Obtaining and Characterization of Biodegradable Polymer Blends Based on Polyvinyl Alcohol, Starch, and Chitosan
Abstract
1. Introduction
2. Materials and Methods
2.1. Obtaining of Chitosan-b-Polyvinyl Alcohol-b-Starch (CS-b-PVA)
2.2. Film Formation
2.3. Measurements
3. Results and Discussion
3.1. FTIR Spectra
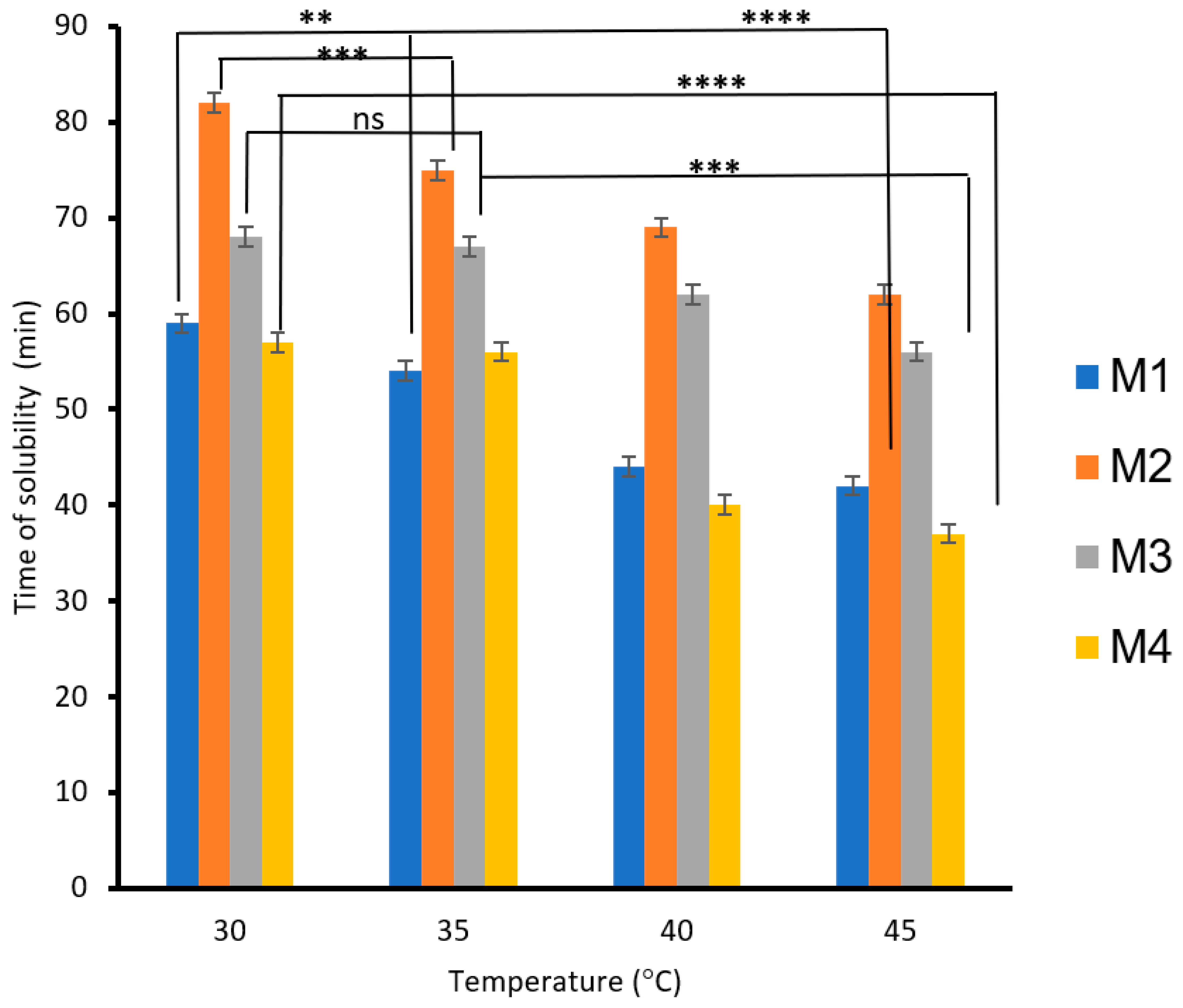
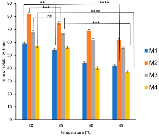
3.2. Viscosity
3.3. Thermogravimetric Analysis (TGA)
3.4. Mechanical Properties
3.5. Biodegradability Properties of PE/S Blend Films
3.6. Scanning Electron Microscopy (SEM)
4. Conclusions
Supplementary Materials
Author Contributions
Funding
Institutional Review Board Statement
Data Availability Statement
Conflicts of Interest
References
- Jha, K.; Kataria, R.; Verma, J.; Pradhan, S. Potential biodegradable matrices and fiber treatment for green composites: A review. AIMS Mater. Sci. 2019, 6, 119–138. [Google Scholar] [CrossRef]
- Samir, A.; Ashour, F.H.; Hakim, A.A.A.; Bassyouni, M. Recent advances in biodegradable polymers for sustainable applications. npj Mater. Degrad. 2022, 6, 68. [Google Scholar] [CrossRef]
- Samy, M.; Abd El-Alim, S.H.; Rabia, A.E.G.; Amin, A.; Ayoub, M.M.H. Formulation, characterization and in vitro release study of 5-fluorouracil loaded chitosan nanoparticles. Int. J. Biolo. Macromol. 2020, 156, 783–791. [Google Scholar] [CrossRef] [PubMed]
- Lednev, I.; Salomatina, E.; Ilyina, S.; Zaitsev, S.; Kovylin, R.; Smirnova, L. Development of Biodegradable Polymer Blends Based on Chitosan and Polylactide and Study of Their Properties. Materials 2021, 14, 4900. [Google Scholar] [CrossRef]
- Garavand, Y.; Taheri-Garavand, A.; Garavand, F.; Shahbazi, F.; Khodaei, D.; Cacciotti, I. Starch-Polyvinyl Alcohol-Based Films Reinforced with Chitosan Nanoparticles: Physical, Mechanical, Structural, Thermal and Antimicrobial Properties. Appl. Sci. 2022, 12, 1111. [Google Scholar] [CrossRef]
- El-Hefian, E.A.; Nasef, M.M.; Yahaya, A.H. Chitosan-Based Polymer Blends: Current Status and Applications. J. Chem. Soc. Pak. 2014, 36, 11–27. [Google Scholar]
- Saheed, I.O.; Oh, W.D.; Suah, F.B.M. Chitosan modifications for adsorption of pollutants—A review. J. Hazard. Mater. 2021, 408, 124889. [Google Scholar] [CrossRef] [PubMed]
- Wang, J.; Zhuang, S. Chitosan-Based Materials: Preparation, Modification and Application. J. Clean. Prod. 2022, 355, 131825. [Google Scholar] [CrossRef]
- Sharma, S.; Sudhakara, P.; Singh, J.; Ilyas, R.A.; Asyraf, M.R.M.; Razman, M.R. Critical Review of Biodegradable and Bioactive Polymer Composites for Bone Tissue Engineering and Drug Delivery Applications. Polymers 2021, 13, 2623. [Google Scholar] [CrossRef]
