Eco-Friendly Filtrate Control in Drilling Fluids: Itaconic Acid-Grafted Corn Starch from Natural Organic Materials with Thermal and Salt/Calcium Resistance
Abstract
1. Introduction
2. Materials and Methods
2.1. Experimental Materials
2.2. Preparation of IACS
- (1)
- Add 5.0 g corn starch and 100 mL deionized water to a 250 mL three-neck flask, stir to form a uniform suspension;
- (2)
- Purge with nitrogen for 30 min to remove oxygen, heat to 75 °C and maintain temperature stability;
- (3)
- Add 0.2 g K2S2O8 initiator, stir for 10 min to generate free radical active sites on starch hydroxyl groups;
- (4)
- Dissolve 5.0 g itaconic acid in 20 mL deionized water to form a solution, add dropwise to the reaction system over 60 min;
- (5)
- React at 75–80 °C for 3 h under continuous stirring with nitrogen protection;
- (6)
- After reaction completion, cool to room temperature, add 200 mL anhydrous ethanol to precipitate the product;
- (7)
- Wash the solid product alternately with ethanol and deionized water 3 times, vacuum dry (50 °C, 12 h) to constant weight;
- (8)
- Grind into fine powder, seal and store for later use.
2.3. Characterization Methods
2.4. Drilling Fluid Performance Evaluation
2.4.1. Drilling Fluid Sample Preparation
2.4.2. Rheological Measurement
2.4.3. Filtration Performance Testing
2.4.4. Temperature, Salt, and Calcium Resistance Stability
2.4.5. Particle Size Distribution Testing
2.4.6. Environmental Performance Testing
2.4.7. Technological Application Performance Evaluation
3. Results and Discussion
3.1. Structural Characterization
3.1.1. Fourier Transform Infrared Spectroscopy (FTIR) Analysis
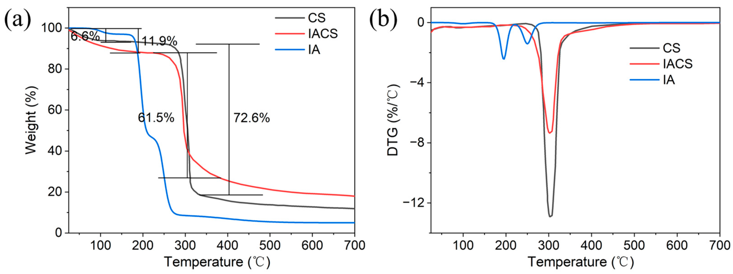
3.1.2. Thermogravimetric Analysis
3.1.3. IACS Morphological Characteristics and Effect on Base Mud Particle Size
3.2. Performance Characterization
3.2.1. Environmental Performance Analysis
3.2.2. Filtration Performance Analysis
3.2.3. Rheological Analysis
3.2.4. Salt and Calcium Resistance Performance Analysis
3.2.5. Technological Application Performance Comparison
4. Conclusions
Author Contributions
Funding
Data Availability Statement
Conflicts of Interest
References
- Pereira, L.B.; Sad, C.M.S.; Castro, E.V.R.; Filgueiras, P.R.; Lacerda, V. Environmental impacts related to drilling fluid waste and treatment methods: A critical review. Fuel 2022, 310, 122301. [Google Scholar] [CrossRef]
- Karakosta, K.; Mitropoulos, A.C.; Kyzas, G.Z. A review in nanopolymers for drilling fluids applications. J. Mol. Struct. 2021, 1227, 129702. [Google Scholar] [CrossRef]
- Liu, N.; Zhang, D.; Gao, H.; Hu, Y.; Duan, L. Real-time measurement of drilling fluid rheological properties: A review. Sensors 2021, 21, 3592. [Google Scholar] [CrossRef] [PubMed]
- Mohammadi, M.K.; Riahi, S.; Boek, E.S. An insight review on formation damage induced by drilling fluids. Rev. Chem. Eng. 2022, 39, 387–415. [Google Scholar] [CrossRef]
- Shmoncheva, Y.Y.; Jabbarova, G.V.; Abdulmutalibov, T.E. Drilling fluids in complicated conditions: A review. Nafta-Gaz 2023, 79, 651–660. [Google Scholar] [CrossRef]
- Okoro, E.E.; Ogali, O.I.O.; Sanni, S.E.; Saturday, M.A. Enhancing drilling mud performance with locally modified polyamide: A comparative analysis of thermal stability and filtration efficiency. Next Mater. 2025, 8, 100679. [Google Scholar] [CrossRef]
