Ammonium-Containing Methacrylic Polymer Brushes with Adjustable Hydrophilicity: Synthesis and Properties in Aqueous Solutions
Abstract
1. Introduction
2. Materials and Methods
2.1. Materials
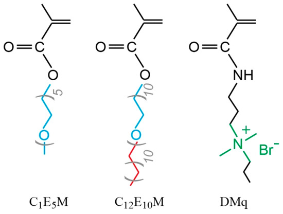
2.2. Synthesis of Polymers
2.3. Methods for Investigating Polymer Properties in Solutions
3. Results
3.1. Investigation of Polymerization
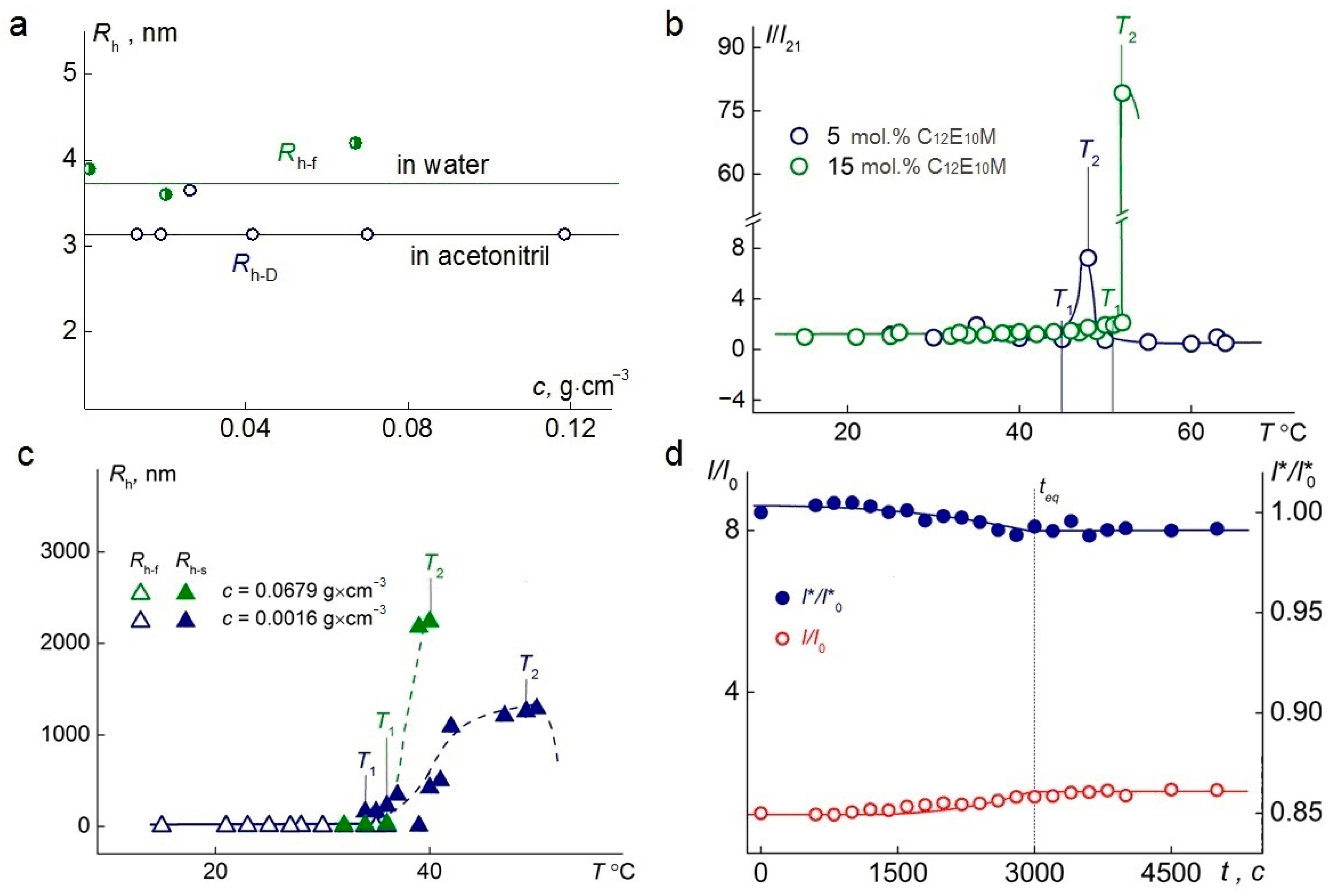
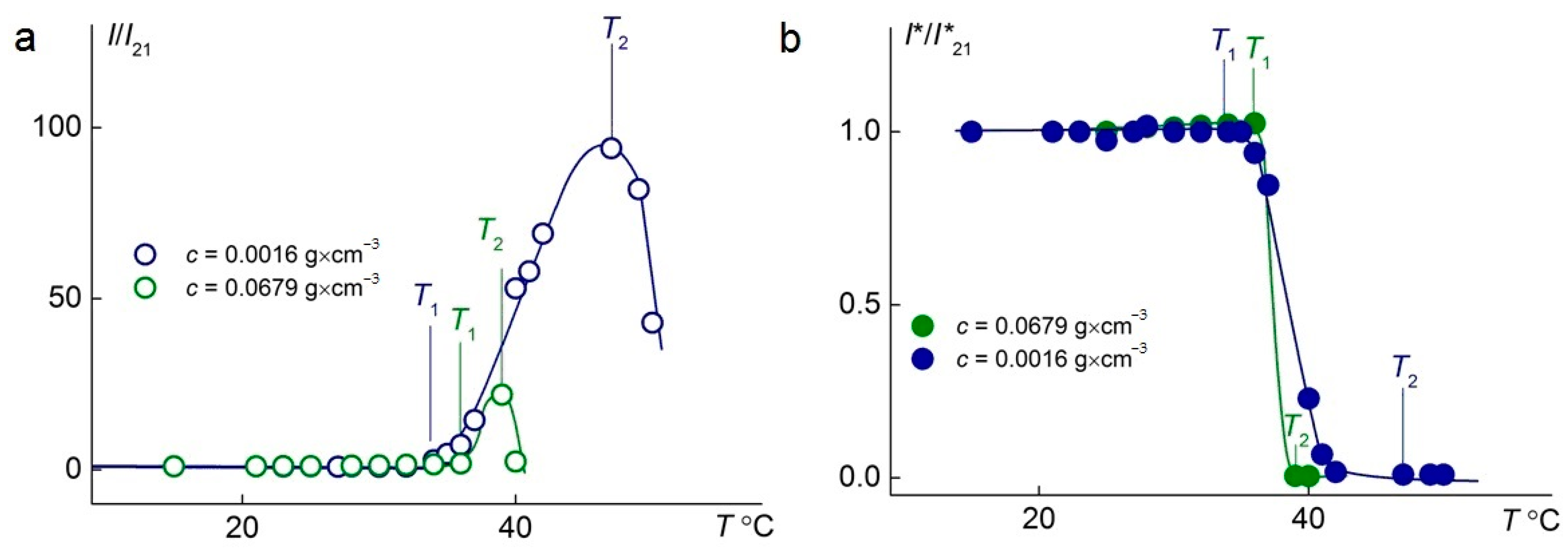
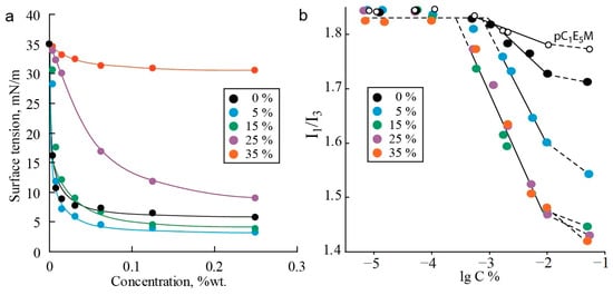
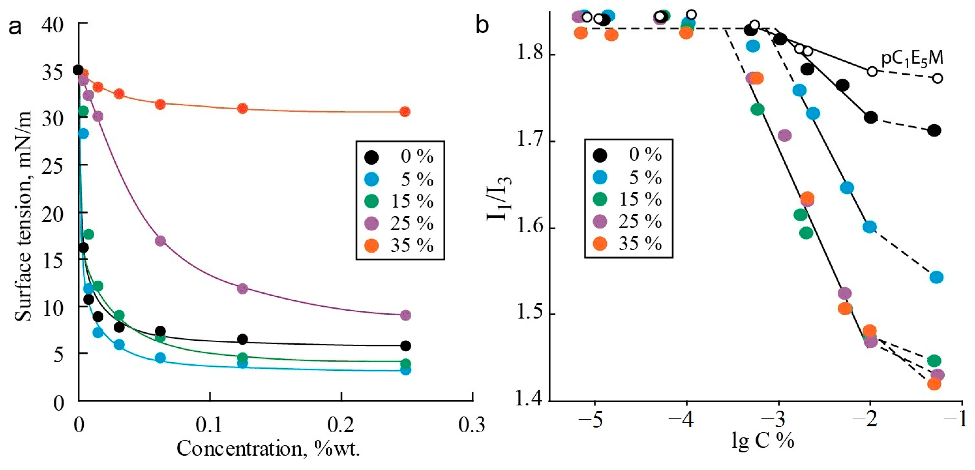
3.2. Investigation of Polymer Properties
4. Conclusions
Supplementary Materials
Author Contributions
Funding
Institutional Review Board Statement
Data Availability Statement
Conflicts of Interest
References
- Imran, M.; Shah, M.R.; Shafiullah. Amphiphilic block copolymers–based micelles for drug delivery. In Design and Development of New Nanocarriers; Grumezescu, A.M., Ed.; William Andrew Publishing: Norwich, NY, USA, 2018; pp. 365–400. [Google Scholar]
- Ahmad, Z.; Shah, A.; Siddiq, M.; Kraatz, H.-B. Polymeric micelles as drug delivery vehicles. RSC Adv. 2014, 4, 17028–17038. [Google Scholar] [CrossRef]
- Toscanini, M.A.; Limeres, M.J.; Garrido, A.V.; Cagel, M.; Bernabeu, E.; Moretton, M.A.; Chiappetta, D.A.; Cuestas, M.L. Polymeric micelles and nanomedicines: Shaping the future of next generation therapeutic strategies for infectious diseases. J. Drug Deliv. Sci. Technol. 2021, 66, 102927. [Google Scholar] [CrossRef]
- Lu, Y.; Zhang, E.; Yang, J.; Cao, Z. Strategies to improve micelle stability for drug delivery. Nano Res. 2018, 11, 4985–4998. [Google Scholar] [CrossRef] [PubMed]
- Wang, H.; Ding, S.; Zhang, Z.; Wang, L.; You, Y. Cationic micelle: A promising nanocarrier for gene delivery with high transfection efficiency. J. Gene. Med. 2019, 21, e3101. [Google Scholar] [CrossRef]
- Yang, L.; Song, S.; Yin, M.; Yang, M.; Yan, D.; Wan, X.; Xiao, J.; Jiang, Y.; Yao, Y.; Luo, J. Antibiotic-based small molecular micelles combined with photodynamic therapy for bacterial infections. Asian J. Pharm. Sci. 2023, 18, 100810. [Google Scholar] [CrossRef]
- Leng, M.; Hu, S.; Lu, A.; Cai, M.; Luo, X. The anti-bacterial poly(caprolactone)-poly(quaternary ammonium salt) as drug delivery carriers. Appl. Microbiol. Biotechnol. 2016, 100, 3049–3059. [Google Scholar] [CrossRef]
- Sheiko, S.S.; Sumerlin, B.S.; Matyjaszewski, K. Cylindrical molecular brushes: Synthesis, characterization, and properties. Prog. Polym. Sci. 2008, 33, 759–785. [Google Scholar] [CrossRef]
- Zhang, X.; Dai, Y. Recent development of brush polymers via polymerization of poly(ethylene glycol)-based macromonomers. Polym. Chem. 2019, 10, 2212–2222. [Google Scholar] [CrossRef]
- Adeli, F.; Abbasi, F.; Ghandforoushan, P.; Külahlı, H.E.; Meran, M.; Abedi, F.; Ghamkhari, A.; Afif, S. Recent advances in formulation and application of molecular polymer brushes in biomedicine: Therapeutic, diagnostic, and theranostics capabilities. Nano Today 2023, 53, 102010. [Google Scholar] [CrossRef]
- Lokesh, M.G.; Tiwari, A.K. A concise review on polymer brushes and its interaction with surfactants: An approach towards smart materials. J. Mol. Liq. 2024, 407, 125168. [Google Scholar] [CrossRef]
