Next Article in Journal
Polymer Blend Spiking Method for Quantifying Polypropylene Variants in 100% Polypropylene Blends
Previous Article in Journal
From Research Trend to Performance Prediction: Metaheuristic-Driven Machine Learning Optimization for Cement Pastes Containing Bio-Based Phase Change Materials
 
 
Font Type:
Arial Georgia Verdana
Font Size:
Aa Aa Aa
Line Spacing:
Column Width:
Background:
Article

Preparation of Concentrated PMMA Suspensions Stabilized by a Green Polysiloxane Surfactant

1
Enikolopov Institute of Synthetic Polymeric Materials, Russian Academy of Sciences, Moscow 117393, Russia
2
A.N. Nesmeyanov Institute of Organoelement Compounds, Russian Academy of Sciences, Moscow 119334, Russia
3
Department of Chemistry and Technology of Macromolecular Compounds, MIREA—Russian Technological University, Moscow 119454, Russia
*
Author to whom correspondence should be addressed.
Polymers 2025, 17(18), 2535; https://doi.org/10.3390/polym17182535
Submission received: 14 August 2025 / Revised: 16 September 2025 / Accepted: 17 September 2025 / Published: 19 September 2025
(This article belongs to the Section Polymer Chemistry)

Abstract

This study presents an approach to stabilizing suspension particles using novel eco-friendly hyperbranched organosilicon surfactants—poly(methyl ethoxysiloxane) with poly(ethylene glycol) groups (PMEOS-PEG). The surface-active properties of PMEOS-PEG polymers at the methyl methacrylate–water interface were thoroughly investigated. We demonstrate the successful preparation of concentrated, stable aqueous suspensions of poly(methyl methacrylate) with tunable particle sizes ranging from 370 nm to 840 nm.

1. Introduction

In recent decades, aqueous polymer dispersions (APDs) have gained widespread global adoption as environmental regulations have significantly limited emissions of volatile organic compounds in the production of coatings, adhesives, inks, and other applications [1,2,3]. According to statistical data [4,5], approximately 7.5–8 million metric tons of APDs are produced and sold worldwide annually, with this figure steadily increasing each year. Among these, acrylic dispersions—particularly monodisperse poly(methyl methacrylate) (PMMA) microspheres—have become increasingly prevalent due to their excellent transparency, biocompatibility, low cost, and other advantages [6,7]. The modifiable ester group in PMMA has enabled its use in diverse applications, including coatings, paper and textile adhesives, and functional finishing materials [7,8].
PMMA microspheres can be synthesized via various radical polymerization methods [9,10]. Industrially, however, heterophase polymerization in aqueous media is preferred as an environmentally benign approach for producing high-molecular-weight microspheres [11]. While water-based heterophase polymerization is inherently eco-friendly, its sustainability is compromised by the toxicity of conventional surfactants—such as fatty acid salts and aromatic/aliphatic sulfonic acid salts—and challenges in waste treatment. These surfactants accumulate in wastewater and nearby water bodies due to poor degradability [12].
Additional drawbacks of emulsion polymerization include coagulum formation during the reaction and polymer deposition on reactor surfaces. To mitigate these issues, fractional dosing of monomers or surfactants is employed, though this requires complex equipment and reduces process reproducibility [13].
Over the past twenty years, a shift has emerged toward utilizing organosilicon oligomers as alternatives to conventional organic surfactants. These silicone-based surfactants are biologically inert and environmentally benign.
Amphiphilic organosilicon surfactants consist of two structural blocks: hydrophobic polydimethylsiloxane (PDMS) fragments and attached polar groups. Due to the unique architecture of their polysiloxane backbone [14], they often outperform traditional surfactants in efficiency. For instance, they reduce surface tension from 30 mN/m (typical for hydrocarbon surfactants) to 20 mN/m [15].
Notably, silicone surfactants exhibit surface activity in both aqueous and non-aqueous media [16], as well as in supercritical CO2 [17].
Silicone surfactants form adsorption layers of high strength and viscosity, which influence the monomer dispersion process [13]. When monomer droplets are stabilized by silicone surfactants, they undergo less dispersion compared to droplets stabilized by water-soluble surfactants. Emulsion stabilization occurs at lower concentrations of silicone surfactants. The system’s stability at all stages of polymerization is ensured by the absence of stabilizer desorption during the transformation of the liquid/liquid interface into a liquid/polymer (swollen with monomer) interface during the formation of polymer-monomer particles (PMPs) [15].
Additionally, silicone oligomers containing reactive vinyl, vinylbenzyl, and methacrylic groups can act as both surfactants and comonomers during polymerization, forming stable suspensions at surfactant concentrations 5–6 times lower than those required for water-soluble ionic surfactants like sodium dodecyl sulfonate [18].
Studies [19,20] have thoroughly investigated the influence of linear, comb-like, and dimeric silicone surfactants on polymerization kinetics, particle size, and emulsion stability.
Hyperbranched polyethoxysiloxanes (PEOS) have been used as surfactants, enabling the formation of stable polystyrene and PMMA suspensions with a silica shell and narrow particle size distribution [21,22,23,24]. A key feature of this approach is the reactivity of PEOS, which acts both as a precursor for the silica shell on polymer particles and as a surfactant. Its amphiphilicity arises from the hydrolysis of hydrophobic ethoxy groups, generating hydroxyl groups. For instance, a study [21] demonstrated that using a PEOS/styrene mixture at a 1:400 ratio reduces the interfacial tension with water from 30 mN/m (pure styrene) to 11 mN/m. In contrast, for PMMA particles, the interfacial tension at the MMA/PEOS–water boundary only decreased from 12–13 mN/m to 8 mN/m [22]. Similarly, using PEOS as a surfactant, water/styrene/water double emulsions were obtained, leading to polystyrene–silica particles with complex structures [23].
Preliminary modification of PEOS with polyethylene glycol (PEOS-PEG) significantly reduces the interfacial tension of the PEOS-PEG/styrene mixture with water to extremely low values (0.05 mN/m) at ~17% PEOS-PEG content in styrene [24].
Previously, we reported the synthesis of hyperbranched polymethylsilsesquioxanes modified with varying amounts of polyethylene glycol (PMEOS-PEG) [25]. These contain hydrophobic methyl substituents on silicon, preserving their amphiphilicity even after the hydrolysis of ethoxy and PEG groups due to the presence of both hydrophilic hydroxyl and hydrophobic methyl groups. This contrasts with PEOS-PEG, which forms silica containing only hydroxyl groups.
The aim of this work was to study the colloid-chemical properties of PMEOS-PEG at the MMA/water interface and evaluate their potential as surfactants for producing concentrated (30–50%), storage-stable PMMA suspensions. Additionally, we examined the influence of PEG substituents on particle size and stability.