- Saadi, R.; Hamidi, H.; Wilkinson, D. Optimizing filtration properties of water-based drilling fluids: Performance of pac variants and synergistic effects. Colloids Surf. Physicochem. Eng. Asp. 2025, 715, 136590. [Google Scholar] [CrossRef]
- Sid, A.N.E.H.; Kouini, B.; Bezzekhami, M.A.; Toumi, S.; Ouchak, K.; Benfarhat, S.; Tahraoui, H.; Kebir, M.; Amrane, A.; Assadi, A.A.; et al. Optimization of partially hydrolyzed polyacrylamide (hpam) utilized in water-based mud while drilling. Processes 2023, 11, 1133. [Google Scholar] [CrossRef]
- Zhang, F.; Li, Y.; Zhang, W.; Wang, Y.; Ai, E.; Liu, Z.; Wei, L.; Li, Q. Synthesis of an eco-friendly xylooligosaccharides and its mechanistic evaluation in water-based drilling fluids. Sustainability 2023, 15, 15993. [Google Scholar] [CrossRef]
- Mahmoud, H.; Mohammed, A.a.A.; Nasser, M.S.; Hussein, I.A.; El-Naas, M.H. Green drilling fluid additives for a sustainable hole-cleaning performance: A comprehensive review. Emergent Mater. 2023, 7, 387–402. [Google Scholar] [CrossRef]
- Prakash, V.; Sharma, N.; Bhattacharya, M.; Beg, M. Application of new environment friendly natural product in water based drilling fluid to improve its filtration properties. Int. J. Environ. Sci. Technol. 2021, 20, 993–1006. [Google Scholar] [CrossRef]
- Kong, X.; Chen, M.; Zhang, C.; Liu, Z.; Jin, Y.; Wang, X.; Liu, M.; Li, S. Optimization of high temperature-resistant modified starch polyamine anti-collapse water-based drilling fluid system for deep shale reservoir. Molecules 2022, 27, 8936. [Google Scholar] [CrossRef] [PubMed]
- Liu, H.; Zhao, K.; Wang, Q.; Ni, H.; Zhang, F.; Xue, L.; Wang, Q.; Chen, G. Study on the improvement of temperature resistance of starch drilling fluid treatment agent by composite plant phenols. Processes 2025, 13, 622. [Google Scholar] [CrossRef]
- Amaraweera, S.M.; Gunathilake, C.; Gunawardene, O.H.P.; Fernando, N.M.L.; Wanninayaka, D.B.; Dassanayake, R.S.; Rajapaksha, S.M.; Manamperi, A.; Fernando Ca, N.; Kulatunga, A.K.; et al. Development of starch-based materials using current modification techniques and their applications: A review. Molecules 2021, 26, 6880. [Google Scholar] [CrossRef] [PubMed]
- Yu, X.; Chen, L.; Jin, Z.; Jiao, A. Research progress of starch-based biodegradable materials: A review. J. Mater. Sci. 2021, 56, 11187–11208. [Google Scholar] [CrossRef]
- Manimaran, M.; Norizan, M.N.; Kassim, M.H.M.; Adam, M.R.; Norrrahim, M.N.F.; Knight, V.F. Critical assessment of the thermal stability and degradation of chemically functionalized nanocellulose-based polymer nanocomposites. Nanotechnol. Rev. 2024, 13, 20240005. [Google Scholar] [CrossRef]
- Teleky, B.-E.; Vodnar, D.C. Recent advances in biotechnological itaconic acid production, and application for a sustainable approach. Polymers 2021, 13, 3574. [Google Scholar] [CrossRef]
- Naderi, P.; Kabiri, K.; Jahanmardi, R.; Zohuriaan-Mehr, M.J. Preparation of itaconic acid bio-based cross-linkers for hydrogels. J. Macromol. Sci. Part A 2020, 58, 165–174. [Google Scholar] [CrossRef]
- API RP 13B-1 Standard; Recommended Practice for Field Testing Water-Based Drilling Fluids. American Petroleum Institute: Washington, DC, USA, 2019.