- Müllner, M.; Müller, A.H.E. Cylindrical polymer brushes—Anisotropic building blocks, unimolecular templates and particulate nanocarriers. Polymer 2016, 98, 389–401. [Google Scholar] [CrossRef]
- Xie, G.; Martinez, M.R.; Olszewski, M.; Sheiko, S.S.; Matyjaszewski, K. Molecular Bottlebrushes as Novel Materials. Biomacromolecules 2019, 20, 27–54. [Google Scholar] [CrossRef] [PubMed]
- Tu, S.; Choudhury, C.K.; Luzinov, I.; Kuksenok, O. Recent advances towards applications of molecular bottlebrushes and their conjugates. Curr. Opin. Solid State Mater. Sci. 2019, 23, 50–61. [Google Scholar] [CrossRef]
- Kang, J.-J.; Shehu, K.; Sachse, C.; Jung, F.A.; Ko, C.-H.; Barnsley, L.C.; Jordan, R.; Papadakis, C.M. A molecular brush with thermoresponsive poly(2-ethyl-2-oxazoline) side chains: A structural investigation. Colloid. Polym. Sci. 2021, 299, 193–203. [Google Scholar] [CrossRef]
- Feng, C.; Huang, X. Polymer Brushes: Efficient Synthesis and Applications. Acc. Chem. Res. 2018, 51, 2314–2323. [Google Scholar] [CrossRef]
- Lee, H.-il; Pietrasik, J.; Sheiko, S.S.; Matyjaszewski, K. Stimuli-responsive molecular brushes. Prog. Polym. Sci. 2010, 35, 24–44. [Google Scholar] [CrossRef]
- Foster, J.C.; Varlas, S.; Couturaud, B.; Coe, Z.; O’Reilly, R.K. Getting into Shape: Reflections on a New Generation of Cylindrical Nanostructures’ Self-Assembly Using Polymer Building Blocks. J. Am. Chem. Soc. 2019, 141, 2742–2753. [Google Scholar] [CrossRef]
- Pelras, T.; Mahon, C.S.; Müllner, M. Synthesis and Applications of Compartmentalised Molecular Polymer Brushes. Angew. Chem. Int. Ed. 2018, 57, 6982–6994. [Google Scholar] [CrossRef]
- Bai, S.; Jia, D.; Ma, X.; Liang, M.; Xue, P.; Kang, Y.; Xu, Z. Cylindrical polymer brushes-anisotropic unimolecular micelle drug delivery system for enhancing the effectiveness of chemotherapy. Bioact. Mater. 2021, 6, 2894–2904. [Google Scholar] [CrossRef]
- Alsehli, M.; Gauthier, M. Unimolecular Micelles from Randomly Grafted Arborescent Copolymers with Different Core Branching Densities: Encapsulation of Doxorubicin and In Vitro Release Study. Materials 2023, 16, 2461. [Google Scholar] [CrossRef]
- Zheng, Y.; Pan, M.; Lu, C.; Liu, D. Polypeptide-based amphiphilic brush copolymers as unimolecular micelles: Synthesis, characterisation, and encapsulation study. Micro Nano Lett. 2018, 13, 1329–1334. [Google Scholar] [CrossRef]
- Müllner, M. Molecular polymer bottlebrushes in nanomedicine: Therapeutic and diagnostic applications. Chem. Commun. 2022, 58, 5683–5716. [Google Scholar] [CrossRef] [PubMed]
- Xie, G.; Krys, P.; Tilton, R.D.; Matyjaszewski, K. Heterografted Molecular Brushes as Stabilizers for Water-in-Oil Emulsions. Macromolecules 2017, 50, 2942–2950. [Google Scholar] [CrossRef]
- Hsieh, T.-L.; Martinez, M.R.; Garoff, S.; Matyjaszewski, K.; Tilton, R.D. Interfacial dilatational rheology as a bridge to connect amphiphilic heterografted bottlebrush copolymer architecture to emulsifying efficiency. J. Colloid Interface Sci. 2021, 581, 135–147. [Google Scholar] [CrossRef] [PubMed]
