Beneficial Effects of Biochar-Based Organic Fertilizer on Nitrogen Assimilation, Antioxidant Capacities, and Photosynthesis of Sugar Beet (Beta vulgaris L.) under Saline-Alkaline Stress
Abstract
1. Introduction
2. Materials and Methods
2.1. Experimental Design, Materials, and Growing Conditions
2.2. Determination of the Properties of Soil and Biochar
2.3. Sampling and Measurements of Sugar Beet
2.3.1. Activities of Nitrogen Assimilation Enzymes
2.3.2. Activities of Antioxidant Enzymes and Content of MDA
2.3.3. Root Activity
2.3.4. Photosynthetic Pigments
2.3.5. Chlorophyll Fluorescence Parameters
2.3.6. Gas-Exchange Parameters
2.3.7. Dry Matter Accumulation and Root/Shoot Ratio
2.3.8. Yield and Sugar Content
2.4. Statistical Analysis
3. Results
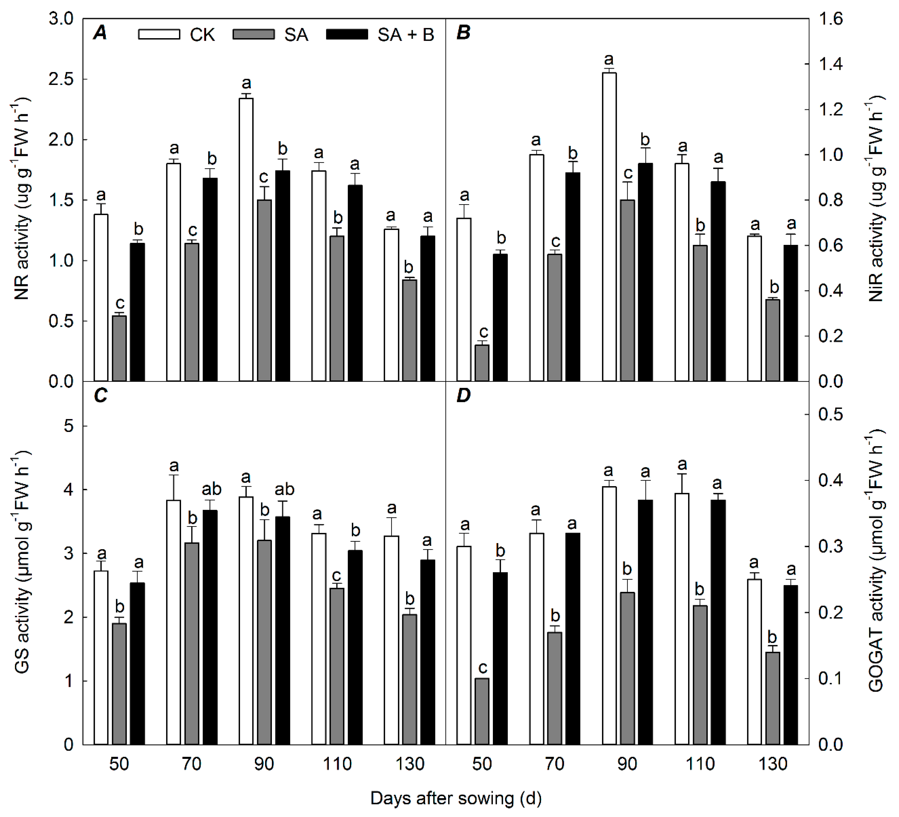
3.1. Activities of Nitrogen Assimilation Enzymes in Root
3.2. Activities of Antioxidant Enzymes and Content of MDA in Root
3.3. Root Activity
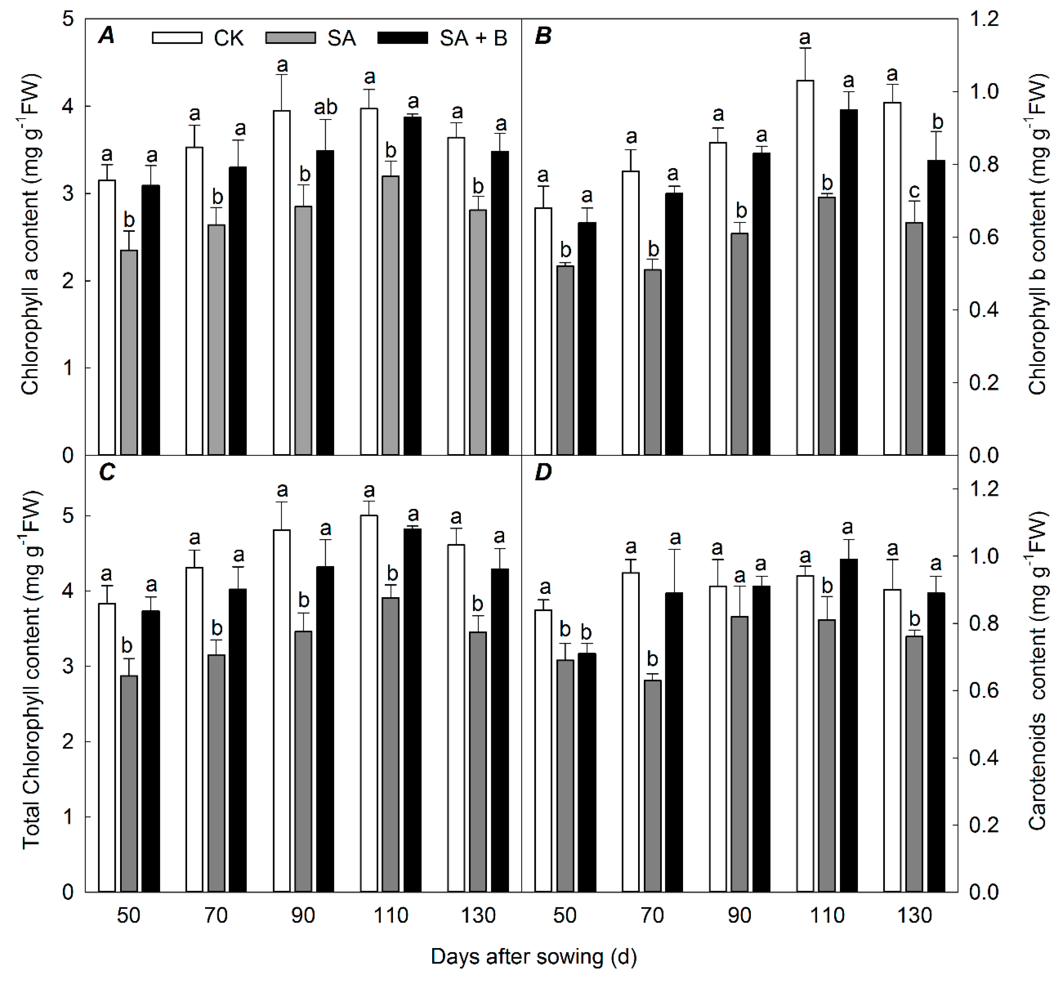
3.4. Contents of Photosynthetic Pigments
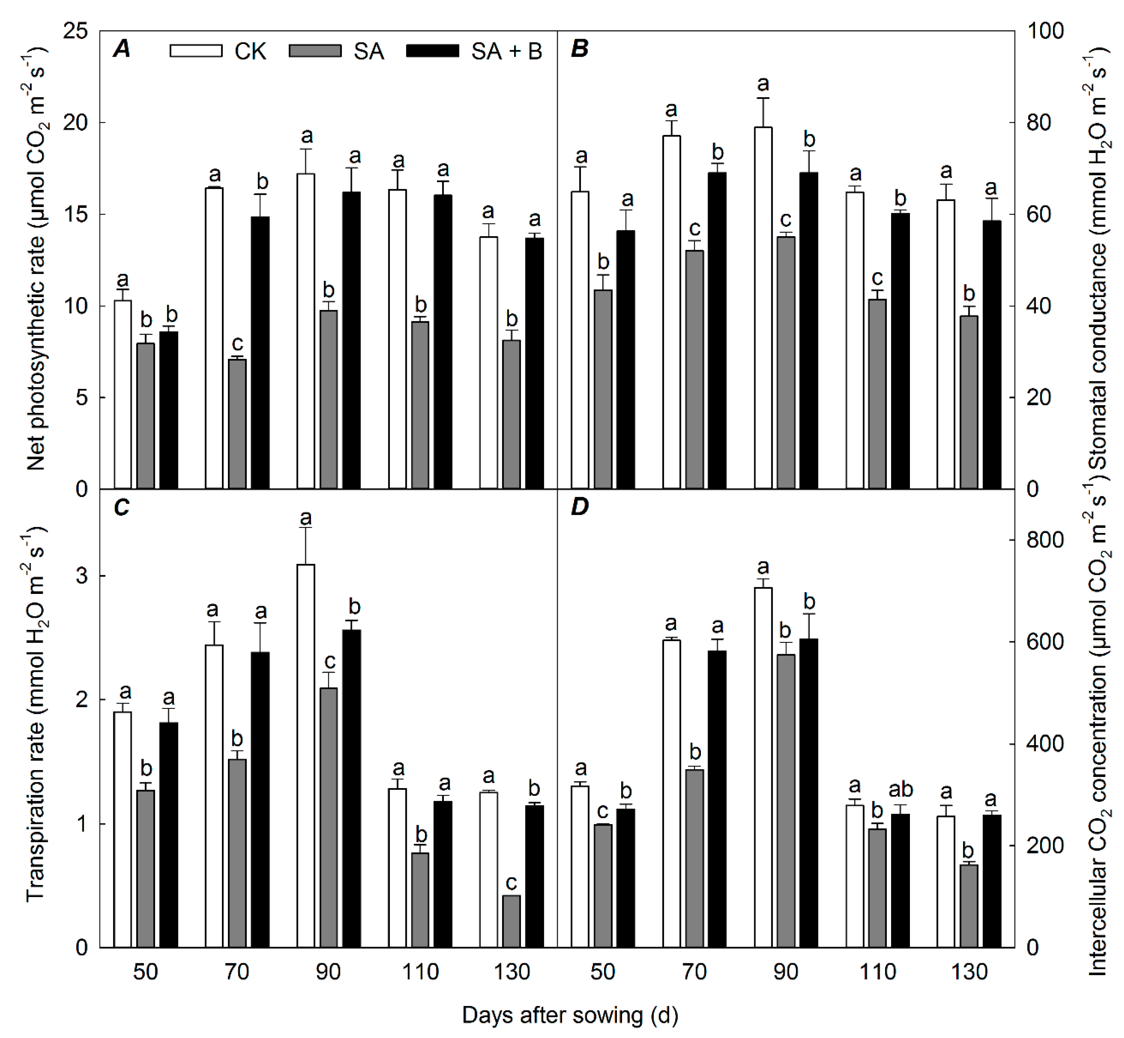
3.5. Gas-Exchange Parameters
3.6. Chlorophyll Fluorescence Parameters
3.7. Dry Matter Accumulation and Root/Shoot Ratio
3.8. Yield and Sugar Content of Root
4. Discussion
5. Conclusions
Author Contributions
Funding
Acknowledgments
Conflicts of Interest
References
- Yadav, S.; Irfan, M.; Ahmad, A.; Hayat, S. Causes of salinity and plant manifestations to salt stress: A review. J. Environ. Biol. 2011, 32, 667–685. [Google Scholar] [CrossRef]
- Friedrich, J.W.; Schrader, L.E. Sulfur deprivation and nitrogen metabolism in maize seedlings. Plant Physiol. 1978, 61, 900–903. [Google Scholar] [CrossRef]
- Fu, J.; Wang, Y.F.; Liu, Z.H.; Li, Z.T.; Yang, K.J. Trichoderma asperellum alleviates the effects of saline-alkaline stress on maize seedlings via the regulation of photosynthesis and nitrogen metabolism. J. Plant Growth Regul. 2018, 85, 363–374. [Google Scholar] [CrossRef]
- An, Y.M.; Song, L.L.; Liu, Y.R.; Shu, Y.J.; Guo, C.H. De novo transcriptional analysis of alfalfa in response to saline–alkaline stress. Front. Plant Sci. 2016, 7. [Google Scholar] [CrossRef]
- Sharma, P.; Dubey, R.S. Involvement of oxidative stress and role of antioxidative defense system in growing rice seedlings exposed to toxic concentrations of aluminum. Plant Cell Rep. 2007, 26, 2027–2038. [Google Scholar] [CrossRef] [PubMed]