2. Materials and Methods

2.1. Materials

Methyltriethoxysilane (99%, Reachem, Moscow, Russia) was distilled under argon prior to use. Methyl methacrylate (MMA) (99.0%, Reachem, Moscow, Russia) was purified by double vacuum distillation. Acetic acid (99%, Component-Reaktiv, Moscow, Russia) and ethanol were dried via prolonged boiling followed by distillation over P2O5 under argon. The following reagents were used as received: sodium hydroxide (99%, Component-Reaktiv, Moscow, Russia), aqueous ammonia solution (25%, SIGMATEK, Khimki, Russia), poly(ethylene glycol) monomethyl ether (average molecular weight 350, ABCR, Karlsruhe, Germany), potassium persulfate (PP) (99.9%, Reachem, Moscow, Russia), and hexane (99%, Component-Reaktiv, Moscow, Russia). Deionized water was used throughout the experiments.

2.2. Methods

Synthesis of hyperbranched polymethylethoxysiloxane (PMEOS). PMEOS was synthesized according to the previously reported procedure [26]. 1H NMR (CDCl3, δ, ppm): 3.74–3.82 (m, 2H, Si–OCH2CH3), 1.21 (t, 3H, Si–OCH2CH3),0.08–0.2 (m, 3H, Si–CH3)
PEGylation of PMEOS. PMEOS-PEG with three PEGylation degrees (4%, 9%, and 21%) was prepared as described in our earlier work [25] (see Table 1 for loadings and yields). 1H NMR (CDCl3, δ, ppm): 3.74–3.82 (m, 2H, Si–OCH2CH3), 3.66–3.62 (m, 4H, OCH2CH2), 3.37 (s, 3H, C-O(CH3)), 1.21 (t, 3H, Si–OCH2CH3),0.08–0.2 (m, 3H, Si–CH3).
1H NMR spectra of PMEOS-PEG (Figure S1) and GPC curves of PMEOS-PEG (Figure S2) are provided in the Supplementary Materials.
Suspension Preparation. MMA and deionized water were separately degassed by two freeze–pump–thaw cycles under reduced pressure (p = 10−3–10−4 mmHg) to remove dissolved air. Two phases were then prepared in a closed system: an oil phase, consisting of monomer (MMA) and PMEOS-PEG (1–5 wt.% relative to monomer), and an aqueous phase, consisting of water and dissolved initiator (K2S2O8). The oil phase was injected into the aqueous phase via syringe. The monomer-to-water volume ratio was varied from 1:1 to 1:4. The mixture was emulsified for 1 min to form a stable milky emulsion, then the flask was equipped with a reflux condenser and calcium chloride tube and heterophase polymerization was conducted at 85 ± 0.5 °C (oil bath) with stirring (300 rpm) for 2 h. Monomer conversion (P, %) was determined gravimetrically after adding the polymerization inhibitor hydroquinone. For more information about the definition of monomer conversion, see the Supplementary Materials. GPC curves of the dried polymer suspensions (Figure S3) are provided in the Supplementary Materials.
GPC Analysis: Gel-permeation chromatography (GPC) was performed on a chromatographic system consisting of a STAIER series II high-pressure pump (Aquilon, Nakhodka, Russia), a RIDK 102 refractometric detector (all Laboratory Apparatus Prague, Prague, Czech Republic), and a JETSTREAM 2 PLUS column thermostat (KNAUER, Berlin, Germany). The temperature was controlled at 40 °C (±0.1 °C). Tetrahydrofuran was used as the eluent, the flow rate was 1.0 mL/min. A 300 ± 7.8 mm column filled with Phenogel sorbent (Phenomenex, Torrance, CA, USA) with a particle size of 5 μm and a pore size of 103 Å was used (passport separation range—up to 75,000 D). Recording and processing of data was carried out using UniChrom 4.7 software (Minsk, Belarus).
1H NMR Spectroscopy1H NMR spectra were acquired using a Bruker WP250 SY spectrometer (Bruker, Karlsruhe, Germany) with CDCl3 as the solvent.
Interfacial Tension (IFT, σ, mN/m): Measured using a Krüss spinning drop tensiometer at 25 °C (Krüss, Hamburg, Germany).
Scanning Electron Microscopy (SEM): Conducted on a JEOL JCM-6000 PLUS microscope (JEOL, Tokyo, Japan) with an energy-dispersive spectrometer (5–15 kV accelerating voltage).
Dynamic Light Scattering (DLS): Hydrodynamic diameter and ζ-potential of latex particles were determined using a Malvern Zetasizer Ultra at 25 °C (Malvern Panalytical GmbH, Worcestershire, UK).
Interfacial activity (g, mJ·m/mol) was determined from the slope of the IFT isotherm at the solvent’s surface tension. Critical aggregation concentration (CAC, wt.%) and maximum Gibbs adsorption (Γmax, mol/m2) were derived from plots of IFT vs. log[concentration] and Gibbs adsorption vs. concentration, respectively. Gibbs adsorption (Γ, mol/m2), molecular area (S0, Å2), and interfacial layer thickness (δ, nm) were calculated using Equations (S5)–(S7) (Supplementary Materials).

