The Combined Effects of Vegetative Stage Corms, Ultra Low Oxygen Cooling Storage and Incubation Time on Crocus sativus L.
Abstract
1. Introduction
2. Materials and Methods
2.1. Plant Material
2.2. Forcing Conditions
2.2.1. Cold Storage
2.2.2. Incubation Conditions
2.2.3. Flowering Conditions
2.3. Experimental Design
2.4. Saffron Extract Preparation and Solvents
2.5. Spectrophotometric Analysis
2.6. Moisture and Volatile Matter Content
2.7. HPLC-DAD Analysis
2.8. Statistical Analysis
3. Results
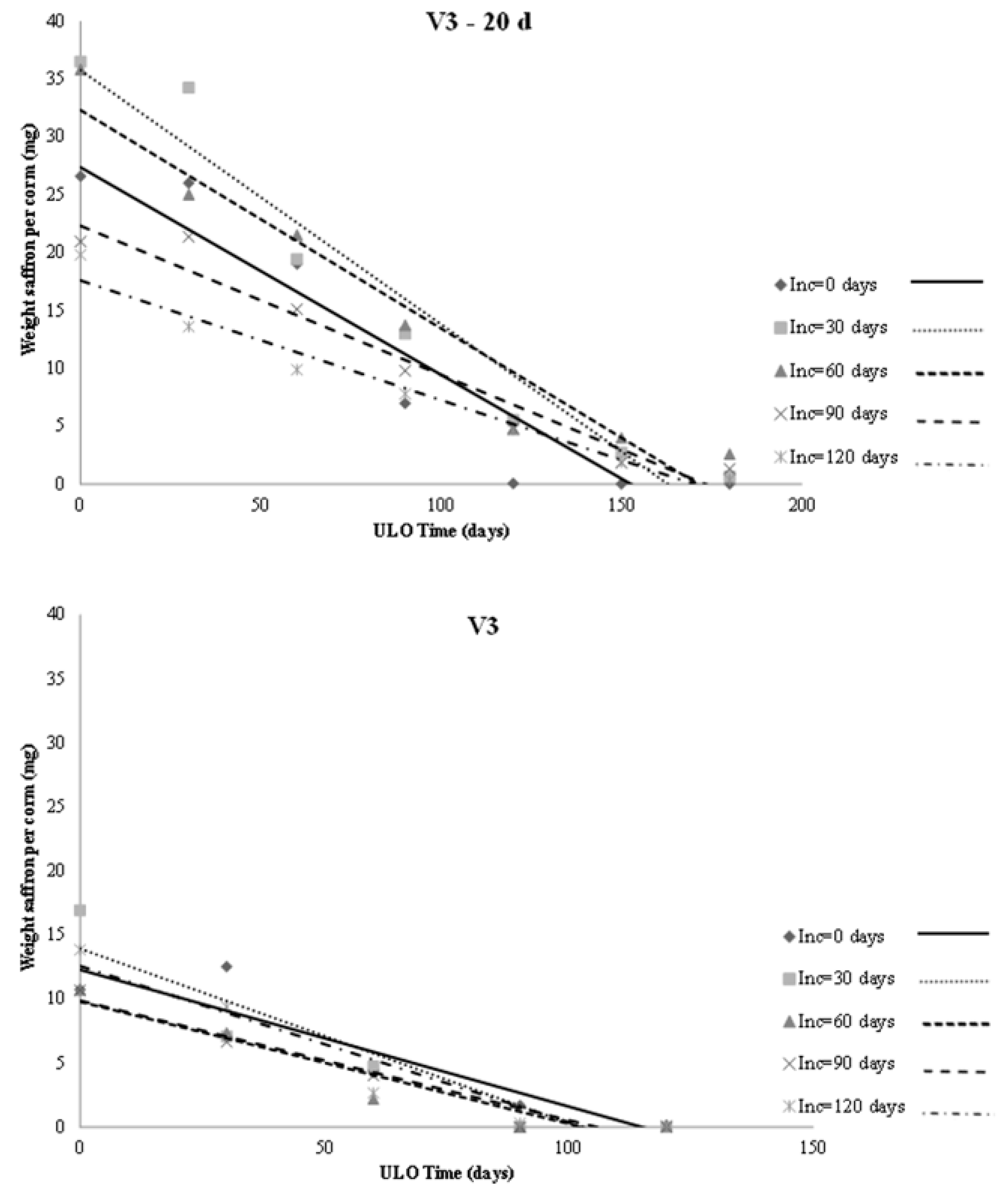
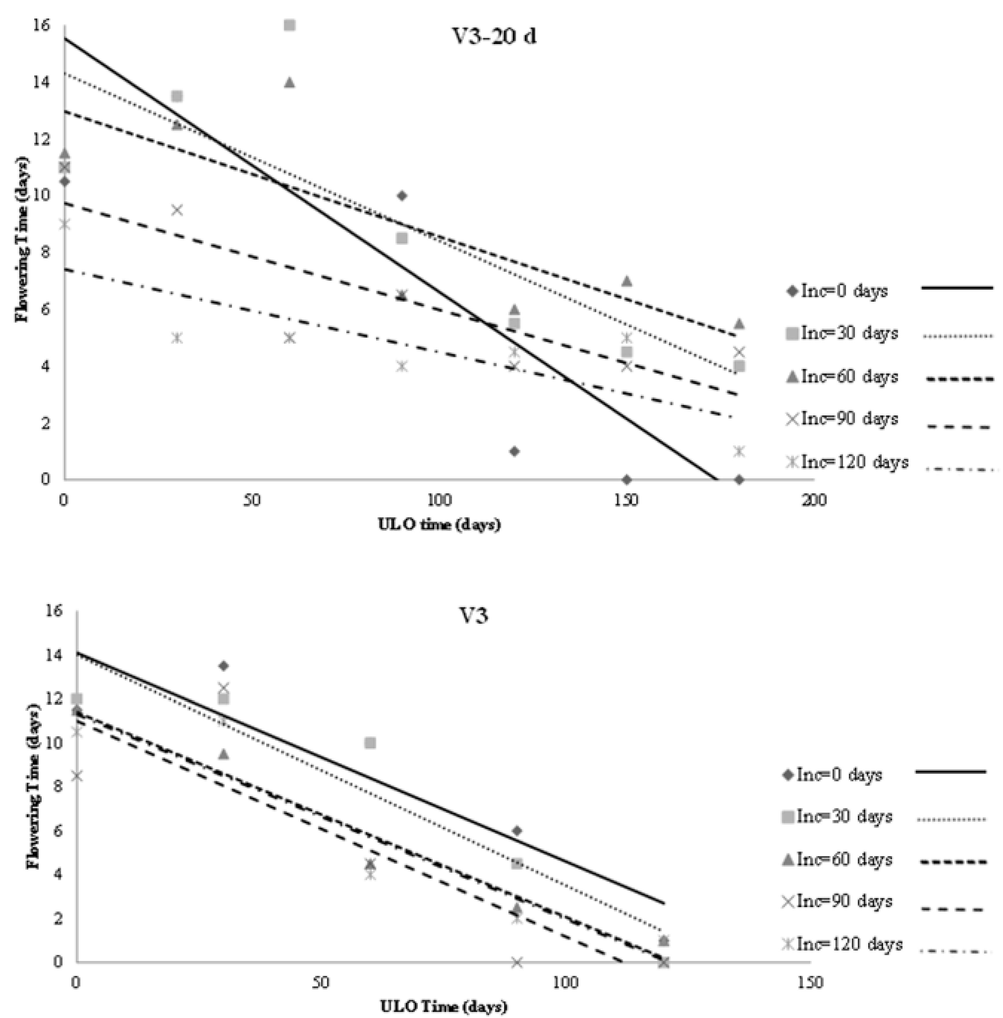
3.1. Effect of the Forcing Conditions on the Production Parameters
3.2. Effect of the Forcing Conditions on the Saffron Quality
4. Discussion
5. Conclusions
Supplementary Materials
Author Contributions
Funding
Acknowledgments
Conflicts of Interest
References
- Licón, C.; Carmona, M.; Llorens, S.; Berruga, M.I.; Alonso, G.L. Potential healthy effects of saffron spice (Crocus sativus L. stigmas) consumption. In Functional Plant Science and Biotechnology; Husaini, A.M., Ed.; Functional Plant Science and Biotechnology 4. Special Issue 2; Global Science Books: Kagawa, Japan, 2010; pp. 64–73. [Google Scholar]