- Nahar, K.; Hasanuzzaman, M.; Alam, M.M.; Fujita, M. Exogenous spermidine alleviates low temperature injury in mung bean (Vigna radiata L.) seedlings by modulating ascorbate–glutathione and glyoxalase pathway. Int. J. Mol. Sci. 2015, 16, 30117–30132. [Google Scholar] [CrossRef] [PubMed]
- Savitch, L.V.; Gray, G.R.; Huner, N.P.A. Feedback-limited photosynthesis and regulation of sucrose–starch accumulation during cold acclimation and low-temperature stress in a spring and winter wheat. Planta 1997, 201, 18–26. [Google Scholar] [CrossRef]
- Netto, A.T.; Campostrini, E.; Oliveira, J.G.; Bressan-Smith, R.E. Photosynthetic pigments, nitrogen, chlorophyll a fluorescence and SPAD–502 readings in coffee leaves. Sci. Hortic. 2005, 104, 199–209. [Google Scholar] [CrossRef]
- Chartzoulakis, K.S. Salinity and olive: Growth, salt tolerance, photosynthesis and yield. Agric. Water Manag. 2005, 78, 108–121. [Google Scholar] [CrossRef]
- Zhang, X.; Gao, G.; Wu, Z.; Wen, X.; Yang, C. Biochar-based organic fertilizer application rates for tetrastigma hemsleyanum planted under moso bamboo. J. For. Res. 2019, 30, 1–9. [Google Scholar] [CrossRef]
- Zafar-ul-Hye, M.; Danish, S.; Abbas, M.; Ahmad, M.; Munir, T.M. ACC deaminase roducing PGPR bacillus amyloliquefaciens and agrobacterium fabrum along with biochar improve wheat productivity under drought stress. Agronomy 2019, 9, 343. [Google Scholar] [CrossRef]
- Seleiman, M.F.; Refay, Y.; Al–Suhaibani, N.; Al-Ashkar, I.; El-Hendawy, S.; Hafez, E.M. Integrative effects of rice-straw biochar and silicon on oil and seed quality, yield and physiological traits of Helianthus annuus L. grown under water deficit stress. Agronomy 2019, 9, 637. [Google Scholar] [CrossRef]
- Wang, Y.; Xu, Y.; Li, D.; Tang, B.; Man, S.; Jia, Y.; Xu, H. Vermicompost and biochar as bio-conditioners to immobilize heavy metal and improve soil fertility on cadmium contaminated soil under acid rain stress. Sci. Total Environ. 2018, 621, 1057–1065. [Google Scholar] [CrossRef] [PubMed]
- Farhangi-Abriz, S.; Torabian, S. Antioxidant enzyme and osmotic adjustment changes in bean seedlings as affected by biochar under salt stress. Ecotoxicol. Environ. Saf. 2017, 137, 64–70. [Google Scholar] [CrossRef] [PubMed]
- Stockle, C.O.; Williams, J.R.; Rosenberg, N.J.; Jones, C.A. A method for estimating the direct and climatic effects of rising atmospheric carbon dioxide on growth and yield of crops: Part I–Modification of the EPIC model for climate change analysis. Agric. Syst. 1992, 38, 225–238. [Google Scholar] [CrossRef]
