Data-Driven Tailoring Optimization of Thermoset Polymers Using Ultrasonics and Machine Learning
Abstract
1. Introduction
- Sample manufacturing: manufacture epoxy samples with varying curing agent-to-epoxy stoichiometric ratios and cure temperatures. This is further described in Section 2.1.
- Sample characterization: evaluate the elastic moduli and curing process using ultrasonics as an NDE method. This is further described in Section 2.2 and Section 2.3.
- Model training and testing: use a KNN regressor to build and test four different models for four different scenarios to correlate processing parameters with curing and elastic properties. This is further described in Section 2.4.
2. Materials and Methods
2.1. Materials and Sample Preparation
2.2. UNDE for Cure Kinetics
2.3. Mechanical Properties
2.4. Machine Learning Model
- T: Temperature at which the resin was cured;
- r: Amine-to-epoxy stoichiometric ratio;
- CL: Longitudinal modulus obtained using Equation (2);
- tonset: Time at which the resin enters the vitrification stage.
3. Results and Discussion
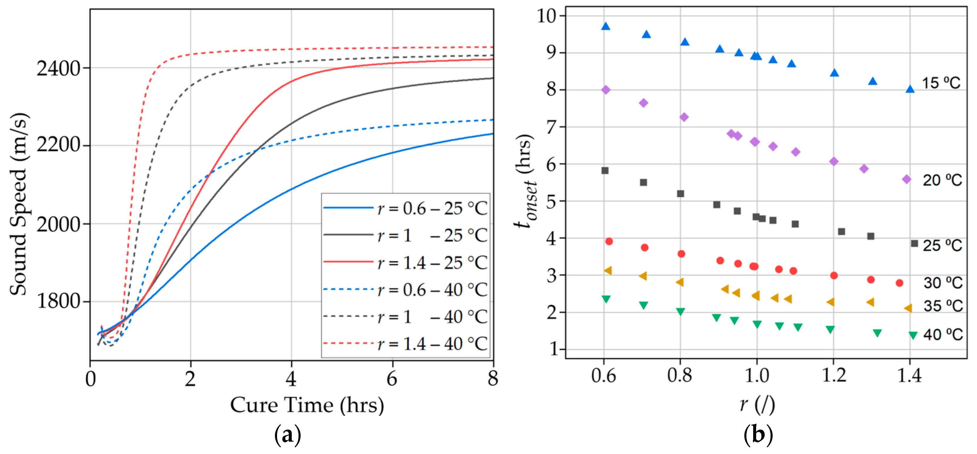
3.1. Ultrasonics Testing
3.2. Machine Learning
3.2.1. Scenario A
3.2.2. Scenario B
3.2.3. Scenario C
3.2.4. Scenario D
4. Conclusions
Supplementary Materials
Author Contributions
Funding
Institutional Review Board Statement
Data Availability Statement
Acknowledgments
Conflicts of Interest
Abbreviations
| DMA | Dynamic Mechanical Analysis |
| DSC | Differential Scanning Calorimetry |
| UNDE | Ultrasonic Non-Destructive Evaluation |
| KNN | K-Nearest Neighbors |
| RMSE | Root Mean Square Error |
| ML | Machine Learning |
References
- Sukanto, H.; Raharjo, W.W.; Ariawan, D.; Triyono, J.; Kaavesina, M. Epoxy resins thermosetting for mechanical engineering. Open. Eng. 2021, 11, 797–814. [Google Scholar]
- Capricho, J.C.; Fox, B.; Hameed, N. Multifunctionality in Epoxy Resins. Polym. Rev. 2020, 60, 1–41. [Google Scholar]
- Nguyen, V.T.; Vaughan, A.S.; Lewin, P.L.; Krivda, A. The effect of resin stoichiometry and nanoparticle addition on epoxy/silica nanodielectrics. IEEE Trans. Dielectr. Electr. Insul. 2015, 22, 895–905. [Google Scholar] [CrossRef]
- Dubon, J.; Seisdedos, G.; Watring, D.; Pajon, M.; Khizroev, S.; McDaniel, D.; Boesl, B. Multifunctional MEN-Doped Adhesives: Strengthening, Bond Quality Evaluation, and Variations in Magnetic Signal with Environmental Exposure. Appl. Sci. 2022, 12, 8238. [Google Scholar] [CrossRef]
- Seisdedos, G.; Viamontes, E.; Salazar, E.; Ontiveros, M.; Pantea, C.; Davis, E.S.; Rockward, T.; McDaniel, D.; Boesl, B. Assessment and Non-Destructive Evaluation of the Influence of Residual Solvent on a Two-Part Epoxy-Based Adhesive Using Ultrasonics. Appl. Sci. 2023, 13, 3883. [Google Scholar] [CrossRef]
- Vanlandingham, M.R.; Eduljee, R.F.; Gillespie, J.W. Relationships between Stoichiometry, Microstructure, and Properties for Amine-Cured Epoxies. J. Appl. Polym. Sci. 1999, 71, 699–712. [Google Scholar]
- Gupta, V.B.; Drzal, L.T.; Lee, C.Y.C.; Rich, M.J. The temperature-dependence of some mechanical properties of a cured epoxy resin system. Polym. Eng. Sci. 1985, 25, 812–823. [Google Scholar]
