Poly(tris(4-carbazoyl-9-ylphenyl)amine)/Three Poly(3,4-ethylenedioxythiophene) Derivatives in Complementary High-Contrast Electrochromic Devices
Abstract
:1. Introduction
2. Materials and Methods
2.1. Materials
2.2. Synthesis of Tris(4-carbazoyl-9-ylphenyl)amine (tCz)
2.3. Electrosynthesis of PtCz, PProDOT-Me2, and PProDOT-Et2 Films
2.4. Electrochromic Characterization
2.5. Preparation of Electrochromic Electrolytes
2.6. Fabrication of the ECDs
3. Results and Discussion
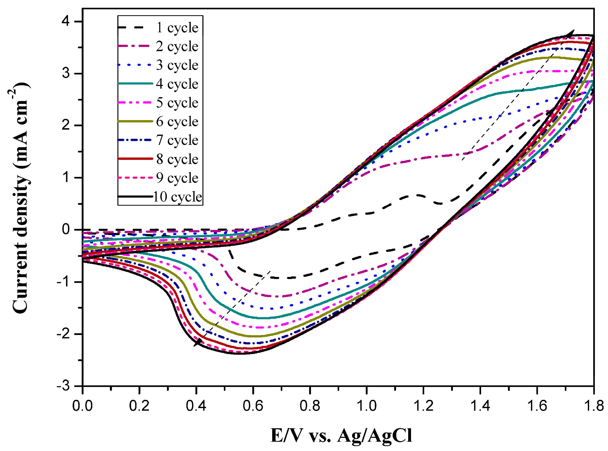
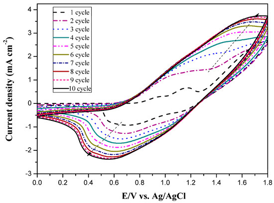
3.1. Electrochemistry of tCz and Its Electrochemical Polymerization
3.2. Electrochemical Behavior of PtCz Films
3.3. Spectroelectrochemistry of PtCz and PProDOT-Me2 Films
3.4. Electrochemical Switching of PtCz Film
3.5. Spectroelectrochemistry of PtCz/PEDOT, PtCz/PProDOT-Me2, and PtCz/PProDOT-Et2 ECDs
3.6. Open Circuit Memory of ECDs
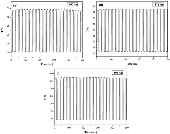
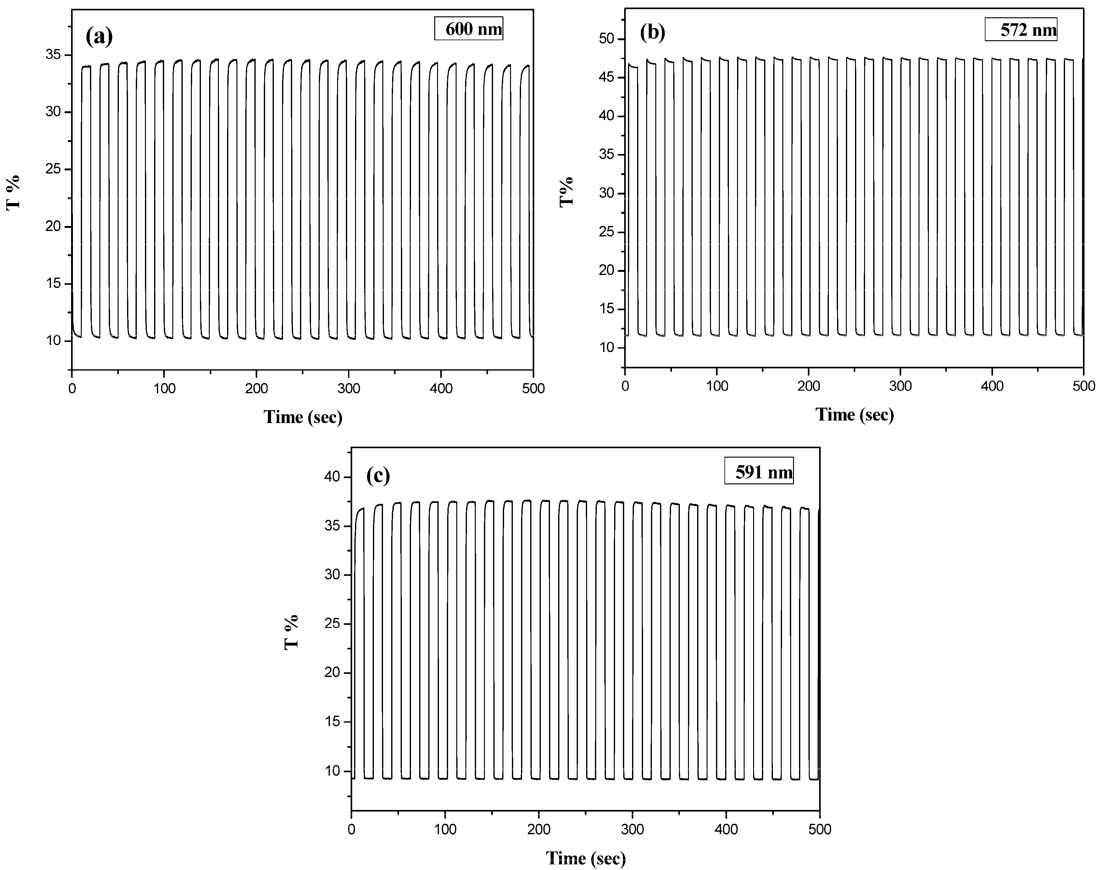
3.7. Long-Term Stability of ECDs
4. Conclusions
Acknowledgments
Author Contributions
Conflicts of Interest
References
- Mao, L.; Li, Y.; Chi, C.Y.; Chan, H.S.O.; Wu, J.S. Conjugated polyfluorene imidazolium ionic liquids intercalated reduced graphene oxide for high performance supercapacitor electrodes. Nano Energy 2014, 6, 119–128. [Google Scholar] [CrossRef]
- Fu, W.C.; Hsieh, Y.T.; Wu, T.Y.; Sun, I.W. Electrochemical preparation of porous poly(3,4-ethylenedioxythiophene) electrodes from room temperature ionic liquids for supercapacitors. J. Electrochem. Soc. 2016, 163, G61–G68. [Google Scholar] [CrossRef]
- Wu, T.Y.; Kuo, C.W.; Chen, Y.L.; Chang, J.K. Copolymers based on indole-6-carboxylic acid and 3,4-ethylenedioxythiophene as platinum catalyst support for methanol oxidation. Catalysts 2015, 5, 1657–1672. [Google Scholar] [CrossRef]
- Wu, T.Y.; Chen, B.K.; Chang, J.K.; Chen, P.R.; Kuo, C.W. Nanostructured poly(aniline-co-metanilic acid) as platinum catalyst support for electro-oxidation of methanol. Int. J. Hydrogen Energy 2015, 40, 2631–2640. [Google Scholar] [CrossRef]
- Kuo, C.W.; Kuo, Z.Y.; Jow, J.J.; Wu, T.Y.; Chen, J.Y.; Zhu, X.X. Enhanced electrocatalytic performance for methanol oxidation via insertion of ruthenium oxide particles into Pt and polyaniline-poly(acrylic acid-co-maleic acid) composite electrode. Int. J. Electrochem. Sci. 2012, 7, 4974–4987. [Google Scholar] [CrossRef]
- Smela, E. Conjugated polymer actuators for biomedical applications. Adv. Mater. 2003, 15, 481–494. [Google Scholar] [CrossRef]
- Wu, T.Y.; Lee, N.C.; Chen, Y. Synthesis and characterization of new poly(p-phenylenevinylene) derivative containing 5,5′-diphenyl-2,2-p-(2,5-bis-hexyloxyphenylene)-bis-1,3,4-oxadiazole and distyrylbenzene moieties. Synth. Met. 2003, 139, 263–269. [Google Scholar] [CrossRef]