3. Results and Discussion

3.1. Colloid-Chemical Properties of PMEOS-PEGs at the MMA/Water Interface

The study began with an investigation of the colloid-chemical properties of the synthesized surfactants. All silicone-based surfactants were found to form direct oil-in-water (O/W) emulsions. Hyperbranched structure of our polymeric surfactants leads to denser molecular packing at the interface and, consequently, a more pronounced reduction in interface tension compared to their linear analogs [15]. The multiple functional groups located on the periphery of the macromolecule provide numerous interaction points with both phases, thereby enhancing adsorption at the interface.
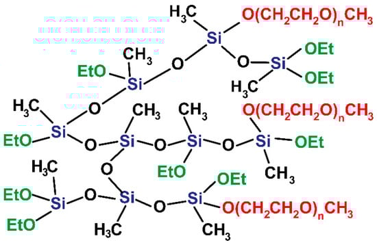
The general chemical structure of the synthesized PMEOS-PEGs is shown in Figure 1. The key characteristics—including molecular weight (Mn), polydispersity (Mw/Mn), density, and hydrophilic–lipophilic balance (HLB), calculated via Griffin’s method [27] according to formula:
HLB = 20 × MPEG/M,
—are summarized in Table 2.
Prior work [25] demonstrated the high interfacial activity of PMEOS-PEG at water/hexane and water/toluene interfaces. Here, we show that PMEOS-PEG also significantly reduces interfacial tension at the MMA/water interface (Figure 2).
PMEOS-PEG-4 reduced IFT from 13 mN/m to 9.1 mN/m at 1 wt.%. Increasing PEG content enhanced this effect: PMEOS-PEG-9 and PMEOS-PEG-21 lowered IFT to 4.9 mN/m and 2.4 mN/m, respectively, at just 1 wt.% (Figure 2).
The colloidal-chemical characteristics of the studied surfactants, namely, minimum interface tension value (σ, mN/m), interfacial activity (g, mJ·m/mol), maximum Gibbs adsorption (Гmax, mol/m2), the area occupied by the surfactant molecule (S0, Å2), and the thickness of the interfacial layer formed by the surfactant molecules (δ, nm), are shown in Table 3.
Table 3 shows that an increase in the content of PEG substituents in PMEOS-PEG leads to enhanced interfacial activity and higher maximum adsorption (see also Figure S5), which correlates well with the increase in HLB values of PMEOS-PEG (Table 2). Due to the relatively high polarity of methyl methacrylate (MMA), effective reduction in interfacial tension at the MMA–water interface requires the use of surfactants with sufficiently high HLB values. At the same time, the area occupied by a surfactant molecule at the interface decreases. This behavior can be explained by two main factors. First, PMEOS-PEG-4 is strongly solvated by the relatively large MMA molecules, which create steric hindrance that prevents close packing of the PMEOS-PEG-4 molecules. As a result, the interfacial area occupied by each molecule is larger compared to PMEOS-PEG-9 and PMEOS-PEG-21, which possess significantly higher polarity, and therefore a larger proportion of their macromolecules are solvated by water. Second, with higher PEG content, the entropic factor associated with solvation in water increases. The PEG chains tend to extend into the aqueous phase to reduce the probability of their mutual proximity, further decreasing the area occupied by a single surfactant macromolecule. For the same reason, an increase in the PEG content results in a thicker adsorption layer.

