Water Balance and Nitrate and Salt Exports from a Saline–Sodic Irrigation District in Castelflorite (Huesca, NE Spain)
Abstract
1. Introduction
2. Materials and Methods
2.1. Location
2.2. Land, Water, and Nitrogen Use
2.3. Drainage Volume and Composition
2.4. Water Balance
2.5. Salt Balance
2.6. Nitrogen Loads
3. Results and Discussion
3.1. Crops
3.2. Water and Nitrogen Use
3.3. Quantity and Quality of Drained Water
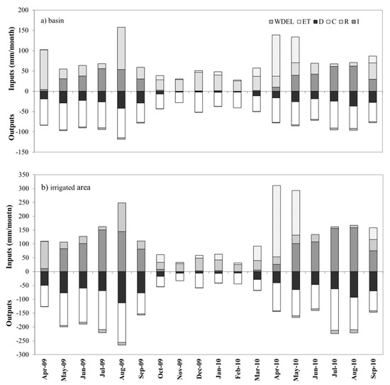
3.4. Water Balance
3.5. Salt Balance
3.6. Nitrogen Loads
4. Conclusions
Author Contributions
Funding
Acknowledgments
Conflicts of Interest
References
- Bruinsma, J. European and Central Asian Agriculture Towards 2030 and 2050; FAO Regional Office for Europe and Central Asia Budapest: Budapest, Hungary, 2012; p. 57. [Google Scholar]
- Schoups, G.; Hopmans, J.W.; Young, C.A.; Vrugt, J.A.; Wallender, W.W.; Tanji, K.K.; Panday, S. Sustainability of irrigated agriculture in the San Joaquin Valley, California. Proc. Natl. Acad. Sci. USA 2005, 102, 15352–15356. [Google Scholar] [CrossRef]
- Causapé, J.; Quílez, D.; Aragüés, R. Assessment of irrigation and environmental quality at the hydrological basin level: I. Irrigation quality. Agric. Water Manag. 2004, 70, 195–209. [Google Scholar]
- Causapé, J.; Quílez, D.; Aragüés, R. Assessment of irrigation and environmental quality at the hydrological basin level: II. Salt and nitrate loads in irrigation return flows. Agric. Water Manag. 2004, 70, 211–228. [Google Scholar]
- Causapé Valenzuela, J. Agro-environmental evaluation of irrigation land: II. Pollution induced by Bardenas Irrigation District (Spain). Agric. Water Manag. 2009, 96, 188–194. [Google Scholar]
- Abrahao, R.; Causapé, J.; García-Garizábal, I.; Merchán, D. Implementing irrigation: Water balances and irrigation quality in the Lerma basin (Spain). Agric. Water Manag. 2011, 102, 97–104. [Google Scholar] [CrossRef]
- Garcia-Garizabal, I.; Abrahao, R.; Causape, J. Irrigation management and pollution by salts and nitrate: Flood vs. pressurized system. Itea-Inf. Tec. Econ. Agrar. 2012, 108, 482–500. [Google Scholar]
- Merchán, D.; Causapé, J.; Abrahão, R.; García-Garizábal, I. Assessment of a newly implemented irrigated area (Lerma Basin, Spain) over a 10-year period. I: Water balances and irrigation performance. Agric. Water Manag. 2015, 158, 277–287. [Google Scholar]
- Merchán, D.; Causapé, J.; Abrahão, R.; García-Garizábal, I. Assessment of a newly implemented irrigated area (Lerma Basin, Spain) over a 10-year period. II: Salts and nitrate exported. Agric. Water Manag. 2015, 158, 288–296. [Google Scholar]
- Abrahão, R.; García-Garizábal, I.; Merchán, D.; Causapé, J. Climate change and the water cycle in newly irrigated areas. Environ. Monit. Assess. 2015, 187, 22. [Google Scholar] [CrossRef]
- Andrés, R.; Cuchí, J.A. Salt and nitrate exports from the sprinkler-irrigated Malfarás creek watershed (Ebro river valley, Spain) during 2010. Environ. Earth Sci. 2014, 72, 2667–2682. [Google Scholar] [CrossRef]
- Andrés, R.; Cuchí, J.A. Analysis of sprinkler irrigation management in the LASESA district, Monegros (Spain). Agric. Water Manag. 2014, 131, 95–107. [Google Scholar] [CrossRef]
- Andrés, R.; Cuchí, J.A. The use of nitrogen in a sprinkler-irrigated district in Monegros (Northeast Spain). Agric. Water Manag. 2014, 144, 120–133. [Google Scholar] [CrossRef]
- Skhiri, A.; Dechmi, F. Impact of sprinkler irrigation management on the Del Reguero river (Spain). I: Water balance and irrigation performance. Agric. Water Manag. 2012, 103, 120–129. [Google Scholar] [CrossRef]
- Sorando, R.; Comín, F.A.; Jiménez, J.J.; Sánchez-Pérez, J.M.; Sauvage, S. Water resources and nitrate discharges in relation to agricultural land uses in an intensively irrigated watershed. Sci. Total Environ. 2019, 659, 1293–1306. [Google Scholar] [CrossRef] [PubMed]
- Tedeschi, A.; Beltrán, A.; Aragüés, R. Irrigation management and hydrosalinity balance in a semi-arid area of the middle Ebro river basin (Spain). Agric. Water Manag. 2001, 49, 31–50. [Google Scholar] [CrossRef]
