Fruit Yield and Quality of ‘Valencia’ Orange Trees under Long-Term Partial Rootzone Drying
Abstract
1. Introduction
2. Materials and Methods
2.1. Experimental Site
2.2. Irrigation Treatments and Experimental Design
2.3. Soil, Plant and Atmosphere Water Status
2.4. Yield and Fruit Quality
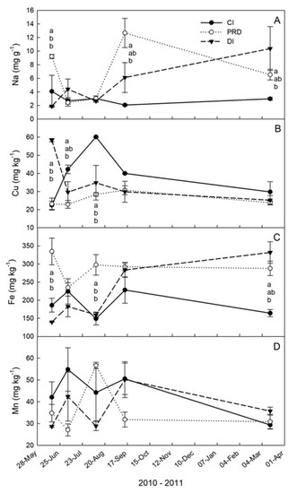
2.5. Leaf Nutrients
2.6. Data Analysis
3. Results and Discussion
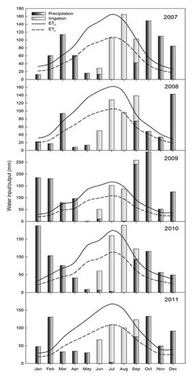
3.1. Climate, Irrigation Volumes, and Soil and Plant Water Status
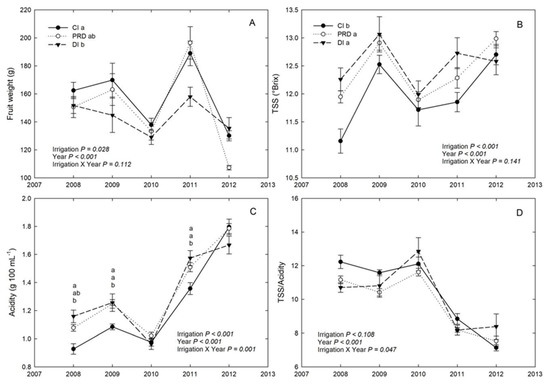
3.2. Yield and Fruit Quality
4. Conclusions
Author Contributions
Funding
Acknowledgments
Conflicts of Interest
References
- Chalmers, D.J.; Mitchell, P.D.; van Heek, L.A.G. Control of peach tree growth and productivity by regulated water supply, tree density, and summer pruning. J. Am. Soc. Hortic. Sci. 1981, 106, 307–312. [Google Scholar]
- Mitchell, P.D.; Chalmers, D.J. The effect of reduced water supply on peach tree growth and yields. J. Am. Soc. Hortic. Sci. 1982, 107, 853–856. [Google Scholar]
- Girona, J.; Gelly, M.; Mata, M.; Arbones, A.; Rufat, J.; Marsal, J. Peach tree response to single and combined deficit irrigation regimes in deep soils. Agric. Water Manag. 2005, 72, 97–108. [Google Scholar] [CrossRef]
- Marsal, J.; Casadesus, J.; Lopez, G.; Mata, M.; Bellvert, J.; Girona, J. Sustainability of regulated deficit irrigation in a mid-maturing peach cultivar. Irrig. Sci. 2016, 34, 201–208. [Google Scholar] [CrossRef]
- Ruiz-Sánchez, M.C.; Abrisqueta, I.; Conejero, W.; Vera, J. Deficit Irrigation Management in Early-Maturing Peach Crop. In Water Scarcity and Sustainable Agriculture in Semiarid Environment; García Tejero, I.F., Durán Zuazo, V.H., Eds.; Academic Press: New York, NY, USA, 2018; pp. 111–129. [Google Scholar]
- Torrecillas, A.; Corell, M.; Galindo, A.; Pérez-López, D.; Memmi, H.; Rodríguez, P.; Cruz, Z.N.; Centeno, A.; Intrigliolo, D.S.; Moriana, A. Agronomical Effects of Deficit Irrigation in Apricot, Peach, and Plum Trees. In Water Scarcity and Sustainable Agriculture in Semiarid Environment; García Tejero, I.F., Durán Zuazo, V.H., Eds.; Academic Press: New York, NY, USA, 2018; pp. 87–109. [Google Scholar]
- Caspari, H.W.; Behboudian, M.H.; Chalmers, D.J. Water use, growth, and fruit yield of ‘Hosui’ Asian pears under deficit irrigation. J. Am. Soc. Hortic. Sci. 1994, 119, 383–388. [Google Scholar] [CrossRef]
- Mitchell, P.D.; Van Den Ende, B.; Jerie, P.H.; Chalmers, D.J. Responses of ‘Bartlett’ pear to withholding irrigation, regulated deficit irrigation, and tree spacing. J. Am. Soc. Hortic. Sci. 1989, 114, 15–19. [Google Scholar]
- Wu, Y.; Zhao, Z.; Liu, S.; Huang, X.; Wang, W. Does partial root-zone drying have advantages over regulated deficit irrigation in pear orchard under desert climates? Sci. Hortic. 2020, 262, 109099. [Google Scholar] [CrossRef]