3.2. Synthesis of PMMA Suspensions

Hyperbranched PMEOS-PEG surfactants containing 4–21 mol% PEG were tested as stabilizers in the heterophase polymerization of methyl methacrylate (MMA), initiated by potassium persulfate (PP, 1 wt.% relative to the monomer). The surfactant was first dissolved in MMA and then combined with the aqueous phase. Two surfactant loadings (Csur)—1 wt.% and 5 wt.% relative to the monomer—were examined. The monomer-to-water ratio was varied from 1:1 to 1:4, corresponding to polymer contents ranging from 20 to 50 wt.%. Polymerization was carried out at 85 ± 0.5 °C for 2 h under constant stirring at 300 rpm (Figure 3). During the reaction, the mixture’s color changed from pale blue to milky white, indicating the formation of particles with diameters exceeding 100 nm. The key characteristics of the resulting stabilized PMMA suspensions are summarized in Table 4 and illustrated in Figure 4, Figure 5 and Figure 6.
According to the data presented in Table 4, the use of 5 wt.% PMEOS-PEG as a surfactant—regardless of the PEG content—leads to the formation of concentrated (50% and 33%) polymer suspensions (samples No. 5–7 and No. 12–14 in Table 4, respectively). These suspensions contain 50% and 33% polymer and exhibit narrow particle size distributions, with particle diameters ranging from 460 to 840 nm for the 50% suspensions and from 590 to 740 nm for the 33% suspensions. The narrow particle size distribution is confirmed by the PDIDLS values and by the SEM images of the obtained particles (Figure 4, Figure 5 and Figure 6).
Reducing the surfactant concentration to 1 wt.% in the case of 50% systems (samples No. 2–4 in Table 4) results in coagulum formation, preventing reliable measurement of particle size and monomer conversion (samples No. 1–4). For Vm/VH2O = 1:2 systems (samples No. 8–11, Table 4), a stable polymer suspension was obtained at 1 wt.% surfactant only when using PMEOS-PEG-21 (sample No. 11, Table 4), yielding a suspension with 33% polymer content and a particle size of 580 nm (Figure 6a). In the absence of any surfactant, concentrated (50% and 33%) polymer suspensions could not be obtained. This effect, observed with PMEOS-PEG-21, is attributed to its lower interfacial tension and higher interfacial activity compared to PMEOS-PEG-4 and PMEOS-PEG-9, which enables the formation of concentrated (33%) suspensions even at lower surfactant concentrations.
The particle diameter resulting from heterophase polymerization of MMA in the presence of the studied surfactants increases with the PEG content in PMEOS-PEG, a trend particularly pronounced in concentrated systems (Table 4). These findings deviate from the conventional trend in which increased PEG content (i.e., reduced interfacial tension) typically leads to smaller particle sizes. We attribute this behavior to two main factors. First, the hyperbranched, globular structure of the PMEOS-PEG surfactants likely requires a greater number of surfactant molecules to effectively stabilize smaller droplets [26,28]. Second, potassium persulfate initiates polymerization under acidic conditions, which leads to the hydrolysis of PEG fragments and alkoxy groups, followed by condensation with the resulting hydroxyl groups. This promotes the formation of polymethylsilsesquioxane structures, whose concentration decreases with increasing PEG content in the surfactant. This may explain why use of PMEOS-PEG-21, with its higher PEG content and smaller molecular area in the interfacial layer, results in larger particles than PMEOS-PEG-4 and PMEOS-PEG-9. Furthermore, in more dilute systems with a monomer-to-water phase ratio of 1:4, the influence of PEG content in PMEOS-PEG on particle size becomes negligible.
The negative zeta potential of the polymer particle surface arises from the use of potassium persulfate as the initiator, which decomposes to form sulfate ions. Since the number of functional groups on the surfactant molecules is much lower than that of the generated sulfate groups, the zeta potential is primarily determined by the amount of potassium persulfate used [29]. Because the colloidal stability of suspensions depends directly on electrostatic repulsion governed by the electric double layer, zeta potential values greater than ±30 mV indicate high colloidal stability [30]. As shown in Table 4, the zeta potential values range from −48.5 to −57.3 mV, indicating strong colloidal stability of the obtained suspensions.
It should be noted that the kinetic (sedimentation) stability of the suspensions depends directly on the size and shape of the particles [31]. Given their relatively large diameters, the particles are not effectively stabilized against gravitational settling. As a result, the suspensions remain stable for 3 to 5 days, depending on particle size: those with diameters >500 nm settle within 3 days, while particles in the 300–500 nm range settle within 5 days. However, due to their good colloidal stability, the particles can be easily redispersed throughout the suspension volume by simple stirring. After 3 months of storage, no significant changes in either particle diameter or zeta potential were observed (Figure 7 and Table 5).
Figure 8 illustrates the mechanism of polymer particle formation in the presence of PEGylated hyperbranched organosilicon surfactants. The PMEOS-PEG-4, -9, and -21 surfactants are highly soluble in methyl methacrylate. With increasing PEGylation degree, the surfactant molecules migrate more intensively to the MMA/water interface, as evidenced by the lower interfacial tension (σ) values observed for PMEOS-PEG-21 compared to PMEOS-PEG-4. PMEOS-PEG-4 and PMEOS-PEG-9 are more hydrophobic; thus, their molecules are located not only at the interface but also within the bulk monomer phase.
Upon initiation of polymerization, phase separation occurs within the emulsion droplets, and surfactant molecules continuously diffuse to the interface, leading to local saturation. Hydrolysis of potassium persulfate acidifies the medium, which significantly reduces the hydrolysis time of surfactant molecules at the MMA/water interface. Acidic hydrolysis liberates the PEG chains, which migrate into the aqueous phase, while the PMEOS core hydrolyzes to [MeSiO1.5]n, which subsequently forms a thin shell at the surface of the PMMA particles.