- Farhangi-Abriz, S.; Torabian, S. Biochar improved nodulation and nitrogen metabolism of soybean under salt stress. Symbiosis 2018, 74, 215–223. [Google Scholar] [CrossRef]
- Jia, W.; Ma, C.; White, J.C.; Yin, M.; Cao, H.; Wang, J.; Wang, C.; Sun, H.; Xing, B. Effects of biochar on 2, 2′, 4, 4′, 5, 5′-hexabrominated diphenyl ether (BDE–153) fate in Amaranthus mangostanus L.: Accumulation, metabolite formation, and physiological response. Sci. Total Environ. 2019, 651, 1154–1165. [Google Scholar] [CrossRef]
- Xu, C.Y.; Hosseini-Bai, S.; Hao, Y.; Rachaputi, R.C.N.; Wang, H.; Xu, Z.; Wallace, H. Effect of biochar amendment on yield and photosynthesis of peanut on two types of soils. Environ. Sci. Pollut. Res. 2015, 22, 6112–6125. [Google Scholar] [CrossRef]
- Zou, C.; Sang, L.; Gai, Z.; Wang, Y.; Li, C. Morphological and physiological responses of sugar beet to alkaline stress. Sugar Tech 2018, 20, 202–211. [Google Scholar] [CrossRef]
- Wang, L.; Seki, K.; Miyazaki, T.; Ishihama, Y. The causes of soil alkalinization in the Songnen Plain of Northeast China. Paddy Water Environ. 2009, 7, 259–270. [Google Scholar] [CrossRef]
- Zou, C.L.; Wang, Y.B.; Liu, L.; Liu, D.; Wu, P.R.; Yang, F.F.; Wang, B.; Tong, T.; Liu, X.M.; Li, C.F. Photosynthetic capacity, osmotic adjustment and antioxidant system in sugar beet (Beta vulgaris L.) in response to alkaline stress. Photosynthetica 2019, 57, 350–360. [Google Scholar] [CrossRef]
- Dadkhah, A.; Moghtader, H. Sugar beet plant–water uptake and plant–water relationships under saline growth conditions. Comp. Biochem. Phys. 2007, 146, S275–S276. [Google Scholar] [CrossRef]
- Bower, C.A.; Moodie, C.D.; Orth, P.; Gschwend, F.B. Correlation of sugar beet yields with chemical properties of a saline-alkali soil. Soil Sci. 1954, 77, 443–452. [Google Scholar] [CrossRef]
- Ghoulam, C.; Foursy, A.; Fares, K. Effects of salt stress on growth, inorganic ions and proline accumulation in relation to osmotic adjustment in five sugar beet cultivars. Environ. Exp. Bot. 2002, 47, 39–50. [Google Scholar] [CrossRef]
- Blumwald, E.; Poole, R.J. Salt tolerance in suspension cultures of sugar beet: Induction of Na+/H+ antiport activity at the tonoplast by growth in salt. Plant Physiol. 1987, 83, 884–887. [Google Scholar] [CrossRef] [PubMed]