- Lampinen, B.D.; Shackel, K.A.; Southwick, S.M.; Olson, B.; Yeager, J.T.; Goldhamer, D. Sensitivity of yield and fruit quality of French prune to water deprivation at different fruit growth stages. J. Am. Soc. Hortic. Sci. 1995, 120, 139–147. [Google Scholar] [CrossRef]
- Goldhamer, D.A.; Viveros, M.; Salinas, M. Regulated deficit irrigation in almonds: Effects of variations in applied water and stress timing on yield and yield components. Irrig. Sci. 2006, 24, 101–114. [Google Scholar] [CrossRef]
- Lipan, L.; Martín-Palomo, M.J.; Sánchez-Rodríguez, L.; Cano-Lamadrid, M.; Sendra, E.; Hernández, F.; Burló, F.; Vázquez-Araújo, L.; Andreu, L.; Carbonell-Barrachina, Á.A. Almond fruit quality can be improved by means of deficit irrigation strategies. Agric. Water Manag. 2019, 217, 236–242. [Google Scholar] [CrossRef]
- Martín-Palomo, M.J.; Corell, M.; Girón, I.; Andreu, L.; Trigo, E.; López-Moreno, Y.E.; Torrecillas, A.; Centeno, A.; Pérez-López, D.; Moriana, A. Limitations of using trunk diameter fluctuations for deficit irrigation scheduling in almond orchards. Agric. Water Manag. 2019, 218, 115–123. [Google Scholar] [CrossRef]
- Goldhamer, D.A.; Beede, R.H. Regulated deficit irrigation effects on yield, nut quality and water-use efficiency of mature pistachio trees. J. Hortic. Sci. Biotechnol. 2004, 79, 538–545. [Google Scholar] [CrossRef]
- Carbonell-Barrachina, Á.A.; Memmi, H.; Noguera-Artiaga, L.; Gijón-López, M.D.C.; Ciapa, R.; Pérez-López, D. Quality attributes of pistachio nuts as affected by rootstock and deficit irrigation. J. Sci. Food Agric. 2015, 95, 2866–2873. [Google Scholar] [CrossRef] [PubMed]
- Noguera-Artiaga, L.; Sánchez-Bravo, P.; Hernández, F.; Burgos-Hernández, A.; Pérez-López, D.; Carbonell-Barrachina, Á.A. Influence of regulated deficit irrigation and rootstock on the functional, nutritional and sensory quality of pistachio nuts. Sci. Hortic. 2020, 261, 108994. [Google Scholar] [CrossRef]
- Ruiz-Sànchez, M.C.; Torrecillas, A.; Perez-Pastor, A.; Domingo, R. Regulated deficit irrigation in apricot trees. Acta Hortic. 2000, 537, 759–766. [Google Scholar] [CrossRef]
- Goldhamer, D.A. Regulated deficit irrigation for California canning olives. Acta Hortic. 1997, 474, 369–372. [Google Scholar] [CrossRef]
- Moriana, A.; Orgaz, F.; Pastor, M.; Fereres, E. Yield responses of mature olive orchard to water deficits. J. Am. Soc. Hortic. Sci. 2003, 123, 425–431. [Google Scholar] [CrossRef]
- García, J.M.; Morales-Sillero, A.; Pérez-Rubio, A.G.; Diaz-Espejo, A.; Montero, A.; Fernández, J.E. Virgin olive oil quality of hedgerow ‘Arbequina’ olive trees under deficit irrigation. J. Sci. Food Agric. 2017, 97, 1018–1026. [Google Scholar] [CrossRef]
- González-Altozano, P.; Castel, J.L. Regulated deficit irrigation in ‘Clementina de Nules’ citrus trees. I. Yield and fruit quality effects. J. Hortic. Sci. Biotechnol. 1999, 74, 706–713. [Google Scholar] [CrossRef]