- Al-Asbahi, B.A.; Haji Jumali, M.H.; AlSalhi, M.S. Enhanced optoelectronic properties of PFO/fluorol 7GA hybrid light emitting diodes via additions of TiO2 nanoparticles. Polymers 2016, 8, 334. [Google Scholar] [CrossRef]
- Wu, T.Y.; Chen, Y. Synthesis, optical and electrochemical properties of novel copolymers containing alternate 2,3-quinoxaline and hole-transporting units. J. Polym. Sci. Part A Polym. Chem. 2002, 40, 4570–4580. [Google Scholar] [CrossRef]
- Hsiao, S.H.; Chiu, Y.T. Electrosynthesis and electrochromic properties of poly(amide-triarylamine)s containing triptycene units. RSC Adv. 2015, 5, 90941–90951. [Google Scholar] [CrossRef]
- Triantou, D.; Soulis, S.; Asaftei, C.S.; Janietz, S. Effect of the acceptor moiety on the electrochemical and electrochromic properties of donor-acceptor-donor polymer films. Int. J. Electrochem. Sci. 2015, 10, 3458–3477. [Google Scholar]
- Hsiao, S.H.; Teng, C.Y.; Kung, Y.R. Synthesis and characterization of novel electrochromic poly(amide-imide)s with N,N′-di(4-methoxyphenyl)-N,N′-diphenyl-p-phenylenediamine units. RSC Adv. 2015, 5, 93591–93606. [Google Scholar] [CrossRef]
- Lam, K.T.; Hsiao, Y.J.; Ji, L.W.; Fang, T.H.; Shih, W.S.; Lin, J.N. Characteristics of polymer-fullerene solar cells with ZnS nanoparticles. Int. J. Electrochem. Sci. 2015, 10, 3914–3922. [Google Scholar]
- Wu, T.Y.; Sheu, R.B.; Chen, Y. Synthesis and optically acid-sensory and electrochemical properties of novel polyoxadiazole derivatives. Macromolecules 2004, 37, 725–733. [Google Scholar] [CrossRef]
- Choi, S.; Kim, Y. Gold nanoparticle-based fluorescent “turn-on” sensing system for the selective detection of mercury ions in aqueous solution. RSC Adv. 2015, 5, 95268–95272. [Google Scholar] [CrossRef]
- Wu, T.Y.; Chen, Y. Poly(phenylene vinylene)-based copolymers containing 3,7-phenothiazylene and 2,6-pyridylene chromophores: Fluorescence sensors for acids, metal ions, and oxidation. J. Polym. Sci. Part A Polym. Chem. 2004, 42, 1272–1284. [Google Scholar] [CrossRef]
- Wu, T.Y.; Chen, Y. Synthesis and characterization of novel luminescent polymers with alternate phenothiazine and divinylbenzene units. J. Polym. Sci. Part A Polym. Chem. 2002, 40, 4452–4462. [Google Scholar] [CrossRef]
- Hsiao, S.H.; Hsueh, J.C. Electrochemical synthesis and electrochromic properties of new conjugated polycarbazoles from di(carbazol-9-yl)-substituted triphenylamine and N-phenylcarbazole derivatives. J. Electroanal. Chem. 2015, 758, 100–110. [Google Scholar] [CrossRef]