- Jafarzadeh, A.A.; Aliasgharzad, N. Salinity and salt composition effects on seed germination and root length of four sugar beet cultivars. Biologia 2007, 62, 562–564. [Google Scholar] [CrossRef]
- Landesman, W.J.; Dighton, J. Response of soil microbial communities and the production of plant-available nitrogen to a two-year rainfall manipulation in the New Jersey Pinelands. Soil Biol. Biochem. 2010, 42, 1751–1758. [Google Scholar] [CrossRef]
- Welsh, C.; Tenuta, M.; Flaten, D.N.; Thiessen-Martens, J.R.; Entz, M.H. High yielding organic crop management decreases plant-available but not recalcitrant soil phosphorus. Agron. J. 2009, 101, 1027–1035. [Google Scholar] [CrossRef]
- He, P.; Yang, L.P.; Xu, X.P.; Zhao, S.C.; Chen, F.; Li, S.T.; Tu, S.H.; Jin, J.Y.; Johnston, A.M. Temporal and spatial variation of soil available potassium in China (1990–2012). Field Crop Res. 2015, 173, 49–56. [Google Scholar] [CrossRef]
- Six, J.; Bossuyt, H.; Degryze, S.; Denef, K. A history of research on the link between (micro) aggregates, soil biota, and soil organic matter dynamics. Soil Tillage Res. 2004, 79, 7–31. [Google Scholar] [CrossRef]
- Khan, N.; Clark, I.; Sanchez-Monedero, M.A.; Shea, S.; Meier, S.; Qi, F.; Kookana, R.S.; Bolan, N. Physical and chemical properties of biochars co–composted with biowastes and incubated with a chicken litter compost. Chemosphere 2016, 142, 14–23. [Google Scholar] [CrossRef] [PubMed]
- Song, W.; Guo, M. Quality variations of poultry litter biochar generated at different pyrolysis temperatures. J. Anal. Appl. Pyrolysis. 2012, 94, 138–145. [Google Scholar] [CrossRef]
- Jaworski, E.G. Nitrate reductase assay in intact plant tissues. Biochem. Biophys. Res. Commun. 1971, 43, 1274–1279. [Google Scholar] [CrossRef]
- Datta, R.; Sharma, R. Temporal and spatial regulation of nitrate reductase and nitrite reductase in greening maize leaves. Plant Sci. 1999, 144, 77–83. [Google Scholar] [CrossRef]
- Nagy, Z.; Nemeth, E.; Guoth, A.; Bona, L.; Wodala, B.; Pecsvaradi, A. Metabolic indicators of drought stress tolerance in wheat: Glutamine synthetase isoenzymes and rubisco. Plant Physiol. Biochem. 2013, 67, 48–54. [Google Scholar] [CrossRef] [PubMed]
- Yasuhiro, A. Glutamate synthase in rice root extracts and the relationship among electron donors, nitrogen donors and its activity. Plant Cell Physiol. 1978, 955–961. [Google Scholar] [CrossRef]
- Giannopolitis, C.N.; Ries, S.K. Superoxide dismutases: I. Occurrence in higher plants. Plant Physiol. 1977, 59, 309–314. [Google Scholar] [CrossRef]