- Asadi, V.; Ruiz-Franco, J.; van der Gucht, J.; Kodger, T.E. Tuning moduli of hybrid bottlebrush elastomers by molecular architecture. Mater. Des. 2023, 234, 112326. [Google Scholar] [CrossRef]
- Rao, S.; Zeng, X.; Cheng, X.; Fan, J.; He, D.; Ren, L.; Du, G.; Zeng, X. Damping, soft, and thermally conductive composite elastomer via introducing bottlebrush chains. Chem. Eng. J. 2023, 474, 145847. [Google Scholar] [CrossRef]
- Gao, Q.; Yu, M.; Su, Y.; Xie, M.; Zhao, X.; Li, P.; Ma, P.X. Rationally designed dual functional block copolymers for bottlebrush-like coatings: In vitro and in vivo antimicrobial, antibiofilm, and antifouling properties. Acta Biomater. 2017, 51, 112–124. [Google Scholar] [CrossRef]
- Stevens, M.C.; Taylor, N.M.; Guo, X.; Hussain, H.; Mahmoudi, N.; Cattoz, B.N.; Leung, A.H.M.; Dowding, P.J.; Vincent, B.; Briscoe, W.H. Diblock bottlebrush polymer in a non-polar medium: Self-assembly, surface forces, and superlubricity. J. Colloid Interface Sci. 2024, 658, 639–647. [Google Scholar] [CrossRef]
- Zhuo, C.; You, H.; Gao, F.; Liu, S.; Wang, X.; Wang, F. Bottlebrush polymeric catalyst: Boosting activity for CO2/epoxide copolymerization. Fuel 2023, 333, 126434. [Google Scholar] [CrossRef]
- Huang, J.; Zhu, X.; Wang, Y.; Min, Y.; Li, X.; Zhang, R.; Qi, D.; Hua, Z.; Chen, T. Compartmentalization of incompatible catalysts by micelles from bottlebrush copolymers for one-pot cascade catalysis. Polymer 2022, 255, 125173. [Google Scholar] [CrossRef]
- Li, C.; Wang, J.; Wang, Y.; Gao, H.; Wei, G.; Huang, Y.; Yu, H.; Gan, Y.; Wang, Y.; Mei, L.; et al. Recent progress in drug delivery. Acta Pharm. Sin. B. 2019, 9, 1145–1162. [Google Scholar] [CrossRef] [PubMed]
- Stolnik, S.; Illum, L.; Davis, S.S. Long circulating microparticulate drug carriers. Adv. Drug Del. Rev. 1995, 16, 195–214. [Google Scholar] [CrossRef]
- Elezaby, R.S.; Gad, H.A.; Metwally, A.A.; Geneidi, A.S.; Awad, G.A. Self-assembled amphiphilic core-shell nanocarriers in line with the modern strategies for brain delivery. J. Controlled Release 2017, 261, 43–61. [Google Scholar] [CrossRef] [PubMed]
- Lutz, J.-F.; Akdemir, Ö.; Hoth, A. Point by Point Comparison of Two Thermosensitive Polymers Exhibiting a Similar LCST: Is the Age of Poly(NIPAM) Over? J. Am. Chem. Soc. 2006, 128, 13046–13047. [Google Scholar] [CrossRef]
- Kazantsev, O.A.; Orekhov, D.V.; Simagin, A.S.; Kamorin, D.M.; Sivokhin, A.P.; Savinova, M.V.; Arifullin, I.R.; Kavtrova, V.D.; Lobayev, A.N. Oligo(ethylene glycol) methacrylate-based molecular bottlebrushes: Correlations between composition and phase transition temperatures in aqueous solutions. Eur. Polym. J. 2024, 218, 113340. [Google Scholar] [CrossRef]
- Sivokhin, A.; Orekhov, D.; Kazantsev, O.; Sivokhina, O.; Orekhov, S.; Kamorin, D.; Otopkova, K.; Smirnov, M.; Karpov, R. Random and Diblock Thermoresponsive Oligo(ethylene glycol)-Based Copolymers Synthesized via Photo-Induced RAFT Polymerization. Polymers 2022, 14, 137. [Google Scholar] [CrossRef]
- Terashima, T.; Sugita, T.; Fukae, K.; Sawamoto, M. Synthesis and Single-Chain Folding of Amphiphilic Random Copolymers in Water. Macromolecules 2014, 47, 589–600. [Google Scholar] [CrossRef]