- Wang, L.; Xu, Z.; Lin, P.; Zhong, Y.; Wang, X.; Yuan, Y.; Tu, J. Oxygen-crosslinker effect on the electrochemical characteristics of asphalt-based hard carbon anodes for sodium-ion batteries. Adv. Energy Mater. 2024, 15, 2403084. [Google Scholar] [CrossRef]
- Kwon, Y.R.; Kim, H.C.; Moon, S.K.; Kim, J.S.; Chang, Y.W.; Kim, D.H. Synthesis and characterization of a novel itaconic acid-based internal emulsifier for anionic waterborne polyurethane. J. Polym. Sci. 2022, 61, 123–131. [Google Scholar] [CrossRef]
- Chen, W.P.; Huang, D.J.; Hu, Z.; Zhuang, Y.L.; Lu, S.T. Preparation and characterization of 6-o-caffeic acid chitosan. J. Phys. Conf. Ser. 2021, 1765, 012029. [Google Scholar] [CrossRef]
- Yusuf, M.O. Bond characterization in cementitious material binders using fourier-transform infrared spectroscopy. Appl. Sci. 2023, 13, 3353. [Google Scholar] [CrossRef]
- Plitzko, J.; Köhler, T.; Meyer-Zedler, T.; Schubert, S.; Schmitt, M.; Popp, J. Hydrolyzation-free characterization of acetalated dextran via 2d correlated raman spectroscopy. J. Raman Spectrosc. 2024, 56, 779–787. [Google Scholar] [CrossRef]
- Shukla, N.; Yu, M.; Pradhan, A.; Han, Y.; Gellman, A.J. Chirality retention in aqueous propylene oxide hydration: Chirality of the transition state. Isr. J. Chem. 2021, 61, 743–749. [Google Scholar] [CrossRef]
- Warren, F.J.; Gidley, M.J.; Flanagan, B.M. Infrared spectroscopy as a tool to characterise starch ordered structure—A joint ftir-atr, nmr, xrd and dsc study. Carbohydr. Polym. 2016, 139, 35–42. [Google Scholar] [CrossRef]
- Zhang, Y.; Guo, Z.; Chen, X.; Ma, Y.; Tan, H. Synthesis of grafting itaconic acid to starch-based wood adhesive for curing at room temperature. J. Polym. Environ. 2020, 29, 685–693. [Google Scholar] [CrossRef]
- Worzakowska, M. Preparation, thermal properties and decomposition course of highly resistant potato starch graft poly(cinnamyl methacrylate) materials. Molecules 2025, 30, 376. [Google Scholar] [CrossRef]
- Liao, R.-P.; Yu, C.; Chen, Y.-G.; Ye, W.-M.; Chen, Z.-H.; Wu, D.-B.; Zeng, Z.-L.; Wang, Q. Preparation and characterization of carboxylic polymer grafted gmz bentonite for the adsorption of eu3+ nuclide. Environ. Earth Sci. 2023, 82, 129. [Google Scholar] [CrossRef]
- Deng, S.; Huang, Y.; Hu, X.; Wang, H.; Zhao, H.; He, J. Nano-film-forming plugging drilling fluid and bridging cross-linking plugging agent are used to strengthen wellbores in complex formations. ACS Omega 2022, 7, 22804–22810. [Google Scholar] [CrossRef]
- Li, Y.; Xia, C.; Liu, X. Water-based drilling fluids containing hydrophobic nanoparticles for minimizing shale hydration and formation damage. Heliyon 2023, 9, e22990. [Google Scholar] [CrossRef]