4. Conclusions

In summary, we successfully synthesized concentrated PMMA suspensions (~50%) stabilized by 5 wt.% of hyperbranched organosilicon surfactants PMEOS-PEG-4, PMEOS-PEG-9, and PMEOS-PEG-21, with particle diameters ranging from 370 to 840 nm. The resulting particles exhibited narrow size distributions and remained stable during storage for all three surfactants.
The use of hyperbranched PEG-functionalized organosilicon surfactants revealed the following trend: in concentrated systems with monomer-to-water ratios of 1:1 and 1:2, an increase in PEG content (and thus in HLB value) led to an increase in particle diameter. In contrast, for more dilute systems (1:4), no clear dependence of particle size on PEG content was observed.
Importantly, it was demonstrated that a concentrated (33%) suspension with a particle size of 580 nm can be obtained using only 1 wt.% of PMEOS-PEG-21. In comparison, under the same conditions, systems without surfactant or with PMEOS-PEG-4 and PMEOS-PEG-9 produced significant amounts of coagulum.
This work highlights the utility of hyperbranched silicone surfactants for tailored polymer colloids.

Supplementary Materials

The following supporting information can be downloaded at https://www.mdpi.com/article/10.3390/polym17182535/s1, Figure S1: 1H NMR spectra of surfactants PMEOS-PEG-4, PMEOS-PEG-9, and PMEOS-PEG-21; Figure S2: GPC curves of surfactants PMEOS-PEG-4, PMEOS-PEG-9, and PMEOS-PEG-21; Figure S3: GPC curves of PMMA suspensions; Gravimetric method for determining monomer conversion; Determination of interfacial parameters: Gibbs adsorption (Гmax, mol/m2), molecular area in the interfacial layer (S0, Å2), interfacial layer thickness (δ, nm); Figure S4: Structure of the adsorption layer at the liquid–liquid interface; Figure S5: Plots of Gibbs adsorption versus monomer concentration.

Author Contributions

Conceptualization, D.B., K.B., A.B., A.K., I.G. and A.M.; methodology, D.B., K.B., A.K. and A.M.; investigation, D.B. and K.B.; writing—original draft preparation, D.B., K.B., A.B., A.K. and A.M.; writing—review and editing, D.B., K.B., A.B., A.K., I.G. and A.M. All authors have read and agreed to the published version of the manuscript.

Funding

This research was funded by the Russian Science Foundation, grant number 21-73-30030-P.

Institutional Review Board Statement

Not applicable.

Data Availability Statement

Data is contained within the article or Supplementary Materials.

Acknowledgments

GPC and 1H NMR analyses of PMEOS and PMEOS-PEG and SEM for determining of the particles size PMMA were carried out with the support of the Ministry of Science and Higher Education of the Russian Federation using scientific equipment of the Center for Collective Use “Polymer Research Center” of Enikolopov Institute of Synthetic Polymeric Materials, Russian Academy of Sciences (FFSM-2024-0001).

Conflicts of Interest

The authors declare no conflicts of interest.