- Pérez-Pérez, J.G.; Romero, P.; Navarro, J.M.; Botía, P. Response of sweet orange cv ‘Lane late’ to deficit-irrigation strategy in two rootstocks. II: Flowering, fruit growth, yield and fruit quality. Irrig. Sci. 2008, 26, 519–529. [Google Scholar] [CrossRef]
- Hutton, R.J.; Loveys, B.R. A partial root zone drying irrigation strategy for citrus—Effects on water use efficiency and fruit characteristics. Agric. Water Manag. 2011, 98, 1485–1496. [Google Scholar] [CrossRef]
- García-Tejero, I.; Durán-Zuazo, V.H.; Jiménez-Bocanegra, J.A.; Muriel-Fernández, J.L. Improved water-use efficiency by deficit-irrigation programmes: Implications for saving water in citrus orchards. Sci. Hortic. 2011, 128, 274–282. [Google Scholar] [CrossRef]
- Gasque, M.; Martí, P.; Granero, B.; González-Altozano, P. Effects of long-term summer deficit irrigation on ‘Navelina’ citrus trees. Agric. Water Manag. 2016, 169, 140–147. [Google Scholar] [CrossRef]
- Dry, P.R.; Loveys, B.R.; Botting, D.G.; Düring, H. Effects of partial rootzone drying on grapevine vigour, yield, composition of fruit and use of water. In Proceedings of the 9th Australian Wine Industry Technical Conference, Adelaide, Australia, 16–19 July 1995; pp. 128–131. [Google Scholar]
- Dry, P.R.; Loveys, B.R. Factors influencing grapevine vigour and the potential for control with partial rootzone drying. Aust. J. Grape Wine Res. 1998, 4, 140–148. [Google Scholar] [CrossRef]
- Gowing, D.J.G.; Davies, W.J.; Jones, H.G. A positive root-sourced signal as an indicator of soil drying in apple, Malus × domestica Borkh. J. Exp. Bot. 1990, 41, 1535–1540. [Google Scholar] [CrossRef]
- Dry, P.R.; Loveys, B.R.; Düring, H. Partial drying of the rootzone of grape. I. Transient changes in shoot growth and gas exchange. Vitis 2000, 39, 3–7. [Google Scholar]
- Zhang, J.; Davies, W.J. Increased synthesis of ABA in partially dehydrated root tips and ABA transport from roots to leaves. J. Exp. Bot. 1987, 38, 2015–2023. [Google Scholar] [CrossRef]
- Dry, P.R.; Loveys, B.R. Grapevine shoot growth and stomatal conductance are reduced when part of the root system is dried. Vitis 1999, 38, 151–156. [Google Scholar]
- Stoll, M.; Loveys, B.; Dry, P. Hormonal changes induced by partial rootzone drying of irrigated grapevine. J. Exp. Bot. 2000, 51, 1627–1634. [Google Scholar] [CrossRef]
- Gu, S.; Du, G.; Zoldoske, D.; Hakim, A.; Cochran, R.; Fugelsang, K.; Jorgensen, G. Effects of irrigation amount on water relations, vegetative growth, yield and fruit composition of Sauvignon blanc grapevines under partial rootzone drying and conventional irrigation in the San Joaquin Valley of California, USA. J. Hortic. Sci. Biotechnol. 2004, 79, 26–33. [Google Scholar] [CrossRef]
- Wahbi, S.; Wakrim, R.; Aganchich, B.; Tahi, H.; Serraj, R. Effects of partial rootzone drying PRD on adult olive tree Olea europaea in field conditions under arid climate I. Physiological and agronomic responses. Agric. Ecosyst. Environ. 2005, 106, 289–301. [Google Scholar] [CrossRef]