- Hernández, J.A.; Jiménez, A.; Mullineaux, P.; Sevilla, F. Tolerance of pea (Pisum sativum L.) to long–term salt stress is associated with induction of antioxidant defences. Plant Cell Environ. 2010, 23, 853–862. [Google Scholar] [CrossRef]
- Jingxian, Z.; Kirkham, M.B. Drought-stress-induced changes in activities of superoxide dismutase, catalase, and peroxidase in wheat species. Plant Cell Physiol. 1994, 35, 785–791. [Google Scholar] [CrossRef]
- Dhindsa, R.; Plumb, P. Leaf senescence: Correlated with increased levels of membrane permeability and lipid peroxidation and increased levels of superoxide dismutase and catalase. J. Exp. Bot. 1981, 32, 93–101. [Google Scholar] [CrossRef]
- Brouwer, R.; Gaparíková, O.; Kolek, J.; Loughman, B.C. Relation between root respiration and root activity. Plant Soil. 1981, 63, 73–76. [Google Scholar] [CrossRef]
- Arnon, D.I. Copper enzymes in isolated chloroplasts. Polyphenoloxidase beta vulgaris. Plant Physiol. 1949, 24, 1–15. [Google Scholar] [CrossRef] [PubMed]
- Sugiura, M.; Georgescu, M.N.; Takahashi, M. A nitrite transporter associated with nitrite uptake by higher plant chloroplasts. Plant Cell Physiol. 2007, 48, 1022–1035. [Google Scholar] [CrossRef] [PubMed]
- Rockel, P.; Strube, F.; Rockel, A.; Wildt, J.; Kaiser, W. Regulation of nitric oxide (NO) production by plant nitrate reductase in vivo. J. Exp. Bot. 2002, 53, 103–110. [Google Scholar] [CrossRef] [PubMed]
- Miflin, B.J.; Habash, D.Z. The role of glutamine synthetase and glutamate dehydrogenase in nitrogen assimilation and possibilities for improvement in the nitrogen utilization of crops. J. Exp. Bot. 2002, 53, 979–987. [Google Scholar] [CrossRef] [PubMed]
- Hoff, T.; Stummann, B.M.; Henningsen, K.W. Structure, function and regulation of nitrate reductase in higher plants. Physiol. Plant. 1992, 84, 616–624. [Google Scholar] [CrossRef]
- Cordovilla, M.D.P.; Ligero, F.; Lluch, C. Influence of host genotypes on growth, symbiotic performance and nitrogen assimilation in faba bean (Vicia faba L.) under salt stress. Plant Soil. 1995, 172, 289–297. [Google Scholar] [CrossRef]
- Lory, J.A.; Randall, G.W.; Russelle, M.P. Crop Sequence Effects on Response of Corn and soil inorganic nitrogen to fertilizer and manure nitrogen. Agron. J. 1995, 87, 876–883. [Google Scholar] [CrossRef]