References

  1. Price, K.K.; McCormick, A.V.; Francis, L.F. CryoSEM investigation of latex coatings dried in walled substrates. Langmuir 2012, 28, 10329–10333. [Google Scholar] [CrossRef] [PubMed]
  2. Fulmer, P.A.; Wynne, J.H. Development of broad-spectrum antimicrobial latex paint surfaces employing active amphiphilic compounds. ACS Appl. Mater. Interfaces 2011, 3, 2878–2884. [Google Scholar] [CrossRef]
  3. Kozakiewicz, J.; Ofat, I.; Trzaskowska, J. Silicone-containing aqueous polymer dispersions with hybrid particle structure. Adv. Colloid Interface Sci. 2015, 223, 1–39. [Google Scholar] [CrossRef] [PubMed]
  4. Anderson, C.D.; Daniels, E.S. Emulsion Polymerisation and Latex Applications; iSmithers Rapra Publishing: Shawbury, UK, 2003; Volume 14. [Google Scholar]
  5. Takamura, K.; Urban, D. Polymer Dispersions and Their Industrial Applications; Wiley-InterScience: Charlotte, NC, USA, 2003. [Google Scholar]
  6. Bao, Y.; Ma, J.; Zhang, X.; Shi, C. Recent advances in the modification of polyacrylate latexes. J. Mater. Sci. 2015, 50, 6839–6863. [Google Scholar] [CrossRef]
  7. Li, H.; Yuan, J.; Qian, H.; Wu, L. Synthesis and properties of SiO2/P(MMA-BA) core–shell structural latex with siloxanes. Prog. Org. Coat. 2016, 97, 65–73. [Google Scholar] [CrossRef]
  8. Zhang, Q.; Wu, M. Preparation of fluorinated polysiloxane and its application in modified polyacrylates. J. Appl. Polym. Sci. 2024, 141, e55642. [Google Scholar] [CrossRef]
  9. Rao, J.P.; Geckeler, K.E. Polymer nanoparticles: Preparation techniques and size-control parameters. Prog. Polym. Sci. 2011, 36, 887–913. [Google Scholar] [CrossRef]
  10. Kiatkamjornwong, S.; Akkarakittimongkol, P.; Omi, S. Syntheses of acrylate core/shell imbiber beads by seeded suspension copolymerization and one-stage copolymerization for solvent absorption–desorption. J. Appl. Polym. Sci. 2002, 85, 670–682. [Google Scholar] [CrossRef]
  11. Gao, Y.; Zhang, J.; Liang, J.; Yuan, D.; Zhao, W. Research progress of poly (methyl methacrylate) microspheres: Preparation, functionalization and application. Eur. Polym. J. 2022, 175, 111379. [Google Scholar] [CrossRef]
  12. Zlotin, S.G.; Egorova, K.S.; Ananikov, V.P.; Akulov, A.A.; Varaksin, M.V.; Chupakhin, O.N.; Charushin, V.N.; Bryliakov, K.P.; Averin, A.D.; Beletskaya, I.P.; et al. The green chemistry paradigm in modern organic synthesis. Russ. Chem. Rev. 2023, 92, RCR5104. [Google Scholar] [CrossRef]
  13. Levshenko, E.N.; Grotskova, I.A.; Gusev, S.A.; Gusev, A.A.; Volkova, E.A. Polymeric microspheres as carriers of fluorescent labels during creation of three-dimensional model of vascular channel in test animals. Biotechnol. Russ. 2013, 29, 65–70. [Google Scholar]
  14. Voronkov, M.; Mileshkevich, V.; Yuzhelevskii, Y. Silikonovaya Svyaz’ (Silicone Bond); Siberian Branch of the Russian Academy of Sciences, Izd. Sib. Akad. Nauk, Irkutsk Institute of Organic Chemistry: Novosibirsk, Russia, 1976. [Google Scholar]
  15. Gritskova, I.A.; Prokopov, N.I.; Ezhova, A.A.; Chalykh, A.E.; Gusev, S.A.; Levachev, S.M.; Zubov, V.P.; Gomzyak, V.I.; Skopintsev, I.V.; Stuzhuk, A.N.; et al. New approaches to the synthesis and stabilization of polymer microspheres with a narrow size distribution. Polymers 2023, 15, 2464. [Google Scholar] [CrossRef]
  16. Adikanova, D.; Eligbaeva, G.Z.; Milushkova, E.; Gritskova, I.; Lobanova, N.; Prokopov, N.; Levachev, S.; Harlov, A.; Haddazh, M. The synthesis of high dispersed polstyrene suspensions with narrow particle distribution by sizes. Fine Chem. Technol. 2015, 10, 71–77. [Google Scholar]
  17. Sizov, V.E.; Zefirov, V.V.; Gallyamov, M.O.; Muzafarov, A.M. Organosilicone compounds in supercritical carbon dioxide. Polymers 2022, 14, 2367. [Google Scholar] [CrossRef] [PubMed]
  18. Gostenin, V.B.; Zubov, V.P.; Gritskova, I.A.; Shikhovtseva, I.S. One-step synthesis of polymer dispersions with large narrow-size-distribution particles via heterophase polymerization in the presence of surface-active water-insoluble organosilicon macromers. Polym. Int. 2022, 71, 656–661. [Google Scholar] [CrossRef]
  19. Gritskova, I.A.; Adikanova, D.B.; Papkov, V.S.; Prokopov, N.I.; Shragin, D.I.; Gusev, S.A.; Levachev, S.M.; Milushkova, E.V.; Ezhova, A.A.; Lukashevich, A.D. Polymerization of styrene in the presence of carboxyl-containing polydimethylsiloxane and its mixture with oxyethylated poly(propylene glycol). Polym. Sci. Ser. B 2016, 58, 163–167. [Google Scholar] [CrossRef]
  20. Gritskova, I.A.; Ezhova, A.A.; Chalikh, A.E.; Levachev, S.M.; Chvalun, S.N. Effect of the composition and structure of carbofunctional oligodimethylsiloxanes on their colloidal-chemical properties. Russ. Chem. Bull. 2019, 68, 132–136. [Google Scholar] [CrossRef]
  21. Zhao, Y.; Chen, Z.; Zhu, X.; Möller, M. A facile one-step approach toward polymer@SiO2 core–shell nanoparticles via a surfactant-free miniemulsion polymerization technique. Macromolecules 2016, 49, 1552–1562. [Google Scholar] [CrossRef]
  22. Zhao, Y.; Wang, H.; Zhu, X.; Möller, M. One-pot formation of monodisperse polymer@SiO2 core–shell nanoparticles via surfactant-free emulsion polymerization using an adaptive silica precursor polymer. Polym. Chem. 2017, 8, 6263–6271. [Google Scholar] [CrossRef]
  23. Zhao, Y.; Liu, J.; Chen, Z.; Zhu, X.; Möller, M. Hybrid nanostructured particles via surfactant-free double miniemulsion polymerization. Nat. Commun. 2018, 9, 1918. [Google Scholar] [CrossRef]
  24. Chen, Z.; Zhao, Y.; Zhu, X.; Möller, M. Formation of monodisperse polymer@ SiO2 core–shell nanoparticles via polymerization in emulsions stabilized by amphiphilic silica precursor polymers: HLB dictates the reaction mechanism and particle size. Macromolecules 2019, 52, 5670–5678. [Google Scholar] [CrossRef]
  25. Borisov, K.; Kalinina, A.; Bystrova, A.; Muzafarov, A. Aerogel-like material based on PEGylated hyperbranched polymethylethoxysiloxane. Polymers 2023, 15, 4012. [Google Scholar] [CrossRef]