- Javaid, M.A.; Zia, K.M.; Zafar, K.; Khosa, M.K.; Akram, N.; Ajmal, M.; Imran, M.; Iqbal, M.N. Synthesis and Molecular Characterization of Chitosan/Starch Blends Based Polyurethanes. Int. J. Biol. Macromolec. 2020, 146, 243–252. [Google Scholar] [CrossRef]
- Alam, M.A.; Debnath, A.; Tasnim, T.; Sarker, S.S.; Uddin, M.T.; Kamruzzaman, S.; Chowdhury, I.F.; Shawon, M.T.A.; Tang, Z.; Mondal, A.K. Facile strategy of Fe3+ rich collagen-based composite hydrogel for antibacterial, electricity harvesting and sensing applications. Mater. Today Commun. 2024, 41, 110391. [Google Scholar] [CrossRef]
- Tiozon, R.N., Jr.; Bonto, A.P.; Sreenivasulu, N. Enhancing the Functional Properties of Rice Starch through Biopolymer Blending for Industrial Applications: A Review. Int. J. Biol. Macromolec. 2021, 192, 100–117. [Google Scholar] [CrossRef] [PubMed]
- Lu, D.R.; Xiao, C.M.; Xu, S.J. Starch-Based Completely Biodegradable Polymer Materials. Express Polym. Lett. 2009, 3, 366–375. [Google Scholar] [CrossRef]
- Karua, C.S.; Sahoo, A. Synthesis and Characterization of Starch/Chitosan Composites. Mater. Today Proc. 2020, 33, 5179–5183. [Google Scholar] [CrossRef]
- Hanaa, J.; Abd Alradha, R.; Alzubaidy, A. Preparation and Characterization of Polyvinyl Alcohol/Starch/Bio Oil Extraction Blends Coating for Food Packaging Using Electrospinning Technique. Egypt. J. Chem. 2022, 66, 141–149. [Google Scholar] [CrossRef]
- Parida, U.K.; Nayak, A.K.; Binhani, B.K.; Nayak, P.L. Synthesis and Characterization of Chitosan-Polyvinyl Alcohol Blended with Cloisite 30B for Controlled Release of the Anticancer Drug Curcumin. J. Biomater. Nanobiotechnol. 2011, 2, 414–425. [Google Scholar] [CrossRef]
- Tian, P.; Zhao, X.; Liu, W.; Zhang, J. Preparation and application of cross-linked PVA microspheres with narrow particle size distribution by suspension polymerization using uniform porous tube. React. Funct. Polym. 2022, 171, 105153. [Google Scholar] [CrossRef]
- Samzadeh-Kermani, A.; Esfandiary, N. Synthesis and Characterization of New Biodegradable Chitosan/Polyvinyl Alcohol/Cellulose Nanocomposite. Adv. Nanoparticles 2016, 5, 18–26. [Google Scholar] [CrossRef]
- Kamoun, E.A.; Loutfy, S.A.; Hussein, Y.; Kenawy, E.-R.S. Recent Advances in PVA-Polysaccharide Based Hydrogels and Electrospun Nanofibers in Biomedical Applications: A Review. Int. J. Biol. Macromol. 2021, 187, 755–768. [Google Scholar] [CrossRef]
- Ramzy, G.; Mousa, E. Preparation, Characterization, Optical and Electrical Properties of Polyvinyl Alcohol/Chitosan Blend Doped with Manganese Bromide for Electronic Applications. Egypt. J. Phys. 2022, 51, 1–19. [Google Scholar] [CrossRef]