- Terashima, T.; Sugita, T.; Sawamoto, M. Single-chain crosslinked star polymers via intramolecular crosslinking of self-folding amphiphilic copolymers in water. Polym. J. 2015, 47, 667–677. [Google Scholar] [CrossRef]
- Hirai, Y.; Terashima, T.; Takenaka, M.; Sawamoto, M. Precision Self-Assembly of Amphiphilic Random Copolymers into Uniform and Self-Sorting Nanocompartments in Water. Macromolecules 2016, 49, 5084–5091. [Google Scholar] [CrossRef]
- Matsumoto, M.; Takenaka, M.; Sawamoto, M.; Terashima, T. Self-assembly of amphiphilic block pendant polymers as microphase separation materials and folded flower micelles. Polym. Chem. 2019, 10, 4954–4961. [Google Scholar] [CrossRef]
- Kimura, Y.; Terashima, T.; Sawamoto, M. Self-Assembly of Amphiphilic Random Copolyacrylamides into Uniform and Necklace Micelles in Water. Macromol. Chem. Phys. 2017, 218, 1700230. [Google Scholar] [CrossRef]
- Hattori, G.; Hirai, Y.; Sawamoto, M.; Terashima, T. Self-assembly of PEG/dodecyl-graft amphiphilic copolymers in water: Consequences of the monomer sequence and chain flexibility on uniform micelles. Polym. Chem. 2017, 8, 7248–7259. [Google Scholar] [CrossRef]
- Kowollik, B. Handbook of RAFT Polymerization; WILEY-VCH Verlag GmbH & Co. KGaA: Weinheim, Germany, 2008; p. 555. [Google Scholar]
- Matyjaszewski, K.; Sumerlin, B.S. Progress in Controlled Radical Polymerization: Materials and Applications; American Chemical Society: Washington, DC, USA, 2012; p. 327. [Google Scholar]
- Pan, Y.; Wang, X.; Yin, Z. Synthesis and evaluation of cationic polymeric micelles as carriers of lumbrokinase for targeted thrombolysis. Asian J. Pharm. Sci. 2019, 14, 144–153. [Google Scholar] [CrossRef] [PubMed]
- Dalal, R.J.; Kumar, R.; Ohnsorg, M.; Brown, M.; Reineke, T.M. Cationic Bottlebrush Polymers Outperform Linear Polycation Analogues for pDNA Delivery and Gene Expression. ACS Macro Lett. 2021, 10, 886–893. [Google Scholar] [CrossRef]
- Dey, D.; Maiti, C.; Maiti, S.; Dhara, D. Interaction between calf thymus DNA and cationic bottle-brush copolymers: Equilibrium and stopped-flow kinetic studies. Phys. Chem. Chem. Phys. 2015, 17, 2366–2377. [Google Scholar] [CrossRef]
- Modra, K.; Dai, S.; Zhang, H.; Shi, B.; Bi, J. Polycation-mediated gene delivery: Challenges and considerations for the process of plasmid DNA transfection. Eng. Life Sci. 2015, 15, 489–498. [Google Scholar] [CrossRef]
- Skandalis, A.; Selianitis, D.; Pispas, S. PnBA-b-PNIPAM-b-PDMAEA Thermo-Responsive Triblock Terpolymers and Their Quaternized Analogs as Gene and Drug Delivery Vectors. Polymers 2021, 13, 2361. [Google Scholar] [CrossRef]
- Zheng, W.; Anzaldua, M.; Arora, A.; Jiang, Y.; McIntyre, K.; Doerfert, M.; Winter, T.; Mishra, A.; Ma, H.; Liang, H. Environmentally Benign Nanoantibiotics with a Built-in Deactivation Switch Responsive to Natural Habitats. Biomacromolecules 2020, 21, 2187–2198. [Google Scholar] [CrossRef]
- Senkum, H.; Gramlich, W.M. Cationic Bottlebrush Polymers from Quaternary Ammonium Macromonomers by Grafting-Through Ring-Opening Metathesis Polymerization. Macromol. Chem. Phys. 2020, 221, 1900476. [Google Scholar] [CrossRef]