- Mierzwa-Hersztek, M.; Klimkowicz-Pawlas, A.; Gondek, K. Influence of Poultry Litter and Poultry Litter Biochar on Soil Microbial Respiration and Nitrifying Bacteria Activity. Waste Biomass Valori. 2018, 9, 379–389. [Google Scholar] [CrossRef]
- Parihar, P.; Singh, S.; Singh, R.; Singh, V.P.; Prasad, S.M. Effect of salinity stress on plants and its tolerance strategies: A review. Environ. Sci. Pollut. Res. 2015, 22, 4056–4075. [Google Scholar] [CrossRef]
- Jia, W.L.; Wang, C.P.; Ma, C.X.; Wang, J.C.; Sun, H.W.; Xing, B.S. Mineral elements uptake and physiological response of Amaranthus mangostanus (L.) as affected by biochar. Ecotoxicol. Environ. Saf. 2019, 175, 58–65. [Google Scholar] [CrossRef] [PubMed]
- Abunyewa, A.A.; Osei, C.; Asiedu, E.K.; Safo, E.Y. Integrated manure and fertilizer use, maize production and sustainable soil fertility in sub humid zone of west africa. Agron. J. 2007, 6, 302–309. [Google Scholar] [CrossRef]
- Jaiswal, A.K.; Alkan, N.; Elad, Y.; Sela, N.; Philosoph, A.M.; Graber, E.R.; Frenkel, O. Molecular insights into biochar-mediated plant growth promotion and systemic resistance in tomato against Fusarium crown and root rot disease. Sci. Rep. 2020, 10, 13934. [Google Scholar] [CrossRef] [PubMed]
- Maksimovic, J.D.; Zhang, J.Y.; Zeng, F.R.; Zivanovic, B.D.; Shabala, L.; Zhou, M.X.; Shabala, S. Linking oxidative and salinity stress tolerance in barley: Can root antioxidant enzyme activity be used as a measure of stress tolerance? Plant Soil. 2013, 365, 141–155. [Google Scholar] [CrossRef]
- Kreslavski, V.D.; Los, D.A.; Allakhverdiev, S.I.; Kuznetsov, V.V. Signaling role of reactive oxygen species in plants under stress. Russ. J. Plant Physiol. 2012, 59, 141–154. [Google Scholar] [CrossRef]
- Karanatsidis, G.; Berova, M. Effect of organinc-N fertilizer on growth and some physiological parameters in pepper plants (Capsicum Annum L.). Biotechnol. Biotechnol. Equip. 2009, 23, 254–257. [Google Scholar] [CrossRef][Green Version]
- Johnsen, G.; Sakshaug, E. Biooptical characteristics of PSII and PSI in 33 species (13 pigment groups) of marine phytoplankton, and the relevance for pulse-amplitude-modulated and fast–repetition–rate fluorometry. J. Phycol. 2007, 43, 1236–1251. [Google Scholar] [CrossRef]
- Behera, R.K.; Choudhury, N.K. Photosynthetic characteristics of chloroplasts of primary wheat leaves grown under different irradiance. Photosynthetica 2001, 39, 11–15. [Google Scholar] [CrossRef]