- Cavero, J.; Beltrán, A.; Aragüés, R. Nitrate Exported in Drainage Waters of Two Sprinkler-Irrigated Watersheds. J. Environ. Qual. 2003, 32, 916–926. [Google Scholar] [CrossRef]
- Lecina, S.; Isidoro, D.; Playán, E.; Aragüés, R. Irrigation Modernization in Spain: Effects on Water Quantity and Quality—A Conceptual Approach. Int. J. Water Res. Dev. 2010, 26, 265–282. [Google Scholar] [CrossRef]
- Lecina, S.; Isidoro, D.; Playán, E.; Aragüés, R. Irrigation modernization and water conservation in Spain: The case of Riegos del Alto Aragón. Agric. Water Manag. 2010, 97, 1663–1675. [Google Scholar] [CrossRef]
- Faci, J.; Aragüeś, R.; Alberto, F.; Quílez, D.; Machin, J.; Arrue, J.L. Water and salt balance in an irrigated area of the Ebro River Basin (Spain). Irrig. Sci. 1985, 6, 29–37. [Google Scholar]
- Isidoro, D.; Quilez, D.; Aragues, R. Environmental impact of irrigation in la violada district (Spain): I. Salt export patterns. J. Environ. Qual. 2006, 35, 766–775. [Google Scholar] [CrossRef]
- Isidoro, D.; Quilez, D.; Aragues, R. Environmental impact of irrigation in La Violada District (Spain): II. Nitrogen fertilization and nitrate export patterns in drainage water. J. Environ. Qual. 2006, 35, 776–785. [Google Scholar] [CrossRef] [PubMed]
- Barros, R.; Isidoro, D.; Aragüés, R. Long-term water balances in La Violada irrigation district (Spain): I. Sequential assessment and minimization of closing errors. Agric. Water Manag. 2011, 102, 35–45. [Google Scholar] [CrossRef]
- Barros, R.; Isidoro, D.; Aragüés, R. Three study decades on irrigation performance and salt concentrations and loads in the irrigation return flows of La Violada irrigation district (Spain). Agric., Ecosyst. Environ. 2012, 151, 44–52. [Google Scholar] [CrossRef]
- Barros, R.; Isidoro, D.; Aragüés, R. Irrigation management, nitrogen fertilization and nitrogen losses in the return flows of La Violada irrigation district (Spain). Agric. Ecosyst. Environ. 2012, 155, 161–171. [Google Scholar] [CrossRef]
- Jiménez-Aguirre, M.T.; Isidoro, D. Hydrosaline Balance in and Nitrogen Loads from an irrigation district before and after modernization. Agric. Water Manag. 2018, 208, 163–175. [Google Scholar] [CrossRef]
- Herrero, J.; Castañeda, C. The success story of irrigation against salinity in Violada, NE Spain. Land Degrad. Dev. 2018, 29, 3039–3049. [Google Scholar] [CrossRef]
- Andrés, R. Proyecto de la red de Drenajes para 1200 Hectáreas de Los Sectores XVIII y XIX del Cinca. C.R. San Pedro (Castelflorite, Huesca). Master's Thesis, Universidad de Zaragoza, Zaragoza, Spain, 2005. [Google Scholar]
- Soil Survey Staff. Soil Taxonomy: A Basic System of Soil Classification for Making and Interpreting Soil Surveys, 2nd ed.; US Government Printing Office: Washington, DC, USA, 1999; p. 886. [Google Scholar]
- Cuchí Oterino, J.A. Aportaciones al Conocimiento de los Suelos Salinos de Aragón; Instituto Nacional de Investigaciones Agrarias: Madrid, Spain, 1989; p. 417. [Google Scholar]
- Andrés Mateo, R.; Usón Murillo, A. Diseño del drenaje en zonas salino-sódicas de Monegros. In Tecnología de Suelos: Estudio de Casos; Usón Murillo, A., Boixadera Llobet, J., Bosch Serra, D., Enrique Martín, A., Eds.; Universidad de Zaragoza: Zaragoza, Spain, 2010; pp. 219–235. [Google Scholar]
- Allen, R.G.; Pereira, L.S.; Raes, D.; Smith, M. Crop Evapotranspiration-Guidelines for Computing Crop Water Requirements; FAO—Food and Agriculture Organization of the United Nations: Rome, Italy, 1998; p. 15. [Google Scholar]
- Dominguez Vivancos, A. Tratado de Fertilización; Mundi-Prensa: Madrid, Spain, 1996; p. 613. [Google Scholar]
- Canadian Fertilizer Institute. Nutrient Uptake and Removal by Field Crops-Western Canada; Canadian Fertilizer Institute: Ottawa, ON, Canada, 2001; p. 2. [Google Scholar]
- Malano, H.M.; Burton, M. Guidelines for Benchmarking Performance in the Irrigation and Drainage Sector; IPTRID Secretariat-Food and Agriculture Organization of the United Nations: Rome, Italy, 2001; p. 50. [Google Scholar]
- Turnipseed, D.P.; Sauer, V.B. Discharge Measurements at Gaging Stations; U.S. Geological Survey: Reston, VA, USA, 2010.