- Wegmann, A. Chemical resistance of waterborne epoxy/amine coatings. Prog. Org. Coat. 1997, 32, 231–239. [Google Scholar]
- Palmese, G.R.; McCullough, R.L. Effect of epoxy–amine stoichiometry on cured resin material properties. J. Appl. Polym. Sci. 1992, 46, 1863–1873. [Google Scholar]
- Wang, H.; Li, S.; Yuan, Y.; Liu, X.; Sun, T.; Wu, Z. Study of the epoxy/amine equivalent ratio on thermal properties, cryogenic mechanical properties, and liquid oxygen compatibility of the bisphenol A epoxy resin containing phosphorus. High. Perform. Polym. 2020, 32, 429–443. [Google Scholar]
- Seraji, S.M.; Gan, H.; Le, N.D.; Zhang, J.; Varley, R.J. The effect of DOPO concentration and epoxy amine stoichiometry on the rheological, thermal, mechanical and fire-retardant properties of crosslinked networks. Polym. Int. 2022, 71, 1320–1329. [Google Scholar]
- Wu, L.; Hoa, S.V. Effects of Composition of Hardener on the Curing and Aging for an Epoxy Resin System. J. Appl. Polym. Sci. 2006, 99, 580–588. [Google Scholar]
- Kim, S.L.; Janiszewski, J.; Skibo, M.D.; Manson, J.A.; Hertzberg, R.W. Effect of molecular weight distribution on fatigue crack propagation in poly(methyl methacrylate). Polym. Eng. Sci. 1979, 19, 145–150. [Google Scholar]
- Grave, C.; Mcewan, I.; Pethrick, R.A. Influence of Stoichiometric Ratio on Water Absorption in Epoxy Resins. J. Appl. Polym. Sci. 1998, 69, 2369–2376. [Google Scholar] [CrossRef]
- Andrés, M.A.; Garmendia, J.; Valea, A.; Eceiza, A.; Mondragon, I. Fracture Toughness of Epoxy Resins Modified with Polyethersulfone: Influence of Stoichiometry on the Morphology of the Mixtures. J. Appl. Polym. Sci. 1998, 69, 183–191. [Google Scholar]
- Jiménez-Suárez, A.; Campo, M.; Sánchez, M.; Romón, C.; Ureña, A. Dispersion of carbon nanofibres in a low viscosity resin by calendering process to manufacture multiscale composites by VARIM. Compos. Part B Eng. 2012, 43, 3104–3113. [Google Scholar]
- Sáiz, L.M.; Prolongo, M.G.; Bonache, V.; Jiménez-Suárez, A.; Prolongo, S.G. Self-healing materials based on disulfide bond-containing acrylate networks. Polym. Test. 2022, 117, 107832. [Google Scholar]
- Isarn, I.; Collado, I.; Jiménez-Suárez, A.; Prolongo, S.G. Analysis of bio-based epoxy resins: Impact of amine hardeners on thermal, thermomechanical, optical and electrical properties of epoxidized resveratrol with high Tg. React. Funct. Polym. 2024, 205, 106080. [Google Scholar] [CrossRef]
- Seisdedos, G.; Hernandez, B.; Dubon, J.; Ontiveros, M.; Boesl, B.; Mcdaniel, D. Non-Destructive Evaluation of Mechanical Damage of Adhesives Using Magneto-Electric Nanoparticles. Am. Soc. Compos. 2021, 1, 303–311. [Google Scholar]
- Prolongo, S.G.; Moriche, R.; Jiménez-Suárez, A.; Sánchez, M.; Ureña, A. Advantages and disadvantages of the addition of graphene nanoplatelets to epoxy resins. Eur. Polym. J. 2014, 61, 206–214. [Google Scholar] [CrossRef]
- Dubon, J.; Seisdedos, G.; Ontiveros, M.; Boesl, B.; McDaniel, D. Bond Quality Evaluation Using Adhesive Doped with Magneto-lectric Nanoparticles. Am. Soc. Compos. 2021, 3, 1789–1801. [Google Scholar]
- Lionetto, F.; Maffezzoli, A. Monitoring the cure state of thermosetting resins by ultrasound. Materials 2013, 6, 3783–3804. [Google Scholar] [CrossRef]
