Mechanical Properties of Fully Recyclable 3D-Printable Materials Used for Application in Patient-Specific Devices in Radiotherapy
Abstract
1. Introduction
2. Materials and Methods
2.1. Production of 3D Printing Filaments
2.2. Recycling and Reprocessing of 3D Printing Materials
2.3. 3D Printing of Samples
2.4. Irradiation of Samples
2.5. Evaluation of Radiation Hardness and Homogeneity of Samples
2.6. Evaluation of Mechanical Properties
3. Results and Discussion
3.1. Characterization of 3D-Printed and Recycled Materials
3.2. Modelling of X-Ray Atenuation Properties of Samples
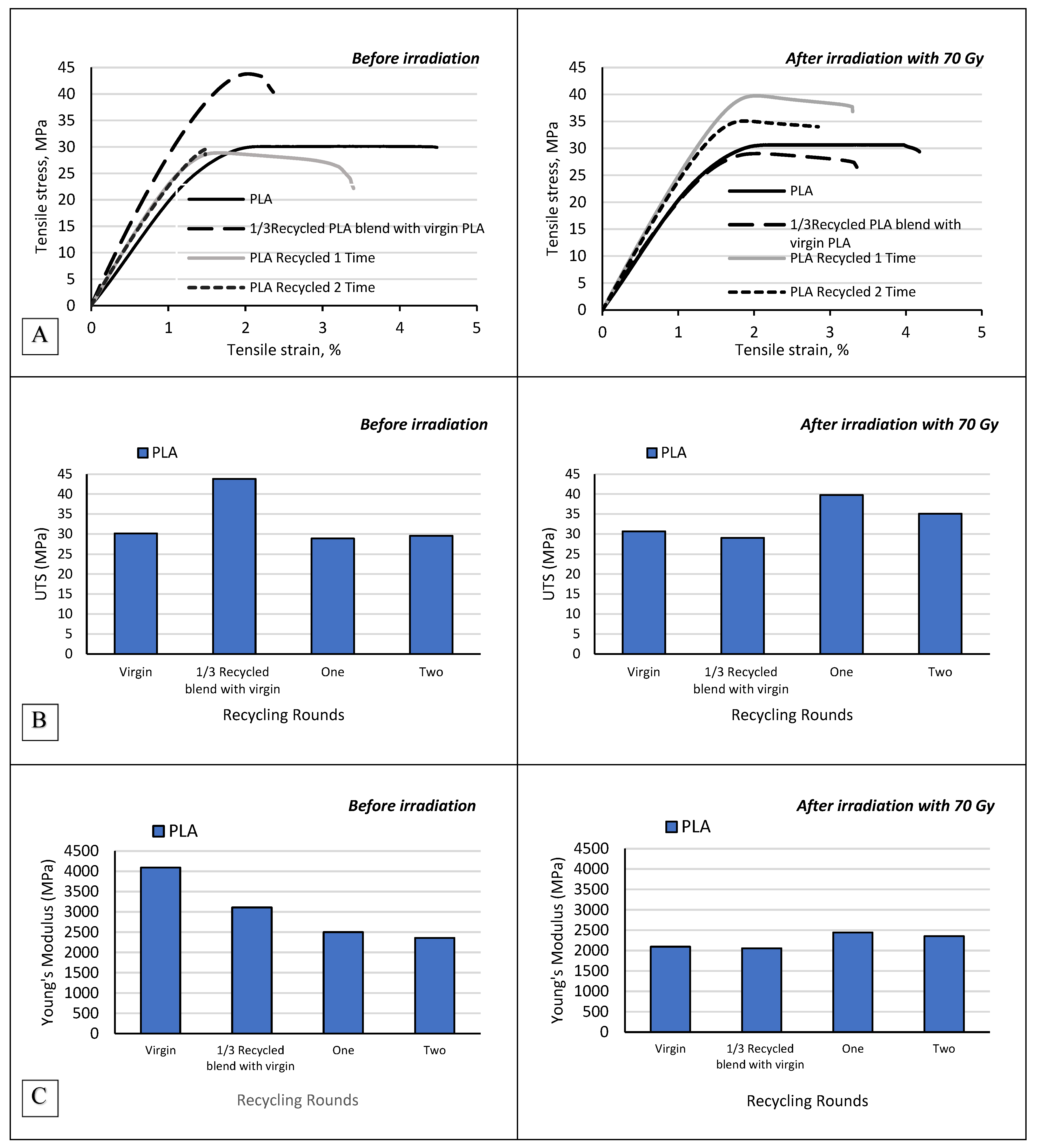
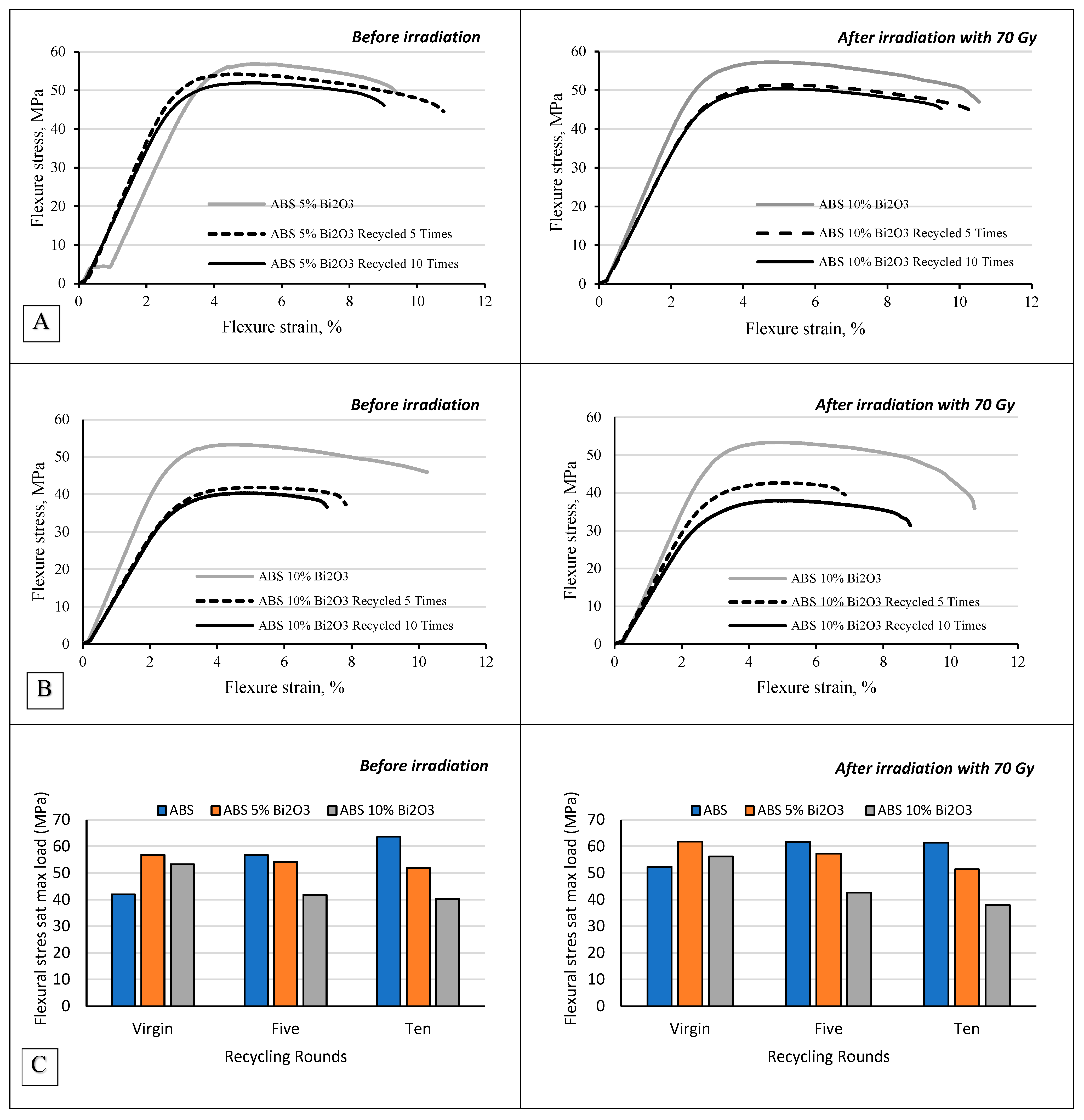
3.3. Mechanical Performance After Recycling
4. Conclusions
Author Contributions
Funding
Institutional Review Board Statement
Data Availability Statement
Conflicts of Interest
Abbreviations
| ABS | Acrylonitrile butadiene styrene |
| Bi2O3 | Bismuth oxide |
| CT | Computed tomography |
| FDM | Fused deposition modeling |
| FTIR | Fourier-transform infrared spectroscopy |
| Gy | Gray |
| HU | Hounsfield unit |
| MRI | Magnetic resonance imaging |
| PDI | polydispersity index |
| PLA | Polylactic acid |
| 3D | Three-dimensional |
References
- Organisation for Economic Co-operation and Development (OECD). Global Plastics Outlook: Economic Drivers, Environmental Impacts and Policy Options; OECD Publishing: Paris, France, 2022. [Google Scholar] [CrossRef]
- Health Care Without Harm Europe. Measuring and Reducing Plastics in the Healthcare Sector; Health Care Without Harm Europe: Brussels, Belgium, 2021; Available online: https://europe.noharm.org/ (accessed on 14 May 2025).