- Kochkina, N.E.; Lukin, N.D. Structure and Properties of Biodegradable Maize Starch/Chitosan Composite Films as Affected by PVA Additions. Int. J. Biol. Macromol. 2020, 157, 377–384. [Google Scholar] [CrossRef]
- Elshahawy, A.G.; Badr, S.I.; Shadi, A.A. Synthesis and Structural Characteristics of Semi-Synthetic Biopolymer Blends Based on Polyvinyl Alcohol, Starch and Chitosan. J. Ad. Phys. 2018, 14, 5554–5563. [Google Scholar] [CrossRef]
- Ayyubi, S.N.; Purbasari, A.; Kusmiyati. The Effect of Composition on Mechanical Properties of Biodegradable Plastic Based on Chitosan/Cassava Starch/PVA/Crude Glycerol: Optimization of the Composition Using Box Behnken Design. Mater. Today Proc. 2022, 63, S78–S83. [Google Scholar] [CrossRef]
- Shojaee Kang Sofla, M.; Mortazavi, S.; Seyfi, J. Preparation and characterization of polyvinyl alcohol/chitosan blends plasticized and compatibilized by glycerol/polyethylene glycol. Carbohydr. Polym. 2020, 232, 115784. [Google Scholar] [CrossRef]
- Abraham, A.; Soloman, P.A.; Rejini, V.O. Preparation of Chitosan-Polyvinyl Alcohol Blends and Studies on Thermal and Mechanical Properties. Procedia Technol. 2016, 24, 741. [Google Scholar] [CrossRef]
- Qureshi, D.; Sahoo, A.; Mohanty, B.; Anis, A.; Kulikouskaya, V.; Hileuskaya, K.; Agabekov, V.; Sarkar, P.; Ray, S.S.; Maji, S.; et al. Fabrication and Characterization of Poly (vinyl alcohol) and Chitosan Oligosaccharide-Based Blend Films. Gels 2021, 7, 55. [Google Scholar] [CrossRef]
- Bhat, V.G.; Masti, S.P.; Narasagoudr, S.S.; Chougale, R.B.; SK, P.K.; Dalbanjan, N.P.; Malabadi, R.B. Chitosan, Poly(vinyl alcohol) and Chitosan/Poly(vinyl alcohol) based active films loaded with white turmeric powder for food packaging applications. Food Biosci. 2024, 60, 104402. [Google Scholar] [CrossRef]
- Doan, L.; Tran, K. Relationship between the Polymer Blend Using Chitosan, Polyethylene Glycol, Polyvinyl Alcohol, Polyvinylpyrrolidone, and Antimicrobial Activities against Staphylococcus aureus. Pharmaceutics 2023, 15, 2453. [Google Scholar] [CrossRef]
- Yeligbayeva, G.; Al Azzam, K.M.; Irmukhametova, G.; Bekbayeva, L.; Kairatuly, O.Z.; Iskalieva, A.; Negim, E.-S.; Nadia, B. The Effect of Calcium Carbonate, Rice, and Wheat Straw on the Biodegradability of Polyethylene/Starch Films. Polym. Cryst. 2024, 2024, 8674988. [Google Scholar] [CrossRef]
- Negim, E.; Rakhmetullayeva, R.; Yeligbayeva, G.; Urkimbaeva, P.; Primzharova, S.; Kaldybekov, D.; Khatib, J.; Mun, G.A.; Craig, W. Improving Biodegradability of Polyvinyl Alcohol/Starch Blend Films for Packaging Applications. Int. J. Basic Appl. Sci. 2014, 3, 263. [Google Scholar] [CrossRef]
- Negim, E.-S.M.; Pi, U.; Bekbayeva, L.; Bho, M.; Mohamad, M.N.; Irmukhametova, G.; Ga, M. Effect of Acrylic Acid on the Mechanical Properties of PVA/Starch Blend Films. Egypt. J. Chem. 2020, 63, 8–9. [Google Scholar] [CrossRef]