- Jiao, Y.; Niu, L.-n.; Ma, S.; Li, J.; Tay, F.R.; Chen, J.-h. Quaternary ammonium-based biomedical materials: State-of-the-art, toxicological aspects and antimicrobial resistance. Prog. Polym. Sci. 2017, 71, 53–90. [Google Scholar] [CrossRef]
- Kazantsev, O.A.; Kamorin, D.M.; Sivokhin, A.P.; Samodurova, S.I.; Orekhov, D.V.; Korotkova, T.V. Copolymerization of amine-containing monomers and dodecyl (meth)acrylate in toluene: Controlling compositional heterogeneity. J. Polym. Res. 2014, 21, 353. [Google Scholar] [CrossRef]
- Shahrbabaki, Z.; Oveissi, F.; Farajikhah, S.; Ghasemian, M.B.; Jansen-van Vuuren, R.D.; Jessop, P.G.; Yun, J.; Dehghani, F.; Naficy, S. Electrical Response of Poly(N-[3-(dimethylamino)propyl] Methacrylamide) to CO2 at a Long Exposure Period. ACS Omega 2022, 7, 22232–22243. [Google Scholar] [CrossRef] [PubMed]
- Kamorin, D.M.; Kazantsev, O.A.; Simagin, A.S.; Orekhov, D.V.; Savinova, M.V.; Arifullin, I.R.; Sivokhin, A.P. Effect of Composition of Nonionic and Cationic Copolymers of Alkoxyoligo(ethylene glycol) Methacrylates and Dodecyl Methacrylate on Their Properties in Solutions. Polym. Sci. Ser. A 2024, 66, 315–326. [Google Scholar] [CrossRef]
- Duan, J.; Huang, Y.; Zong, S.; Jiang, J. Preparation and Drug Release Properties of a Thermo Sensitive GA Hydrogel. Polymers 2021, 13, 119. [Google Scholar] [CrossRef]
- Mishra, R.K.; Ray, A.R. Synthesis and characterization of poly{N-[3-(dimethylamino) propyl] methacrylamide-co-itaconic acid} hydrogels for drug delivery. J. Appl. Polym. Sci. 2011, 119, 3199–3206. [Google Scholar] [CrossRef]
- Moad, G.; Chong, Y.K.; Postma, A.; Rizzardo, E.; Thang, S.H. Advances in RAFT polymerization: The synthesis of polymers with defined end-groups. Polymer 2005, 46, 8458–8468. [Google Scholar] [CrossRef]
- Wesslén, B.; Wesslén, K.B. Preparation and properties of some water-soluble, comb-shaped, amphiphilic polymers. J. Polym. Sci. Part A Polym. Chem. 1989, 27, 3915–3926. [Google Scholar] [CrossRef]
- Wilkinson, M.C. Extended use of, and comments on, the drop-weight (drop-volume) technique for the determination of surface and interfacial tensions. J. Colloid Interface Sci. 1972, 40, 14–26. [Google Scholar] [CrossRef]
- Kuckling, D.; Doering, A.; Krahl, F.; Arndt, K.F. Stimuli-Responsive Polymer Systems. In Polymer Science: A Comprehensive Reference; Matyjaszewski, K., Möller, M., Eds.; Elsevier: Amsterdam, The Netherlands, 2012; pp. 377–413. [Google Scholar]
- Zhang, Q.; Weber, C.; Schubert, U.S.; Hoogenboom, R. Thermoresponsive polymers with lower critical solution temperature: From fundamental aspects and measuring techniques to recommended turbidimetry conditions. Mater. Horiz. 2017, 4, 109–116. [Google Scholar] [CrossRef]
- Zhao, C.L.; Winnik, M.A.; Riess, G.; Croucher, M.D. Fluorescence probe techniques used to study micelle formation in water-soluble block copolymers. Langmuir 1990, 6, 514–516. [Google Scholar] [CrossRef]