- Hsiao, S.H.; Wu, L.C. Fluorescent and electrochromic polymers from 2,8-di(carbazol-9-yl)dibenzothiophene and its S,S-dioxide derivative. Dye Pigments 2016, 134, 51–63. [Google Scholar] [CrossRef]
- Liu, J.; Mi, S.; Xu, Z.; Wu, J.; Zheng, J.; Xu, C. Solution-processable thiophene-based electrochromic polymers bearing trifluoromethyl rather than long side chains. Org. Electron. 2016, 37, 169–177. [Google Scholar] [CrossRef]
- Ahmad, S.; Gursoy, S.S.; Kazim, S.; Uygun, A. Growth of N-substituted polypyrrole layers in ionic liquids: Synthesis and its electrochromic properties. Sol. Energy Mater. Sol. Cells 2012, 99, 95–100. [Google Scholar] [CrossRef]
- Hacioglu, S.O.; Yiğit, D.; Ermis, E.; Soylemez, S.; Güllü, M.; Toppare, L. Syntheses and electrochemical characterization of low oxidation potential nitrogen analogs of pedot as electrochromic materials. J. Electrochem. Soc. 2016, 163, E293–E299. [Google Scholar] [CrossRef]
- Wu, T.Y.; Chen, P.R.; Chen, H.R.; Kuo, C.W. Preparation of Pt/poly(aniline-co-orthanilic acid)s nanocomposites and their applications for electrocatalytic oxidation of methanol. J. Taiwan Inst. Chem. Eng. 2016, 58, 458–466. [Google Scholar] [CrossRef]
- Soyleyici, S.; Karakus, M.; Ak, M. Transparent-blue colored dual type electrochromic device: Switchable glass application of conducting organic-inorganic hybrid carbazole polymer. J. Electrochem. Soc. 2016, 163, H679–H683. [Google Scholar] [CrossRef]
- Cansu-Ergun, E.G.; Onal, A.M.; Cihaner, A. Propylenedioxy and benzimidazole based electrochromic polymers. J. Electrochem. Soc. 2016, 163, G53–G60. [Google Scholar] [CrossRef]
- Sassi, M.; Salamone, M.M.; Ruffo, R.; Patriarca, G.E.; Mari, C.M.; Pagani, G.A.; Posset, U.; Beverina, L. Organic electrochromic polymers: State-of-the-art neutral tint multichromophoric polymers for high-contrast see-through electrochromic devices. Adv. Funct. Mater. 2016, 26, 5240–5246. [Google Scholar] [CrossRef]
- Karon, K.; Lapkowski, M.; Dabuliene, A.; Tomkeviciene, A.; Kostiv, N.; Grazulevicius, J.V. Spectroelectrochemical characterization of conducting polymers from star-shaped carbazole-triphenylamine compounds. Electrochim. Acta 2015, 154, 119–127. [Google Scholar] [CrossRef]
- Welsh, D.M.; Kumar, A.; Meijer, E.W.; Reynolds, J.R. Enhanced contrast ratio and rapid switching in electrochromics based on poly(3,4-propylenedioxythiophene) derivatives. Adv. Mater. 1999, 11, 1379–1382. [Google Scholar] [CrossRef]
- Hsiao, S.H.; Lin, S.W. Electrochemical synthesis of electrochromic polycarbazole films from N-phenyl-3,6-bis(N-carbazolyl)carbazoles. Polym. Chem. 2016, 7, 198–211. [Google Scholar] [CrossRef]
- Wu, T.Y.; Su, Y.S. Electrochemical synthesis and characterization of 1,4-benzodioxan-based electrochromic polymer and its application in electrochromic devices. J. Electrochem. Soc. 2015, 162, G103–G112. [Google Scholar] [CrossRef]