- Li, P.; Jiang, Y.; Hu, Y.; Men, Y.; Liu, Y.; Cai, W.; Chen, S. Hydrogen bond network connectivity in the electric double layer dominates the kinetic ph effect in hydrogen electrocatalysis on pt. Nat. Catal. 2022, 5, 900–911. [Google Scholar] [CrossRef]
- Long, W.; Zhu, X.; Zhou, F.; Yan, Z.; Evelina, A.; Liu, J.; Wei, Z.; Ma, L. Preparation and hydrogelling performances of a new drilling fluid filtrate reducer from plant press slag. Gels 2022, 8, 201. [Google Scholar] [CrossRef]











| Sample | BOD5 (mg/L) | CODcr (mg/L) | BOD5/CODcr | LC50 (mg/L) |
|---|---|---|---|---|
| IACS | 9480 | 27,100 | 0.35 | 81,600 |
| CS | 8770 | 28,400 | 0.31 | 80,400 |
| Performance Indicator | IACS | CS | PAM | Field Requirement |
|---|---|---|---|---|
| Filter cake thickness (mm) | 2.1 ± 0.2 | 4.8 ± 0.3 | 2.9 ± 0.2 | <3.0 |
| Cake compactness (g/cm3) | 1.42 ± 0.08 | 0.95 ± 0.12 | 1.28 ± 0.09 | >1.2 |
| Cake permeability (mD) | 0.31 ± 0.04 | 1.89 ± 0.15 | 0.58 ± 0.07 | <0.5 |
| Sand settling rate (mm/h) | 3.2 ± 0.3 | 18.5 ± 1.8 | 3.8 ± 0.4 | <5.0 |
| Relative cost (CNY/m3 mud) | 145 | 95 | 168 | Economic |
Disclaimer/Publisher’s Note: The statements, opinions and data contained in all publications are solely those of the individual author(s) and contributor(s) and not of MDPI and/or the editor(s). MDPI and/or the editor(s) disclaim responsibility for any injury to people or property resulting from any ideas, methods, instructions or products referred to in the content. |
© 2026 by the authors. Licensee MDPI, Basel, Switzerland. This article is an open access article distributed under the terms and conditions of the Creative Commons Attribution (CC BY) license.
Share and Cite
Wang, B.; Liu, J.; Song, Z. Eco-Friendly Filtrate Control in Drilling Fluids: Itaconic Acid-Grafted Corn Starch from Natural Organic Materials with Thermal and Salt/Calcium Resistance. Polymers 2026, 18, 244. https://doi.org/10.3390/polym18020244
Wang B, Liu J, Song Z. Eco-Friendly Filtrate Control in Drilling Fluids: Itaconic Acid-Grafted Corn Starch from Natural Organic Materials with Thermal and Salt/Calcium Resistance. Polymers. 2026; 18(2):244. https://doi.org/10.3390/polym18020244
Chicago/Turabian StyleWang, Bin, Junyi Liu, and Zhongwen Song. 2026. "Eco-Friendly Filtrate Control in Drilling Fluids: Itaconic Acid-Grafted Corn Starch from Natural Organic Materials with Thermal and Salt/Calcium Resistance" Polymers 18, no. 2: 244. https://doi.org/10.3390/polym18020244
APA StyleWang, B., Liu, J., & Song, Z. (2026). Eco-Friendly Filtrate Control in Drilling Fluids: Itaconic Acid-Grafted Corn Starch from Natural Organic Materials with Thermal and Salt/Calcium Resistance. Polymers, 18(2), 244. https://doi.org/10.3390/polym18020244
