Solution Casting Effect of PMMA-Based Polymer Electrolyte on the Performances of Solid-State Electrochromic Devices
Abstract
1. Introduction
2. Materials and Methods
2.1. Materials
2.2. Methods
2.2.1. Electrochromic Layer Preparation
2.2.2. Electrolyte Preparation
2.2.3. ECD Fabrication
3. Results
3.1. Electrochemical Analysis
3.1.1. Cyclic Voltammetry
3.1.2. Chronoamperometry (CA)
3.2. Transmittance
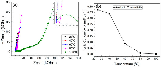
3.3. Electric Impedance Spectroscopy (EIS)
3.4. ECD Stability
4. Conclusions
Author Contributions
Funding
Institutional Review Board Statement
Data Availability Statement
Acknowledgments
Conflicts of Interest
References
- Cannavale, A. Chromogenic Technologies for Energy Saving. Clean. Technol. 2020, 2, 462–475. [Google Scholar] [CrossRef]
- Detsi, M.; Manolitsis, A.; Atsonios, I.; Mandilaras, I.; Founti, M. Energy Savings in an Office Building with High WWR Using Glazing Systems Combining Thermochromic and Electrochromic Layers. Energies 2020, 13, 3020. [Google Scholar] [CrossRef]
- Cannavale, A.; Martellotta, F.; Cossari, P.; Gigli, G.; Ayr, U. Energy Savings Due to Building Integration of Innovative Solid-State Electrochromic Devices. Appl. Energy 2018, 225, 975–985. [Google Scholar] [CrossRef]
- Au, B.W.C.; Chan, K.Y. Towards an All-Solid-State Electrochromic Device: A Review of Solid-State Electrolytes and the Way Forward. Polymers 2022, 14, 2458. [Google Scholar] [CrossRef]
- Wu, S.; Sun, H.; Duan, M.; Mao, H.; Wu, Y.; Zhao, H.; Lin, B. Applications of Thermochromic and Electrochromic Smart Windows: Materials to Buildings. Cell Rep. Phys. Sci. 2023, 4, 101370. [Google Scholar] [CrossRef]
- Tällberg, R.; Jelle, B.P.; Loonen, R.; Gao, T.; Hamdy, M. Comparison of the Energy Saving Potential of Adaptive and Controllable Smart Windows: A State-of-the-Art Review and Simulation Studies of Thermochromic, Photochromic and Electrochromic Technologies. Sol. Energy Mater. Sol. Cells 2019, 200, 109828. [Google Scholar] [CrossRef]
- Cai, G.; Wang, J.; Lee, P.S. Next-Generation Multifunctional Electrochromic Devices. Acc Chem. Res. 2016, 49, 1469–1476. [Google Scholar] [CrossRef]
- Islam, M.S.; Chan, K.Y.; Thien, G.S.H.; Low, P.L.; Lee, C.L.; Wong, S.K.; Noor, E.E.M.; Au, B.W.C.; Ng, Z.N. Performances of Polymer-Dispersed Liquid Crystal Films for Smart Glass Applications. Polymers 2023, 15, 3420. [Google Scholar] [CrossRef] [PubMed]
- Zhao, S.; Chen, L.; Huang, W.; Liu, Y.H. Transparent Multicolor Electrochromic Displays with Ingenious Hues Adjustment by Integrating Cholesteric Liquid Crystal with Viologen Gel. Adv. Opt. Mater. 2023, 11, 2300503. [Google Scholar] [CrossRef]
- Eldjilali, C.Z.; Chan, K.Y.; Tan, M.Y.; Abdelhamed, A.H.; Thien, G.S.; Low, P.L.; Sin, Y.K.; Lee, C.L.; Pang, W.L. Pre-Heating Temperature Effect on Electrochromic Properties of TiO2 Thin Films. Int. J. Integr. Eng. 2024, 16, 55–66. [Google Scholar] [CrossRef]
- Chan, K.Y.; Au, B.W.C.; Sahdan, M.Z.; Chong, A.S.I.; Knipp, D. Realisation of Solid-State Electrochromic Devices Based on Gel Electrolyte. F1000Research 2022, 11, 380. [Google Scholar] [CrossRef]
- Au, B.W.C.; Chan, K.Y.; Pang, W.L. Electrochromic Properties of WO3 Films Based on Lithium Iodide and Lithium Perchlorate Polymer Electrolyte. Optik 2021, 225, 165769. [Google Scholar] [CrossRef]