- Ulbricht, C.; Conquer, J.; Costa, D.; Hollands, W.; Iannuzzi, C.; Isaac, R.; Jordan, J.K.; Ledesma, N.; Ostroff, C.; Serrano, J.M.G.; et al. An evidence-based systematic review of saffron (Crocus sativus) by the natural standard research collaboration. J. Diet. Suppl. 2011, 8, 58–114. [Google Scholar] [CrossRef] [PubMed]
- Douglas, M.H.; Smallfield, B.M.; Wallace, A.R.; McGimpsey, J.A. Saffron (Crocus sativus L.): The effect of mother corm size on progeny multiplication, flower and stigma production. Sci. Hortic. 2014, 166, 50–58. [Google Scholar] [CrossRef]
- de Juan, J.A.; López Córcoles, H.; Muñoz, R.M.; Picornell, M.R. Yield and yield components of saffron under different cropping systems. Ind. Crop. Prod. 2009, 30, 212–219. [Google Scholar] [CrossRef]
- Molina, R.V.; Valero, M.; Navarro, Y.; Guardiola, J.L.; García-Luis, A. Temperature effects on flower formation in saffron (Crocus sativus L.). Sci. Hortic. 2005, 103, 361–379. [Google Scholar] [CrossRef]
- Molina, R.V.; Valero, M.; Navarro, Y.; García-Luis, A.; Guardiola, J.L. Low temperature storage of corms extends the flowering season of saffron (Crocus sativus L.). J. Hortic. Sci. Biotechnol. 2005, 80, 319–326. [Google Scholar] [CrossRef]