- Francaviglia, D.; Farina, V.; Avellone, G.; Lo Bianco, R. Fruit yield and quality responses of apple cvars Gala and Fuji to partial rootzone drying under Mediterranean conditions. J. Agric. Sci. 2013, 151, 556–569. [Google Scholar] [CrossRef]
- Eliades, G.; Georgiou, A.; Papadopoulos, I. Effect of conventional irrigation and alternate rootzone drying with sufficient or deficient irrigation water on the production of marsh seedless grapefruit. Agric. Mediterr. 2004, 134, 78–184. [Google Scholar]
- Treeby, M.T.; Henriod, R.E.; Bevington, K.B.; Milne, D.J.; Storey, R. Irrigation management and rootstock effects on navel orange [Citrus sinensis (L.) Osbeck] fruit quality. Agric. Water Manag. 2007, 91, 24–32. [Google Scholar] [CrossRef]
- Faber, B.A.; Lovatt, C.J. Effects of applying less water by partial root zone drying versus conventional irrigation on navel orange yield. Acta Hortic. 2014, 1038, 523–530. [Google Scholar] [CrossRef]
- Goldhamer, D.A.; Salinas, M. Evaluation of regulated deficit irrigation on mature orange trees grown under high evaporative demand. In Proceedings of the IX Congress International Society Citriculture, Orlando, FL, USA, 3–7 December 2000; Volume 1, pp. 227–231. [Google Scholar]
- Pérez-Pérez, J.G.; Dodd, I.C.; Botía, P. Partial rootzone drying increases water-use efficiency of lemon Fino 49 trees independently of root-to-shoot ABA signalling. Funct. Plant Biol. 2012, 39, 366–378. [Google Scholar] [CrossRef]
- Kusakabe, A.; Contreras-Barragan, B.A.; Simpson, C.R.; Enciso, J.M.; Nelson, S.D.; Melgar, J.C. Application of partial rootzone drying to improve irrigation water use efficiency in grapefruit trees. Agric. Water Manag. 2016, 178, 66–75. [Google Scholar] [CrossRef]
- Consoli, S.; Stagno, F.; Vanella, D.; Boaga, J.; Cassiani, G.; Roccuzzo, G. Partial root-zone drying irrigation in orange orchards: Effects on water use and crop production characteristics. Eur. J. Agron. 2017, 82, 190–202. [Google Scholar] [CrossRef]
- Shalhevet, J.; Levy, Y. Citrus trees. In Irrigation of Agricultural Crops; Stewart, A., Nielsen, D.R., Eds.; American Society of Agronomy, Inc.: Madison, WI, USA, 1990; pp. 951–986. [Google Scholar]
- García-Tejero, I.; Romero-Vicente, R.; Jiménez-Bocanegra, J.A.; Martínez-García, G.; Durán-Zuazo, V.H.; Muriel-Fernández, J.L. Response of citrus trees to deficit irrigation during different phenological periods in relation to yield, fruit quality, and water productivity. Agric. Water Manag. 2010, 97, 689–699. [Google Scholar] [CrossRef]
- Navarro, J.M.; Pérez-Pérez, J.G.; Romero, P.; Botía, P. Analysis of the changes in quality in mandarin fruit, produced by deficit irrigation treatments. Food Chem. 2010, 119, 1591–1596. [Google Scholar] [CrossRef]
- Grilo, F.S.; Scalisi, A.; Pernice, F.; Morandi, B.; Lo Bianco, R. Recurrent deficit irrigation and fruit harvest affect tree water relations and fruitlet growth in ‘Valencia’ orange. Eur. J. Hortic. Sci. 2019, 84, 177–187. [Google Scholar] [CrossRef]