- ASTM D882; Standard Test Method for Tensile Properties of Thin Plastic Sheeting. ASTM International (ASTM): West Conshohocken, PA, USA, 2018.
- Dharmalingam, S.; Hayes, D.G.; Wadsworth, L.C.; Dunlap, R.N. Analysis of the Time Course of Degradation for Fully Biobased Nonwoven Agricultural Mulches in Compost-Enriched Soil. Text. Res. J. 2015, 86, 1343–1355. [Google Scholar] [CrossRef]
- Dai, F.; Zhuang, Q.; Huang, G.; Deng, H.; Zhang, X. Infrared Spectrum Characteristics and Quantification of OH Groups in Coal. ACS Omega 2023, 8, 17064–17076. [Google Scholar] [CrossRef] [PubMed]
- Sukhlaaied, W.; Riyajan, S.-A.; Palmese, G.R. Dynamic Viscosity of Maleate Poly(Vinyl Alcohol) and Its Copolymer Measured by Rheometer. Polym. Test. 2016, 56, 387–393. [Google Scholar] [CrossRef]
- Ngwabebhoh, F.A.; Gazi, M.; Oladipo, A.A. Adsorptive removal of multi-azo dye from aqueous phase using a semi-IPN superabsorbent chitosan-starch hydrogel. Chem. Eng. Res. Des. 2016, 112, 274. [Google Scholar] [CrossRef]
- Lozano-Navarro, J.I.; Díaz-Zavala, N.P.; Velasco-Santos, C.; Melo-Banda, J.A.; Páramo-García, U.; Paraguay-Delgado, F.; García-Alamilla, R.; Martínez-Hernández, A.L.; Zapién-Castillo, S. Chitosan-Starch Films with Natural Extracts: Physical, Chemical, Morphological and Thermal Properties. Materials 2018, 11, 120. [Google Scholar] [CrossRef] [PubMed]
- Elleithy, R.H.; Ali, I.; Ali, M.A.; Al-Zahrani, S.M. High Density Polyethylene/Micro Calcium Carbonate Composites: A Study of the Morphological, Thermal, and Viscoelastic Properties. J. Appl. Polym. Sci. 2010, 117, 2413–2421. [Google Scholar] [CrossRef]
- Panwar, P.; Schweissinger, E.; Maier, S.; Hilf, S.; Sirak, S.; Martini, A. Effect of polymer structure and chemistry on viscosity index, thickening efficiency, and traction coefficient of lubricants. J. Mol. Liq. 2022, 359, 119215. [Google Scholar] [CrossRef]
- Menzel, C.; González-Martínez, C.; Vilaplana, F.; Diretto, G.; Chiralt, A. Incorporation of Natural Antioxidants from Rice Straw into Renewable Starch Films. Int. J. Biol. Macromol. 2020, 146, 976–986. [Google Scholar] [CrossRef]
- Mamun, A.; Rahman, S.M.M.; Roland, S.; Mahmood, R. Impact of Molecular Weight on the Thermal Stability and the Miscibility of Poly(ε-Caprolactone)/Polystyrene Binary Blends. J. Polym. Environ. 2018, 26, 3511–3519. [Google Scholar] [CrossRef]
- Baiardo, M.; Frisoni, G.; Scandola, M.; Rimelen, M.; Lips, D.; Ruffieux, K.; Wintermantel, E. Thermal and Mechanical Properties of Plasticized Poly(L-lactic Acid). J. Appl. Polym. Sci. 2003, 90, 1731–1738. [Google Scholar] [CrossRef]