- Plessner, O.; Negbi, M.; Ziv, M.; Basker, D. Effects of temperature on the flowering of the saffron crocus (Crocus sativus L.): Induction of hysteranthy. Isr. J. Bot. 1989, 38, 1–7. [Google Scholar] [CrossRef]
- Garvi Palazón, J. Cosechadora de azafrán. Spanish Patent Number ES2005088, 1989. [Google Scholar]
- Gracia, L.; Pérez, C.; García-López, C.; Guerrero Muñoz, J. Método Automatizado del Corte de la Flor del Azafrán para Liberación y Separación de sus Estigmas. Spanish Patent ES20080002387, 2008. [Google Scholar]
- Emadi, B. Separating Saffron Flower Parts Using Vertical Air Column. World Acad. Sci. Eng. Technol. 2009, 37, 25–28. [Google Scholar]
- Poggi, L.M.; Portela, A.; Pontín, M.A.; Molina, R.V. Corm size and incubation effects on time to flowering and threads yield and quality in saffron production in Argentina. Acta Hortic. 2010, 850, 193–198. [Google Scholar] [CrossRef]
- Poggi, L.M.; Portela, J.A.; Pontín, M.A.; Moratalla-López, N.; Alonso, G.L. New proposal for handling of saffron flowering (Crocus sativus L.) under environmentally controlled conditions. Acta Hortic. 2017, 245–252. [Google Scholar] [CrossRef]
- MAPA. Anuario de Estadística Agroalimentaria; Ministerio de Agricultura: Madrid, Spain, 2019.