- Zengin, A.; Yildirim, E.; Caykara, T. RAFT-mediated synthesis and temperature-induced responsive properties of poly(2-(2-methoxyethoxy)ethyl methacrylate) brushes. J. Polym. Sci. Part A Polym. Chem. 2013, 51, 954–962. [Google Scholar] [CrossRef]
- Krivorotova, T.; Grigelis, R.; Švėgždienė, J.; Makuška, R. Synthesis of anionic amphiphilic molecular brushes by conventional free-radical and RAFT terpolymerizations. Chemija 2011, 22, 248–254. [Google Scholar]
- Shi, Y.; van den Dungen, E.T.A.; Klumperman, B.; van Nostrum, C.F.; Hennink, W.E. Reversible Addition–Fragmentation Chain Transfer Synthesis of a Micelle-Forming, Structure Reversible Thermosensitive Diblock Copolymer Based on the N-(2-Hydroxy propyl) Methacrylamide Backbone. ACS Macro Lett. 2013, 2, 403–408. [Google Scholar] [CrossRef]
- Yuan, Y.; Luo, Z.; Chen, J.; He, C.; Hao, K.; Tian, H. Constructing thermoresponsive PNIPAM-based microcarriers for cell culture and enzyme-free cell harvesting. Chin. Chem. Lett. 2024, 35, 109549. [Google Scholar] [CrossRef]
- Tsvetkov, V.N. Rigid-Chain Polymers: Hydrodynamic and Optical Properties in Solution; Springer: New York, NY, USA, 1989; p. 512. [Google Scholar]
- Tsvetkov, V.N.; Lavrenko, P.N.; Bushin, S.V. Hydrodynamic invariant of polymer molecules. J. Polym. Sci. Polym. Chem. Ed. 1984, 22, 3447–3486. [Google Scholar] [CrossRef]
- Tsvetkov, V.N.; Lavrenko, P.N.; Bushin, S.V.e. A hydrodynamic invariant of polymeric molecules. Russ. Chem. Rev. 1982, 51, 975–993. [Google Scholar] [CrossRef]
- Burchard, W. Solution Properties of Branched Macromolecules. In Branched Polymers II; Roovers, J., Ed.; Springer: Berlin/Heidelberg, Germany, 1999; pp. 113–194. [Google Scholar]
- Simonova, M.; Simagin, A.; Kamorin, D.; Orekhov, S.; Filippov, A.; Kazantsev, O. The Solution Properties of Polymethacrylate Molecular Brushes with Oligo(ethylene glycol) and Oligo(propylene glycol) Side Chains. Polymers 2022, 14, 5556. [Google Scholar] [CrossRef]
- Simonova, M.; Ilgach, D.; Kaskevich, K.; Nepomnyashaya, M.; Litvinova, L.; Filippov, A.; Yakimansky, A. Novel Amphiphilic Polyfluorene-Graft-(Polymethacrylic Acid) Brushes: Synthesis, Conformation, and Self-Assembly. Polymers 2021, 13, 4429. [Google Scholar] [CrossRef]
- Simonova, M.; Kamorin, D.; Sadikov, A.; Filippov, A.; Kazantsev, O. The Influence of Synthesis Method on Characteristics of Buffer and Organic Solutions of Thermo- and pH-Responsive Poly(N-[3-(diethylamino)propyl]methacrylamide)s. Polymers 2022, 14, 282. [Google Scholar] [CrossRef]
- Simonova, M.A.; Tarasova, E.V.; Dudkina, M.M.; Tenkovtsev, A.V.; Filippov, A.P. Synthesis and hydrodynamic and conformation properties of star-shaped polystyrene with calix[8]arene core. Int. J. Polym. Anal. Charact. 2019, 24, 87–95. [Google Scholar] [CrossRef]
- Schreier, S.; Malheiros, S.V.P.; de Paula, E. Surface active drugs: Self-association and interaction with membranes and surfactants. Physicochemical and biological aspects. BBA Biomembr. 2000, 1508, 210–234. [Google Scholar] [CrossRef] [PubMed]
- Sun, B.; Wang, P.; Shao, C.; Jiang, P.; Guo, Y.; Yan, S.; Fang, W. Amphiphilic comb-block copolymers synthesized by photoinitiated polymerization for stabilization of oil–water emulsion by solution self-assembly. Fuel 2025, 385, 134164. [Google Scholar] [CrossRef]