- Desai, S.; Shepherd, R.L.; Innis, P.C.; Murphy, P.; Hall, C.; Fabretto, R.; Wallace, G.G. Gel Electrolytes with Ionic Liquid Plasticiser for Electrochromic Devices. Electrochim. Acta 2011, 56, 4408–4413. [Google Scholar] [CrossRef]
- Barbosa, P.C.; Rodrigues, L.C.; Silva, M.M.; Smith, M.J.; Parola, A.J.; Pina, F.; Pinheiro, C. Solid-State Electrochromic Devices Using PTMC/PEO Blends as Polymer Electrolytes. Electrochim. Acta 2010, 55, 1495–1502. [Google Scholar] [CrossRef]
- Alves, R.; Fidalgo-Marijuan, A.; Campos-Arias, L.; Gonçalves, R.; Silva, M.M.; Del Campo, F.J.; Costa, C.M.; Lanceros-Mendez, S. Solid Polymer Electrolytes Based on Gellan Gum and Ionic Liquid for Sustainable Electrochromic Devices. ACS Appl. Mater. Interfaces 2022, 14, 15494–15503. [Google Scholar] [CrossRef]
- Leones, R.; Sabadini, R.C.; Sentanin, F.C.; Esperança, J.M.S.S.; Pawlicka, A.; Silva, M.M. Polymer Electrolytes for Electrochromic Devices through Solvent Casting and Sol-Gel Routes. Sol. Energy Mater. Sol. Cells 2017, 169, 98–106. [Google Scholar] [CrossRef]
- Sydam, R.; Deepa, M.; Srivastava, A.K. Electrochromic Device Response Controlled by an in Situ Polymerized Ionic Liquid Based Gel Electrolyte. RSC Adv. 2012, 2, 9011–9021. [Google Scholar] [CrossRef]
- Wang, R.; Pan, L.; Han, Q.; Zhu, H.; Wan, M.; Mai, Y. Reactively Sputtered Ta2O5 Solid Electrolyte Layers in All Thin Film Electrochromic Devices. J. Alloys Compd. 2021, 865, 158931. [Google Scholar] [CrossRef]
- Liang, J.; Luo, J.; Sun, Q.; Yang, X.; Li, R.; Sun, X. Recent Progress on Solid-State Hybrid Electrolytes for Solid-State Lithium Batteries. Energy Storage Mater. 2019, 21, 308–334. [Google Scholar] [CrossRef]
- Deshmukh, R.K.; Kumar, L.; Gaikwad, K.K. Halloysite Nanotubes for Food Packaging Application: A Review. Appl. Clay Sci. 2023, 234, 106856. [Google Scholar] [CrossRef]
- Zhong, S.; Yuan, B.; Guang, Z.; Chen, D.; Li, Q.; Dong, L.; Ji, Y.; Dong, Y.; Han, J.; He, W. Recent Progress in Thin Separators for Upgraded Lithium Ion Batteries. Energy Storage Mater. 2021, 41, 805–841. [Google Scholar] [CrossRef]
- Kramar, A.; Rodríguez Ortega, I.; González-Gaitano, G.; González-Benito, J. Solution Casting of Cellulose Acetate Films: Influence of Surface Substrate and Humidity on Wettability, Morphology and Optical Properties. Cellulose 2023, 30, 2037–2052. [Google Scholar] [CrossRef]
- Farhana, N.K.; Omar, F.S.; Shanti, R.; Mahipal, Y.K.; Ramesh, S.; Ramesh, K. Iota-Carrageenan-Based Polymer Electrolyte: Impact on Ionic Conductivity with Incorporation of AmNTFSI Ionic Liquid for Supercapacitor. Ionics 2019, 25, 3321–3329. [Google Scholar] [CrossRef]
- Teo, L.P.; Buraidah, M.H.; Arof, A.K. Development on Solid Polymer Electrolytes for Electrochemical Devices. Molecules 2021, 26, 6499. [Google Scholar] [CrossRef]
- Au, B.W.C.; Chan, K.Y.; Thien, G.S.H.; Yeoh, M.E.; Sahdan, M.Z.; Murthy, H.C.A. The Effect of Transparent Conducting Oxide Films on WO3-Based Electrochromic Devices with Conducting Polymer Electrolytes. Polymers 2023, 15, 238. [Google Scholar] [CrossRef]
- Elgrishi, N.; Rountree, K.J.; McCarthy, B.D.; Rountree, E.S.; Eisenhart, T.T.; Dempsey, J.L. A Practical Beginner’s Guide to Cyclic Voltammetry. J. Chem. Educ. 2018, 95, 197–206. [Google Scholar] [CrossRef]