- Moratalla-López, N.; Bagur, M.J.; Lorenzo, C.; Salinas, M.R.; Alonso, G.L. Bioactivity and bioavailability of the major metabolites of Crocus sativus L. Flower. Molecules 2019, 24, 2827. [Google Scholar] [CrossRef] [PubMed]
- Benschop, M. Crocus. The Physiology of Flower Bulbs: A Comprehensive Treatise on the Physiology and Utilization of Ornamental Flowering Bulbous and Tuberous Plants; De Hertogh, A., Le Nard, M., Eds.; Elsevier science & Technology: Amsterdam, The Netherlands, 1993; pp. 257–283. ISBN 0-444-87498-4. [Google Scholar]
- Molina, R.V.; Valero, M.; Navarro, Y.; García-Luis, A.; Guardiola, J.L. The effect of time of corm lifting and duration of incubation at inductive temperature on flowering in the saffron plant (Crocus sativus L.). Sci. Hortic. 2004, 103, 79–91. [Google Scholar] [CrossRef]
- International Organization for Standardization (ISO). ISO 3632-1 Saffron (Crocus sativus L.). Part 1 (Specification) and Part 2 (Test Methods) 2010/2011; ISO: Geneva, Switzerland, 2011. [Google Scholar]
- Tarantilis, P.A.; Polissiou, M.; Manfait, M. Separation of picrocrocin, cis-trans-crocins and safranal of saffron using high-performance liquid chromatography with photodiode-array detection. J. Chromatogr. A 1994, 664, 55–61. [Google Scholar] [CrossRef]
- García-Rodríguez, M.V.; López-Córcoles, H.; Alonso, G.L.; Pappas, C.S.; Polissiou, M.G.; Tarantilis, P.A. Comparative evaluation of an ISO 3632 method and an HPLC-DAD method for safranal quantity determination in saffron. Food Chem. 2017, 221, 838–843. [Google Scholar] [CrossRef] [PubMed]
- García-Rodríguez, M.V.; Moratalla-López, N.; López-Córcoles, H.; Alonso, G.L. Saffron quality obtained under different forcing conditions, considering various vegetative stages of corms. Sci. Hortic. 2021, 277, 109811. [Google Scholar] [CrossRef]
- García-Rodríguez, M.V.; Serrano-Díaz, J.; Tarantilis, P.A.; López-Córcoles, H.; Carmona, M.; Alonso, G.L. Determination of saffron quality by High-Performance Liquid Chromatography. J. Agric. Food Chem. 2014, 62, 8068–8074. [Google Scholar] [CrossRef] [PubMed]
- Carmona, M.; Zalacain, A.; Sánchez, A.M.; Novella, J.L.; Alonso, G.L. Crocetin esters, picrocrocin and its related compounds present in Crocus sativus stigmas and Gardenia jasminoides fruits. Tentative identification of seven new compounds by LC-ESI-MS. J. Agric. Food Chem. 2006, 54, 973–979. [Google Scholar] [CrossRef] [PubMed]
- Sánchez, A.M.; Carmona, M.; Zalacain, A.; Carot, J.M.; Jabaloyes, J.M.; Alonso, G.L. Rapid determination of crocetin esters and picrocrocin from saffron spice (Crocus sativus L.) Using UV–visible spectrophotometry for quality control. J. Agric. Food Chem. 2008, 56, 3167–3175. [Google Scholar] [CrossRef]
- Lage, M.; Cantrell, C.L. Quantification of saffron (Crocus sativus L.) metabolites crocins, picrocrocin and safranal for quality determination of the spice grown under different environmental Moroccan conditions. Sci. Hortic. 2009, 121, 366–373. [Google Scholar] [CrossRef]