- Yang, H.; Lv, Z.; Zhang, M.; Jiang, J.; Xu, B.; Shen, J.; Jiang, H.; Kang, W. A novel active amphiphilic polymer for enhancing heavy oil recovery: Synthesis, characterization and mechanism. J. Mol. Liq. 2023, 391, 123210. [Google Scholar] [CrossRef]
- Kazantsev, O.A.; Kamorin, D.M.; Orekhov, D.V.; Sivokhin, A.P. Study of amphiphilic properties of amine- and oligo(ethylene glycol)-containing (meth)acrylic monomers. Des. Monomers Polym. 2015, 18, 378–384. [Google Scholar] [CrossRef]
- Zhou, M.; Bi, Y.; Zhou, H.; Chen, X.; Zhang, F.; Li, Y.; Qu, X. Aggregation Behavior of Poly(Acrylic acid-co-Octadecyl Methacrylate) and Bovine Serum Albumin in Aqueous Solutions. ChemistryOpen 2021, 10, 373–379. [Google Scholar] [CrossRef]
- Hong, Z.; Yongjun, M.; Hang, W.; Lin, X. Rheological Properties of Hydrophobically Modified Poly(acrylic acid) in Mixed Solutions. J. Solution Chem. 2010, 39, 1243–1252. [Google Scholar] [CrossRef]
- Banjare, R.K.; Banjare, M.K.; Behera, K.; Tandon, M.; Pandey, S.; Ghosh, K.K. Deep eutectic solvents as modulator on the micellization behaviour of cationic surfactants and potential application in human serum albumin aggregation. J. Mol. Liq. 2021, 344, 117864. [Google Scholar] [CrossRef]
- Gyulai, G.; Magyar, A.; Rohonczy, J.; Orosz, J.; Yamasaki, M.; Bosze, S.z.; Kiss, É. Preparation and characterization of cationic Pluronic for surface modification and functionalization of polymeric drug delivery nanoparticles. Express Polym. Letters 2016, 10, 216–226. [Google Scholar] [CrossRef]
- Urbano, B.; Silva, P.; Olea, A.F.; Fuentes, I.; Martinez, F. Self-assembly of triblock copolymers in aqueous solution. J. Chil. Chem. Soc. 2008, 53, 1507–1510. [Google Scholar] [CrossRef]
- Wang, S.; Liu, C.; Chen, H.; Zhu, A.D.; Qian, F. Impact of Surfactants on Polymer Maintained Nifedipine Supersaturation in Aqueous Solution. Pharm. Res. 2020, 37, 113. [Google Scholar] [CrossRef]
- Hibino, M.; Tanaka, K.; Ouchi, M.; Terashima, T. Amphiphilic Random-Block Copolymer Micelles in Water: Precise and Dynamic Self-Assembly Controlled by Random Copolymer Association. Macromolecules 2022, 55, 178–189. [Google Scholar] [CrossRef]
- Topuzogullari, M.; Bulmus, V.; Dalgakiran, E.; Dincer, S. pH- and temperature-responsive amphiphilic diblock copolymers of 4-vinylpyridine and oligoethyleneglycol methacrylate synthesized by RAFT polymerization. Polymer 2014, 55, 525–534. [Google Scholar] [CrossRef]
- Lutz, J.-F. Polymerization of oligo(ethylene glycol) (meth)acrylates: Toward new generations of smart biocompatible materials. J. Polym. Sci. Part A Polym. Chem. 2008, 46, 3459–3470. [Google Scholar] [CrossRef]






| # | [M1]:[M2]:[M3] [a] | [m1]:[m2]:[m3] [b] | [M]:[CTA]:[I] [c] | X [d], % | Mth [e] | Mn | Mw | Mw/Mn |
|---|---|---|---|---|---|---|---|---|
| 1 | 100:0:0 | 100:0:0 | 100:0:1 | 90.4 | - | 27,600 | 56,200 | 2.0 |
| 2 | 80:0:20 | - | 100:0:1 | 96.5 | - | 30,500 | 65,100 | 2.1 |
| 3 | 95:0:5 | 94:0:6 | 100:4:1 | 88.0 | 6600 | 5000 | 6400 | 1.3 |
| 4 | 90:5:5 | 89:5:6 | 100:4:1 | 93.8 | 7900 | 5000 | 6200 | 1.2 |