- Causapé Valenzuela, J. EMR 1.0: Herramienta al servicio de la vigilancia agroambiental del regadío. ITEA Inf. Téc. Econ. Agrar. 2008, 104, 369–380. [Google Scholar]
- Playán, E.; Salvador, R.; Faci, J.M.; Zapata, N.; Martínez-Cob, A.; Sánchez, I. Day and night wind drift and evaporation losses in sprinkler solid-sets and moving laterals. Agric. Water Manag. 2005, 76, 139–159. [Google Scholar] [CrossRef]
- Causapé Valenzuela, J. Agro-environmental evaluation of irrigation land: I. Water use in Bardenas irrigation district (Spain). Agric. Water Manag. 2009, 96, 179–187. [Google Scholar]
- Molden, D. Accounting for Water Use and Productivity; International Irrigation Management Institute: Colombo, Sri Lanka, 1997; Volume 1, p. 26. [Google Scholar]
- Willardson, L.; Allen, R.; Frederiksen, H. Elimination of irrigation efficiencies. In Proceedings of the Acta 13th Technology Conference USCID, Denver, CO, USA, 13–18 November 1994; pp. 19–22. [Google Scholar]
- Molden, D.J.; Sakthivadivel, R.; Perry, C.J.; de Fraiture, C.; Kloezen, W.H. Indicators for Comparing Performance of Irrigated Agricultural Systems; International Water Management Institute (IWMI): Colombo, Sri Lank, 1998; p. 26. [Google Scholar]
- Perry, C.; Steduto, P.; Allen, R.G.; Burt, C.M. Increasing productivity in irrigated agriculture: Agronomic constraints and hydrological realities. Agric. Water Manag. 2009, 96, 1517–1524. [Google Scholar] [CrossRef]
- Rhoades, J.; Chanduvi, F.; Lesch, S. Soil Salinity Assessment: Methods and Interpretation of Electrical Conductivity Measurements; FAO—Food & Agriculture Organization of the United Nations: Rome, Italy, 1999; p. 165. [Google Scholar]
- Tanji, K.K.; Kielen, N.C. Agricultural Drainage Water Management in Arid and Semi-Arid Areas; FAO—Food and Agriculture Organization of the United Nations: Rome, Italy, 2002; p. 205. [Google Scholar]
- San Román, J. Control. de los Retornos de las Actividades Agrarias de la Cuenca del Ebro: Evaluación de las Tendencias de la Calidad del Agua, Control Experimental de los Retornos y Propuesta de red de Control (tr. Report on Control of Returns of Agricultural Activities in the Ebro Basin: Evaluation of Water Quality Trends, Experimental Return Control and Control netWork Proposal); Centro de Investigación y Tecnología Agroalimentaria de Aragón (CITA-DGA): Zaragoza, Spain, 2007; p. 288. [Google Scholar]
- Delgado Enguita, I.; Muñoz, F.; Andueza, D.; Martínez, N. Acción del abonado nitrogenado sobre el crecimiento y la movilización de reservas nitrogenadas de la alfalfa. In Proceedings of the Producción de Pastos, Forrajes y Céspedes: Actas XLII Reunión Científica de la Sociedad Española para el Estudio de los Pastos, Dicions de la Universitat de Lleida, Lleida, Spain, 6–10 May 2002; pp. 327–332. [Google Scholar]
- Orús Pueyo, F. Estiércoles, nitrógeno y cargas ganaderas. Criterios para la valoración del contenido de nitrógeno de los estiércoles, según la Unión Europea; Diputación General de Aragón, Dirección General de Tecnología Agraria, Servicio de Formación y Extensión Agraria: Zaragoza, Spain, 2003; p. 16. [Google Scholar]