- Janik-Karpinska, E.; Brancaleoni, R.; Niemcewicz, M.; Wojtas, W.; Foco, M.; Podogrocki, M.; Bijak, M. Healthcare Waste—A Serious Problem for Global Health. Healthcare 2023, 11, 242. [Google Scholar] [CrossRef] [PubMed]
- Sahoo, S.; Rathod, W.; Vardikar, H.; Biswal, M.; Mohanty, S.; Nayak, S.K. Biomedical waste plastic: Bacteria, disinfection and recycling technologies—A comprehensive review. Int. J. Environ. Sci. Technol. 2024, 21, 1141–1158. [Google Scholar] [CrossRef] [PubMed]
- Singh, A.B. Transforming Healthcare: A Review of Additive Manufacturing Applications in the Healthcare Sector. Eng. Proc. 2024, 72, 2002. [Google Scholar] [CrossRef]
- Zhou, L.; Miller, J.; Vezza, J.; Mayster, M.; Raffay, M.; Justice, Q.; Al Tamimi, Z.; Hansotte, G.; Sunkara, L.D.; Bernat, J. Additive Manufacturing: A Comprehensive Review. Sensors 2024, 24, 2668. [Google Scholar] [CrossRef] [PubMed]
- Khosravani, M.R.; Reinicke, T. On the environmental impacts of 3D printing technology. Appl. Mater. Today 2020, 20, 100689. [Google Scholar] [CrossRef]
- Zuo, X.; Zhou, Y.; Hao, K.; Liu, C.; Yu, R.; Huang, A.; Wu, C.; Yang, Y. 3D Printed All-Natural Hydrogels: Flame-Retardant Materials Toward Attaining Green Sustainability. Adv. Sci. 2024, 11, 2306360. [Google Scholar] [CrossRef] [PubMed]
- Sun, X.; Xie, Y.; Meng, X.; Zhang, Z.; Tian, H.; Dong, W.; Dong, J.; Ma, X.; Wang, N.; Huang, Y. Wire-based friction stir additive manufacturing of AZ31B magnesium alloy: Precipitate behavior and mechanical properties. J. Magnes. Alloy. 2025, in press. [Google Scholar] [CrossRef]
- Mansour, N.K.; Callera, A.; Potere, F.; Micalizzi, S.; Costantino, M.L.; De Gaetano, F.; Oliva, P. Circular economy and 3D printing in the healthcare sector. Front. Bioeng. Biotechnol. 2025, 13, 1548550. [Google Scholar] [CrossRef] [PubMed]
- Pongwisuthiruchte, A.; Potiyaraj, P. Challenges and innovations in sustainable 3D printing. Mater. Today Sustain. 2025, 31, 101134. [Google Scholar] [CrossRef]
- Illi, J.; Bernhard, B.; Nguyen, C.; Pilgrim, T.; Praz, F.; Gloeckler, M.; Windecker, S.; Haeberlin, A.; Gräni, C. Translating imaging into 3D printed cardiovascular phantoms: A systematic review of applications, technologies, and validation. Basic Transl. Sci. 2022, 7, 1050–1062. [Google Scholar] [CrossRef]
- Jiang, C.; Jiang, Z.; Dai, S.; Li, D.; Wu, R.; Wang, J.; Feng, D. The application of 3D printing technology in tumor radiotherapy in the era of precision medicine. Appl. Mater. Today 2024, 40, 102368. [Google Scholar] [CrossRef]
- Rooney, M.K.; Rosenberg, D.M.; Braunstein, S.; Cunha, A.; Damato, A.L.; Ehler, E.; Pawlicki, T.; Robar, J.; Tatebe, K.; Golden, D.W. Three-dimensional printing in radiation oncology: A systematic review of the literature. J. Appl. Clin. Med. Phys. 2020, 21, 15–26. [Google Scholar] [CrossRef] [PubMed]
- Jreije, A.; Keshelava, L.; Ilickas, M.; Laurikaitiene, J.; Urbonavicius, B.G.; Adliene, D. Development of Patient Specific Conformal 3D-Printed Devices for Dose Verification in Radiotherapy. Appl. Sci. 2021, 11, 8657. [Google Scholar] [CrossRef]
