activity of middle-chain fatty acids II: Peroxidation and membrane effects. Pestic. Biochem. Physiol. 2004, 80, 151–156. [Google Scholar] [CrossRef]
- Albuquerque, C.C.; Camara, T.R.; Sant’ana, A.E.G.; Ulisses, C.; Willadino, L.; Marcelino Júnior, C. Effects of the essential oil of Lippia gracilis Schauer on caulinary shoots of heliconia cultivated in vitro. Rev. Bras. Plantas Med. 2012, 14, 26–33. [Google Scholar] [CrossRef]
- Hasanuzzaman, M.; Mohsin, S.M.; Borhannuddin Bhuyan, M.H.M.; Farha Bhuiyan, T.; Anee, T.I.; Awal, A.; Masud, C.; Nahar, K. Phytotoxicity, environmental and health hazards of herbicides: Challenges and ways forward. In Agrochemicals Detection, Treatment and Remediation. Pesticides and Chemical Fertilizers; Vara Prasad, M.N., Ed.; Butterworth Heinemann: Hyderabad, India, 2020; pp. 55–99. [Google Scholar] [CrossRef]










| Soil Properties |
|---|
| Clay 21.85% |
| Silt 47.55% |
| Sand 30.60% |
| Treatments | Abbreviations | |
|---|---|---|
| T1 | Control treated with water | CW |
| T2 | Pelargonic acid 5% | PA5 |
| T3 | Pelargonic acid 8% | PA8 |
| T4 | Pelargonic acid 10% | PA10 |
| T5 | Cinnamic aldehyde 6% | AC6 |
| T6 | Cinnamic aldehyde 12% | AC12 |
| T7 | Cinnamic aldehyde 24% | AC24 |
| T8 | Carvacrol 8% | CV8 |
| T9 | Carvacrol 16% | CV16 |
| T10 | Carvacrol 32% | CV32 |
| T11 | Bioherbicide reference: pelargonic acid (Beloukha® 8%) | BE |
| T12 | Chemical reference: glyphosate (Roundup® Ultra Plus 10%) | GL |
| Species | Starting-End Date | Temperature (°C) | Relative Humidity (%) | ||||
|---|---|---|---|---|---|---|---|
| Mean | Max. | Min. | Mean | Max. | Min. | ||
| P. oleracea | August 9, 2018–September 9, 2018 | 28.03 | 38.39 | 22.87 | 68.04 | 87.03 | 37.18 |
| A. retroflexus | September 2, 2018–October 2, 2018 | 26.38 | 35.42 | 19.82 | 70.91 | 85.88 | 31.14 |
| A. fatua | December 3, 2018–January 3, 2019 | 18.57 | 25.72 | 12.75 | 57.87 | 75.56 | 29.84 |
| E. bonariensis | February 15, 2019–March 15, 2019 | 22.62 | 27.16 | 17.99 | 45.88 | 50.26 | 40.40 |
| Level of Damage | |
|---|---|
| 0 | Undamaged plant |
| 1 | Plant with slight damage |
| 2 | Plant with severe damage |
| 3 | Dead plant |
| 4 | Regrown plant |
| Species | Efficacy |
| Portulaca oleracea | 56.17 ± 1.11 b |
| Amaranthus retroflexus | 73.50 ± 1.11 a |
| Avena fatua | 54.83 ± 1.11 b |
| Erigeron bonariensis | 55.67 ± 1.11 b |
| Time (Days after application) | Efficacy |
| 1 | 41.67 ± 1.24 c |
| 3 | 81.88 ± 1.24 b |
| 7 | 87.08 ± 1.24 a |
| 15 | 89.58 ± 1.24 a |
| Treatment | Efficacy |
| Control treated with water | 4.00 ± 1.92 g |
| Pelargonic acid 5% | 70.50 ± 1.92 b |
| Pelargonic acid 8% | 73.50 ± 1.92 ab |
| Pelargonic acid 10% | 74.50 ± 1.92 ab |
| Cinnamic aldehyde 6% | 53.50 ± 1.92 e |
| Cinnamic aldehyde 12% | 70.00 ± 1.92 bc |