  26. Migulin, D.; Tatarinova, E.; Meshkov, I.; Cherkaev, G.; Vasilenko, N.; Buzin, M.; Muzafarov, A. Synthesis of the first hyperbranched polyorganoethoxysilsesquioxanes and their chemical transformations to functional core–shell nanogel systems. Polym. Int. 2016, 65, 72–83. [Google Scholar] [CrossRef]
  27. Griffin, W.C. Classification of surface-active agents by “HLB”. J. Soc. Cosmet. Chem. 1949, 1, 311–325. [Google Scholar]
  28. Meshkov, I.B.; Kalinina, A.A.; Kazakova, V.V.; Demchenko, A.I. Densely Cross-Linked Polysiloxane Nanogels. INEOS OPEN 2020, 3, 118–132. [Google Scholar] [CrossRef]
  29. Shragin, D.I.; Gritskova, I.A.; Kopylov, V.V.; Milushkova, E.V.; Zlydneva, L.A.; Levachev, S.M. Novel approach to synthesis of monodisperse polymeric microspheres: Heterophase polymerization of styrene and methyl methacrylate in presence of water-insoluble functional PDMSS. Silicon 2015, 7, 217–227. [Google Scholar] [CrossRef]
  30. Kumar, A.; Dixit, C.K. Methods for characterization of nanoparticles. In Advances in Nanomedicine for the Delivery of Therapeutic Nucleic Acids; Elsevier: Amsterdam, The Netherlands, 2017; pp. 43–58. [Google Scholar]
  31. Birdi, K. Surface and Colloid Chemistry: Principles and Applications; CRC Press: Cambridge, MA, USA, 2009. [Google Scholar]
Figure 1. Chemical structure of PMEOS-PEG surfactants.
Figure 1. Chemical structure of PMEOS-PEG surfactants.
Polymers 17 02535 g001
Figure 2. IFT isotherms at the MMA/water interface as a function of surfactant concentration in MMA.
Figure 2. IFT isotherms at the MMA/water interface as a function of surfactant concentration in MMA.
Polymers 17 02535 g002
Figure 3. Schematic of PMMA suspension synthesis.
Figure 3. Schematic of PMMA suspension synthesis.
Polymers 17 02535 g003
Figure 4. SEM images of the obtained PMMA particles stabilized with PMEOS-PEG-4: sample (a) No. 2, (b) No. 5, (c) No. 9, and (d) No. 16 from Table 4.
Figure 4. SEM images of the obtained PMMA particles stabilized with PMEOS-PEG-4: sample (a) No. 2, (b) No. 5, (c) No. 9, and (d) No. 16 from Table 4.
Polymers 17 02535 g004
Figure 5. SEM images of the obtained PMMA particles stabilized with PMEOS-PEG-9: sample (a) No. 3, (b) No. 6, (c) No. 10, and (d) No. 17 from Table 4.
Figure 5. SEM images of the obtained PMMA particles stabilized with PMEOS-PEG-9: sample (a) No. 3, (b) No. 6, (c) No. 10, and (d) No. 17 from Table 4.
Polymers 17 02535 g005
Figure 6. SEM images of the obtained PMMA particles stabilized with PMEOS-PEG-21: sample (a) No. 4, (b) No. 11, (c) No. 18 from Table 4.
Figure 6. SEM images of the obtained PMMA particles stabilized with PMEOS-PEG-21: sample (a) No. 4, (b) No. 11, (c) No. 18 from Table 4.
Polymers 17 02535 g006
Figure 7. Illustration of particle redistribution after shaking of fully sedimented particles (sample No 13, Table 4).
Figure 7. Illustration of particle redistribution after shaking of fully sedimented particles (sample No 13, Table 4).
Polymers 17 02535 g007
Figure 8. Schematic illustration of the stabilization mechanism for PMMA particles.
Figure 8. Schematic illustration of the stabilization mechanism for PMMA particles.
Polymers 17 02535 g008
Table 1. Reaction conditions for the synthesis of PMEOS-PEG-4, -9, and -21.
Table 1. Reaction conditions for the synthesis of PMEOS-PEG-4, -9, and -21.
ProductEthoxy Group Substitution (mol%)Mass of PMEOS (g)Mass of PEG (g)Yield (%)—(g)
PMEOS-PEG-44252.899—43.7
PMEOS-PEG-99257.099—47.5
PMEOS-PEG-21212514.599—55.2
Table 2. Characteristics of PMEOS-PEGs.
Table 2. Characteristics of PMEOS-PEGs.
SampleMn(GPC)Mw/MnDensity, g/cm3HLB
PMEOS-PEG-414002.21.102.4
PMEOS-PEG-917002.21.154.6
PMEOS-PEG-2120001.71.118.4
Table 3. Interfacial properties of PMEOS-PEGs at the MMA/water interface.
Table 3. Interfacial properties of PMEOS-PEGs at the MMA/water interface.
Surfactantσ, mN/mCAC, wt.%Гmax × 107, mol/m2g, (mJ·m)/molS0, Å2δ, nm
PMEOS-PEG-49.113.578.924650.5
PMEOS-PEG-94.914.4639.283720.7
PMEOS-PEG-212.40.26.47120.972571.2
Table 4. Key characteristics of obtained PMMA suspensions.
Table 4. Key characteristics of obtained PMMA suspensions.
Sample No.SurfactantVm/VH2OCsur, wt.%Ddls ± SD, nmDsem ± SD, nmPDIDLSζ, mVP, %
1No surfactant1:1-Coagulation
2PMEOS-PEG-41:11
3PMEOS-PEG-91:1
4PMEOS-PEG-211:1
5PMEOS-PEG-41:15460 ± 10490 ± 300.011−57.791
6PMEOS-PEG-91:1530 ± 40690 ± 500.008−54.592
7PMEOS-PEG-211:1840 ± 60790 ± 800.027−51.794
8No surfactant1:2-Coagulation
9PMEOS-PEG-41:21
10PMEOS-PEG-91:2
11PMEOS-PEG-211:2580 ± 110560 ± 400.038−52.698
12PMEOS-PEG-41:25590 ± 160720 ± 600.073−55.495
13PMEOS-PEG-91:2590 ± 60500 ± 300.011−55.992
14PMEOS-PEG-211:2740 ± 120510 ± 300.024−57.390
15No surfactant1:4-430 ± 110350 ± 300.063−50.788
16PMEOS-PEG-41:41370 ± 20310 ± 200.003−51.598
17PMEOS-PEG-91:4510 ± 70330 ± 500.021−54.899
18PMEOS-PEG-211:4520 ± 130390 ± 300.056−53.294
Dsem ± SD particle size was determined by averaging the diameters of 500 particles from electron micrographs. Vm/VH2O refers to the volume ratio of the monomer to water phases. P, % represents monomer conversion. PDIDLS is the polydispersity index calculated from dynamic light scattering (DLS) data using the formula PDIDLS = (SD/Di)2, where SD is the standard deviation and Di is the average diameter by intensity.
Table 5. PMMA suspensions—comparison of freshly prepared and 3-month stored samples (sample No 13, Table 4).
Table 5. PMMA suspensions—comparison of freshly prepared and 3-month stored samples (sample No 13, Table 4).
SampleDi, nmζ, mV
Freshly prepared590 ± 60−55.9
After 3 months of storage 580 ± 30−53.7
Disclaimer/Publisher’s Note: The statements, opinions and data contained in all publications are solely those of the individual author(s) and contributor(s) and not of MDPI and/or the editor(s). MDPI and/or the editor(s) disclaim responsibility for any injury to people or property resulting from any ideas, methods, instructions or products referred to in the content.