- Kamomae, T.; Shimizu, H.; Nakaya, T.; Okudaira, K.; Aoyama, T.; Oguchi, H.; Komori, M.; Kawamura, M.; Ohtakara, K.; Monzen, H.; et al. Three-dimensional printer-generated patient-specific phantom for artificial in vivo dosimetry in radiotherapy quality assurance. Phys. Medica 2017, 44, 205–211. [Google Scholar] [CrossRef] [PubMed]
- Huynh, E.; Boyle, S.; Campbell, J.; Penney, J.; Mak, R.H.; Schoenfeld, J.D.; Leeman, J.E.; Williams, C.L. Toward implementation of MR-guided radiation therapy for laryngeal cancer with healthy volunteer imaging and a custom MR-CT larynx phantom. Med. Phys. 2022, 49, 1814–1821. [Google Scholar] [CrossRef] [PubMed]
- Tino, R.; Yeo, A.; Leary, M.; Brandt, M.; Kron, T. A systematic review on 3D-printed imaging and dosimetry phantoms in radiation therapy. Technol. Cancer Res. Treat. 2019, 18, 1533033819870208. [Google Scholar] [CrossRef] [PubMed]
- Basaula, D.; Hay, B.; Wright, M.; Hall, L.; Easdon, A.; McWiggan, P.; Yeo, A.; Ungureanu, E.; Kron, T. Additive manufacturing of patient specific bolus for radiotherapy: Large scale production and quality assurance. Phys. Eng. Sci. Med. 2024, 47, 551–561. [Google Scholar] [CrossRef] [PubMed]
- Wang, X.; Zhao, J.; Xiang, Z.; Wang, X.; Zeng, Y.; Luo, T.; Yan, X.; Zhang, Z.; Wang, F.; Liu, L. 3D-printed bolus ensures the precise postmastectomy chest wall radiation therapy for breast cancer. Front. Oncol. 2022, 12, 964455. [Google Scholar] [CrossRef] [PubMed]
- Asfia, A.; Novak, J.I.; Mohammed, M.I.; Rolfe, B.; Kron, T. A review of 3D printed patient specific immobilisation devices in radiotherapy. Phys. Imaging Radiat. Oncol. 2020, 13, 30–35. [Google Scholar] [CrossRef] [PubMed]
- Jreije, A.; Keršienė, N.; Griškevičius, P.; Adlienė, D. Properties of irradiated Bi2O3 and TiO2 enriched 3D printing polymers for fabrication of patient specific immobilization devices in radiotherapy. Nucl. Instr. Meth. Phys. Res. B 2024, 549, 165298. [Google Scholar] [CrossRef]
- ISO 527-2:2025; Plastics—Determination of Tensile Properties—Part 2: Test Conditions for Moulding and Extrusion Plastics. International Organization for Standardization: Geneva, Switzerland, 2025.
- ISO 178:2019; Plastics—Determination of Flexural Properties. International Organization for Standardization: Geneva, Switzerland, 2019.
- Nation Institute of Standarts and Technology, Physical Meas. Laboratory, XCOM. Available online: https://physics.nist.gov/PhysRefData/Xcom/html/xcom1.html (accessed on 22 May 2025).
- ICRU. Tissue Substitutes in Radiation Dosimetry and Measurement; Report 44; International Commission on Radiation Units and Measurements: Bethesda, MD, USA, 1989. [Google Scholar]
- ISO 527-1:2019; Plastics—Determination of Tensile Properties—Part 1: General Principles. International Organization for Standardization: Geneva, Switzerland, 2019.