- Demmig, B.; Bjorkman, O. Comparison of the effect of excessive light on chlorophyll fluorescence (77K) and photon yield of O2 evolution in leaves of higher plants. Planta 1987, 171, 171–184. [Google Scholar] [CrossRef]
- Athar, H.U.R.; Zafar, Z.U.; Ashraf, M. Glycinebetaine improved photosynthesis in canola under salt stress: Evaluation of chlorophyll fluorescence parameters as potential indicators. J. Agron. Crop Sci. 2015, 201, 428–442. [Google Scholar] [CrossRef]
- Wang, X.Y.; Xu, X.M.; Cui, J. The importance of blue light for leaf area expansion, development of photosynthetic apparatus, and chloroplast ultrastructure of cucumis sativus grown under weak light. Photosynthetica 2015, 53, 213–222. [Google Scholar] [CrossRef]
- Zhang, J.T.; Mu, C.S. Effects of saline and alkaline stresses on the germination, growth, photosynthesis, ionic balance and anti-oxidant system in an alkali-tolerant leguminous forage Lathyrus quinquenervius. Soil Sci. Plant Nutr. 2009, 55, 685–697. [Google Scholar] [CrossRef]
- Greenway, H.; Munns, R.; Wolfe, J. Interactions between growth, Cl− and Na+ uptake, and water relations of plants in saline environments. I. Slightly vacuolated cells. Plant Cell Environ. 2010, 6, 567–574. [Google Scholar] [CrossRef]
Publisher’s Note: MDPI stays neutral with regard to jurisdictional claims in published maps and institutional affiliations. |







| pH | Electrical Conductivity EC1:5 (mS cm−1) | Available Nitrogen (mg kg−1) | Available Phosphorus (mg kg−1) | Available Potassium (mg kg−1) | Organic Matter (g kg−1) | |
|---|---|---|---|---|---|---|
| Neutral soil | 7.37 | 0.26 | 123.12 | 117.26 | 171.58 | 37.33 |
| Saline-alkaline soil | 9.08 | 1.12 | 114.31 | 62.95 | 127.41 | 18.75 |
| Treatments | Days after Sowing (d) | |||||
|---|---|---|---|---|---|---|
| 50 | 70 | 90 | 110 | 130 | ||
| CK | 0.747 ± 0.019 a | 0.775 ± 0.022 a | 0.765 ± 0.033 a | 0.793 ± 0.017 a | 0.782 ± 0.002 a | |
| Fv/Fm | SA | 0.574 ± 0.022 b | 0.552 ± 0.024 b | 0.656 ± 0.038 b | 0.674 ± 0.012 c | 0.679 ± 0.004 c |
| SA + B | 0.713 ± 0.002 a | 0.735 ± 0.015 a | 0.751 ± 0.029 a | 0.762 ± 0.004 b | 0.756 ± 0.002 b | |
| CK | 0.855 ± 0.007 a | 0.821 ± 0.004 a | 0.846 ± 0.005 a | 0.824 ± 0.009 a | 0.783 ± 0.006 a | |
| qp | SA | 0.663 ± 0.089 b | 0.579 ± 0.084 b | 0.535 ± 0.022 c | 0.693 ± 0.029 b | 0.634 ± 0.023 c |
| SA + B | 0.817 ± 0.003 a | 0.727 ± 0.039 a | 0.801 ± 0.005 a | 0.797 ± 0.026 a | 0.748 ± 0.011 b | |
| CK | 55.5 ± 0.8 a | 56.4 ± 0.4 a | 54.0 ± 0.4 a | 52.7 ± 1.3 a | 48.1 ± 0.3 a | |