- Maffezzoli, A.; Quarta, E.; Luprano, V.A.M.; Montagna, G.; Nicolais, L. Cure Monitoring of Epoxy Matrices for Composites by Ultrasonic Wave Propagation. J. Appl. Polym. Sci. 1969, 73, 1969–1977. [Google Scholar] [CrossRef]
- Seisdedos, G.; Viamontes, E.; Salazar, E.; Pantea, C.; Davis, E.S.; Rockward, T.; Boesl, B. Real-Time Non-Destructive Characterization of Epoxy Resin Curing Kinetics and Mechanical Response for Enhanced Manufacturing Quality Control. Poly. Test. 2024, 143, 108678. [Google Scholar] [CrossRef]
- Caluk, N.; Seisdedos, G.; Azizinamini, A. Destructive and non-destructive testing of potential lunar polymer concrete for future lunar habitable infrastructure. Constr. Build. Mater. 2023, 405, 133395. [Google Scholar] [CrossRef]
- Lionetto, F.; Maffezzoli, A. Polymer Characterization by Ultrasonic Wave Propagation. Adv. Polym. Technol. 2008, 27, 63–73. [Google Scholar] [CrossRef]
- Chin, W.K.; Ja-Jen, H.; Shau, M. Curing behaviour and thermal properties of Epon 828 resin cured with diimide-diacid and phthalic anhydride. Polymer 1998, 39, 4923–4928. [Google Scholar] [CrossRef]
- Andraju, N.; Curtzwiler, G.W.; Ji, Y.; Kozliak, E.; Ranganathan, P. Machine-Learning-Based Predictions of Polymer and Postconsumer Recycled Polymer Properties: A Comprehensive Review. ACS Appl. Mater. Interfaces 2022, 14, 42771–42790. [Google Scholar] [CrossRef]
- Tao, L.; Varshney, V.; Li, Y. Benchmarking Machine Learning Models for Polymer Informatics: An Example of Glass Transition Temperature. J. Chem. Inf. Model. 2021, 61, 5395–5413. [Google Scholar] [CrossRef]
- Pilania, G.; Wang, C.; Jiang, X.; Rajasekaran, S.; Ramprasad, R. Accelerating materials property predictions using machine learning. Sci. Rep. 2013, 3, 2810. [Google Scholar] [CrossRef]
- Malashin, I.P.; Tynchenko, V.S.; Nelyub, V.A.; Borodulin, A.S.; Gantimurov, A.P. Estimation and Prediction of the Polymers’ Physical Characteristics Using the Machine Learning Models. Polymers 2024, 16, 115. [Google Scholar]
- Wan, Z.; Chen, S.; Feng, X.; Sun, Z.Y. From processing to properties: Enhancing machine learning models with microstructural information in polymer nanocomposites. Compos. Commun. 2024, 51, 102072. [Google Scholar]
- Wang, T.S.; Shau, M.D.A. Properties of epon 828 resin cured by cyclic phosphine oxide tetra acid. J. Appl. Polym. Sci. 1998, 70, 1877–1885. [Google Scholar] [CrossRef]
- Sturtevant, B.T.; Velisavljevic, N.; Sinha, D.N.; Kono, Y.; Pantea, C. A broadband wavelet implementation for rapid ultrasound pulse-echo time-of-flight measurements. Rev. Sci. Instrum. 2020, 91, 075115. [Google Scholar]
- Sturtevant, B.T.; Pantea, C.; Sinha, D.N. Evaluation of the Transmission Line Model for Couplant Layer Corrections in Pulse-Echo Measurements. IEEE Trans. Ultrason. 2013, 60, 943–953. [Google Scholar]
- Pantea, C.; Rickel, D.G.; Migliori, A. Digital ultrasonic pulse-echo overlap system and algorithm for unambiguous determination of pulse transit time. Rev. Sci. Instrum. 2005, 76, 114902. [Google Scholar] [CrossRef]
- Material Sound Velocities, Olympus. Available online: https://www.olympus-ims.com/am/ndt-tutorials/thickness-gauge/appendices-velocities. (accessed on 7 June 2024).