| Cinnamic aldehyde 24% | 70.00 ± 1.92 bc |
| Carvacrol 8% | 60.50 ± 1.92 d |
| Carvacrol 16% | 64.50 ± 1.92 d |
| Carvacrol 32% | 65.00 ± 1.92 cd |
| Bioherbicide reference: pelargonic acid (Beloukha® 8%) | 78.50 ± 1.92 a |
| Chemical reference: glyphosate (Roundup® Ultra Plus 10%) | 36.00 ± 1.92 f |
| Species | Level of Damage |
| Portulaca oleracea | 1.98 ± 0.02 b |
| Amaranthus retroflexus | 2.24 ± 0.02 a |
| Avena fatua | 1.96 ± 0.02 bc |
| Erigeron bonariensis | 1.92 ± 0.02 c |
| Time (Days after Application) | Level of Damage |
| 0 | 0.00 ± 0.02 e |
| 1 | 2.08 ± 0.02 d |
| 3 | 2.59 ± 0.02 c |
| 7 | 2.68 ± 0.02 b |
| 15 | 2.78 ± 0.02 a |
| Treatment | Damage level |
| Control treated with water | 0.16 ± 0.04 g |
| Pelargonic acid 5% | 2.31 ± 0.04 abc |
| Pelargonic acid 8% | 2.34 ± 0.04 ab |
| Pelargonic acid 10% | 2.35 ± 0.04 ab |
| Cinnamic aldehyde 6% | 2.13 ± 0.04 e |
| Cinnamic aldehyde 12% | 2.30 ± 0.04 abc |
| Cinnamic aldehyde 24% | 2.30 ± 0.04 abc |
| Carvacrol 8% | 2.18 ± 0.04 de |
| Carvacrol 16% | 2.23 ± 0.04 cd |
| Carvacrol 32% | 2.25 ± 0.04 bcd |
| Bioherbicide reference: pelargonic acid (Beloukha 8%) | 2.39 ± 0.04 a |
| Chemical reference: glyphosate (Roundup Ultra Plus 10%) | 1.40 ± 0.03 f |
© 2020 by the authors. Licensee MDPI, Basel, Switzerland. This article is an open access article distributed under the terms and conditions of the Creative Commons Attribution (CC BY) license (http://creativecommons.org/licenses/by/4.0/).
Share and Cite
Muñoz, M.; Torres-Pagán, N.; Peiró, R.; Guijarro, R.; Sánchez-Moreiras, A.M.; Verdeguer, M. Phytotoxic Effects of Three Natural Compounds: Pelargonic Acid, Carvacrol, and Cinnamic Aldehyde, against Problematic Weeds in Mediterranean Crops. Agronomy 2020, 10, 791. https://doi.org/10.3390/agronomy10060791
Muñoz M, Torres-Pagán N, Peiró R, Guijarro R, Sánchez-Moreiras AM, Verdeguer M. Phytotoxic Effects of Three Natural Compounds: Pelargonic Acid, Carvacrol, and Cinnamic Aldehyde, against Problematic Weeds in Mediterranean Crops. Agronomy. 2020; 10(6):791. https://doi.org/10.3390/agronomy10060791
Chicago/Turabian StyleMuñoz, Marta, Natalia Torres-Pagán, Rosa Peiró, Rubén Guijarro, Adela M. Sánchez-Moreiras, and Mercedes Verdeguer. 2020. "Phytotoxic Effects of Three Natural Compounds: Pelargonic Acid, Carvacrol, and Cinnamic Aldehyde, against Problematic Weeds in Mediterranean Crops" Agronomy 10, no. 6: 791. https://doi.org/10.3390/agronomy10060791
APA StyleMuñoz, M., Torres-Pagán, N., Peiró, R., Guijarro, R., Sánchez-Moreiras, A. M., & Verdeguer, M. (2020). Phytotoxic Effects of Three Natural Compounds: Pelargonic Acid, Carvacrol, and Cinnamic Aldehyde, against Problematic Weeds in Mediterranean Crops. Agronomy, 10(6), 791. https://doi.org/10.3390/agronomy10060791