| ETR | SA | 45.3 ± 0.5 b | 48.7 ± 1.1 c | 42.2 ± 3.9 b | 41.4 ± 0.9 c | 33.1 ± 0.7 c |
| SA + B | 54.2 ± 0.6 a | 54.9 ± 0.5 b | 51.9 ± 0.5 a | 50.2 ± 0.8 b | 44.4 ± 1.4 b | |
| CK | 0.649 ± 0.006 a | 0.618 ± 0.047 a | 0.641 ± 0.005 a | 0.592 ± 0.007 a | 0.545 ± 0.007 a | |
| ΦPSII | SA | 0.478 ± 0.021 c | 0.429 ± 0.057 b | 0.464 ± 0.021 c | 0.566 ± 0.008 b | 0.427 ± 0.029 b |
| SA + B | 0.582 ± 0.009 b | 0.539 ± 0.016 a | 0.603 ± 0.011 b | 0.592 ± 0.007 a | 0.513 ± 0.007 a | |
| CK | 2.86 ± 0.29 a | 3.48 ± 0.45 a | 3.31 ± 0.66 a | 3.84 ± 0.22 a | 3.61 ± 0.04 a | |
| Fv/Fo | SA | 1.35 ± 0.13 c | 1.24 ± 0.12 c | 1.93 ± 0.32 b | 2.07 ± 0.12 c | 2.11 ± 0.04 c |
| SA + B | 2.45 ± 0.03 b | 2.78 ± 0.22 b | 3.06 ± 0.52 a | 3.21 ± 0.06 b | 3.10 ± 0.04 b | |
© 2020 by the authors. Licensee MDPI, Basel, Switzerland. This article is an open access article distributed under the terms and conditions of the Creative Commons Attribution (CC BY) license (http://creativecommons.org/licenses/by/4.0/).
Share and Cite
Zhang, P.; Yang, F.; Zhang, H.; Liu, L.; Liu, X.; Chen, J.; Wang, X.; Wang, Y.; Li, C. Beneficial Effects of Biochar-Based Organic Fertilizer on Nitrogen Assimilation, Antioxidant Capacities, and Photosynthesis of Sugar Beet (Beta vulgaris L.) under Saline-Alkaline Stress. Agronomy 2020, 10, 1562. https://doi.org/10.3390/agronomy10101562
Zhang P, Yang F, Zhang H, Liu L, Liu X, Chen J, Wang X, Wang Y, Li C. Beneficial Effects of Biochar-Based Organic Fertilizer on Nitrogen Assimilation, Antioxidant Capacities, and Photosynthesis of Sugar Beet (Beta vulgaris L.) under Saline-Alkaline Stress. Agronomy. 2020; 10(10):1562. https://doi.org/10.3390/agronomy10101562
Chicago/Turabian StyleZhang, Pengfei, Fangfang Yang, He Zhang, Lei Liu, Xinyu Liu, Jingting Chen, Xin Wang, Yubo Wang, and Caifeng Li. 2020. "Beneficial Effects of Biochar-Based Organic Fertilizer on Nitrogen Assimilation, Antioxidant Capacities, and Photosynthesis of Sugar Beet (Beta vulgaris L.) under Saline-Alkaline Stress" Agronomy 10, no. 10: 1562. https://doi.org/10.3390/agronomy10101562
APA StyleZhang, P., Yang, F., Zhang, H., Liu, L., Liu, X., Chen, J., Wang, X., Wang, Y., & Li, C. (2020). Beneficial Effects of Biochar-Based Organic Fertilizer on Nitrogen Assimilation, Antioxidant Capacities, and Photosynthesis of Sugar Beet (Beta vulgaris L.) under Saline-Alkaline Stress. Agronomy, 10(10), 1562. https://doi.org/10.3390/agronomy10101562