- Torrecillas, A.; Ruiz-Sánchez, M.C.; Domingo, R.; Hernández-Borroto, J. Regulated deficit irrigation on Fino lemon trees. Acta Hortic. 1993, 33, 205–212. [Google Scholar] [CrossRef]
- Castel, J.R.; Buj, A. Response of Salustiana oranges to high frequency deficit irrigation. Irrig. Sci. 1990, 11, 121–127. [Google Scholar] [CrossRef]
- Peng, Y.H.; Rabe, E. Effect of differing irrigation regimes on fruit quality, yield, fruit size and net CO2 assimilation of ‘Mihowase’ satsuma. J. Hortic. Sci. Biotechnol. 1998, 73, 229–234. [Google Scholar] [CrossRef]
- Hutton, R.J.; Landsberg, J.J.; Sutton, B.G. Timing irrigation to suit citrus phenology: A means of reducing water use without compromising fruit yield and quality? Aust. J. Exp. Agric. 2007, 47, 71–80. [Google Scholar] [CrossRef]
- Pérez-Pérez, J.G.; Robles, J.M.; Botía, P. Influence of deficit irrigation in phase III of fruit growth on fruit quality in ‘Lane late’ sweet orange. Agric. Water Manag. 2009, 96, 969–974. [Google Scholar] [CrossRef]
- Grilo, F.S.; Di Stefano, V.; Lo Bianco, R. Deficit irrigation and maturation stage influence quality and flavonoid composition of ‘Valencia’ orange fruit. J. Sci. Food Agric. 2017, 97, 1904–1909. [Google Scholar] [CrossRef]
- Mossad, A.; Scalisi, A.; Lo Bianco, R. Growth and water relations of field-grown ‘Valencia’ orange trees under long-term partial rootzone drying. Irrig. Sci. 2018, 36, 9–24. [Google Scholar] [CrossRef]
- Allen, R.G.; Pereira, L.S.; Raes, D.; Smith, M. Crop Evapotranspiration—Guidelines for Computing Crop Water Requirements; FAO Irrigation and Drainage Paper 56; FAO: Rome, Italy, 1998. [Google Scholar]
- Arena, E.; Fallico, B.; Maccarone, E. Influence of carotenoids and pulps on the color modification of blood orange juice. J. Food Sci. 2000, 45, 458–460. [Google Scholar] [CrossRef]
- Eastin, E.F. Total nitrogen determination for plant material containing nitrate. Anal. Biochem. 1978, 85, 591–594. [Google Scholar] [CrossRef]
- Morard, P.; Gullo, J.L. Mineralization des tissus vegetaux en vue du dosage de P, K, Ca, Mg, Na. Ann. Agron. 1970, 21, 229–236. [Google Scholar]
- Fogg, D.N.; Wilkinson, N.T. The calorimetric determination of phosphorus. Analyst 1958, 83, 406–414. [Google Scholar] [CrossRef]
- Puglisi, I.; Nicolosi, E.; Vanella, D.; Piero, A.R.L.; Stagno, F.; Saitta, D.; Roccuzzo, G.; Consoli, S.; Baglieri, A. Physiological and Biochemical Responses of Orange Trees to Different Deficit Irrigation Regimes. Plants 2019, 8, 423. [Google Scholar] [CrossRef] [PubMed]
- Dzikiti, S.; Steppe, K.; Lemeur, R. Partial rootzone drying of drip irrigated ‘Navel’ orange trees [Citrus sinensis (L.) Osbeck] under semi-arid tropical conditions. Acta Hortic. 2008, 792, 249–256. [Google Scholar] [CrossRef]
- García-Tejero, I.; Durán-Zuazo, V.H.; Arriaga-Sevilla, J.; Muriel-Fernández, J.L. Impact of water stress on citrus yield. Agron. Sustain. Dev. 2012, 32, 651–659. [Google Scholar] [CrossRef]