- del Campo, C.P.; Carmona, M.; Maggi, L.; Kanakis, C.D.; Anastasaki, E.G.; Tarantilis, P.A.; Polissiou, M.G.; Alonso, G.L. Picrocrocin content and quality categories in different (345) worldwide samples of saffron (Crocus sativus L.). J. Agric. Food Chem. 2010, 58, 1305–1312. [Google Scholar] [CrossRef] [PubMed]








| Experimental Design | Measured Variables | |||||
|---|---|---|---|---|---|---|
| Samples | Vegetative Stage | ULO Cooling Chamber Time (Days) | Incubation Time (Days) | Flowering Conditions | Production Parameters | Analytical Determination |
| 2 repetitions 100 corms/treatment | V3–20 d and V3 | 0, 30, 60, 90, 120, 150 and 180 | 0, 30, 60, 90 and 120 | 18 ± 2 °C; 8 h/16 h photoperiod (light/dark) | FC, WSC, Nº FC, UWDS and FP | Quality saffron (ISO 3632:2011 and HPLC-DAD [21]) |
| And all their possible combinations | ||||||
| Parameter | Mean | Error | Main Effects 1 | Interactions between Factors 1 | |||||
|---|---|---|---|---|---|---|---|---|---|
| VS | ULO | INC | VS*INC | VS*ULO | ULO*INC | VS*ULO*INC | |||
| Flowering Corms (Units) | 86.8 | ±0.25 | *** | *** | * | NS | NS | NS | NS |
| Flowering Period (mg) | 12.6 | ±0.32 | *** | *** | *** | *** | *** | *** | *** |
| Number of Flowers per Corm (Units) | 1.4 | ±0.02 | *** | *** | *** | *** | *** | *** | *** |
| Unit Weight of Dry Stigma (mg) | 6.9 | ±0.09 | *** | *** | *** | *** | *** | *** | *** |
| Weight of Dry Stigma per corm (mg) | 10.1 | ±0.14 | *** | *** | *** | *** | *** | *** | *** |
| Parameter | VS | INC (days) | Slope (m) | Intercept (n) | R2 |
|---|---|---|---|---|---|
| Weight saffron per corm | V3–20 d | 0 | −0.179 | 27.385 | 0.892 |
| 30 | −0.220 | 35.779 | 0.939 | ||
| 60 | −0.189 | 32.331 | 0.937 | ||
| 90 | −0.129 | 22.328 | 0.951 | ||
| 120 | −0.103 | 17.599 | 0.963 | ||
| V3 | 0 | −0.107 | 12.288 | 0.848 | |
| 30 | −0.137 | 13.953 | 0.865 | ||
| 60 | −0.095 | 9.800 | 0.900 | ||
| 90 | −0.093 | 9.887 | 0.942 | ||
| 120 | −0.122 | 12.585 | 0.900 | ||
| Number of flowers per corm | V3–20 d | 0 | −0.019 | 3.036 | 0.884 |
| 30 | −0.024 | 4.232 | 0.980 | ||
| 60 | −0.021 | 3.786 | 0.953 | ||
| 90 | −0.018 | 3.212 | 0.911 | ||
| 120 | −0.018 | 3.045 | 0.982 | ||
| V3 | 0 | −0.010 | 1.374 | 0.788 | |
| 30 | −0.013 | 1.433 | 0.960 | ||
| 60 | −0.012 | 1.342 | 0.918 | ||
| 90 | −0.013 | 1.407 | 0.917 | ||
| 120 | −0.016 | 1.692 | 0.907 | ||
| Unit weight of dry stigma | V3–20 d | 0 | −0.062 | 10.829 | 0.931 |
| 30 | −0.022 | 8.721 | 0.721 | ||
| 60 | −0.008 | 8.439 | 0.310 | ||
| 90 | 0.014 | 6.064 | 0.196 | ||
| 120 | 0.002 | 5.597 | 0.063 | ||
| V3 | 0 | −0.058 | 9.891 | 0.981 | |
| 30 | −0.084 | 11.039 | 0.936 | ||
| 60 | −0.008 | 6.838 | 0.050 | ||
| 90 | −0.073 | 8.229 | 0.891 | ||
| 120 | 0.014 | 6.578 | 0.130 | ||
| Flowering time | V3–20 d | 0 | −0.089 | 15.536 | 0.656 |
| 30 | −0.059 | 14.304 | 0.668 | ||
| 60 | −0.044 | 12.964 | 0.652 | ||
| 90 | −0.037 | 9.732 | 0.740 | ||
| 120 | −0.029 | 7.411 | 0.651 | ||
| V3 | 0 | −0.095 | 14.100 | 0.823 | |