- Ragaert, K.; Delva, L.; Van Geem, K. Mechanical and chemical recycling of solid plastic waste. Waste Manag. 2017, 69, 24–58. [Google Scholar] [CrossRef] [PubMed]
- Zhao, P.; Rao, C.; Gu, F.; Sharmin, N.; Fu, J. Close-looped recycling of polylactic acid used in 3D printing: An experimental investigation and life cycle assessment. J. Clean. Prod. 2018, 197, 1046–1055. [Google Scholar] [CrossRef]
- Rahimi, M.; Esfahanian, M.; Moradi, M. Effect of reprocessing on shrinkage and mechanical properties of ABS and investigating the proper blend of virgin and recycled ABS in injection molding. J. Mater. Process. Technol. 2014, 214, 2359–2365. [Google Scholar] [CrossRef]
- Bai, X.; Isaac, D.H.; Smith, K. Reprocessing acrylonitrile-butadiene-styrene plastics: Structure-property relationships. Polym. Eng. Sci. 2007, 47, 120–130. [Google Scholar] [CrossRef]
- Wang, J.; Li, Y.; Song, J.; He, M.; Song, J.; Xia, K. Recycling of acrylonitrile butadiene-styrene (ABS) copolymers from waste electrical and electronic equipment (WEEE), through using an epoxy-based chain extender. Polym. Degrad. Stabil. 2015, 112, 167–174. [Google Scholar] [CrossRef]
- Maga, D.; Hiebel, M.; Thonemann, N. Life cycle assessment of recycling options for polylactic acid. Resour. Conserv. Recycl. 2019, 149, 86–96. [Google Scholar] [CrossRef]
- Pérez-Fonseca, A.A.; González-López, M.E.; Robledo-Ortíz, J.R. Reprocessing and recycling of poly (lactic acid): A review. J. Polym. Environ. 2023, 31, 4143–4159. [Google Scholar] [CrossRef]
- Bednarek, M.; Borska, K.; Kubisa, P. Crosslinking of Polylactide by High Energy Irradiation and Photo-Curing. Molecules 2020, 25, 4919. [Google Scholar] [CrossRef] [PubMed]
- Kahya, Ç.; Tunçel, O.; Çavuşoğlu, O.; Tüfekci, K. Thermal Annealing Optimization for Improved Mechanical Performance of PLA Parts Produced via 3D Printing. Polym. Test. 2025, 144, 108735. [Google Scholar] [CrossRef]
- Szust, A.; Adamski, G. Using thermal annealing and salt remelting to increase tensile properties of 3D FDM prints. Eng. Fail. Anal. 2022, 132, 105932. [Google Scholar] [CrossRef]
- Cress, A.K.; Huynh, J.; Anderson, E.H.; O’neill, R.; Schneider, Y.; Keleş, Ö. Effect of recycling on the mechanical behavior and structure of additively manufactured acrylonitrile butadiene styrene (ABS). J. Clean. Prod. 2021, 279, 123689. [Google Scholar] [CrossRef]






| Material | Elemental Composition (% by Weight) | Density (g/cm3) |
|---|---|---|
| Human Soft Tissue (ICRU 44) [26] | H (10.5%), C (11.1%), N (2.6%), O (76.3%) | 1.04 |
| Polycaprolactone | H (9%), C (63%), O (28%) | 1.15 |
| ABS | H (8%), C (86%), N (2%), O (4%) | 0.99 |
| ABS 10% Bi2O3 | H (8%), C (77%), N (2%), O (4%), Bi (10%) | 1.26 |
Disclaimer/Publisher’s Note: The statements, opinions and data contained in all publications are solely those of the individual author(s) and contributor(s) and not of MDPI and/or the editor(s). MDPI and/or the editor(s) disclaim responsibility for any injury to people or property resulting from any ideas, methods, instructions or products referred to in the content. |
© 2025 by the authors. Licensee MDPI, Basel, Switzerland. This article is an open access article distributed under the terms and conditions of the Creative Commons Attribution (CC BY) license (https://creativecommons.org/licenses/by/4.0/).
Share and Cite
Jreije, A.; Griškevičius, P.; Keršienė, N.; Laurikaitienė, J.; Nedzinskienė, R.; Adlienė, D. Mechanical Properties of Fully Recyclable 3D-Printable Materials Used for Application in Patient-Specific Devices in Radiotherapy. Polymers 2025, 17, 1946. https://doi.org/10.3390/polym17141946
Jreije A, Griškevičius P, Keršienė N, Laurikaitienė J, Nedzinskienė R, Adlienė D. Mechanical Properties of Fully Recyclable 3D-Printable Materials Used for Application in Patient-Specific Devices in Radiotherapy. Polymers. 2025; 17(14):1946. https://doi.org/10.3390/polym17141946
Chicago/Turabian StyleJreije, Antonio, Paulius Griškevičius, Neringa Keršienė, Jurgita Laurikaitienė, Rūta Nedzinskienė, and Diana Adlienė. 2025. "Mechanical Properties of Fully Recyclable 3D-Printable Materials Used for Application in Patient-Specific Devices in Radiotherapy" Polymers 17, no. 14: 1946. https://doi.org/10.3390/polym17141946
APA StyleJreije, A., Griškevičius, P., Keršienė, N., Laurikaitienė, J., Nedzinskienė, R., & Adlienė, D. (2025). Mechanical Properties of Fully Recyclable 3D-Printable Materials Used for Application in Patient-Specific Devices in Radiotherapy. Polymers, 17(14), 1946. https://doi.org/10.3390/polym17141946