- Chang, K.H.; Wang, H.P.; Wu, T.Y.; Sun, I.W. Optical and electrochromic characterizations of four 2,5-dithienylpyrrole-based conducting polymer films. Electrochim. Acta 2014, 119, 225–235. [Google Scholar] [CrossRef]
- Wu, T.Y.; Li, W.B.; Kuo, C.W.; Chou, C.F.; Liao, J.W.; Chen, H.R.; Tseng, C.G. Study of poly(methyl methacrylate)-based gel electrolyte for electrochromic device. Int. J. Electrochem. Sci. 2013, 8, 10720–10732. [Google Scholar]
- Wu, T.Y.; Chung, H.H. Applications of tris(4-(thiophen-2-yl)phenyl)amine- and dithienylpyrrole-based conjugated copolymers in high-contrast electrochromic devices. Polymers 2016, 8, 206. [Google Scholar] [CrossRef]
- Vernardou, D.; Paterakis, P.; Drosos, H.; Spanakis, E.; Povey, I.M.; Pemble, M.E.; Koudoumas, E.; Katsarakis, N. A study of the electrochemical performance of vanadium oxide thin films grown by atmospheric pressure chemical vapour deposition. Sol. Energy Mater. Sol. Cells 2011, 95, 2842–2847. [Google Scholar] [CrossRef]
- Vernardou, D.; Louloudakis, D.; Spanakis, E.; Katsarakis, N.; Koudoumas, E. Electrochemical properties of vanadium oxide coatings grown by hydrothermal synthesis on FTO substrates. New J. Chem. 2014, 38, 1959–1964. [Google Scholar] [CrossRef]
- Louloudakis, D.; Vernardou, D.; Spanakis, E.; Katsarakis, N.; Koudoumas, E. Electrochemical properties of vanadium oxide coatings grown by APCVD on glass substrates. Surf. Coat. Technol. 2013, 230, 186–189. [Google Scholar] [CrossRef]
- Wang, B.; Zhao, J.; Xiao, J.; Cui, C.; Liu, R. Synthesis and electropolymerization of 9H-carbazol-9-ylpyrene and its electrochromic properties and electrochromic device application. Int. J. Electrochem. Sci. 2012, 7, 2781–2795. [Google Scholar]
- Kuo, C.-W.; Wu, T.-L.; Lin, Y.-C.; Chang, J.-K.; Chen, H.-R.; Wu, T.-Y. Copolymers based on 1,3-bis(carbazol-9-yl)benzene and three 3,4-ethylenedioxythiophene derivatives as potential anodically coloring copolymers in high-contrast electrochromic devices. Polymers 2016, 8, 368. [Google Scholar] [CrossRef]
- Hu, B.; Lv, X.; Sun, J.; Bian, G.; Ouyang, M.; Fu, Z.; Wang, P.; Zhang, C. Effects on the electrochemical and electrochromic properties of 3,6 linked polycarbazole derivative by the introduction of different acceptor groups and copolymerization. Org. Electron. 2013, 14, 1521–1530. [Google Scholar] [CrossRef]
- Udum, Y.A.; Gündoğdu Hızlıateş, C.; Ergün, Y.; Toppare, L. Electrosynthesis and characterization of an electrochromic material containing biscarbazole–oxadiazole units and its application in an electrochromic device. Thin Solid Films 2015, 595, 61–67. [Google Scholar] [CrossRef]