- Suyatma, N.E.; Copinet, A.; Tighzert, L.; Coma, V. Mechanical and Barrier Properties of Biodegradable Films Made from Chitosan and Poly (Lactic Acid) Blends. J. Polym. Environ. 2004, 12, 1–6. [Google Scholar] [CrossRef]
- Li, H.-Z.; Chen, S.-C.; Wang, Y.-Z. Thermoplastic PVA/PLA Blends with Improved Processability and Hydrophobicity. Ind. Eng. Chem. Res. 2014, 53, 17355–17361. [Google Scholar] [CrossRef]
- Derkowski, A.; Kuligiewicz, A. Thermal Analysis and Thermal Reactions of Smectites: A Review of Methodology, Mechanisms, and Kinetics. Clays Clay Miner. 2022, 70, 946–972. [Google Scholar] [CrossRef]
- Liu, J.; Jia, C.; He, C. Rice Straw and Cornstarch Biodegradable Composites. AASRI Procedia 2012, 3, 83–88. [Google Scholar] [CrossRef]
- Tang, X.; Alavi, S. Recent Advances in Starch, Polyvinyl Alcohol Based Polymer Blends, Nanocomposites and Their Biodegradability. Carbohydr. Polym. 2011, 85, 7–16. [Google Scholar] [CrossRef]
- Aldas, M.; Pavon, C.; De La Rosa-Ramírez, H.; Ferri, J.M.; Bertomeu, D.; Samper, M.D.; López-Martínez, J. The Impact of Biodegradable Plastics in the Properties of Recycled Polyethylene Terephthalate. J. Polym. Environ. 2021, 29, 2686–2700. [Google Scholar] [CrossRef]
- Olzhabay, A.T.; Urkimayeva, P.I.; Kenessova, Z.A.; Yespenbetova, S.O.; Negim, E.S. Development of a Technology for Processing Waste Plastic Bottles and Bags to Obtain Various Types of Biodegradable Polymer Films. Int. J. Biol. Chem. 2022, 15, 107–116. [Google Scholar] [CrossRef]
- Tavares, K.M.; de Campos, A.; Mitsuyuki, M.C.; Luchesi, B.R.; Marconcini, J.M. Corn and Cassava Starch with Carboxymethyl Cellulose Films and Its Mechanical and Hydrophobic Properties. Carbohydr. Polym. 2019, 223, 115055. [Google Scholar] [CrossRef] [PubMed]
- Freitas, P.A.V.; González-Martínez, C.; Chiralt, A. Antioxidant Starch Composite Films Containing Rice Straw Extract and Cellulose Fibres. Food Chem. 2023, 400, 134073. [Google Scholar] [CrossRef]
- Iskalieva, A.; Yesmurat, M.; Al Azzam, K.M.; Ainakulova, D.; Yerbolat, Y.; Negim, E.-S.; Ibrahim, M.N.M.; Gulzhakhan, Y. Effect of Polyethylene Glycol Methyl Ether Methacrylate on the Biodegradability of Polyvinyl Alcohol/Starch Blend Films. Polymers 2023, 15, 3165. [Google Scholar] [CrossRef] [PubMed]
- Nuriyah, L.; Saroja, G.; Rohmad, J. The Effect of Calcium Carbonate Addition to Mechanical Properties of Bioplastic Made from Cassava Starch with Glycerol as Plasticizer. IOP Conf. Ser. Mater. Sci. Eng. 2019, 546, 042030. [Google Scholar] [CrossRef]
- Ibzhanova, A.; Niyazbekova, R.; Al Azzam, K.; Negim, E.-S.; Akibekov, O. Biodegradability of Non-Wood Packaging Paper. Egypt. J. Chem. 2022, 65, 131–139. [Google Scholar] [CrossRef]