| 5 | 80:15:5 | 77:15:8 | 100:4:1 | 95.0 | 8900 | 4700 | 6200 | 1.3 |
| 6 | 70:25:5 | 68:24:8 | 100:4:1 | 85.8 | 8900 | 5300 | 6800 | 1.3 |
| 7 | 60:35:5 | 59:35:6 | 100:4:1 | 93.0 | 10,600 | 8300 | 10,100 | 1.2 |
| Solvent | ε | Monomer DMq | Terpolymers | Homopolymer C1E5M |
|---|---|---|---|---|
| Hexane | 1.9 | |||
| Cyclohexane | 2.0 | |||
| Toluene | 2.4 | |||
| Chloroform | 4.8 | |||
| Ethyl acetate | 6.0 | |||
| Tetrahydrofuran | 7.6 | |||
| Octanol | 10.3 |
| [M1]:[M2]:[M3] | Mw, g·mol−1 SLS | [η], cm3·g−1 | Rh−D, nm | KH | dn/dc cm3∙g−1 | A0 × 1010, erg·K−1mol−1/3 | A2 × 10−4, cm3·mol·g−2 |
|---|---|---|---|---|---|---|---|
| 90:5:5 | 7700 | 5.4 | 2.1 | 0.7 | 0.14 | 2.6 | 3.6 |
| 80:15:5 | 9000 | 6.3 | 2.4 | 0.6 | 0.14 | 2.5 | 3.9 |
| 70:25:5 | 9100 | 6.6 | 3.1 | 0.3 | 0.14 | 2.2 | 4.0 |
| 60:35:5 | 11,000 | 6.9 | 4.0 | 0.3 | 0.14 | 2.3 | 4.2 |
| # | [M1]:[M2]:[M3] [a] | LCST, °C | CMC, mg/L | Rh, nm | Loading Capacity, mg/g |
|---|---|---|---|---|---|
| 1 | 100:0:0 | 64 | 3.0 | 5.8 | 0.9 |
| 2 | 80:0:20 | >90 | 9.5 | 2.0 | 0.6 |
| 3 | 90:0:5 | 68 | 4.3 | 2.2 | 1.7 |
| 4 | 90:5:5 | 62 | 3.9 | 2.7 | 5.8 |
| 5 | 80:15:5 | 47 | 1.9 | 3.1 | 11.3 |
| 6 | 70:25:5 | 37 | 2.8 | 3.8 | 20.6 |
| 7 | 60:35:5 | 17 | 2.7 | 5.3 | 24.2 |
Disclaimer/Publisher’s Note: The statements, opinions and data contained in all publications are solely those of the individual author(s) and contributor(s) and not of MDPI and/or the editor(s). MDPI and/or the editor(s) disclaim responsibility for any injury to people or property resulting from any ideas, methods, instructions or products referred to in the content. |
© 2025 by the authors. Licensee MDPI, Basel, Switzerland. This article is an open access article distributed under the terms and conditions of the Creative Commons Attribution (CC BY) license (https://creativecommons.org/licenses/by/4.0/).
Share and Cite
Kamorin, D.; Simagin, A.; Kazantsev, O.; Savinova, M.; Simonova, M.; Sadkov, D.; Arifullin, I.; Dolinov, Y. Ammonium-Containing Methacrylic Polymer Brushes with Adjustable Hydrophilicity: Synthesis and Properties in Aqueous Solutions. Polymers 2025, 17, 1200. https://doi.org/10.3390/polym17091200
Kamorin D, Simagin A, Kazantsev O, Savinova M, Simonova M, Sadkov D, Arifullin I, Dolinov Y. Ammonium-Containing Methacrylic Polymer Brushes with Adjustable Hydrophilicity: Synthesis and Properties in Aqueous Solutions. Polymers. 2025; 17(9):1200. https://doi.org/10.3390/polym17091200
Chicago/Turabian StyleKamorin, Denis, Alexander Simagin, Oleg Kazantsev, Maria Savinova, Maria Simonova, Denis Sadkov, Ildar Arifullin, and Yaroslav Dolinov. 2025. "Ammonium-Containing Methacrylic Polymer Brushes with Adjustable Hydrophilicity: Synthesis and Properties in Aqueous Solutions" Polymers 17, no. 9: 1200. https://doi.org/10.3390/polym17091200
APA StyleKamorin, D., Simagin, A., Kazantsev, O., Savinova, M., Simonova, M., Sadkov, D., Arifullin, I., & Dolinov, Y. (2025). Ammonium-Containing Methacrylic Polymer Brushes with Adjustable Hydrophilicity: Synthesis and Properties in Aqueous Solutions. Polymers, 17(9), 1200. https://doi.org/10.3390/polym17091200