- Kuo, C.W.; Wu, T.Y.; Huang, M.W. Electrochromic characterizations of copolymers based on 4,4′-bis(N-carbazolyl)-1,1′-biphenyl and indole-6-carboxylic acid and their applications in electrochromic devices. J. Taiwan Inst. Chem. Eng. 2016, 68, 481–488. [Google Scholar] [CrossRef]
- Kuo, C.W.; Chen, B.K.; Li, W.B.; Tseng, L.Y.; Wu, T.Y.; Tseng, C.G.; Chen, H.R.; Huang, Y.C. Effects of supporting electrolytes on spectroelectrochemical and electrochromic properties of polyaniline-poly(styrene sulfonic acid) and poly(ethylenedioxythiophene)-poly(styrene sulfonic acid)-based electrochromic device. J. Chin. Chem. Soc. 2014, 61, 563–570. [Google Scholar] [CrossRef]
- Koyuncu, S.; Gultekin, B.; Zafer, C.; Bilgili, H.; Can, M.; Demic, S.; Kaya, I.; Icli, S. Electrochemical and optical properties of biphenyl bridged-dicarbazole oligomer films: Electropolymerization and electrochromism. Electrochim. Acta 2009, 54, 5694–5702. [Google Scholar] [CrossRef]
- Seshadri, V.; Padilla, J.; Bircan, H.; Radmard, B.; Draper, R.; Wood, M.; Otero, T.F.; Sotzing, G.A. Optimization, preparation, and electrical short evaluation for 30 cm2 active area dual conjugated polymer electrochromic windows. Org. Electron. 2007, 8, 367–381. [Google Scholar] [CrossRef]
- Kuo, C.W.; Hsieh, T.H.; Hsieh, C.K.; Liao, J.W.; Wu, T.Y. Electrosynthesis and characterization of four electrochromic polymers based on carbazole and indole-6-carboxylic acid and their applications in high-contrast electrochromic devices. J. Electrochem. Soc. 2014, 161, D782–D790. [Google Scholar] [CrossRef]
- Wang, B.; Zhao, J.; Liu, R.; Liu, J.; He, Q. Electrosyntheses, characterizations and electrochromic properties of a copolymer based on 4,4′-di(N-carbazoyl)biphenyl and 2,2′-bithiophene. Sol. Energy Mater. Sol. Cells 2011, 95, 1867–1874. [Google Scholar] [CrossRef]
- Chen, S.; Gao, Q.; Zhao, J.; Cui, C.; Yang, W.; Zhang, X. Electrosyntheses, characterizations and electrochromic properties of a novel copolymer of 4,4′-di(N-carbazoyl)biphenyl with 4H-cyclopenta[2,1-b:3,4-b′]dithiophene. Int. J. Electrochem. Sci. 2012, 7, 5256–5272. [Google Scholar]
- Wu, T.Y.; Liao, J.W.; Chen, C.Y. Electrochemical synthesis, characterization and electrochromic properties of indan and 1,3-benzodioxole-based poly(2,5-dithienylpyrrole) derivatives. Electrochim. Acta 2014, 150, 245–262. [Google Scholar] [CrossRef]
- Soganci, T.; Soyleyici, H.C.; Ak, M.; Cetisli, H. An amide substituted dithienylpyrrole based copolymer: Its electrochromic properties physical and analytical electrochemistry, electrocatalysis, and photoelectrochemistry. J. Electrochem. Soc. 2016, 163, H59–H66. [Google Scholar] [CrossRef]