| Samples | CS | PVA | S |
|---|---|---|---|
| M1 | 1 | 3 | 6 |
| M2 | 1 | 5 | 4 |
| Samples | Weight Lost % | Temperature, °C |
|---|---|---|
| M1 | 20 | 0–280 |
| 41 | 280–340 | |
| 18 | 340–470 | |
| 25 | 470–500 | |
| M2 | 18 | 0–420 |
| 75 | 420–480 | |
| M3 | 20 | 0–200 |
| 25 | 200–380 | |
| 40 | 380–470 | |
| 15 | 470–600 | |
| M4 | 20 | 0–400 |
| 60 | 400–500 |
| Samples | Tensile Strength (MPa) | Elongation (%) | Contact Angle (deg) |
|---|---|---|---|
| M1 | 5.1 | 10.5 | 78.0 |
| M2 | 7.4 | 13.7 | 85.0 |
| M3 | 6.8 | 7.3 | 85.5 |
| M4 | 12.5 | 17.5 | 71.8 |
| Samples | Time of Film Weight Loss Until 90% (Days) |
|---|---|
| M1 | 45 |
| M2 | 65 |
| M3 | 52 |
| M4 | 41 |
Disclaimer/Publisher’s Note: The statements, opinions and data contained in all publications are solely those of the individual author(s) and contributor(s) and not of MDPI and/or the editor(s). MDPI and/or the editor(s) disclaim responsibility for any injury to people or property resulting from any ideas, methods, instructions or products referred to in the content. |
© 2025 by the authors. Licensee MDPI, Basel, Switzerland. This article is an open access article distributed under the terms and conditions of the Creative Commons Attribution (CC BY) license (https://creativecommons.org/licenses/by/4.0/).
Share and Cite
Irmukhametova, G.; Al Azzam, K.M.; Mun, G.A.; Bekbayeva, L.; Dinara, Z.; Yermukhambetova, B.B.; Nechipurenko, S.V.; Efremov, S.A.; Negim, E.-S.; Samy, M. Obtaining and Characterization of Biodegradable Polymer Blends Based on Polyvinyl Alcohol, Starch, and Chitosan. Polymers 2025, 17, 479. https://doi.org/10.3390/polym17040479
Irmukhametova G, Al Azzam KM, Mun GA, Bekbayeva L, Dinara Z, Yermukhambetova BB, Nechipurenko SV, Efremov SA, Negim E-S, Samy M. Obtaining and Characterization of Biodegradable Polymer Blends Based on Polyvinyl Alcohol, Starch, and Chitosan. Polymers. 2025; 17(4):479. https://doi.org/10.3390/polym17040479
Chicago/Turabian StyleIrmukhametova, Galiya, Khaldun M. Al Azzam, Grigoriy A. Mun, Lyazzat Bekbayeva, Zhetpisbay Dinara, Bayana B. Yermukhambetova, Sergey V. Nechipurenko, Sergey A. Efremov, El-Sayed Negim, and Moshera Samy. 2025. "Obtaining and Characterization of Biodegradable Polymer Blends Based on Polyvinyl Alcohol, Starch, and Chitosan" Polymers 17, no. 4: 479. https://doi.org/10.3390/polym17040479
APA StyleIrmukhametova, G., Al Azzam, K. M., Mun, G. A., Bekbayeva, L., Dinara, Z., Yermukhambetova, B. B., Nechipurenko, S. V., Efremov, S. A., Negim, E.-S., & Samy, M. (2025). Obtaining and Characterization of Biodegradable Polymer Blends Based on Polyvinyl Alcohol, Starch, and Chitosan. Polymers, 17(4), 479. https://doi.org/10.3390/polym17040479