- St-Onge, V.; Cui, M.; Rochon, S.; Daigle, J.C.; Claverie, J.P. Reducing Crystallinity in Solid Polymer Electrolytes for Lithium-Metal Batteries via Statistical Copolymerization. Commun. Mater. 2021, 2, 83. [Google Scholar] [CrossRef]
- Kadam, A.V. Electrochromic Properties of ITO/WO3/LiClO4-PC-PMMA-ACN/NiO/ITO Framework. Mater. Today Proc. 2020, 23, 352–358. [Google Scholar] [CrossRef]
- Mamat, S.; Haji Razali, H.; Sopian, K.; Tian Khoon, L.; Ahmad, A.; Matsumi, N.; Sukor Su, M. Conductivity and Dielectric Behavior Studies on Solid Polymer Electrolyte Based Poly(Methyl Methacrylate) (PMMA) Grafted Natural Rubber (MG49) Polymer Blends. J. Kejuruter. 2020, 32, 599–606. [Google Scholar] [CrossRef]










| Temperature (°C) | Anodic Diffusion, Da 10−18 cm2 s−1) | Cathodic Diffusion, Dc 10−18 cm2 s−1) |
|---|---|---|
| 25 | 8.15 | 4.32 |
| 40 | 3.64 | 2.03 |
| 60 | 0.47 | 1.29 |
| 80 | 0.063 | 0.11 |
| 100 | 0.0054 | 0.0060 |
| Temperature (°C) | Coloration Time (s) | Bleaching Time (s) |
|---|---|---|
| 25 | 1 | 1.4 |
| 40 | 0.6 | 1.3 |
| 60 | 1.2 | 2.5 |
| 80 | 11.3 | 20.5 |
| 100 | 22.1 | 27.1 |
| Temperature (°C) | Coloration Efficiency, CE (cm2 C−1) | Optical Density, ΔOD | Surface Charge, QA 10−3 C cm−2) |
|---|---|---|---|
| 25 | 37.53 | 0.26 | −0.0070 |
| 40 | 64.54 | 0.30 | −0.0047 |
| 60 | 47.71 | 0.13 | −0.0027 |
| 80 | 37.14 | 0.077 | −0.0021 |
| 100 | 61.58 | 0.040 | −0.00065 |
Disclaimer/Publisher’s Note: The statements, opinions and data contained in all publications are solely those of the individual author(s) and contributor(s) and not of MDPI and/or the editor(s). MDPI and/or the editor(s) disclaim responsibility for any injury to people or property resulting from any ideas, methods, instructions or products referred to in the content. |
© 2025 by the authors. Licensee MDPI, Basel, Switzerland. This article is an open access article distributed under the terms and conditions of the Creative Commons Attribution (CC BY) license (https://creativecommons.org/licenses/by/4.0/).
Share and Cite
Abdelhamed, A.H.E.; Thien, G.S.H.; Lee, C.-L.; Au, B.W.-C.; Tan, K.B.; Murthy, H.C.A.; Chan, K.-Y. Solution Casting Effect of PMMA-Based Polymer Electrolyte on the Performances of Solid-State Electrochromic Devices. Polymers 2025, 17, 99. https://doi.org/10.3390/polym17010099
Abdelhamed AHE, Thien GSH, Lee C-L, Au BW-C, Tan KB, Murthy HCA, Chan K-Y. Solution Casting Effect of PMMA-Based Polymer Electrolyte on the Performances of Solid-State Electrochromic Devices. Polymers. 2025; 17(1):99. https://doi.org/10.3390/polym17010099
Chicago/Turabian StyleAbdelhamed, Abdelrahman Hamed Ebrahem, Gregory Soon How Thien, Chu-Liang Lee, Benedict Wen-Cheun Au, Kar Ban Tan, H. C. Ananda Murthy, and Kah-Yoong Chan. 2025. "Solution Casting Effect of PMMA-Based Polymer Electrolyte on the Performances of Solid-State Electrochromic Devices" Polymers 17, no. 1: 99. https://doi.org/10.3390/polym17010099
APA StyleAbdelhamed, A. H. E., Thien, G. S. H., Lee, C.-L., Au, B. W.-C., Tan, K. B., Murthy, H. C. A., & Chan, K.-Y. (2025). Solution Casting Effect of PMMA-Based Polymer Electrolyte on the Performances of Solid-State Electrochromic Devices. Polymers, 17(1), 99. https://doi.org/10.3390/polym17010099