- Cui, C.; Xu, C.; Xu, L.; Zhao, J.; Liu, R.; Liu, J.; He, Q.; Wang, H. Electrosynthesis and characterization of a multielectrochromic copolymer of 1,4-bis(2-thienyl)-naphthalene with 2,2′-bithiophene. Opt. Mater. 2011, 33, 1792–1799. [Google Scholar] [CrossRef]
- Cui, C.; Xu, L.; Zhao, J.; He, Q.; Wang, B. Electrosynthesis and characterization of a new multielectrochromic copolymer of 1,4-bis(2-thienyl)benzene with 3,4-ethylenedioxythiophene. J. Appl. Polym. Sci. 2012, 125, 3591–3601. [Google Scholar] [CrossRef]










| Electrodes | Cathodic polymer | Feed species | Deposition amount of cathode |
|---|---|---|---|
| (a) | PEDOT | 8 mM EDOT | 50 mC |
| (b) | PProDOT-Me2 | 10 mM ProDOT-Me2 | 50 mC |
| (c) | PProDOT-Et2 | 17 mM ProDOT-Et2 | 50 mC |
| Electrodes | Potential (V) | L* | a* | b* | x | y | Diagrams |
|---|---|---|---|---|---|---|---|
| PtCz | 0.0 | 73.95 | 5.59 | 15.85 | 0.4770 | 0.4159 | ![]() |
| 1.0 | 74.84 | 6.13 | 24.13 | 0.4864 | 0.4226 | ||
| 1.3 | 73.46 | 3.02 | 21.02 | 0.4778 | 0.4248 | ||
| 1.5 | 68.67 | −1.78 | 11.72 | 0.4588 | 0.4239 | ||
| 1.7 | 64.66 | −3.54 | 6.65 | 0.4490 | 0.4215 | ||
| 1.8 | 61.15 | −3.02 | 5.17 | 0.4482 | 0.4193 | ||
| PProDOT-Me2 | −1.5 | 49.73 | 6.28 | −46.01 | 0.3710 | 0.3162 | ![]() |
| −1.0 | 60.60 | 5.54 | −31.57 | 0.4078 | 0.6232 | ||
| −0.8 | 78.43 | 3.60 | −10.50 | 0.4411 | 0.3911 | ||
| −0.4 | 88.43 | −2.94 | −5.89 | 0.4362 | 0.4050 | ||
| −0.2 | 88.98 | −2.68 | −5.85 | 0.4368 | 0.4048 | ||
| 0.0 | 89.37 | −2.56 | −5.18 | 0.4378 | 0.4053 |
| PtCz film and ECDs | N | Tox (%) | Tred (%) | ΔT (%) | ΔOD | η (cm2∙C−1) | τc/s | τb/s |
|---|---|---|---|---|---|---|---|---|
| PtCz (760 nm) a | 3 | 33.0 | 63.5 | 30.5 | −0.28 | 54.8 | 5.5 | 5.0 |
| PtCz/PEDOT | 3 | 10.4 | 34.4 | 24.0 | −0.52 | 234.9 | 0.6 | 1.0 |
| (600 nm) a | 50 | 10.8 | 33.0 | 22.2 | −0.49 | 256.5 | 0.2 | 0.2 |
| Ptz/PProDOT-Me2 | 3 | 11.6 | 47.6 | 36.0 | −0.61 | 248.4 | 0.2 | 0.6 |
| (572 nm) a | 50 | 12.0 | 47.0 | 35.0 | −0.59 | 343.4 | 0.2 | 0.2 |
| PtCz/PProDOT-Et2 | 3 | 9.3 | 37.3 | 28.0 | −0.60 | 336.8 | 0.4 | 0.3 |
| (591 nm) a | 50 | 9.8 | 36.4 | 26.6 | −0.57 | 330.7 | 0.1 | 0.1 |
| Carbazole-based polymer films | ΔTmax (%) | η (cm2∙C−1) | Ref. |
|---|---|---|---|
| poly(9H-carbazol-9-ylpyrene) | 29 (460 nm) | --- | [37] |
| poly(1,3-bis(carbazol-9-yl)benzene) | 18.6 (1050 nm) | 180.3 | [38] |
| poly(ethyl-4-(3,6-di(thiophen-2-yl)-9H-carbazole-9-yl)-benzoate) | 36 (1100 nm) | --- | [39] |
| poly(2,5-bis(9-methyl-9H-carbazol-3-yl)-1,3,4-oxadiazole) | 75 (660 nm) | --- | [40] |
| poly(3,6-di(carbazol-9-yl)-N-(4-nitrophenyl)-carbazole) | 52 (710 nm) | 35 | [29] |
| poly(4,4′-bis(N-carbazolyl)-1,1′-biphenyl) | 44.1 (800 nm) | 98 | [41] |