| 30 | −0.105 | 14.000 | 0.887 | ||
| 60 | −0.093 | 11.400 | 0.958 | ||
| 90 | −0.098 | 11.000 | 0.733 | ||
| 120 | −0.093 | 11.300 | 0.873 |
| ISO 3232:2011 (Parameter ± SD) 1 | ULO (Days) | Incubation Time (Days) | |||||
|---|---|---|---|---|---|---|---|
| 0 | 30 | 60 | 90 | 120 | ANOVA 2 | ||
| Colouring Strength ( 440 nm) | 0 | 291.01 ax ± 0.92 | 262.83 bx ± 1.00 | 251.28 cz ± 0.54 | 262.00 bx ± 3.25 | 216.24 dz ± 0.89 | *** |
| 30 | 243.49 cy ± 0.38 | 258.24 by ± 1.52 | 260.67 ay ± 1.33 | 256.93 by ± 1.77 | 221.65 dy ± 0.77 | *** | |
| 60 | 224.13 dz ± 0.82 | 244.04 bz ± 2.13 | 273.26 ax ± 0.67 | 206.79 ez ± 0.62 | 232.79 cx ± 0.06 | *** | |
| ANOVA 2 | *** | *** | *** | *** | *** | ||
| 257 nm | 0 | 110.66 abx ± 0.30 | 98.18 cz ± 0.06 | 101.93 by ± 1.11 | 110.55 ax ± 2.09 | 92.14 cx ± 0.09 | *** |
| 30 | 100.59 cy ± 0.16 | 99.41 dy ± 0.30 | 107.36 ax ± 0.07 | 102.90 by ± 0.08 | 83.01 ez ± 0.10 | *** | |
| 60 | 91.80 cz ± 0.23 | 104.43 ax ± 0.95 | 100.42 by ± 1.59 | 81.54 ez ± 0.07 | 89.99 dy ± 0.04 | *** | |
| ANOVA 2 | *** | *** | *** | *** | *** | ||
| 330 nm | 0 | 50.73 ax ± 0.19 | 43.17 cz ± 0.14 | 48.36 bx ± 0.61 | 52.68 ax ± 3.20 | 40.80 dx ± 0.17 | *** |
| 30 | 45.57 cy ± 0.23 | 45.46 cy ± 0.31 | 46.93 by ± 0.18 | 48.93 ax ± 0.37 | 36.22 dz ± 0.03 | *** | |
| 60 | 41.56 cz ± 0.10 | 49.78 ax ± 0.47 | 40.82 dz ± 0.12 | 43.10 by ± 0.75 | 40.32 dy ± 0.08 | *** | |
| ANOVA 2 | *** | *** | ** | *** | *** | ||
Publisher’s Note: MDPI stays neutral with regard to jurisdictional claims in published maps and institutional affiliations. |
© 2020 by the authors. Licensee MDPI, Basel, Switzerland. This article is an open access article distributed under the terms and conditions of the Creative Commons Attribution (CC BY) license (http://creativecommons.org/licenses/by/4.0/).
Share and Cite
García-Rodríguez, M.V.; Moratalla-López, N.; Carrión, C.; López-Córcoles, H.; Alonso, G.L. The Combined Effects of Vegetative Stage Corms, Ultra Low Oxygen Cooling Storage and Incubation Time on Crocus sativus L. Agronomy 2020, 10, 1775. https://doi.org/10.3390/agronomy10111775
García-Rodríguez MV, Moratalla-López N, Carrión C, López-Córcoles H, Alonso GL. The Combined Effects of Vegetative Stage Corms, Ultra Low Oxygen Cooling Storage and Incubation Time on Crocus sativus L. Agronomy. 2020; 10(11):1775. https://doi.org/10.3390/agronomy10111775
Chicago/Turabian StyleGarcía-Rodríguez, M. Valle, Natalia Moratalla-López, Claudia Carrión, Horacio López-Córcoles, and Gonzalo L. Alonso. 2020. "The Combined Effects of Vegetative Stage Corms, Ultra Low Oxygen Cooling Storage and Incubation Time on Crocus sativus L." Agronomy 10, no. 11: 1775. https://doi.org/10.3390/agronomy10111775
APA StyleGarcía-Rodríguez, M. V., Moratalla-López, N., Carrión, C., López-Córcoles, H., & Alonso, G. L. (2020). The Combined Effects of Vegetative Stage Corms, Ultra Low Oxygen Cooling Storage and Incubation Time on Crocus sativus L. Agronomy, 10(11), 1775. https://doi.org/10.3390/agronomy10111775