- Wu, X.; Kumar, V. The Top Ten Algorithms in Data Mining, Data Mining and Knowledge Discovery Series; Chapman and Hall/CRC: Boca Raton, FL, USA, 2009. [Google Scholar]
- Prolongo, S.G.; Díaz-Maroto, C.G.; Jiménez-Suárez, A. Electroactive shaping and shape memory of sequential dual-cured off-stoichiometric epoxy/CNT composites. J. Mater. Res. Technol. 2021, 15, 2970–2981. [Google Scholar]








| Scenario | Features | Target Properties | |
|---|---|---|---|
| A | T, r | CL, tonset | |
| B | CL, tonset | T, r | |
| C | T, r, tonset | CL | |
| D | T, r, CL | tonset | |
| T: Cure temperature (°C) | r: Amine-to-epoxy ratio (/) | ||
| CL: Longitudinal modulus (Pa) | tonset: Transition onset time (h) | ||
| Scenario | Nearest Neighbors (k) | RMSE |
|---|---|---|
| A (CL) | 2 | 0.025 GPa |
| A (tonset) | 2 | 0.063 h |
| B (r) | 1 | 0.088 |
| B (T) | 1 | 0 °C |
| C (CL) | 4 | 0.029 GPa |
| D (tonset) | 2 | 0.089 h |
Disclaimer/Publisher’s Note: The statements, opinions and data contained in all publications are solely those of the individual author(s) and contributor(s) and not of MDPI and/or the editor(s). MDPI and/or the editor(s) disclaim responsibility for any injury to people or property resulting from any ideas, methods, instructions or products referred to in the content. |
© 2025 by the authors. Licensee MDPI, Basel, Switzerland. This article is an open access article distributed under the terms and conditions of the Creative Commons Attribution (CC BY) license (https://creativecommons.org/licenses/by/4.0/).
Share and Cite
Seisdedos, G.; Prisbrey, M.G.; Vakhlamov, P.; Fernandez, J.; De Freitas, R.; Rockward, T.; Davis, E.S. Data-Driven Tailoring Optimization of Thermoset Polymers Using Ultrasonics and Machine Learning. Polymers 2025, 17, 895. https://doi.org/10.3390/polym17070895
Seisdedos G, Prisbrey MG, Vakhlamov P, Fernandez J, De Freitas R, Rockward T, Davis ES. Data-Driven Tailoring Optimization of Thermoset Polymers Using Ultrasonics and Machine Learning. Polymers. 2025; 17(7):895. https://doi.org/10.3390/polym17070895
Chicago/Turabian StyleSeisdedos, Gonzalo, Milo G. Prisbrey, Pavel Vakhlamov, Joshua Fernandez, Riangello De Freitas, Tommy Rockward, and Eric S. Davis. 2025. "Data-Driven Tailoring Optimization of Thermoset Polymers Using Ultrasonics and Machine Learning" Polymers 17, no. 7: 895. https://doi.org/10.3390/polym17070895
APA StyleSeisdedos, G., Prisbrey, M. G., Vakhlamov, P., Fernandez, J., De Freitas, R., Rockward, T., & Davis, E. S. (2025). Data-Driven Tailoring Optimization of Thermoset Polymers Using Ultrasonics and Machine Learning. Polymers, 17(7), 895. https://doi.org/10.3390/polym17070895