| PtCz | 30.5 (760 nm) | 54.8 | This work |
| ECD | Potential (V) | Photographs | L* | a* | b* | x | y | Diagram |
|---|---|---|---|---|---|---|---|---|
| PtCz/PProDOT-Me2 | −0.8 | ![]() | 85.06 | −1.40 | 26.92 | 0.472 | 0.434 | ![]() |
| 0.0 | ![]() | 80.27 | −0.28 | 19.04 | 0.468 | 0.427 | ||
| 0.8 | ![]() | 61.82 | 2.72 | −8.38 | 0.441 | 0.392 | ||
| 1.2 | ![]() | 56.30 | 4.46 | −17.66 | 0.428 | 0.374 | ||
| 1.5 | ![]() | 54.18 | 5.26 | −21.30 | 0.423 | 0.366 |
| ECD configuration | ΔTmax (%) | ηmax (cm2∙C−1) | Ref. |
|---|---|---|---|
| poly(4,4′-di(N-carbazolyl)biphenyl)/PEDOT | 19 (550 nm) | --- | [43] |
| poly(9H-carbazol-9-ylpyrene)/PEDOT | 23 (623 nm) | 290 | [37] |
| poly(3,6-bis(2-(3,4-ethylenedioxy)thienyl)-N-methylcarbazole)/PEDOT | ca. 30 | --- | [44] |
| poly(carbazole-co-indole-6-carboxylic acid)/PProDOT-Me2 | 32 (575 nm) | 372.7 | [45] |
| poly(4,4′-di(N-carbazoyl)biphenyl-co-2,2′-bithiophene)/PEDOT | 28.6 (700 nm) | 234 | [46] |
| poly(4,4′-di(N-carbazoyl)biphenyl-co-4H-cyclopenta[2,1-b:3,4-b′]dithiophene)/PEDOT | 39.8 (628 nm) | 319.98 | [47] |
| poly(2,5-bis(9-methyl-9H-carbazol-3-yl)-1,3,4-oxadiazole)/PEDOT | 35 (620 nm) | --- | [40] |
| PtCz/PProDOT-Me2 | 36 (572 nm) | 343.4 | This work |
© 2017 by the authors. Licensee MDPI, Basel, Switzerland. This article is an open access article distributed under the terms and conditions of the Creative Commons Attribution (CC BY) license (http://creativecommons.org/licenses/by/4.0/).
Share and Cite
Kuo, C.-W.; Chang, J.-K.; Lin, Y.-C.; Wu, T.-Y.; Lee, P.-Y.; Ho, T.-H. Poly(tris(4-carbazoyl-9-ylphenyl)amine)/Three Poly(3,4-ethylenedioxythiophene) Derivatives in Complementary High-Contrast Electrochromic Devices. Polymers 2017, 9, 543. https://doi.org/10.3390/polym9100543
Kuo C-W, Chang J-K, Lin Y-C, Wu T-Y, Lee P-Y, Ho T-H. Poly(tris(4-carbazoyl-9-ylphenyl)amine)/Three Poly(3,4-ethylenedioxythiophene) Derivatives in Complementary High-Contrast Electrochromic Devices. Polymers. 2017; 9(10):543. https://doi.org/10.3390/polym9100543
Chicago/Turabian StyleKuo, Chung-Wen, Jeng-Kuei Chang, Yuan-Chung Lin, Tzi-Yi Wu, Po-Ying Lee, and Tsung-Han Ho. 2017. "Poly(tris(4-carbazoyl-9-ylphenyl)amine)/Three Poly(3,4-ethylenedioxythiophene) Derivatives in Complementary High-Contrast Electrochromic Devices" Polymers 9, no. 10: 543. https://doi.org/10.3390/polym9100543
APA StyleKuo, C.-W., Chang, J.-K., Lin, Y.-C., Wu, T.-Y., Lee, P.-Y., & Ho, T.-H. (2017). Poly(tris(4-carbazoyl-9-ylphenyl)amine)/Three Poly(3,4-ethylenedioxythiophene) Derivatives in Complementary High-Contrast Electrochromic Devices. Polymers, 9(10), 543. https://doi.org/10.3390/polym9100543