- Consoli, S.; Stagno, F.; Roccuzzo, G.; Cirelli, G.L.; Intrigliolo, F. Sustainable management of limited water resources in a young orange orchard. Agric. Water Manag. 2014, 132, 60–68. [Google Scholar] [CrossRef]
- Yang, Q.; Wang, Y.; Jia, X.M.; Zheng, Y.Q.; He, S.L.; Deng, L.; Ma, Y.Y.; Xie, R.J.; Yi, S.L.; Lv, Q. Fruit yield and quality response of Newhall navel orange to different irrigation regimes and ground cover in Chongqing Three Gorges Reservoir area. Sci. Hortic. 2018, 241, 57–64. [Google Scholar] [CrossRef]
- El-Tanany, M.M.; Sallam, A.A.; Sayed, M.A. Washington Navel orange productivity as affected by deficit irrigation water and potassium application. Middle East J. Appl. Sci. 2019, 902, 370–385. [Google Scholar]
- Roccuzzo, G.; Stagno, F.; Ferlito, F.; Intrigliolo, F.; Cirelli, G.L.; Consoli, S. Deficit irrigation for enhancing ‘Tarocco’ orange fruit quality. Acta Hortic. 2016, 1112, 179–186. [Google Scholar] [CrossRef]
- Melgar, J.C.; Dunlop, J.M.; Syvertsen, J.P. Growth and physiological responses of the citrus rootstock Swingle citrumelo seedlings to partial rootzone drying and deficit irrigation. J. Agric. Sci. 2010, 148, 593–602. [Google Scholar] [CrossRef]
- Dodd, I.C.; Puértolas, J.; Huber, K.; Pérez-Pérez, J.G.; Wright, H.R.; Blackwell, M.S.A. The importance of soil drying and re-wetting in crop phytohormonal and nutritional responses to deficit irrigation. J. Exp. Bot. 2015, 66, 2239–2252. [Google Scholar] [CrossRef] [PubMed]







| Carotenoids (mg·L−1) | Vitamin C (mg·L−1) | Carotenoids (mg·kg−1) | Vitamin C (mg·kg−1) | |
|---|---|---|---|---|
| CI | 29.1 ± 1.26 b | 362 ± 5.22 b | 15.1 ± 0.63 | 188 ± 7.60 |
| PRD | 32.3 ± 1.22 ab | 371 ± 6.55 ab | 16.5 ± 0.67 | 189 ± 4.43 |
| DI | 35.8 ± 1.98 a | 382 ± 4.76 a | 17.2 ± 1.20 | 188 ± 3.46 |
© 2020 by the authors. Licensee MDPI, Basel, Switzerland. This article is an open access article distributed under the terms and conditions of the Creative Commons Attribution (CC BY) license (http://creativecommons.org/licenses/by/4.0/).
Share and Cite
Mossad, A.; Farina, V.; Lo Bianco, R. Fruit Yield and Quality of ‘Valencia’ Orange Trees under Long-Term Partial Rootzone Drying. Agronomy 2020, 10, 164. https://doi.org/10.3390/agronomy10020164
Mossad A, Farina V, Lo Bianco R. Fruit Yield and Quality of ‘Valencia’ Orange Trees under Long-Term Partial Rootzone Drying. Agronomy. 2020; 10(2):164. https://doi.org/10.3390/agronomy10020164
Chicago/Turabian StyleMossad, Amr, Vittorio Farina, and Riccardo Lo Bianco. 2020. "Fruit Yield and Quality of ‘Valencia’ Orange Trees under Long-Term Partial Rootzone Drying" Agronomy 10, no. 2: 164. https://doi.org/10.3390/agronomy10020164
APA StyleMossad, A., Farina, V., & Lo Bianco, R. (2020). Fruit Yield and Quality of ‘Valencia’ Orange Trees under Long-Term Partial Rootzone Drying. Agronomy, 10(2), 164. https://doi.org/10.3390/agronomy10020164