- Moreno García, B. Respuesta del Arroz a la Fertilización con Purín Porcino en Condiciones Mediterráneas. Ph.D. Thesis, Universidad de Zaragoza, Zaragoza, Spain, 2017. [Google Scholar]
- Faci, J.M.; Bensaci, A.; Slatni, A.; Playán, E. A case study for irrigation modernisation. Agric. Water Manag. 2000, 42, 313–334. [Google Scholar] [CrossRef]
- Dechmi, F.; Playán, E.; Faci, J.M.; Tejero, M. Analysis of an irrigation district in northeastern Spain. Agric. Water Manag. 2003, 61, 75–92. [Google Scholar] [CrossRef]
- Zapata, N.; Playán, E.; Skhiri, A.; Burguete, J. Simulation of a Collective Solid-Set Sprinkler Irrigation Controller for Optimum Water Productivity. J. Irrig. Drain. Eng. 2009, 135, 13–24. [Google Scholar] [CrossRef][Green Version]
- Salvador, R.; Martínez-Cob, A.; Cavero, J.; Playán, E. Seasonal on-farm irrigation performance in the Ebro basin (Spain): Crops and irrigation systems. Agric. Water Manag. 2011, 98, 577–587. [Google Scholar] [CrossRef]
- Sexton, B.T.; Moncrief, J.F.; Rosen, C.J.; Gupta, S.C.; Cheng, H.H. Optimizing Nitrogen and Irrigation Inputs for Corn Based on Nitrate Leaching and Yield on a Coarse-Textured Soil. J. Environ. Qual. 1996, 25, 982–992. [Google Scholar] [CrossRef]
- Isidoro, D.; Quílez, D.; Aragüés, R. Environmental Impact of Irrigation in La Violada District (Spain). J. Environ. Qual. 2006, 35, 776–785. [Google Scholar] [CrossRef]
- Reddy, K.R.; Patrick, W.H. 5. Denitrification losses in flooded rice fields. Fertil. Res. 1986, 9, 99–116. [Google Scholar]
- Belder, P.; Bouman, B.A.M.; Spiertz, J.H.J.; Peng, S.; Castañeda, A.R.; Visperas, R.M. Crop performance, nitrogen and water use in flooded and aerobic rice. Plant Soil 2005, 273, 167–182. [Google Scholar] [CrossRef]
- Cai, X.; McKinney, D.C.; Rosegrant, M.W. Sustainability analysis for irrigation water management in the Aral Sea region. Agric. Syst. 2003, 76, 1043–1066. [Google Scholar] [CrossRef]
- Schoups, G.; Lee Addams, C.; Gorelick, S.M. Multi-objective calibration of a surface water-groundwater flow model in an irrigated agricultural region: Yaqui Valley, Sonora, Mexico. Hydrol. Earth Syst. Sci. 2005, 2, 2061–2109. [Google Scholar] [CrossRef]
- Isidoro, D.; Quílez, D.; Aragüés, R. Water balance and irrigation performance analysis: La Violada irrigation district (Spain) as a case study. Agric. Water Manag. 2004, 64, 123–142. [Google Scholar] [CrossRef]
- Causapé, J. Aprovechamiento del agua en los regadíos de Bardenas. Inf. Téc. Econ. Agrar. 2009, 105, 202–221. [Google Scholar]
- Abrahao, R.; Causapé, J.; García-Garizábal, I.; Merchán, D. Implementing irrigation: Salt and nitrate exported from the Lerma basin (Spain). Agric. Water Manag. 2011, 102, 105–112. [Google Scholar] [CrossRef]
- Antonopoulos, V.Z. Modelling of water and nitrogen balances in the ponded water and soil profile of rice fields in Northern Greece. Agric. Water Manag. 2010, 98, 321–330. [Google Scholar] [CrossRef]
- Moreno-García, B.; Guillén, M.; Quílez, D. Response of paddy rice to fertilisation with pig slurry in northeast Spain: Strategies to optimise nitrogen use efficiency. Field Crops Res. 2017, 208, 44–54. [Google Scholar] [CrossRef]