Share and Cite

MDPI and ACS Style

Borisova, D.; Borisov, K.; Kalinina, A.; Bystrova, A.; Gritskova, I.; Muzafarov, A. Preparation of Concentrated PMMA Suspensions Stabilized by a Green Polysiloxane Surfactant. Polymers 2025, 17, 2535. https://doi.org/10.3390/polym17182535

AMA Style

Borisova D, Borisov K, Kalinina A, Bystrova A, Gritskova I, Muzafarov A. Preparation of Concentrated PMMA Suspensions Stabilized by a Green Polysiloxane Surfactant. Polymers. 2025; 17(18):2535. https://doi.org/10.3390/polym17182535

Chicago/Turabian Style

Borisova, Diana, Kirill Borisov, Aleksandra Kalinina, Aleksandra Bystrova, Inessa Gritskova, and Aziz Muzafarov. 2025. "Preparation of Concentrated PMMA Suspensions Stabilized by a Green Polysiloxane Surfactant" Polymers 17, no. 18: 2535. https://doi.org/10.3390/polym17182535

APA Style

Borisova, D., Borisov, K., Kalinina, A., Bystrova, A., Gritskova, I., & Muzafarov, A. (2025). Preparation of Concentrated PMMA Suspensions Stabilized by a Green Polysiloxane Surfactant. Polymers, 17(18), 2535. https://doi.org/10.3390/polym17182535

Note that from the first issue of 2016, this journal uses article numbers instead of page numbers. See further details here.

Article Metrics

Back to TopTop