| Crops | Surface | IWA | IRn | ARIS | NMF | NU | NMF/NU | ||||
|---|---|---|---|---|---|---|---|---|---|---|---|
| (ha) | (mm) | (mm) | (kg ha−1) | ||||||||
| 2009 | 2010 | 2009 | 2010 | 2009 | 2010 | 2009 | 2010 | 2009–2010 | |||
| Rice | 1034 | 896 | 980 | 1180 | 700 | 773 | 1.4 | 1.5 | 165 | 132 | 1.2 |
| Barley | 622 | 777 | 120 | 210 | 79 | 144 | 1.5 | 1.5 | 163 | 144 | 1.1 |
| Maize | 770 | 701 | 670 | 800 | 428 | 533 | 1.6 | 1.5 | 263 | 242 | 1.1 |
| Alfalfa | 485 | 633 | 620 | 740 | 495 | 601 | 1.3 | 1.2 | 142 | 435 | 0.3 |
| April/September 2009 | October 2009/March 2010 | April/September 2010 | April 2009/September 2010 | ||
|---|---|---|---|---|---|
| hm3 | |||||
| Inputs | R | 33.5 | 22.8 | 15.9 | 72.2 |
| I | 24.4 | 0.9 | 28.1 | 53.5 | |
| C | 0 | 5.3 | 20.8 | 26.2 | |
| 58.0 | 29.0 | 64.8 | 151.8 | ||
| Outputs | ET * | 43.5 | 25.5 | 38.5 | 107.5 |
| WDEL | 1.6 | 0.1 | 2.0 | 3.6 | |
| D | 19.0 | 3.1 | 17.0 | 39.1 | |
| 64.2 | 28.6 | 57.5 | 150.2 | ||
| Balance Error | (%) | −10.2 | 1.5 | 12.1 | 1.1 |
| Accumulated Balance Error | (%) | −10.2 | −6.4 | 1.1 | 1.1 |
| April/September 2009 | October 2009/March 2010 | April/September 2010 | April 2009/September 2010 | ||
|---|---|---|---|---|---|
| kg·ha−1 | |||||
| Input | SR | 63 | 43 | 30 | 136 |
| SI | 1158 | 37 | 1141 | 2337 | |
| SC | 1 | 220 | 843 | 1065 | |
| Output | SD | 2805 | 1192 | 2566 | 6563 |
| ∆S | −1582 | −892 | −551 | −3026 | |
| April/September 2009 | October 2009/September 2010 | April 2009/September 2010 | April 2009/September 2010 | ||
|---|---|---|---|---|---|
| kg·ha−1 | % | ||||
| Inputs | NR | 3.7 | 4.3 | 8.0 | 1.7 |
| NI | 2.8 | 1.7 | 4.5 | 0.9 | |
| NMF | 193 | 190 | 383 | 80 | |
| NOF | 43 | 39 | 82 | 17 | |
| NFS | 0.9 | 1.1 | 1.9 | 0.4 | |
| NC | 0.0 | 1.6 | 1.6 | 0.3 | |
| Outputs | NU | 197 | 200 | 397 | 97 |
| ND | 6 | 6 | 11 | 3 | |
| ∆N | 40.8 | 31.4 | 72.2 | ||
© 2020 by the authors. Licensee MDPI, Basel, Switzerland. This article is an open access article distributed under the terms and conditions of the Creative Commons Attribution (CC BY) license (http://creativecommons.org/licenses/by/4.0/).
Share and Cite
Andrés, R.; Martín-Ramos, P.; Cuchí, J.A. Water Balance and Nitrate and Salt Exports from a Saline–Sodic Irrigation District in Castelflorite (Huesca, NE Spain). Agronomy 2020, 10, 165. https://doi.org/10.3390/agronomy10020165
Andrés R, Martín-Ramos P, Cuchí JA. Water Balance and Nitrate and Salt Exports from a Saline–Sodic Irrigation District in Castelflorite (Huesca, NE Spain). Agronomy. 2020; 10(2):165. https://doi.org/10.3390/agronomy10020165
Chicago/Turabian StyleAndrés, Raúl, Pablo Martín-Ramos, and José Antonio Cuchí. 2020. "Water Balance and Nitrate and Salt Exports from a Saline–Sodic Irrigation District in Castelflorite (Huesca, NE Spain)" Agronomy 10, no. 2: 165. https://doi.org/10.3390/agronomy10020165
APA StyleAndrés, R., Martín-Ramos, P., & Cuchí, J. A. (2020). Water Balance and Nitrate and Salt Exports from a Saline–Sodic Irrigation District in Castelflorite (Huesca, NE Spain). Agronomy, 10(2), 165. https://doi.org/10.3390/agronomy10020165

